Combined Bulked Segregant Analysis-Sequencing and Transcriptome Analysis to Identify Candidate Genes Associated with Cold Stress in Brassica napus L
Abstract
1. Introduction
2. Results
2.1. Phenotypic Evaluation of D1, M98, and Their F2 Progeny Under Cold Stress
2.2. BSA-seq Data Analysis
2.3. Identification of Candidate Genes in Candidate Interval
2.4. RNA-seq Data Analysis
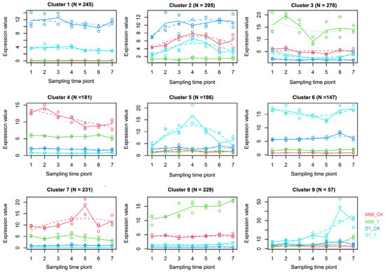
2.5. Time-Course Differential Expression Analysis Between D1 and M98
2.6. Co-expression Network Construction and Overlap Analysis with MaSigPro
2.7. Identification of RNA-seq Candidate Genes
2.8. Identification of Candidate Genes by Combining BSA-seq and RNA-seq
2.9. qRT-PCR Analysis of Candidate Genes
3. Discussion
4. Materials and Methods
4.1. Cold Tolerance Evaluation and Treatment Conditions
4.2. Pool Construction and BSA-seq
4.3. BSA-seq
4.4. RNA-seq
4.5. Time-Course Analysis
4.6. Weighted Gene Co-Expression Network Construction
4.7. Merging Results from MaSigPro and Weighted Gene Co-Expression Network
4.8. qRT-PCR
5. Conclusions
Supplementary Materials
Author Contributions
Funding
Institutional Review Board Statement
Informed Consent Statement
Data Availability Statement
Acknowledgments
Conflicts of Interest
Abbreviations
| CI | Candidate interval |
| BSA-seq | Bulk segregant analysis sequencing |
| RNA-seq | RNA sequencing |
| ROS | Reactive oxygen species |
| GO | Gene ontology |
| KEGG | Kyoto Encyclopedia of Genes and Genomes |
| WGCNA | Weighted Gene Co-expression Network Construction |
| SR | Survive rate |
| ICE1 | Inducer of CBF expression 1 |
| COR | Cold-regulated |
| CaM | Calmodulin |
| COR413PM2 | COR413-plasma membrane 2 |
| DREB2A | Dehydration-responsive element-binding protein 2A |
| CML24 | Calmodulin-like 24 |
| ERD7 | Early responsive to dehydration 7 |
| PSAH-1 | Photosystem I subunit H 1 |
| FTSZ2-1 | Filamenting temperature-sensitive Z 2-1 |
| GA2OX1 | Gibberellin 2-oxidase 1 |
| CRF3 | Cytokinin response factor 3 |
| CPN60B2 | Chaperonin-60beta2 |
| TL17 | Thylakoid luminal 17 |
References
- Mahajan, S.; Tuteja, N. Cold, salinity and drought stresses: An overview. Arch. Biochem. Biophys. 2005, 444, 139–158. [Google Scholar] [CrossRef] [PubMed]
- Dreyer, A.; Dietz, K.-J. Reactive oxygen species and the redox-regulatory network in cold stress acclimation. Antioxidants 2018, 7, 169. [Google Scholar] [CrossRef] [PubMed]
- Kumar, R.; Chaurasiya, P.C.; Singh, R.N.; Singh, S. A review report: Low temperature stress for crop production. Int. J. Pure App. Biosci. 2018, 6, 575–598. [Google Scholar] [CrossRef]
- Ding, Y.; Yang, S. Surviving and thriving: How plants perceive and respond to temperature stress. Dev. Cell 2022, 57, 947–958. [Google Scholar] [CrossRef]
- Thomashow, M.F. Plant cold acclimation freezing tolerance genes and regulatory mechanisms. Annu. Rev. Plant Physiol. Plant Mol. Biol. 1999, 50, 571–599. [Google Scholar] [CrossRef]
- Song, Y.; Zhang, X.; Li, M.; Yang, H.; Fu, D.; Lv, J.; Ding, Y.; Gong, Z.; Shi, Y.; Yang, S. The direct targets of CBFs: In cold stress response and beyond. J. Integr. Plant Biol. 2021, 63, 1874–1887. [Google Scholar] [CrossRef]
- Guo, X.; Liu, D.; Chong, K. Cold signaling in plants: Insights into mechanisms and regulation. J. Integr. Plant Biol. 2018, 60, 745–756. [Google Scholar] [CrossRef]
- Silva, C.S.; Nayak, A.; Lai, X.; Hutin, S.; Hugouvieux, V.; Jung, J.-H.; López-Vidriero, I.; Franco-Zorrilla, J.M.; Panigrahi, K.C.S.; Nanao, M.H.; et al. Molecular mechanisms of Evening Complex activity in Arabidopsis. Proc. Natl. Acad. Sci. USA 2020, 117, 6901–6909. [Google Scholar] [CrossRef]
- Wang, X.; Song, Q.; Liu, Y.; Brestic, M.; Yang, X. Correction to: The network centered on ICEs play roles in plant cold tolerance, growth and development. Planta 2022, 255, 81. [Google Scholar] [CrossRef]
- Dong, C.-H.; Agarwal, M.; Zhang, Y.; Xie, Q.; Zhu, J.-K. The negative regulator of plant cold responses, HOS1, is a RING E3 ligase that mediates the ubiquitination and degradation of ICE1. Proc. Natl. Acad. Sci. USA 2006, 103, 8281–8286. [Google Scholar] [CrossRef] [PubMed]
- Miura, K.; Jin, J.B.; Lee, J.; Yoo, C.Y.; Stirm, V.; Miura, T.; Ashworth, E.N.; Bressan, R.A.; Yun, D.-J.; Hasegawa, P.M. SIZ1-mediated sumoylation of ICE1 controls CBF3/DREB1A expression and freezing tolerance in Arabidopsis. Plant Cell 2007, 19, 1403–1414. [Google Scholar] [CrossRef] [PubMed]
- Ding, Y.; Li, H.; Zhang, X.; Xie, Q.; Gong, Z.; Yang, S. OST1 kinase modulates freezing tolerance by enhancing ICE1 stability in Arabidopsis. Dev. Cell 2015, 32, 278–289. [Google Scholar] [CrossRef] [PubMed]
- Zhao, C.; Wang, P.; Si, T.; Hsu, C.-C.; Wang, L.; Zayed, O.; Yu, Z.; Zhu, Y.; Dong, J.; Tao, W.A.; et al. MAP kinase cascades regulate the cold response by modulating ICE1 protein stability. Dev. Cell 2017, 43, 618–629. [Google Scholar] [CrossRef]
- Hu, Y.; Jiang, L.; Wang, F.; Yu, D. Jasmonate regulates the inducer of CBF expression-c-repeat binding fator/DER binding factor1 cascade and freezing tolerance in Arabidopsis. Plant Cell 2013, 25, 2907–2924. [Google Scholar] [CrossRef]
- Zhao, M.-L.; Wang, J.-N.; Shan, W.; Fan, J.-G.; Kuang, J.-F.; Wu, K.-Q.; Li, X.-P.; Chen, W.-X.; He, F.-Y.; Chen, J.-Y.; et al. Induction of jasmonate signalling regulators MaMYC2s and their physical interactions with MaICE1 in methyl jasmonate-induced chilling tolerance in banana fruit. Plant Cell Environ. 2012, 36, 30–51. [Google Scholar] [CrossRef]
- Achard, P.; Gong, F.; Cheminant, S.; Alioua, M.; Hedden, P.; Genschik, P. The cold-inducible CBF1 factor–dependent signaling pathway modulates the accumulation of the growth-repressing DELLA proteins via its effect on gibberellin metabolism. Plant Cell 2008, 20, 2117–2129. [Google Scholar] [CrossRef]
- Ding, Y.; Shi, Y.; Yang, S. Molecular regulation of plant responses to environmental temperatures. Mol. Plant 2020, 13, 544–564. [Google Scholar] [CrossRef]
- Eremina, M.; Unterholzner, S.J.; Rathnayake, A.I.; Castellanos, M.; Khan, M.; Kugler, K.G.; May, S.T.; Mayer, K.F.X.; Rozhon, W.; Poppenberger, B. Brassinosteroids participate in the control of basal and acquired freezing tolerance of plants. Proc. Natl. Acad. Sci. USA 2016, 113, E5982–E5991. [Google Scholar] [CrossRef]
- Li, H.; Ye, K.; Shi, Y.; Cheng, J.; Zhang, X.; Yang, S. BZR1 positively regulates freezing tolerance via CBF-dependent and CBF-independent pathways in Arabidopsis. Mol. Plant 2017, 10, 545–559. [Google Scholar] [CrossRef]
- Teige, M.; Scheikl, E.; Eulgem, T.; Dóczi, R.; Ichimura, K.; Shinozaki, K.; Dangl, J.L.; Hirt, H. The MKK2 pathway mediates cold and salt stress signaling in Arabidopsis. Mol. Cell 2004, 15, 141–152. [Google Scholar] [CrossRef]
- Yang, T.; Ali, G.S.; Yang, L.; Du, L.; Reddy, A.S.N.; Poovaiah, B.W. Calcium/calmodulin-regulated receptor-like kinase CRLK1 interacts with MEKK1 in plants. J. Biol. Chem. 2010, 5, 991–994. [Google Scholar] [CrossRef] [PubMed]
- Xie, G.; Kato, H.; Imai, R. Biochemical identification of the OsMKK6–OsMPK3 signalling pathway for chilling stress tolerance in rice. Biochem. J. 2012, 443, 95–102. [Google Scholar] [CrossRef] [PubMed]
- Vogel, J.T.; Zarka, D.G.; Van Buskirk, H.A.; Fowler, S.G.; Thomashow, M.F. Roles of the CBF2 and ZAT12 transcription factors in configuring the low temperature transcriptome of Arabidopsis. Plant J. 2004, 41, 195–211. [Google Scholar] [CrossRef]
- Shi, H.; Ye, T.; Zhong, B.; Liu, X.; Jin, R.; Chan, Z. AtHAP5A modulates freezing stress resistance in Arabidopsis through binding to CCAAT motif of AtXTH21. New Phytol. 2014, 203, 554–567. [Google Scholar] [CrossRef]
- Van Buer, J.; Cvetkovic, J.; Baier, M. Cold regulation of plastid ascorbate peroxidases serves as a priming hub controlling ROS signaling in Arabidopsis thaliana. BMC Plant Biol. 2016, 16, 163. [Google Scholar] [CrossRef]
- Wang, Y.; Wang, J.; Sarwar, R.; Zhang, W.; Geng, R.; Zhu, K.-M.; Tan, X.-L. Research progress on the physiological response and molecular mechanism of cold response in plants. Front. Plant Sci. 2024, 15, 1334913. [Google Scholar] [CrossRef]
- Huang, X.-S.; Zhang, Q.; Zhu, D.; Fu, X.; Wang, M.; Zhang, Q.; Moriguchi, T.; Liu, J.-H. ICE1 of Poncirus trifoliata functions in cold tolerance by modulating polyamine levels through interacting with arginine decarboxylase. J. Exp. Bot. 2015, 66, 3259–3274. [Google Scholar] [CrossRef]
- Li, S.; Liu, Y.; Kang, Y.; Liu, W.; Wang, W.; Wang, Z.; Xia, X.; Chen, X.; Wang, C.; He, X. Spermidine improves freezing tolerance by regulating H2O2 in Brassica napus L. Antioxidants 2024, 13, 1032. [Google Scholar] [CrossRef]
- Kocsy, G.; Galiba, G.; Brunold, C. Role of glutathione in adaptation and signalling during chilling and cold acclimation in plants. Physiol. Plant. 2001, 113, 158–164. [Google Scholar] [CrossRef]
- Hahn, C.; Müller, A.; Kuhnert, N.; Albach, D.C. A cold case-glucosinolate levels in kale cultivars are differently influenced by cold temperatures. Horticulturae 2023, 9, 953. [Google Scholar] [CrossRef]
- Du, H.; Wu, N.; Chang, Y.; Li, X.; Xiao, J.; Xiong, L. Carotenoid deficiency impairs ABA and IAA biosynthesis and differentially affects drought and cold tolerance in rice. Plant Mol. Biol. 2013, 83, 475–488. [Google Scholar] [CrossRef] [PubMed]
- Savitch, L.V.; Allard, G.; Seki, M.; Robert, L.S.; Tinker, N.A.; Huner, N.P.A.; Shinozaki, K.; Singh, J. The effect of overexpression of two Brassica CBF/DREB1-like transcription factors on photosynthetic capacity and freezing tolerance in Brassica napus. Plant Cell Physiol. 2005, 46, 1525–1539. [Google Scholar] [CrossRef] [PubMed]
- Ke, L.; Lei, W.; Yang, W.; Wang, J.; Gao, J.; Cheng, J.; Sun, Y.; Fan, Z.; Yu, D. Genome-wide identification of cold responsive transcription factors in Brassica napus L. BMC Plant Biol. 2020, 20, 62. [Google Scholar] [CrossRef] [PubMed]
- Chen, L.; Zhong, H.; Ren, F.; Guo, Q.-Q.; Hu, X.-P.; Li, X.-B. A novel cold-regulated gene, COR25, of Brassica napus is involved in plant response and tolerance to cold stress. Plant Cell Rep. 2010, 30, 463–471. [Google Scholar] [CrossRef]
- Wu, W.; Yang, H.; Xing, P.; Zhu, G.; Han, X.; Xue, X.; Min, G.; Ding, H.; Wu, G.; Liu, Z. Brassica rapa BrICE1 and BrICE2 positively regulate the cold tolerance via CBF and ROS pathways, balancing growth and defense in transgenic Arabidopsis. Plants 2024, 13, 2625. [Google Scholar] [CrossRef]
- Xiang, D.; Chai, Y.; Man, L.; Sun, Y.; Zhang, T.; Wei, C.; Xie, Z.; Li, H.; Zhang, W.; Liu, D.; et al. Overexpression of a heading Chinese cabbage ICE1 gene confers freezing tolerance in transgenic rice. Plant Cell Tiss. Organ Cult. 2016, 128, 43–54. [Google Scholar] [CrossRef]
- Zhang, T.; Mo, J.; Zhou, K.; Chan, Y.; Li, Z. Overexpression of Brassica campestris BcICE1 gene increases abiotic stress tolerance in tobacco. Plant Physiol. Biochem. 2018, 132, 515–523. [Google Scholar] [CrossRef]
- Yin, X.; Yang, Y.; Lv, Y.; Li, Y.; Yang, D.; Yue, Y.; Yang, Y. BrrICE1.1 is associated with putrescine synthesis through regulation of the arginine decarboxylase gene in freezing tolerance of turnip (Brassica rapa var. rapa). BMC Plant Biol. 2020, 20, 504. [Google Scholar] [CrossRef]
- Xu, J.; Dai, H. Brassica napus Cycling Dof Factor1 (BnCDF1) is involved in flowering time and freezing tolerance. Plant Growth Regul. 2016, 80, 315–322. [Google Scholar] [CrossRef]
- Yan, L.; Zeng, L.; Raza, A.; Lv, Y.; Ding, X.; Cheng, Y.; Zou, X. Inositol improves cold tolerance through inhibiting CBL1 and increasing Ca2+ influx in rapeseed (Brassica napus L.). Front. Plant Sci. 2022, 13, 775692. [Google Scholar] [CrossRef]
- Zhang, Y.; Raza, A.; Huang, H.; Su, W.; Luo, D.; Zeng, L.; Ding, X.; Cheng, Y.; Liu, Z.; Li, Q.; et al. Analysis of Lhcb gene family in rapeseed (Brassica napus L.) identifies a novel member “BnLhcb3.4” modulating cold tolerance. Environ. Exp. Bot. 2022, 198, 104848. [Google Scholar] [CrossRef]
- Huang, Y.; Hussain, M.A.; Luo, D.; Xu, H.; Zeng, C.; Havlickova, L.; Bancroft, I.; Tian, Z.; Zhang, X.; Cheng, Y.; et al. A Brassica napus reductase gene dissected by associative transcriptomics enhances plant adaption to freezing stress. Front. Plant Sci. 2020, 11, 971. [Google Scholar] [CrossRef] [PubMed]
- Klein, H.; Xiao, Y.; Conklin, P.K.; Govindarajulu, R.; Kelly, J.A.; Scanlon, M.J.; Whipple, C.J.; Bartlett, B. Bulked-segregant analysis coupled to whole genome sequencing (BSA-Seq) for rapid gene cloning in Maize. G3 Genes Genomes Genet. 2018, 8, 3583–3592. [Google Scholar] [CrossRef] [PubMed]
- Xu, D.; Sun, D.; Diao, Y.; Liu, M.; Gao, J.; Wu, B.; Yuan, X.; Lu, P.; Zhang, Z.; Zhang, J.; et al. Fast mapping of a chlorophyll b synthesis-deficiency gene in barley (Hordeum vulgare L.) via bulked-segregant analysis with reduced-representation sequencing. Crop J. 2019, 7, 58–64. [Google Scholar]
- Guo, Z.; Cai, L.; Chen, Z.; Wang, R.; Zhang, L.; Guan, S.; Zhang, S.; Ma, W.; Liu, C.; Pan, G. Identification of candidate genes controlling chilling tolerance of rice in the cold region at the booting stage by BSA-Seq and RNA-Seq. R. Soc. Open Sci. 2020, 7, 201081. [Google Scholar] [CrossRef]
- Ye, S.; Yang, J.; Huang, Y.; Liu, J.; Ma, X.; Zhao, L.; Ma, C.; Tu, J.; Shen, J.; Fu, T.; et al. Bulk segregant analysis-sequencing and RNA-Seq analyses reveal candidate genes associated with albino phenotype in Brassica napus. Front. Plant Sci. 2022, 13, 994616. [Google Scholar] [CrossRef]
- Yan, M.; Li, F.; Sun, Q.; Zhao, J.; Ma, Y. Identification of chilling-tolerant genes in maize via bulked segregant analysis sequencing. Environ. Exp. Bot. 2023, 208, 105234. [Google Scholar] [CrossRef]
- Zhang, J.; Zhu, J.; Yang, L.; Li, Y.; Wang, W.; Zhou, X.; Jiang, J. Mapping of the waxy gene in Brassica napus L. via bulked segregant analysis (BSA) and whole-genome resequencing. Agronomy 2023, 13, 2611. [Google Scholar] [CrossRef]
- Singh, K.P.; Kumari, P.; Yadava, D.K. Development of de-novo transcriptome assembly and SSRs in allohexaploid Brassica with functional annotations and identification of heat-shock proteins for thermotolerance. Front. Genet. 2022, 13, 958217. [Google Scholar] [CrossRef]
- Privitera, G.F.; Treccarichi, S.; Nicotra, R.; Ferdinando, B.; Alfredo, P.; Piero, A.R.L.; Sicilia, A. Comparative transcriptome analysis of B. oleracea L. var. italica and B. macrocarpa Guss. genotypes under drought stress: De novo vs reference genome assembly. Plant Stress 2024, 14, 100657. [Google Scholar] [CrossRef]
- Knight, M.R.; Knight, H. Low-temperature perception leading to gene expression and cold tolerance in higher plants. New Phytol. 2012, 195, 737–751. [Google Scholar] [CrossRef] [PubMed]
- Otasek, D.; Morris, J.H.; Bouças, J.; Pico, A.R.; Demchak, B. Cytoscape Automation: Empowering workflow-based network analysis. Genome Biol. 2019, 20, 185. [Google Scholar] [CrossRef] [PubMed]
- Kumar, R.; Neelakandan, A.K.; Nguyen, H.T. Higher plant cytochrome b5 polypeptides modulate fatty acid desaturation. PLoS ONE 2012, 7, e31370. [Google Scholar] [CrossRef] [PubMed]
- Zhou, A.; Liu, E.; Li, H.; Li, Y.; Feng, S.; Gong, S.; Wang, J. PsCor413pm2, a plasma membrane-localized, cold-regulated protein from Phlox subulata, confers low temperature tolerance in Arabidopsis. Int. J. Mol. Sci. 2018, 19, 2579. [Google Scholar] [CrossRef] [PubMed]
- Sakuma, Y.; Maruyama, K.; Osakabe, Y.; Qin, F.; Seki, M.; Shinozaki, K.; Yamaguchi-Shinozaki, K. Functional analysis of an Arabidopsis transcription factor, DREB2A, involved in drought-responsive gene expression. Plant Cell 2006, 18, 1292–1309. [Google Scholar] [CrossRef]
- Delk, N.A.; Johnson, K.A.; Chowdhury, N.I.; Braam, J. CML24, regulated in expression by diverse stimuli, encodes a potential Ca2+ sensor that functions in responses to abscisic acid, daylength, and ion stress. Plant Physiol. 2005, 139, 240–253. [Google Scholar] [CrossRef]
- Barajas-Lopez, J.D.D.; Tiwari, A.; Zarza, X.; Shaw, M.W.; Pascual, J.; Punkkinen, M.; Bakowska, J.C.; Munnik, T.; Fujii, H. EARLY RESPONSE TO DEHYDRATION 7 remodels cell membrane lipid composition during cold stress in Arabidopsis. Plant Cell Physiol. 2021, 62, 80–91. [Google Scholar] [CrossRef]
- Wang, P.; Cui, X.; Zhao, C.; Shi, L.; Zhang, G.; Sun, F.; Cao, X.; Yuan, L.; Xie, Q.; Xu, X. COR27 and COR28 encode nighttime repressors integrating Arabidopsis circadian clock and cold response. J. Integr. Plant Biol. 2017, 59, 78–85. [Google Scholar] [CrossRef]
- Kaye, C.; Neven, L.; Hofig, A.; Li, Q.-B.; Haskell, D.; Guy, C. Characterization of a gene for spinach CAP160 and expression of two spinach cold-acclimation proteins in tobacco. Plant Physiol. 1998, 116, 1367–1377. [Google Scholar] [CrossRef]
- Kadirjan-Kalbach, D.K.; Turmo, A.; Wang, J.; Smith, B.C.; Chen, C.; Porter, K.J.; Childs, K.L.; DellaPenna, D.; Osteryoung, K.W. Allelic variation in the chloroplast division gene FtsZ2-2 leads to natural variation in chloroplast size. Plant Physiol. 2019, 181, 1059–1074. [Google Scholar] [CrossRef] [PubMed]
- Wienkoop, S.; Zoeller, D.; Ebert, B.; Simon-Rosin, U.; Fisahn, J.; Glinski, M.; Weckwerth, W. Cell-specific protein profiling in Arabidopsis thaliana trichomes: Identification of trichome-located proteins involved in sulfur metabolism and detoxification. Phytochemistry 2004, 65, 1641–1649. [Google Scholar] [CrossRef] [PubMed]
- Kuroda, H.; Yanagawa, Y.; Takahashi, N.; Horii, Y.; Matsui, M. A comprehensive analysis of interaction and localization of Arabidopsis SKP1-like (ASK) and F-box (FBX) proteins. PLoS ONE 2012, 7, e50009. [Google Scholar] [CrossRef] [PubMed]
- Vidal, E.A.; Moyano, T.C.; Krouk, G.; Katari, M.S.; Tanurdzic, M.; McCombie, W.R.; Coruzzi, G.M.; Gutiérrez, R.A. Integrated RNA-seq and sRNA-seq analysis identifies novel nitrate-responsive genes in Arabidopsis thaliana roots. BMC Genom. 2013, 14, 701. [Google Scholar] [CrossRef] [PubMed]
- Saavedra, X.; Modrego, A.; Rodriݩguez, D.; Rodríguez, D.; González-García, M.P.; Sanz, L.; Nicolás, G.; Lorenzo, Q. The nuclear interactor PYL8/RCAR3 of Fagus sylvatica FsPP2C1 is a positive regulator of abscisic acid signaling in seeds and stress. Plant Physiol. 2010, 152, 133–150. [Google Scholar] [CrossRef]
- Trentmann, O.; Mühlhaus, T.; Zimmer, D.; Sommer, F.; Schroda, M.; Haferkamp, I.; Pommerrenig, B.; Neuhaus, H.E. Identification of chloroplast envelope proteins with critical importance for cold acclimation. Plant Physiol. 2020, 182, 1239–1255. [Google Scholar] [CrossRef]
- Park, S.; Lee, C.-M.; Doherty, C.J.; Gilmour, S.J.; Kim, Y.; Thomashow, M.F. Regulation of the Arabidopsis CBF regulon by a complex low-temperature regulatory network. Plant J. 2015, 82, 193–207. [Google Scholar] [CrossRef]
- Jeon, J.; Cho, C.; Lee, M.R.; Binh, M.V.; Kim, J. CYTOKININ RESPONSE FACTOR2 (CRF2) and CRF3 regulate lateral root development in response to cold stress in Arabidopsis. Plant Cell 2016, 28, 1828–1843. [Google Scholar] [CrossRef]
- Li, Y.; Brooks, M.; Yeoh-Wang, J.; McCoy, R.M.; Rock, T.M.; Pasquino, A.; Moon, C.I.; Patrick, R.M.; Tanurdzic, M.; Ruffel, S.; et al. SDG8-mediated histone methylation and RNA processing function in the response to nitrate signaling. Plant Physiol. 2020, 182, 215–227. [Google Scholar] [CrossRef]
- Choi, Y.-R.; Kim, I.; Kumar, M.; Shim, J.; Kim, H.U. Chloroplast localized FIBRILLIN11 is involved in the osmotic stress response during Arabidopsis seed germination. Biology 2021, 10, 368. [Google Scholar] [CrossRef]
- Gollan, P.J.; Trotta, A.; Bajwa, A.A.; Mancini, I.; Aro, E.M. Characterization of the free and membrane-associated fractions of the thylakoid lumen proteome in Arabidopsis thaliana. Int. J. Mol. Sci. 2021, 22, 8126. [Google Scholar] [CrossRef]
- Vilaine, F.; Kerchev, P.; Clément, G.; Batailler, B.; Cayla, T.; Bill, L.; Gissot, L.; Dinant, S. Increased expression of a phloem membrane protein encoded by NHL26 alters phloem export and sugar partitioning in Arabidopsis. Plant Cell 2013, 25, 1689–1708. [Google Scholar] [CrossRef] [PubMed]
- Bidzinski, P.; Noir, S.; Shahi, S.; Reinstädler, A.; Gratkowska, D.M.; Panstruga, R. Physiological characterization and genetic modifiers of aberrant root thigmomorphogenesis in mutants of Arabidopsis thaliana MILDEW LOCUS O genes. Plant Cell Environ. 2014, 37, 2738–2753. [Google Scholar] [CrossRef] [PubMed]
- Nguyen, V.N.T.; Vo, K.T.X.; Park, H.; Jeon, J.S.; Jung, K.-H. A systematic view of the MLO family in rice suggests their novel roles in morphological development, diurnal responses, the light-signaling pathway, and various stress responses. Front. Plant Sci. 2016, 7, 1413. [Google Scholar] [CrossRef] [PubMed]
- Sikorski, P.J.; Zuber, H.; Philippe, L.; Sement, F.M.; Canaday, J.; Kufel, J.; Gagliardi, D.; Lange, H. Distinct 18S rRNA precursors are targets of the exosome complex, the exoribonuclease RRP 6L2 and the terminal nucleotidyltransferase TRL in Arabidopsis thaliana. Plant J. 2015, 83, 991–1004. [Google Scholar] [CrossRef]
- Wilkinson, M.J.; Roda, F.; Walter, G.M.; James, M.E.; Nipper, R.; Walsh, J.; Allen, S.L.; North, A.H.; Beveridge, C.A.; Ortiz-Barrientos, D. Adaptive divergence in shoot gravitropism creates hybrid sterility in an Australian wildflower. Proc. Natl. Acad. Sci. USA 2021, 118, e2004901118. [Google Scholar] [CrossRef]
- Kaufmann, C.; Stuhrwohldt, N.; Sauter, M. Tyrosylprotein sulfotransferase-dependent and -independent regulation of root development and signaling by PSK LRR receptor kinases in Arabidopsis. J. Exp. Bot. 2021, 72, 5508–5521. [Google Scholar] [CrossRef]
- Sanghera, G.S.; Wani, S.H.; Hussain, W.; Singh, N.B. Engineering cold stress tolerance in crop plants. Curr. Genom. 2011, 12, 30–43. [Google Scholar] [CrossRef]
- Shi, Y.; Ding, Y.; Yang, S. Molecular regulation of CBF signaling in cold acclimation. Trends Plant Sci. 2018, 23, 623–637. [Google Scholar] [CrossRef]
- Yan, L.; Tariq, S.; Cheng, Y.; Lv, Y.; Zhang, X.-K.; Zou, X.-L. Physiological and molecular responses to cold stress in rapeseed (Brassica napus L.). J. Int. Agric. 2019, 18, 2742–2752. [Google Scholar] [CrossRef]
- He, X.; Ni, X.; Xie, P.; Liu, W.; Yao, M.; Kang, Y.; Qin, L.; Hua, W. Comparative transcriptome analyses revealed conserved and novel responses to cold and freezing stress in Brassica napus L. G3 Genes Genomes Genet. 2019, 9, 2723–2737. [Google Scholar] [CrossRef]
- Sun, J.; Yang, L.; Wang, J.; Liu, H.; Zheng, H.; Xie, D.; Zhang, M.; Feng, M.; Jia, Y.; Zhao, H.; et al. Identification of a cold-tolerant locus in rice (Oryza sativa L.) using bulked segregant analysis with a next-generation sequencing strategy. Rice 2018, 11, 24. [Google Scholar] [CrossRef] [PubMed]
- Zhou, S.; Wu, T.; Wang, S.; Hu, B. Identification of candidate genes controlling cold tolerance at the early seedling stage from Dongxiang wild rice by QTL mapping, BSA-Seq and RNA-Seq. BMC Plant Biol. 2024, 24, 649. [Google Scholar] [CrossRef] [PubMed]
- Zhang, R.-J.; Liu, B.; Song, S.-S.; Salah, R.; Song, C.-J.; Xia, S.-W.; Hao, Q.; Liu, Y.-J.; Li, Y.; Lai, Y.-S. Lipid-related domestication accounts for the extreme cold sensitivity of semiwild and tropic Xishuangbanna cucumber (Cucumis sativus L. var. xishuangbannanesis). Int. J. Mol. Sci. 2023, 25, 79. [Google Scholar] [CrossRef] [PubMed]
- Dong, J.; Li, J.; Zuo, Y.; Wan, J.; Chen, Y.; Tu, W.; Wang, H.; Li, C.; Shan, Y.; Wang, Y.; et al. Haplotype-resolved genome and mapping of freezing tolerance in the wild potato Solanum commersonii. Hortic. Res. 2024, 11, uhae181. [Google Scholar] [CrossRef] [PubMed]
- Ristova, D.; Metesch, K.; Busch, W. Natural genetic variation shapes root system responses to phytohormones in Arabidopsis. Plant J. 2017, 96, 468–481. [Google Scholar] [CrossRef]
- Oh, E.; Kang, H.; Yamaguchi, S.; Yamaguchi, S.; Park, J.; Lee, D.; Kamiya, Y.; Choi, G. Genome-wide analysis of genes targeted by PHYTOCHROME INTERACTING FACTOR 3-LIKE5 during seed germination in Arabidopsis. Plant Cell 2009, 21, 403–419. [Google Scholar] [CrossRef]
- Huang, R.; Liu, Z.; Xing, M.; Yang, Y.; Wu, X.; Liu, H.; Liang, W. Heat stress suppresses Brassica napus seed oil accumulation by inhibition of photosynthesis and BnWRI1 pathway. Plant Cell Physiol. 2019, 60, 1457–1470. [Google Scholar] [CrossRef]
- Zhao, Q.; Liu, C. Chloroplast chaperonin: An intricate protein folding machine for photosynthesis. Front. Mol. Biosci. 2018, 4, 98. [Google Scholar] [CrossRef]
- Filyushin, M.A.; Anisimova, O.K.; Shchennikova, A.V.; Kochieva, E.Z. DREB1 and DREB2 genes in garlic (Allium sativum L.): Genome-wide identification, Characterization, and Stress Response. Plants 2023, 12, 2538. [Google Scholar] [CrossRef]
- Koskela, M.M.; Brünje, A.; Ivanauskaite, A.; Grabsztunowicz, M.; Lassowskat, I.; Neumann, U.; Dinh, T.V.; Sindlinger, J.; Schwarzer, D.; Wirtz, M.; et al. Chloroplast acetyltransferase NSI is required for state transitions in Arabidopsis thaliana. Plant Cell 2018, 30, 1695–1709. [Google Scholar] [CrossRef]
- Wu, X.; Chen, B.; Lu, G. Quality Control Standards for Rapeseed Germplasm Data; China Agricultural Press: Beijing, China, 2007; p. 27. [Google Scholar]
- Conesa, A.; Nueda, M.J.; Ferrer, A.; Talón, M. maSigPro: A method to identify significantly differential expression profiles in time-course microarray experiments. Bioinformatics 2006, 22, 1096–1102. [Google Scholar] [CrossRef] [PubMed]
- Langfelder, P.; Horvath, S. WGCNA: An R package for weighted correlation network analysis. BMC Bioinform. 2008, 9, 559. [Google Scholar] [CrossRef] [PubMed]








| ZS11 Gene ID | Gene_chr | Gene_start | Gene_end | Gene _length | SNP or InDel Location | Arabidopsis Gene ID | Description | Reference |
|---|---|---|---|---|---|---|---|---|
| BnaC09G0348300ZS | C09 | 44269434 | 44272091 | 2658 | intergenic, upstream, coding region | AT5G52850 | Encodes a trichome protein. | Wienkoop et al., 2004 [61] |
| BnaC09G0348700ZS | C09 | 44331062 | 44332915 | 852 | intergenic, upstream, coding region, downstream | AT5G52880 | Encodes a F-box family protein. | Kuroda et al., 2012 [62] |
| BnaC09G0349600ZS | C09 | 44407051 | 44409392 | 771 | intergenic, upstream, coding region | AT5G52882 | AT5G52882 is a nitrate responsive gene, encodes a P-loop containing nucleoside triphosphate hydrolases superfamily protein. | Vidal et al., 2013 [63] |
| BnaC09G0349700ZS | C09 | 44477743 | 44481064 | 1338 | intergenic, upstream, coding region | AT5G52890 | Encodes an AT hook motif-containing protein. | Araport11 |
| BnaC09G0351400ZS | C09 | 44707220 | 44720688 | 1155 | intergenic, upstream, coding region | AT5G53110 | RING/U-box superfamily protein | Araport11 |
| BnaC09G0351800ZS | C09 | 44770576 | 44771014 | 297 | intergenic, upstream, coding region | / | / | / |
| BnaC09G0352400ZS | C09 | 44856686 | 44857590 | 555 | intergenic, upstream, coding region, downstream | AT5G53160 | Encodes RCAR3, a regulatory component of ABA receptor. Interacts with protein phosphatase 2Cs ABI1 and ABI2. Stimulates ABA signaling. Overexpression of PYL8/RCAR3 produces hypersensitivity to ABA in seed germination and increased tolerance to water stress in vegetative tissues. | Saavedra et al., 2010 [64] |
| BnaC09G0353200ZS | C09 | 44949935 | 44951760 | 432 | intergenic, coding region, downstream | AT3G13470 | Encodes a chloroplast chaperonin, CPN60B2, which is related to cold-resistant proteins. | Trentmann et al., 2020 [65] |
| BnaC09G0354200ZS | C09 | 45117551 | 45118636 | 1086 | intergenic, upstream, coding region, downstream | AT5G53290 | AT5G53290 is rapidly and strongly induced under low temperatures, encodes a member of the ERF (ethylene response factor) subfamily B-5 of ERF/AP2 transcription factor family. It responded to cold via a cytokinin two-component signaling (TCS)-independent pathway. | Park et al., 2015; Jeon et al., 2016 [66,67] |
| BnaC09G0356000ZS | C09 | 45492486 | 45494637 | 873 | intergenic, upstream, coding region, downstream | AT5G53420 | AT5G53420 responses to N-treatment, encodes a CCT motif family protein CCT101. | Li et al., 2020 [68] |
| BnaC09G0356200ZS | C09 | 45509221 | 45512694 | 2285 | intergenic, upstream, coding region | AT5G53450 | Encodes FBN11 protein. Responses to osmotic stress. | Choi et al., 2021 [69] |
| BnaC09G0356600ZS | C09 | 45562081 | 45563185 | 813 | intergenic, coding region, downstream | AT5G53490 | Encodes thylakoid lumenal 17.4 kDa protein (TL17). | Gollan et al., 2021 [70] |
| BnaC09G0356700ZS | C09 | 45563969 | 45567618 | 3389 | intergenic, upstream, coding region | AT5G53500 | Encodes a transducin/WD40 repeat-like superfamily protein CB5E. | Araport11 |
| BnaC09G0357400ZS | C09 | 45684736 | 45687186 | 573 | upstream, coding region | AT5G53560 | Encodes a cytochrome b5 isoform E (CB5E). When CB5E is overexpressed with FAD2 or FAD3, can enhance the capacity of w-6 desaturation or w-3 desaturation. | Kumar et al., 2012 [53] |
| BnaC09G0359400ZS | C09 | 45918847 | 45919488 | 642 | intergenic, coding region, downstream | AT5G53730 | Encodes a phloem-specific membrane protein, NHL26. Overexpression of NHL26 alters phloem export and sugar partitioning in Arabidopsis. | Vilaine et al., 2013 [71] |
| BnaC09G0359700ZS | C09 | 45980345 | 45983640 | 1710 | intergenic, upstream, coding region | AT5G53760 | Encodes mildew resistance locus of protein MLO11. Atmol11 mutant shown an abnormal root phenotype. | Bidzinski ET AL., 2014 [72]; Nguyen et al., 2016 [73] |
| BnaC09G0359800ZS | C09 | 45995055 | 45998065 | 1816 | intergenic, upstream, coding region | AT5G53770 | Encodes a nucleotidyltransferase family protein TRL (TRF4/5-like), which is a terminal nucleotidyltransferase that is mainly responsible for oligoadenylation of rRNA precursors in Arabidopsis. | Sikorski et al., 2015 [74] |
| BnaC09G0360900ZS | C09 | 46180257 | 46181292 | 954 | intergenic, coding region | AT5G53870 | Encodes early nodulin-like protein 1 ENODL1. AtENODL1 is a strong candidate gene associated with geotropism. | Wilkinson et al., 2021 [75] |
| BnaC09G0361200ZS | C09 | 46225547 | 46226986 | 1440 | coding region | AT5G53890 | Encodes a leucine-rich repeat receptor kinase (LRR-RK) involved in the perception of phytosulfokine (PSK), which is a 5-aa tyrosine-sulfated peptide that primarily promotes cellular proliferation. | Kaufmann et al., 2021 [76] |
Disclaimer/Publisher’s Note: The statements, opinions and data contained in all publications are solely those of the individual author(s) and contributor(s) and not of MDPI and/or the editor(s). MDPI and/or the editor(s) disclaim responsibility for any injury to people or property resulting from any ideas, methods, instructions or products referred to in the content. |
© 2025 by the authors. Licensee MDPI, Basel, Switzerland. This article is an open access article distributed under the terms and conditions of the Creative Commons Attribution (CC BY) license (https://creativecommons.org/licenses/by/4.0/).
Share and Cite
Jiang, J.; Li, R.; Wang, K.; Xu, Y.; Lu, H.; Zhang, D. Combined Bulked Segregant Analysis-Sequencing and Transcriptome Analysis to Identify Candidate Genes Associated with Cold Stress in Brassica napus L. Int. J. Mol. Sci. 2025, 26, 1148. https://doi.org/10.3390/ijms26031148
Jiang J, Li R, Wang K, Xu Y, Lu H, Zhang D. Combined Bulked Segregant Analysis-Sequencing and Transcriptome Analysis to Identify Candidate Genes Associated with Cold Stress in Brassica napus L. International Journal of Molecular Sciences. 2025; 26(3):1148. https://doi.org/10.3390/ijms26031148
Chicago/Turabian StyleJiang, Jiayi, Rihui Li, Kaixuan Wang, Yifeng Xu, Hejun Lu, and Dongqing Zhang. 2025. "Combined Bulked Segregant Analysis-Sequencing and Transcriptome Analysis to Identify Candidate Genes Associated with Cold Stress in Brassica napus L" International Journal of Molecular Sciences 26, no. 3: 1148. https://doi.org/10.3390/ijms26031148
APA StyleJiang, J., Li, R., Wang, K., Xu, Y., Lu, H., & Zhang, D. (2025). Combined Bulked Segregant Analysis-Sequencing and Transcriptome Analysis to Identify Candidate Genes Associated with Cold Stress in Brassica napus L. International Journal of Molecular Sciences, 26(3), 1148. https://doi.org/10.3390/ijms26031148

