Comprehensive Analysis of CaFAD Genes Involved in Fatty Acid Accumulation in Coffea arabica and Functional Characterization of CaFAD8 in Transgenic Arabidopsis thaliana
Abstract
1. Introduction
2. Results
2.1. Identification and Physiochemical Analysis of CaFAD Gene Family Protein in C. arabica
2.2. Phylogenetic Tree Analysis of the CaFAD Gene Family in C. arabica
2.3. Analysis of Conserved Motifs, Domains, and Gene Structures of CaFAD Family Members in C. arabica
2.4. Analysis of Chromosomal Distribution of CaFAD Genes in C. arabica
2.5. Analysis of Homologous Relationships Among CaFAD Family Members in C. arabica
2.6. Codon Usage Bias Analysis of the CaFAD Gene Family Members in C. arabica
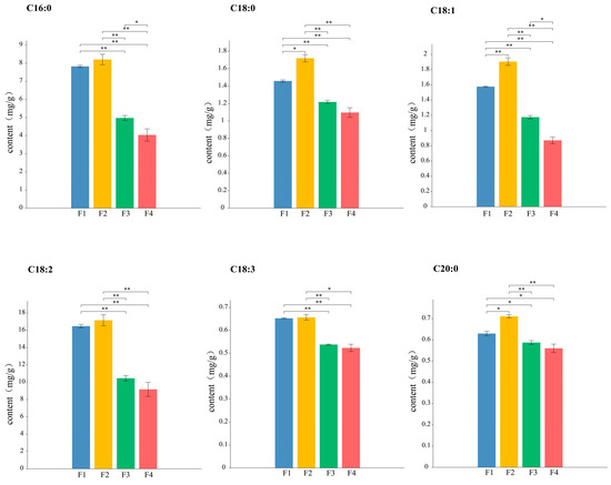
2.7. Determination of Fatty Acid Variation Trends in C. arabica
2.8. Expression Analysis of Genes Related to Fatty Acid Accumulation in C. arabica Seeds During Fruit Development
2.9. Real-Time Fluorescence Quantitative Verification Analysis
2.10. Subcellular Localization Analysis of the CaFAD8 Gene in C. arabica
2.11. Fatty Acid Profiling in Seeds of CaFAD8-Overexpressing A. thaliana
3. Discussion
4. Materials and Methods
4.1. Identification and Structural Analysis of CaFAD Gene Family Members in C. arabica
4.2. Genetic Evolution Analysis of CaFAD Gene Family
4.3. Determination of Fatty Acid Variation in C. arabica
4.4. Gene Expression Analysis of CaFAD Genes in C. arabica at Different Stages
4.5. Subcellular Localization Analysis of CaFAD8
4.6. Functional Analysis of CaFAD8 in Transgenic Arabidopsis thaliana
5. Conclusions
Supplementary Materials
Author Contributions
Funding
Data Availability Statement
Conflicts of Interest
References
- AL-Asmari, K.M.; Abu Zeid, I.M.; Al-Attar, A.M. Medicinal properties of arabica coffee (Coffea arabica) oil: An overview. Adv. Life Sci. 2020, 8, 20–29. [Google Scholar]
- Ge, Y.; Wang, B.; Shi, X.; Zhang, Z.; Qi, M.; Du, H.; Qu, P.; Jiang, K.; Chen, Z.; Li, X. Multi-omics analyses unravel genetic relationship of Chinese coffee germplasm resources. Forests 2024, 15, 163. [Google Scholar] [CrossRef]
- Amalia, F.; Aditiawati, P.; Yusianto; Putri, S.P.; Fukusaki, E. Gas chromatography/mass spectrometry-based metabolite profiling of coffee beans obtained from different altitudes and origins with various postharvest processing. Metabolomics 2021, 17, 69. [Google Scholar] [CrossRef]
- Liu, C.; Yang, N.; Yang, Q.; Ayed, C.; Linforth, R.; Fisk, I.D. Enhancing robusta coffee aroma by modifying flavour precursors in the green coffee bean. Food Chem. 2019, 281, 8–17. [Google Scholar] [CrossRef]
- Worku, M.; de Meulenaer, B.; Duchateau, L.; Boeckx, P. Effect of altitude on biochemical composition and quality of green arabica coffee beans can be affected by shade and postharvest processing method. Food Res. Int. 2018, 105, 278–285. [Google Scholar] [CrossRef] [PubMed]
- Liu, K.; Zhao, S.; Wang, S.; Wang, H.; Zhang, Z. Identification and analysis of the FAD gene family in walnuts (Juglans regia L.) based on transcriptome data. BMC Genom. 2020, 21, 299. [Google Scholar] [CrossRef] [PubMed]
- Wagemaker, T.A.L.; Carvalho, C.R.L.; Maia, N.B.; Baggio, S.R.; Guerreiro Filho, O. Sun protection factor, content and composition of lipid fraction of green coffee beans. Ind. Crop. Prod. 2011, 33, 469–473. [Google Scholar] [CrossRef]
- Dong, W.; Chen, Q.; Wei, C.; Hu, R.; Long, Y.; Zong, Y.; Chu, Z. Comparison of the effect of extraction methods on the quality of green coffee oil from arabica coffee beans: Lipid yield, fatty acid composition, bioactive components, and antioxidant activity. Ultrason. Sonochem. 2021, 74, 105578. [Google Scholar] [CrossRef]
- Mehari, B.; Redi-Abshiro, M.; Chandravanshi, B.S.; Combrinck, S.; McCrindle, R.; Atlabachew, M. GC-MS profiling of fatty acids in green coffee (Coffea arabica L.) beans and chemometric modeling for tracing geographical origins from Ethiopia. J. Sci. Food Agr. 2019, 99, 3811–3823. [Google Scholar] [CrossRef] [PubMed]
- Fassio, L.O.; Malta, M.R.; Carvalho, G.R.; Liska, G.R.; Lima, P.M.; Nadaleti, D.H.S.; Fonseca, A.J.; Pimenta, C.J. Fatty acids profile of Coffea arabica L. resistant to leaf rust grown in two environments of Minas Gerais, Brazil. J. Agric. Sci. 2017, 9, 88–98. [Google Scholar] [CrossRef]
- Zhu, M.; Long, Y.; Ma, Y.; Chen, Y.; Yu, Q.; Xie, J.; Li, B.; Tian, J. Comparison of chemical and fatty acid composition of green coffee bean (Coffea arabica L.) from different geographical origins. LWT 2021, 140, 110802. [Google Scholar] [CrossRef]
- Syukri, D.; Sari, F.I.P. Roasting conditions on metabolic profile of black honey arabica coffee (Coffea arabica). IOP Conf. Ser. Earth Environ. Sci. 2023, 1182, 012048. [Google Scholar] [CrossRef]
- Alabdalall, A.H. Gas chromatography-mass spectrometry analysis of fatty acids in healthy and Aspergillus niger MH078571.1-infected Arabica coffee beans. PLoS ONE 2024, 19, e0293369. [Google Scholar] [CrossRef] [PubMed]
- Li, J.; Galla, A.; Avila, C.A.; Flattmann, K.; Vaughn, K.; Goggin, F.L. Fatty acid desaturases in the chloroplast and endoplasmic reticulum promote susceptibility to the green peach aphid Myzus persicae in Arabidopsis thaliana. Mol. Plant Microbe Interact. 2021, 34, 691–702. [Google Scholar] [CrossRef]
- Shaheen, N.; Khan, U.M.; Farooq, A.; Zafar, U.B.; Khan, S.H.; Ahmad, S.; Azhar, M.T.; Atif, R.M.; Rana, I.A.; Seo, H. Comparative transcriptomic and evolutionary analysis of FAD-like genes of Brassica species revealed their role in fatty acid biosynthesis and stress tolerance. BMC Plant Biol. 2023, 23, 250. [Google Scholar] [CrossRef] [PubMed]
- Dvorianinova, E.M.; Zinovieva, O.L.; Pushkova, E.N.; Zhernova, D.A.; Rozhmina, T.A.; Povkhova, L.V.; Novakovskiy, R.O.; Sigova, E.A.; Turba, A.A.; Borkhert, E.V.; et al. Key FAD2, FAD3, and SAD genes involved in the fatty acid synthesis in flax identified based on genomic and transcriptomic data. Int. J. Mol. Sci. 2023, 24, 14885. [Google Scholar] [CrossRef]
- Saini, R.; Kumar, S. Genome-wide identification, characterization and in-silico profiling of genes encoding FAD (fatty acid desaturase) proteins in chickpea (Cicer arietinum L.). Plant Gene 2019, 18, 100180. [Google Scholar] [CrossRef]
- Dar, A.A.; Choudhury, A.R.; Kancharla, P.K.; Arumugam, N. The FAD2 gene in plants: Occurrence, regulation, and role. Front. Plant Sci. 2017, 8, 1789. [Google Scholar] [CrossRef]
- Liu, W.; Li, W.; He, Q.; Daud, M.K.; Chen, J.; Zhu, S. Characterization of 19 genes encoding membrane-bound fatty acid desaturases and their expression profiles in Gossypium raimondii under low temperature. PLoS ONE 2015, 10, e0123281. [Google Scholar] [CrossRef]
- Oura, T.; Kajiwara, S. Disruption of the sphingolipid Δ8-desaturase gene causes a delay in morphological changes in Candida albicans. Microbiology 2008, 154, 3795–3803. [Google Scholar] [CrossRef][Green Version]
- Gai, W.Y.; Sun, H.; Hu, Y.; Liu, C.Y.; Zhang, Y.X.; Gai, S.P.; Yuan, Y.C. Genome-wide identification of membrane-bound fatty acid desaturase genes in three peanut species and their expression in Arachis hypogaea during drought stress. Genes 2022, 13, 1718. [Google Scholar] [CrossRef] [PubMed]
- Zhao, Y.Q.; Xie, Q.J.; Yang, Q.; Cui, J.M.; Tna, W.Q.; Zhang, D.W.; Xiang, J.H.; Deng, L.C.; Guo, Y.M.; Li, M.; et al. Genome-wide identification and evolutionary analysis of the NRAMP gene family in the AC genomes of Brassica species. BMC Plant Biol. 2024, 24, 311. [Google Scholar]
- Holub, E.B. The arms race is ancient history in Arabidopsis, the wildflower. Nat. Rev. Genet. 2001, 2, 516–527. [Google Scholar] [CrossRef]
- Li, D.L.; Li, H.B.; Feng, H.M.; Qi, P.; Wu, Z.C. Unveiling kiwifruit TCP genes: Evolution, functions, and expression insights. Plant Signal. Behav. 2024, 19, 2338985. [Google Scholar] [CrossRef] [PubMed]
- Bhattacharyya, D.; Uddin, A.; Das, S.; Chakraborty, S. Mutation pressure and natural selection on codon usage in chloroplast genes of two species in Pisum L. (Fabaceae: Faboideae). Mitochondrial DNA A 2019, 30, 664–673. [Google Scholar] [CrossRef] [PubMed]
- Koshiro, Y.; Jackson, M.C.; Nagai, C.; Ashihara, H. Changes in the content of sugars and organic acids during ripening of Coffea arabica and Coffea canephora fruits. Eur. Chem. Bull. 2015, 4, 378–383. [Google Scholar]
- Pushkova, E.N.; Povkhova, L.V.; Dvorianinova, E.M.; Novakovskiy, R.O.; Rozhmina, T.A.; Gryzunov, A.A.; Sigova, E.A.; Zhernova, D.A.; Borkhert, E.V.; Turba, A.A.; et al. Expression of FAD and SAD genes in developing seeds of flax varieties under different growth conditions. Plants 2024, 13, 956. [Google Scholar] [CrossRef] [PubMed]
- Xi, R.; Liu, H.F.; Chen, Y.J.; Zhuang, H.M.; Hna, H.W.; Wang, H.; Wang, Q.; Li, N. Genome-wide characterization of tomato FAD gene family and expression analysis under abiotic stresses. Plants 2023, 12, 3818. [Google Scholar] [CrossRef]
- Feng, J.Y.; Dong, Y.T.; Liu, W.; He, Q.L.; Daud, M.K.; Chen, J.H.; Zhu, S.J. Genome-wide identification of membrane-bound fatty acid desaturase genes in Gossypium hirsutum and their expressions during abiotic stress. Sci. Rep. 2017, 7, 45711. [Google Scholar] [CrossRef] [PubMed]
- Dong, Y.Y.; Wang, X.J.; Ahmad, N.; Sun, Y.P.; Wang, Y.X.; Liu, X.M.; Yao, N.; Jiang, Y.; Du, L.N.; Li, X.W.; et al. The Carthamus tinctorius L. genome sequence provides insights into synthesis of unsaturated fatty acids. BMC Genom. 2024, 25, 510. [Google Scholar] [CrossRef] [PubMed]
- Dong, C.J.; Cao, N.; Zhang, Z.G.; Shang, Q.M. Characterization of the fatty acid desaturase genes in cucumber: Structure, phylogeny, and expression patterns. PLoS ONE 2016, 11, e0149917. [Google Scholar] [CrossRef] [PubMed]
- Yin, D.; Xu, W.Z.; Shu, Q.Y.; Li, S.S.; Wu, Q.; Feng, C.Y.; Gu, Z.Y.; Wang, L.S. Fatty acid desaturase 3 (PsFAD3) from Paeonia suffruticosa reveals high α-linolenic acid accumulation. Plant Sci. 2018, 274, 212–222. [Google Scholar] [CrossRef] [PubMed]
- Sun, D.Q.; Quan, W.Z.; Wang, D.; Cui, J.Y.; Wang, T.Y.; Lin, M.; Wang, Y.J.; Wang, N.; Dong, Y.Y.; Li, X.W.; et al. Genome-Wide Identification and Expression Analysis of Fatty Acid Desaturase (FAD) Genes in Camelina sativa (L.) Crantz. Int. J. Mol. Sci. 2022, 23, 14550. [Google Scholar] [CrossRef]
- Raboanatahiry, N.; Yin, Y.T.; Chen, K.; He, J.J.; Yu, L.J.; Li, M.T. In silico analysis of fatty acid desaturases structures in Camelina sativa, and functional evaluation of Csafad7 and Csafad8 on seed oil formation and seed morphology. Int. J. Mol. Sci. 2021, 22, 10857. [Google Scholar] [CrossRef]
- Wu, D.; Yang, S.-M.; Shang, Z.-W.; Xu, J.; Zhao, D.-G.; Wang, H.-B.; Shen, Q. Genome-wide analysis of the fatty acid desaturase gene family reveals the key role of PfFAD3 in α-linolenic acid biosynthesis in perilla seeds. Front. Genet. 2021, 12, 735862. [Google Scholar]
- Miao, X.M.; Zhang, L.J.; Hu, X.W.; Nan, S.Z.; Chen, X.L.; Fu, H. Cloning and functional analysis of the FAD2 gene family from desert shrub Artemisia sphaerocephala. BMC Plant Biol. 2019, 19, 481. [Google Scholar] [CrossRef]
- Zhao, M.; Wang, W.Y.; Wei, L.; Chen, P.; Peng, L.; Qin, Z.; Yuan, F.J.; Wang, Z.; Ying, X.X. The evolution and biocatalysis of FAD2 indicate its correlation to the content of seed oil in plants. Int. J. Mol. Sci. 2019, 20, 849. [Google Scholar] [CrossRef] [PubMed]
- Kodama, H.; Horiguchi, G.; Nishiuchi, T.; Nishimura, M.; Iba, K. Fatty acid desaturation during chilling acclimation is one of the factors involved in conferring low-temperature tolerance to young tobacco leaves. Plant Physiol. 1995, 107, 1177–1185. [Google Scholar] [CrossRef] [PubMed]
- Li, D.D.; Li, K.J.; Zhou, G.C.; He, S.T. Effects of temperature and salt stress on the expression of delta-12 fatty acid desaturase genes and fatty acid compositions in safflower. Int. J. Mol. Sci. 2023, 24, 2765. [Google Scholar] [CrossRef] [PubMed]
- Ding, Z.T.; Shen, J.Z.; Pan, L.L.; Wang, Y.U.; Li, Y.S.; Wang, Y.; Sun, H.W. CsSAD: A fatty acid desaturase gene involved in abiotic resistance in Camellia sinensis (L.). Genet. Mol. Res. 2016, 15, 15017512. [Google Scholar] [CrossRef]
- Wang, J.; Shao, Y.; Yang, X.; Zhang, C.; Guo, Y.; Liu, Z.; Chen, M. Heterogeneous expression of stearoyl-acyl carrier protein desaturase genes SAD1 and SAD2 from Linum usitatissimum enhances seed oleic acid accumulation and seedling cold and drought tolerance in Brassica napus. J. Integr. Agric. 2024, 23, 1864–1878. [Google Scholar] [CrossRef]
- Tsegay, G.; Redi-Abshiro, M.; Chandravanshi, B.S.; Ele, E.; Mohammed, A.M.; Mamo, H. Effect of altitude of coffee plants on the composition of fatty acids of green coffee beans. BMC Chem. 2020, 14, 36. [Google Scholar] [CrossRef]
- Joët, T.; Laffargue, A.; Descroix, F.; Doulbeau, S.; Bertrand, B.; Kochko, A.D.; Dussert, S. Influence of environmental factors, wet processing and their interactions on the biochemical composition of green Arabica coffee beans. Food Chem. 2010, 118, 693–701. [Google Scholar] [CrossRef]
- Bertrand, B.; Villarreal, D.; Laffargue, A.; Posada, H.; Lashermes, P.; Dussert, S. Comparison of the effectiveness of fatty acids, chlorogenic acids, and elements for the chemometric discrimination of coffee (Coffea arabica L.) varieties and growing origins. J. Agric. Food Chem. 2008, 56, 2273–2280. [Google Scholar] [CrossRef] [PubMed]
- Toci, A.T.; Neto, V.J.; Torres, A.G.; Farah, A. Changes in triacylglycerols and free fatty acids composition during storage of roasted coffee. Lwt-Food Sci. Technol. 2013, 50, 581–590. [Google Scholar] [CrossRef]
- Chen, C.J.; Wu, Y.; Li, J.W.; Wang, X.; Zeng, Z.H.; Xu, J.; Liu, Y.L.; Feng, J.T.; Chen, H.; He, Y.H.; et al. TBtools-II: A “one for all, all for one” bioinformatics platform for biological big-data mining. Mol. Plant 2023, 16, 1733–1742. [Google Scholar] [CrossRef] [PubMed]
- Wang, Z.K.; Liu, Y.; Zheng, H.Y.; Tang, M.Q.; Xie, S.Q. Comparative analysis of codon usage patterns in nuclear and chloroplast genome of dalbergia (Fabaceae). Genes 2023, 14, 1110. [Google Scholar] [CrossRef] [PubMed]
- Ge, Y.; Zang, X.; Yang, Y.; Wang, T.; Ma, W. In-depth analysis of potential PaAP2/ERF transcription factor related to fatty acid accumulation in avocado (Persea americana Mill.) and functional characterization of two PaAP2/ERF genes in transgenic tomato. Plant Physiol. Biochem. 2021, 158, 308–320. [Google Scholar] [CrossRef] [PubMed]
- Freitas, N.C.; Barreto, H.G.; Fernandes-Brum, C.N.; Moreira, R.O.; Chalfun-Junior, A.; Paiva, L.V. Validation of reference genes for qPCR analysis of Coffea arabica L. somatic embryogenesis-related tissues. Plant Cell Tissue Organ Cult. 2017, 3, 663–678. [Google Scholar] [CrossRef]






Disclaimer/Publisher’s Note: The statements, opinions and data contained in all publications are solely those of the individual author(s) and contributor(s) and not of MDPI and/or the editor(s). MDPI and/or the editor(s) disclaim responsibility for any injury to people or property resulting from any ideas, methods, instructions or products referred to in the content. |
© 2025 by the authors. Licensee MDPI, Basel, Switzerland. This article is an open access article distributed under the terms and conditions of the Creative Commons Attribution (CC BY) license (https://creativecommons.org/licenses/by/4.0/).
Share and Cite
Zhang, Z.; Li, X.; Qi, M.; Anwar, S.; Wang, B.; Ge, Y. Comprehensive Analysis of CaFAD Genes Involved in Fatty Acid Accumulation in Coffea arabica and Functional Characterization of CaFAD8 in Transgenic Arabidopsis thaliana. Int. J. Mol. Sci. 2025, 26, 1023. https://doi.org/10.3390/ijms26031023
Zhang Z, Li X, Qi M, Anwar S, Wang B, Ge Y. Comprehensive Analysis of CaFAD Genes Involved in Fatty Acid Accumulation in Coffea arabica and Functional Characterization of CaFAD8 in Transgenic Arabidopsis thaliana. International Journal of Molecular Sciences. 2025; 26(3):1023. https://doi.org/10.3390/ijms26031023
Chicago/Turabian StyleZhang, Zhenwei, Xuejun Li, Meijun Qi, Sumera Anwar, Butian Wang, and Yu Ge. 2025. "Comprehensive Analysis of CaFAD Genes Involved in Fatty Acid Accumulation in Coffea arabica and Functional Characterization of CaFAD8 in Transgenic Arabidopsis thaliana" International Journal of Molecular Sciences 26, no. 3: 1023. https://doi.org/10.3390/ijms26031023
APA StyleZhang, Z., Li, X., Qi, M., Anwar, S., Wang, B., & Ge, Y. (2025). Comprehensive Analysis of CaFAD Genes Involved in Fatty Acid Accumulation in Coffea arabica and Functional Characterization of CaFAD8 in Transgenic Arabidopsis thaliana. International Journal of Molecular Sciences, 26(3), 1023. https://doi.org/10.3390/ijms26031023

