Abstract
The similar properties of the nitrogen atoms in azole ring complicate the regioselective N-functionalization of pyrazoles. This work demonstrates the role of the hydrazone substituent in the control of the alkylation selectivity of (trifluoromethyl)pyrazoles. Reaction conditions for the synthesis of 3- and 5-(trifluoromethyl)pyrazoles were developed, and all types of regioisomers formed under the alkylation of bis-pyrazolyl NH-ketazine were isolated. The structures of the synthesized compounds were confirmed by NMR spectroscopy and XRD data.
1. Introduction
Pyrazole-based compounds increasingly attract attention as promising agents in design of pharmaceuticals and agrochemicals (Figure 1) [1,2,3,4,5,6,7,8,9,10,11,12,13,14,15,16,17,18]. Many pyrazole derivatives also demonstrate significant luminescent, sensor, and catalytic properties, highlighting their versatile applications [14,19,20,21,22,23,24,25,26,27]. The tunability of the pyrazole core at four possible positions, including three carbon atoms, and one of the two nitrogen atoms makes this heterocycle a valuable tool in organic synthesis.
Figure 1.
Approved pyrazole-based drugs and agrochemicals synthesized by N-alkylation of heterocyclic core.
The diversity of pyrazole structures is achieved by heterocondensations of polyfunctional molecules, the so-called “building blocks”, to form five-membered cycles having two neighboring N-atoms substituted with different functional groups [14,15,19,20,21,22,23,24,25,26,27,28,29,30,31]. Another approach to substituted pyrazoles includes cycloaddition reactions with diazo compounds and unsaturated reagents. To modify the pyrazole ring, both metal-catalyzed and cross-coupling reactions are used [14].
However, the regioselective synthesis of N-substituted pyrazoles remains a challenging issue [32,33,34,35,36,37,38,39,40,41,42,43,44,45,46,47,48,49]. The regioselectivity can be achieved by varying the β-dielectrophilic reagents, including acylacetylenes, dicarbonyl compounds, alkoxyenones, enaminoketones, and pyranones, etc. [14]. The choice of reaction conditions plays a crucial role in directing the nucleophilic attack of substituted hydrazines in reactions with enaminoketones, functionalized β-diketonates, and pyranes, leading to the formation of individual regioisomers (Figure 2) [33,34,35,36].
Figure 2.
Regioselective approaches to the pyrazole core construction [33,34,35,36].
To obtain exclusively one regioisomeric pyrazole it is offered the transformations of five- or six-membered heterocycles (e.g., pyrimidines, sydnones, and thiazoles) based on skeletal editing (Figure 3) [39,40,41,42].
Figure 3.
Skeletal editing in the regioselective pyrazole synthesis [39,40,41,42].
N-Alkylation of unsymmetric pyrazoles typically yields a mixture of regioisomers. Regioselectivity of this reaction can be controlled by the nature of the bases used or by changing the size and charge of the cation (Figure 4) [37,38].
Figure 4.
Switching pyrazole N-alkylation regioselectivity [37,38].
Recently we have developed the synthesis of unsymmetric pyrazoles with different functional groups, based on the condensation of hydrazines with 1,2,4-triketones and their analogs [49,50,51,52]. In particular, acetyl- and hydrazone-substituted CF3-pyrazoles 2–4 are a flexible platform for derivatization (Figure 5).
Figure 5.
NH-pyrazoles derived from 1,2,4-triketone analog.
To design the bioactive molecules, acetylpyrazole 2 and its derivatives 5 were alkylated with amiridine-based chloroacetamide 6 (Scheme 1) [52]. Under standard conditions, the N-alkylation of acetylpyrazole 2 in the presence of potassium carbonate in acetonitrile resulted in a mixture of two possible products, 7 and 8, with the prevalence of 3-CF3-regioisomer. A similar alkylation of acetylpyrazole derivatives 5 also proceeded with the formation of two possible regioisomers, 9 and 10. However, in this case the reaction was accompanied by side processes involving the transformations of hydrazone substituents.
Scheme 1.
Previous results on N-alkylation of functionalized CF3-pyrazoles.
In this work we have investigated the alkylation of functionalized trifluoromethylated pyrazoles with ethyl iodoacetate. The attachment of a carboxylate substituent to the nitrogen atom of pyrazole is considered to be particularly valuable for the further synthesis of complex molecules in the search for biologically active compounds. On the other hand, pyrazolocarboxylates are attractive molecules as ligands for the synthesis of coordination compounds, including MOFs.
2. Results
2.1. Regioselective Synthesis of Pyrazoles
We initially chose CF3-pyrazole 2 with a 3-acetyl group, one of the available functional heterocycles based on the 1,2,4-triketone precursor, as the starting substrate for the alkylation. Pyrazole 2 reacted with iodoacetate in the presence of potassium carbonate under reflux in polar aprotic solvent to give an equimolar mixture of 3-CF3- and 5-CF3-regioisomeric pyrazoles 11 and 12 (Scheme 2). In contrast to the reported work [52], the lack of regioselectivity in NH-alkylation of pyrazole 2 was observed because of the functional group changing in the alkylating agent. The ratio of regioisomers was determined based on 19F NMR spectroscopy (see Section 2.2).
Scheme 2.
N-alkylation of acetyl-CF3-pyrazole 2. Reaction conditions: i: ICH2CO2Et, K2CO3, MeCN, reflux. * According to 19F NMR data of the reaction mixture (see Section 4.3.3, Figure S1).
The alkylation of hydrazine-substituted pyrazole 3 under the same conditions primarily led to symmetric ketazine 13, which had a substituent at the nitrogen atom adjacent to the CF3 group in the azole ring (Scheme 3). In addition to C-N bond formation, transamination of hydrazone fragments in pyrazole molecules took place. Along with compound 13, the complex mixture of alkylated products was observed.
Scheme 3.
N-alkylation of hydrazine-substituted CF3-pyrazole 3. Reaction conditions: i: ICH2CO2Et, K2CO3, MeCN, reflux. * According to 19F NMR data of the reaction mixture (see Section 4.3.3, Figure S2).
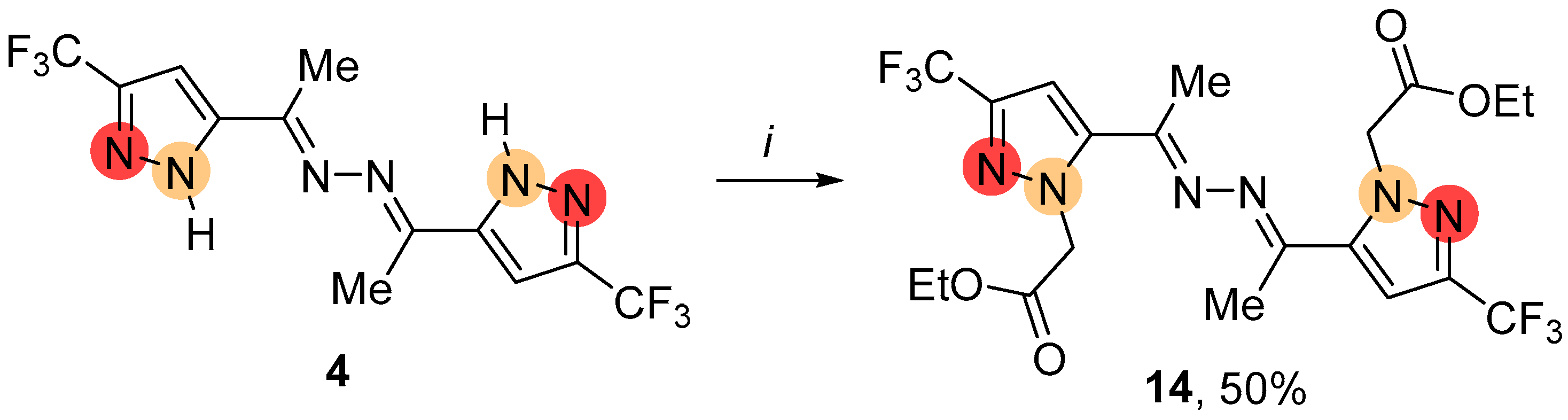
In contrast to a similar reaction of pyrazole 3, the alkylation of NH-ketazine 4 mainly produced the bis-pyrazole 14 (Scheme 4). According to NMR and XRD data, this symmetric product had the N-substituent adjacent to the hydrazone moiety. The traces of mono- and bis-alkylated regioisomeric by-products were registered by GC-MS and NMR spectroscopy. Replacing K2CO3/MeCN under reflux with the NaH/DME-MeCN system at room temperature resulted in enhanced selectivity, leading to a preparative yield of 50% for ketazine 14 (see Section 4.3.2).
Scheme 4.
N-alkylation of bis-CF3-pyrazole 4. Reaction conditions: i: ICH2CO2Et, NaH, DME–MeCN, r.t.
The reaction of pyrazole 3 with acetone yielded the product 15 that contained an azine fragment with a structure similar to NH-ketazine 4 (Scheme 5). However, the preferred nucleophilic center of the pyrazole 15 was the nitrogen atom adjacent to the CF3 group. Furthermore, the process in this case was accompanied by both the hydrolysis and transamination of hydrazone fragments to provide symmetric 5,5′- bis(trifluoromethyl)ketazine 13 as a major product. We also observed the minor formation of unsymmetric 3,5′-bis(trifluoromethyl)ketazine 16.
Scheme 5.
N-alkylation of hydrazine-substituted CF3-pyrazole. Reaction conditions: i: acetone, reflux; ii: ICH2CO2Et, K2CO3, MeCN, reflux.
To study the influence of the functional group on the alkylation, we synthesized the acetohydrazide- and carbazide-substituted pyrazoles 17 and 18 (Scheme 6). The further reactions of NH-pyrazoles 17 and 18 with ethyl iodoacetate proceeded in a highly regioselective manner, yielding exclusively the substituted 5-CF3-pyrazoles 19 and 20.
Scheme 6.
N-alkylation of CF3-pyrazoles with modified hydrazone groups. Reaction conditions: i: methyl carbazate, HClconc, MeOH, reflux; ii: acetohydrazide, AcOH, MeCN, reflux; iii: ICH2CO2Et, K2CO3, MeCN, reflux.
Pyridine-containing substituents are known to act as directing groups in regioselective processes [53]. The previously obtained pyrazolylhydrazone 21 with a pyridine moiety is therefore an interesting substrate for studying the alkylation [34]. It was found that using sodium hydride instead of potassium carbonate prevents the formation of regioisomeric products. As a result, the reaction of 21 with ethyl iodoacetate proceeded regioselectively at room temperature (Scheme 7). In this case, the structure of the product depended on the ratio of the starting substrate and the alkylating agent. An equimolar mixture of ethyl iodoacetate and 21 resulted in the formation of 5-regioisomeric CF3-pyrazole 22. Increasing the molar ratio of ethyl iodoacetate to the substrate promoted the further alkylation of the pyridine nitrogen atom, yielding disubstituted product 23.
Scheme 7.
N-alkylation of CF3-pyrazole 21. Reaction conditions: i: ICH2CO2Et (1.1 eq), NaH (1.1 eq), DME–MeCN, reflux; ii: ICH2CO2Et (2.2 eq), NaH (2.2 eq), DME–MeCN, reflux.
Next, we developed an efficient approach to the synthesis of regioisomeric 5,5′-bis-CF3-pyrazolylketazine 13 using the reaction of functionalized N-alkylated pyrazole 20 with hydrazine (Scheme 8). Pyrazole 20 reacted with hydrazine in ethanol under acid conditions to give the ketazine 13 in a high yield.
Scheme 8.
Synthesis of 5,5′-bis-CF3-pyrazole 13. Reaction conditions: i: NH2NH2·2HCl, EtOH, reflux.
Considering the potential of carboxylate ligands for coordination chemistry, we successfully hydrolyzed the regioisomeric CO2Et-containing ketazines 13 and 14 into the corresponding bis-pyrazole carboxylates 24 and 25 under basic conditions (Scheme 9).
Scheme 9.
Hydrolysis of ester derivatives. Reaction conditions: i: NaOHaq (10%), EtOH, reflux.
2.2. Regioisomeric Structure Determination
The structural differentiation of 3-CF3- and 5-CF3-substituted pyrazoles was readily achieved by analysis of 19F NMR spectra [34] (Figure 6 and Figure 7). Compared with NH-pyrazoles, the signal of the trifluoromethyl group of 5-CF3-pyrazoles was shifted downfield when substitution occurred at the adjacent nitrogen atom, whereas for 3-CF3-substituted derivatives, it appeared upfield in both DMSO-d6 and CDCl3 solutions. According to 13C NMR data, the characteristic signals of the CCF3- and CH groups were observed at different δC ranges and exhibited distinct JCF coupling constants, enabling unambiguous isomer identification (Figure 6). As for the proton signals, in the case of alkylated ketazine products, the differences were most evident in CDCl3 solutions (Figure 7).
Figure 6.
Characteristic 1H, 13C, and 19F NMR signals (DMSO-d6, δ, ppm) for starting NH-pyrazoles (3, 4, 15, 17, 18), alkylated 3-CF3-regioisomer (14) and 5-CF3-regioisomers (13, 19, 20, 22).
Figure 7.
1H, 19F NMR data (CDCl3, δ, ppm) for regioisomeric bis-(trifluoromethyl)ketazines 13, 14, and 16.
The crystal structures of (bis)pyrazoles 4, 13–16, and 25 were confirmed by XRD data (Figure 8, Table S1). All these products have substituents located in the trans position relative to the diazo fragment, as expected. In most pyrazoles, the azine fragment and the azole rings were coplanar. However, in product 15, the two imine groups lay in different planes and formed a dihedral angle of ~74° (see Figure S43). The orientation of the azole rings depended on the substituent position at the nitrogen atom of pyrazole. 3-CF3-Regioisomers had a common N,N-cavity involving the nitrogen atoms of the azole and hydrazone moieties, while the orientation of the azole rings and the hydrazone group in 5-CF3-pyrazole 13 prevented the formation of a single cavity. The structural patterns described for regioisomeric products also apply to the unsymmetric ketazine 16. Crystal packings of pyrazoles 4, 13–16, and 25 are shown in Supporting Information (Figures S44–S49).
Figure 8.
Molecular structure of pyrazoles 4, 13–16, 25 according to the XRD data.
3. Discussion
Pyrazole nitrogen atoms are known to have similar electronic properties. Therefore, NH-pyrazoles can exist in solution as an equilibrium mixture of two tautomers (Scheme 10). Pyrazolates are also expected to exhibit similar dual behavior due to the negative charge delocalization. This explains the lack of selectivity in some pyrazole N-alkylations [54].
Scheme 10.
Tautomeric forms of pyrazole and resonance structures of the pyrazolate anion.
Previous studies have shown that the selective introduction of an alkyl group at the NH fragment of pyrazoles is governed by both the electronic and steric properties of the substituents in the azole ring [37,38]. Alternatively, the pyrazole substituent may exert a directing effect during the reaction with the alkylating agent. This tendency became the focus of our research.
According to NMR data, initial trifluoromethylated NH-pyrazoles 2–4, 15, 17, 18, 21 exist exclusively as 3-CF3-regioisomers (see Section 2.2, Figure 6). This points to the influence of the CF3 group on the pyrazole nitrogen atoms, making them non-equivalent. In contrast, the selectivity of the reaction between pyrazoles and ethyl iodoacetate is guided by the azole functional group.
For acetylpyrazole 2, alkylation at the NH group was low-selective (Scheme 2). However, conversion of the acetyl group into a hydrazone moiety enhances the regioselectivity in some cases. The functionalization of the hydrazone fragment is crucial for the synthesis of N-substituted 5-CF3-pyrazoles. We propose that the functional group is coordinated with alkali metal ions of in situ-generated pyrazolates (Figure 9). The formation of a single chelate cavity sterically hinders one of the pyrazole N-atoms, preventing it from participating in a bimolecular nucleophilic substitution with ethyl iodoacetate. In the case of NH-ketazine 4 and pyrazole 15, such a coordination cavity does not appear to form; therefore, there are no steric hindrances for nucleophilic attack at the pyrazole nitrogen atom adjacent to the hydrazone fragment.
Figure 9.
Proposed structural factors influencing on the regioselectivity of NH-pyrazole alkylations.
The alkylation of NH-ketazine 4 results in symmetric product 14 containing a substituent at the pyrazole nitrogen atom adjacent to the azine group. In compound 4, the pyrazole substituents are presumably located in the trans position relative to the diazo fragment. This molecular conformation leads to alkylation of those nitrogen atoms of bis-pyrazole 4 that are distant from the CF3 group.
4. Materials and Methods
4.1. General Chemistry
Melting points were obtained on a Stuart SMP3 apparatus (Barloworld Scientific, Staffordshire, UK) and were uncorrected. The IR spectra were measured on a Perkin Elmer Spectrum Two instrument (Perkin Elmer, Waltham, MA, USA) equipped with a diamond crystal attenuated total reflectance (ATR) accessory in the 400–4000 cm–1 range. The 1H, 19F, and 13C NMR spectra of the synthesized compounds (see Supplementary Materials, Figures S1–S42) were recorded on a Bruker DRX-400 (400 MHz for 1H and 376 MHz for 19F) and Bruker Avance-500 spectrometers (Bruker BioSpin, Ettlingen, Germany) (500 MHz for 1H, 126 MHz for 13C, and 470 MHz for 19F) in DMSO-d6 and CDCl3 using SiMe4 (1H) and C6F6 (19F) as the internal standards. The 13C NMR chemical shifts were referenced to the DMSO-d6 signal (δC 39.5) or CDCl3 signal (δC 77.2). Microanalyses (C, H, N) were carried out on a Perkin Elmer PE 2400 II automatic analyzer (Perkin Elmer, Waltham, MA, USA). Mass spectra of reaction mixtures were recorded on a Shimadzu GCMSQP2020 gas chromatograph-mass spectrometer, EI ionization (70 eV). Analytical TLC (reaction progress monitoring and the products purity evaluation) was performed using ALUGRAM Xtra SIL G/UV254 plates (Macherey-Nagel GmbH & Co., Düren, Germany).
Single crystals of pyrazoles 4, 13–16, and 25 were obtained by slow evaporation from the corresponding solvent. The XRD experiments were performed on an Xcalibur 3 automated X-ray diffractometer (Oxford Diffraction, Milton Park Abingdon, Oxfordshire, UK) with a CCD detector according to standard procedure (MoKα-irradiation, graphite monochromator, ω-scans with 1° step at T = 295 (2) K). Empirical absorption correction was applied. The solution and refinement of the structures were accomplished using the OLEX2 1.2/1.3 software package [55]. The structures were solved with the SHELXT [56] structure solution program using Intrinsic Phasing and refined with the SHELXL [57] refinement package using Least Squares minimization. The X-ray diffraction data were deposited with the Cambridge Crystallographic Data Centre (CCDC no. 2488507 (4), 2488508 (13), 2488509 (14), 2488510 (15), 2488511 (16), 2488512 (25)). Copies of the data can be obtained, free of charge, on application to CCDC, 12 Union Road, Cambridge CB2 1EZ, UK [fax: +44(0)1223-336,033 or e-mail: deposit@ccdc.cam.ac.uk].
4.2. Reagents and Solvents
Acetylpyrazole 2 [49], hydrazonopyrazole 3, NH-ketazine 4 [50], and NH-pyrazole 21 [34] were prepared according to previously described procedures. Other reagents were purchased from commercial sources and used as received.
4.3. Experimental Procedures and Characterization Data of the Synthesized Compounds
4.3.1. Synthesis of NH-Pyrazoles 15, 17, 18
5-[1-(Propan-2-ylidenehydrazineylidene)ethyl]-3-(trifluoromethyl)-1H-pyrazole (15). Hydrazonopyrazole 3 (5 mmol, 960 mg) was dissolved and refluxed in 15 mL of acetone for 4 h. The solvent was evaporated and the residue was recrystallized from Et2O. Yield 994 mg (86%); yellow powder; mp 105–106 °C; IR ν 3139–2857 (C–H, N–H), 1646–1627 (C=C, C=N), 1253–1122 (C–F). 1H NMR (400 MHz, DMSO-d6) δ 1.92 (s, 3H, Me), 2.05 (s, 3H, Me), 2.17 (s, 3H, Me), 7.14 (s, 1H, CH), 14.06 (br.s, 1H, NH); 13C NMR (126 MHz, DMSO-d6) δ 14.4, 18.3, 24.7, 103.9, 121.5 (q, J = 268.2 Hz, CF3), 141.2 (q, J = 36.0 Hz, CCF3), 143.0 (br.s), 148.8, 161.9; 19F NMR (376 MHz, DMSO-d6) δ 102.19 (s, 3F, CF3); Anal. calcd. for C9H11F3N4. C, 46.55; H, 4.77; N, 24.13. Found: C, 46.29; H, 4.74; N, 23.97.
Methyl 2-{1-[3-(trifluoromethyl)-1H-pyrazol-5-yl]ethylidene}hydrazine-1-carboxylate (17). A mixture of acetylpyrazole 2 (5 mmol, 890 mg) and methyl carbazate (5 mmol, 450 mg) was refluxed in 15 mL of MeOH and 1 mL of HCl for 4 h. Then water was added, the precipitate formed was filtered off, washed by Et2O and dried. Yield 560 mg (45%); colorless powder; mp 198–199 °C; 1H NMR (400 MHz, DMSO-d6) δ 2.21 (s, 3H, Me), 3.72 (s, 3H, OMe), 7.01 (s, 1H, CH), 10.34 (s, 1H, NH), 13.90 (s, 1H, NHpyr); 13C NMR (126 MHz, DMSO-d6) δ 14.4, 52.0, 103.1, 121.6 (q, J = 268.1 Hz, CF3), 140.6, 141.2 (q, J = 37.0 Hz, CCF3), 143.0, 154.3; 19F NMR (376 MHz, DMSO-d6) δ 102.11 (s, 3F, CF3); Anal. calcd. for C8H9F3N4O2. C, 38.41; H, 3.63; N, 22.39. Found: C, 38.36; H, 3.43; N, 22.47. IR ν 3292–2958 (C–H, N–H), 1717 (C=O), 1620–1527 (C=C, C=N), 1241–1122 (C–O–C, C–F).
N’-{1-[3-(Trifluoromethyl)-1H-pyrazol-5-yl]ethylidene}acetohydrazide (18). A mixture of acetylpyrazole 2 (5 mmol, 890 mg) and acetohydrazide (5 mmol, 370 mg) was refluxed in 12 mL of MeCN and 3 mL of AcOH for 4 h. The precipitate formed was filtered off and recrystallized from MeCN–acetone/4:1. Yield 853 mg (73%); colorless powder; mp 228–229 °C; 1H NMR (400 MHz, DMSO-d6) δ (E + Z) 7.06 (s, 1H, CH), 13.87 (br.s, 1H, NHpyr); (E, 75%) 2.20 (s, 3H, Me), 2.26 (s, 3H, C(O)Me), 10.56 (s, 1H, NH); (Z, 25%) 2.05 (s, 3H, Me), 2.25 (s, 3H, C(O)Me), 10.47 (s, 1H, NH); 13C NMR (126 MHz, DMSO-d6) δ (E + Z) 121.5 (q, J = 268.1 Hz, CF3), 137.7, 141.3 (q, J = 36.7 Hz, CCF3); (E, 75%) 13.9, 20.7, 103.2, 143.1, 173.1; (Z, 25%) 14.5, 21.6, 103.6, 142.1, 166.1; 19F NMR (376 MHz, DMSO-d6) δ (E, 75%) 102.13 (s, 3F, CF3); (Z, 25%) 102.10 (s, 3F, CF3); Anal. calcd. for C8H9F3N4O. C, 41.03; H, 3.87; N, 23.92. Found C, 40.79; H, 3.76; N, 23.68. IR ν 3241–2861 (C–H, N–H), 1664 (C=O), 1611–1568 (C=C, C=N), 1259–1134 (C–F).
4.3.2. Alkylation of NH-Ketazine 4
Method A: A mixture of NH-ketazine 4 (1.5 mmol, 530 mg), potassium carbonate (4.5 mmol, 622 mg), and ethyl iodoacetate (3.3 mmol, 710 mg) was refluxed in 10 mL of dry MeCN for 4 h. The reaction mixture was analyzed by GC-MS: 3,3′-bis-(CF3)ketazine 14 (56%); 3,5′-bis-(CF3)ketazine 16 (35%); unidentified by-products (9%); 5,5′-bis-(CF3)ketazine 13 (0%).
Method B: Sodium hydride (3.3 mmol, 135 mg; 60% in mineral oil) was added to a solution of NH-ketazine 4 (1.5 mmol, 530 mg) in 7 mL of DME at 0–5 °C, then ethyl iodoacetate (3.3 mmol, 710 mg) dissolved in 3 mL of dry MeCN was added dropwise, and the suspension was stirred at room temperature for 3 h. The reaction mixture was analyzed by GC-MS: 3,3′-bis-(CF3)ketazine 14 (75%); 3,5′-bis-(CF3)ketazine 16 (21%); mono-3-(CF3)ketazine (4%); 5,5′-bis-(CF3)ketazine 13 (0%).
Diethyl 2,2′-{[hydrazine-1,2-diylidenebis(ethan-1-yl-1-ylidene)]bis [3-(trifluoromethyl)-1H-pyrazole-5,1-diyl]}diacetate (14) prepared by Method B was obtained after solvent evaporation as the residue, which was further washed by hot water and Et2O. Yield 392 mg (50%); yellow powder; mp 187–188 °C; 1H NMR (500 MHz, DMSO-d6) δ 1.15 (t, J = 7.1 Hz, 6H, 2OCH2CH3), 2.27 (s, 6H, 2Me), 4.11 (q, J = 7.1 Hz, 4H, 2OCH2CH3), 5.44 (s, 4H, 2CH2), 7.51 (s, 2H, 2CH); 13C NMR (126 MHz, DMSO-d6) δ 13.9, 16.2, 55.2, 61.1, 108.6, 121.1 (q, J = 268.2 Hz, CF3), 139.9 (q, J = 38.1 Hz, CCF3), 141.1, 152.7, 167.4; 19F NMR (470 MHz, DMSO-d6) δ 101.81 (s, 6F, 2CF3); 1H NMR (500 MHz, CDCl3) δ 1.24 (t, J = 7.2 Hz, 6H, 2OCH2CH3), 2.27 (s, 6H, 2Me), 4.19 (q, J = 7.1 Hz, 4H, 2OCH2CH3), 5.40 (s, 4H, 2CH2), 6.92 (s, 2H, 2CH); 19F NMR (470 MHz, CDCl3) δ 99.37 (s, 6F, 2CF3); Anal. calcd. for C20H22F6N6O4. C, 45.81; H, 4.23; N, 16.03. Found: C, 45.73; H, 4.00; N, 15.82. IR ν 3490, 3152–2908 (C–H), 1754 (C=O), 1620–1540 (C=C, C=N), 1272–1115 (C–O–C, C–F).
4.3.3. General Procedure for the Alkylation of NH-Pyrazoles 2, 3, 15, 17, 18 Using K2CO3
A mixture of an appropriate NH-pyrazole (2 mmol), potassium carbonate (3 mmol, 415 mg), and ethyl iodoacetate (2.2 mmol, 470 mg) was refluxed in 10 mL of dry MeCN for 4 h.
Diethyl 2,2′-{[hydrazine-1,2-diylidenebis(ethan-1-yl-1-ylidene)]bis [5-(trifluoromethyl)-1H-pyrazole-3,1-diyl]}diacetate (13) prepared from compound 15 (465 mg) was obtained after solvent evaporation as the residue, which was further washed by hot water and recrystallized from hexane–Et2O/2:1. Yield 65 mg (25%). (See Section 4.3.5 for spectral and elemental analysis data).
Ethyl 2-{3-[1-({1-[1-(2-ethoxy-2-oxoethyl)-3-(trifluoromethyl)-1H-pyrazol-5-yl]ethylidene}hydrazineylidene)ethyl]-5-(trifluoromethyl)-1H-pyrazol-1-yl}acetate (16) prepared from compound 15 (465 mg) was obtained after product 13 isolation by crystallization (slow evaporation) from hexane–Et2O/2:1 filtrate. Yield < 10 mg (traces); yellow crystals; mp 117–118 °C; 1H NMR (400 MHz, CDCl3) δ 1.23 (t, J = 7.1 Hz, 3H, OCH2CH3), 1.29 (t, J = 7.1 Hz, 3H, OCH2CH3), 2.27 (s, 3H, Me), 2.33 (s, 3H, Me), 4.19 (q, J = 7.1 Hz, 2H, OCH2CH3), 4.27 (q, J = 7.1 Hz, 2H, OCH2CH3), 5.05 (s, 2H, CH2), 5.44 (s, 2H, CH2), 6.89 (s, 1H, CH), 7.20 (d, J = 0.9 Hz, 1H, CH); 13C NMR (126 MHz, CDCl3) δ 14.0, 14.1, 14.3, 16.2, 52.5, 55.3, 61.7, 62.3, 106.9 (q, J = 2.5 Hz, CH), 107.4 (unresolved q, CH), 119.6 (q, J = 269.3 Hz, CF3), 120.9 (q, J = 268.6 Hz, CF3), 133.9 (q, J = 39.8 Hz, CCF3), 141.3, 141.8 (q, J = 38.9 Hz, CCF3), 150.9, 151.8, 155.5, 166.6, 167.5; 19F NMR (376 MHz, CDCl3) δ 99.41 (s, 3F, CF3), 101.57 (s, 3F, CF3); Anal. calcd. for C20H22F6N6O4. C, 45.81; H, 4.23; N, 16.03. Found: C, 46.01; H, 4.12; N, 15.86. IR ν 3507, 3161–2853 (C–H), 1758 (C=O), 1729 (C=O), 1618–1546 (C=C, C=N), 1279–1121 (C–O–C, C–F).
Methyl 2-{1-[1-(2-ethoxy-2-oxoethyl)-5-(trifluoromethyl)-1H-pyrazol-3-yl]ethylidene}hydrazine-1-carboxylate (19) prepared from compound 17 (500 mg) was obtained after solvent evaporation as the residue, which was further washed by hot water and Et2O. Yield 418 mg (62%); colorless powder; mp 159–160 °C; 1H NMR (400 MHz, DMSO-d6) δ 1.20 (t, J = 7.1 Hz, 3H, OCH2CH3), 2.21 (s, 3H, Me), 3.71 (s, 3H, OMe), 4.17 (q, J = 7.1 Hz, 2H, OCH2CH3), 5.25 (s, 2H, CH2), 7.07 (s, 1H, CH), 10.30 (s, 1H, NH); 13C NMR (126 MHz, DMSO-d6) δ 13.0, 13.8, 52.0, 52.4, 61.6, 105.6 (d, J = 2.7 Hz, CH), 119.5 (q, J = 269.0 Hz, CF3), 132.6 (q, J = 39.0 Hz, CCF3), 143.3, 150.6, 154.4, 167.0; 19F NMR (376 MHz, DMSO-d6) δ 103.62 (s, 3F, CF3); Anal. calcd. for C12H15F3N4O4. C, 42.86; H, 4.50; N, 16.66. Found: C, 42.52; H, 4.67; N, 16.34. IR ν 3239–2985 (C–H, N–H), 1744 (C=O), 1697 (C=O), 1613–1510 (C=C, C=N), 1281–1124 (C–O–C, C–F).
Ethyl 2-{3-[1-(2-acetylhydrazineylidene)ethyl]-5-(trifluoromethyl)-1H-pyrazol-1-yl}acetate (20) prepared from compound 18 (470 mg) was obtained after cooling of the reaction mixture as the precipitate, which was further filtered off and recrystallized from MeCN. Yield 436 mg (68%); colorless powder; mp 170–171 °C; 1H NMR (400 MHz, DMSO-d6) δ (E + Z) 1.20 (t, J = 7.1 Hz, 3H, OCH2CH3), 4.18 (q, J = 7.1 Hz, 2H, OCH2CH3), 5.25 (s, 2H, CH2); (E, 70%) 2.21–2.22 (m, 6H, 2Me), 7.21 (s, 1H, CH), 10.55 (s, 1H, NH); (Z, 30%) 2.03 (s, 3H, Me), 2.25 (s, 3H, Me), 7.11 (s, 1H, CH), 10.43 (s, 1H, NH); 13C NMR (126 MHz, DMSO-d6) δ (E + Z) 13.9, 52.5, 61.6, 119.5 (q, J = 269.3 Hz, CF3), 132.6 (q, J = 39.1 Hz, CCF3), 150.7; (E, 70%) 12.6, 20.7, 105.6 (d, J = 2.5 Hz, CH), 141.2, 167.1, 172.9; (Z, 30%) 13.2, 21.6, 105.8, 144.8, 166.1, 167.1; 19F NMR (376 MHz, DMSO-d6) δ (E, 70%) 103.68 (s, 3F, CF3); (Z, 30%) 103.60 (s, 3F, CF3); Anal. calcd. for C12H15F3N4O3. C, 45.00; H, 4.72; N, 17.49. Found: C 44.82, H 4.92, N 17.20. IR ν 3327, 3191–2920 (C–H, N–H), 1741 (C=Oester), 1685 (C=O), 1618–1561 (C=C, C=N), 1279–1121 (C–O–C, C–F).
4.3.4. General Procedure for the Alkylation of NH-Pyrazole 21 Using NaH
Sodium hydride (2.2 or 4.4 mmol; 60% in mineral oil) was added to a solution of NH-pyrazole 21 (2 mmol, 540 mg) in 7 mL of DME at 0–5 °C, then ethyl iodoacetate (2.2 or 4.4 mmol) dissolved in 3 mL of dry MeCN was added dropwise, the resulting suspension was refluxed for 3 h.
Ethyl 2-(3-{1-[2-(pyridin-2-yl)hydrazineylidene]ethyl}-5-(trifluoromethyl)-1H-pyrazol-1-yl)acetate (22) was obtained after solvent evaporation as the residue, which was further washed by hot water and Et2O. Yield 351 mg (49%); beige powder; mp 223–225 °C; 1H NMR (500 MHz, DMSO-d6) δ 1.21 (t, J = 7.1 Hz, 3H, OCH2CH3), 2.43 (s, 3H, Me), 4.19 (q, J = 7.1 Hz, 2H, OCH2CH3), 5.32 (s, 2H, CH2), 7.18 (t, J = 6.7 Hz, 1H, CHAr), 7.50 (d, J = 8.8 Hz, 1H, CHAr), 7.82 (s, 1H, CH), 8.15 (t, J = 8.0 Hz, 1H, CHAr), 8.18–8.20 (m, 1H, CHAr), 11.70 (br.s, 1H, NH); 13C NMR (126 MHz, DMSO-d6) δ 13.5, 13.8, 52.6, 61.6, 107.1, 112.5, 115.4, 119.5 (q, J = 269.1 Hz, CF3), 132.7 (q, J = 39.0 Hz, CCF3), 137.3, 144.6, 147.0, 149.8, 150.1, 166.9; 19F NMR (470 MHz, DMSO-d6) δ 103.74 (s, 3F, CF3); Anal. calcd. for C15H16F3N5O2. C, 50.70; H, 4.54; N, 19.71. Found: C, 50.51; H, 4.27; N, 19.83. IR ν 3364, 3223–2814 (C–H, N–H), 1751 (C=O), 1642–1562 (C=C, C=N), 1279–1139 (C–O–C, C–F).
Ethyl 2-[2-({1-[1-(2-ethoxy-2-oxoethyl)-5-(trifluoromethyl)-1H-pyrazol-3-yl]ethylidene}hydrazineylidene)pyridin-1(2H)-yl]acetate (23) was obtained after cooling of the reaction mixture as the precipitate, which was further filtered off and washed by hot water and Et2O. Yield 497 mg (56%); yellow powder; 1H NMR (400 MHz, DMSO-d6) δ 1.19 (t, J = 7.1 Hz, 3H, OCH2CH3), 1.20 (t, J = 7.1 Hz, 3H, OCH2CH3), 2.20 (s, 3H, Me), 4.11–4.20 (m, 4H, 2OCH2CH3), 4.68 (s, 2H, CH2), 5.21 (s, 2H, CH2), 6.06 (td, J = 6.6, 1.5 Hz, 1H, CHAr), 7.18 (ddd, J = 9.5, 6.4, 1.7 Hz, 1H, CHAr), 7.27 (s, 1H, CH), 7.46 (d, J = 9.3 Hz, 1H, CHAr), 7.52 (d, J = 6.2 Hz, 1H, CHAr); 13C NMR (126 MHz, DMSO-d6) δ 12.8, 13.9, 14.1, 52.3, 52.9, 60.6, 61.5, 104.6, 105.5 (d, J = 2.7 Hz, CH), 113.4, 119.7 (q, J = 269.0 Hz, CF3), 132.1 (q, J = 38.9 Hz, CCF3), 136.0, 139.1, 147.7, 152.4, 156.6, 167.2, 168.1; 19F NMR (376 MHz, DMSO-d6) δ 103.78 (s, 3F, CF3); Anal. calcd. for C19H22F3N5O4. C, 51.70; H, 5.02; N, 15.87. Found: C, 51.46; H, 4.81; N, 15.98.
4.3.5. Transamination Reaction
Diethyl 2,2′-{[hydrazine-1,2-diylidenebis(ethan-1-yl-1-ylidene)]bis [5-(trifluoromethyl)-1H-pyrazole-3,1-diyl]}diacetate (13). A mixture of pyrazole 20 (1 mmol, 320 mg) and hydrazine dihydrochloride (1 mmol, 105 mg) was refluxed in 5 mL of EtOH and 0.5 mL of HCl for 5 h. Then water was added, the precipitate formed was filtered off and dried without further purification. Yield 191 mg (73%); yellow powder; mp 182–183 °C; 1H NMR (500 MHz, CDCl3) δ 1.29 (t, J = 7.1 Hz, 6H, 2OCH2CH3), 2.31 (s, 6H, 2Me), 4.26 (q, J = 7.1 Hz, 4H, 2OCH2CH3), 5.04 (s, 4H, 2CH2), 7.23 (s, 2H, 2CH); 13C NMR (126 MHz, CDCl3) δ 14.0, 14.2, 52.5 (d, J = 1.8 Hz, CH2), 62.2, 106.9 (q, J = 2.5 Hz, CH), 119.7 (q, J = 269.2 Hz, CF3), 133.7 (q, J = 39.5 Hz, CCF3), 151.3, 153.7, 166.6; 19F NMR (470 MHz, CDCl3) δ 101.62 (s, 6F, 2CF3); 1H NMR (500 MHz, DMSO-d6) δ 1.21 (t, J = 7.1 Hz, 6H, 2OCH2CH3), 2.27 (s, 6H, 2Me), 4.20 (q, J = 7.1 Hz, 4H, 2OCH2CH3), 5.31 (s, 4H, 2CH2), 7.37 (s, 2H, 2CH); 19F NMR (470 MHz, DMSO-d6) δ 103.71 (s, 6F, 2CF3); Anal. calcd. for C20H22F6N6O4. C, 45.81; H, 4.23; N, 16.03. Found: C, 46.10; H, 4.41; N, 15.76. IR ν 3483, 3160–2925 (C–H), 1744 (C=O), 1620–1557 (C=C, C=N), 1278–1125 (C–O–C, C–F).
4.3.6. General Procedure for the Hydrolysis of Ester Derivatives 13, 14
Compound 13 or 14 (0.3 mmol, 160 mg) was dissolved in 3 mL of EtOH, then 1 mL of 10% NaOH aqueous solution was added, and the mixture was refluxed for 8 h. The solution was neutralized with 0.1 M HCl, then water was added, the precipitate formed was filtered off and dried without further purification.
2,2′-{[Hydrazine-1,2-diylidenebis(ethan-1-yl-1-ylidene)]bis [5-(trifluoromethyl)-1H-pyrazole-3,1-diyl]}diacetic acid (24). Yield 125 mg (90%); yellow powder; mp 258–259 °C; 1H NMR (400 MHz, DMSO-d6) δ 2.27 (s, 6H, 2Me), 5.18 (s, 4H, 2CH2), 7.35 (s, 2H, 2CH), 13.54 (br.s, 2H, 2OH); 13C NMR (126 MHz, DMSO-d6) δ 14.1, 52.8, 106.4 (d, J = 2.6 Hz, CH), 119.6 (q, J = 269.2 Hz, CF3), 132.7 (q, J = 39.0 Hz, CCF3), 150.1, 153.3, 168.4; 19F NMR (376 MHz, DMSO-d6) δ 103.69 (s, 6F, 2CF3); Anal. calcd. for C16H14F6N6O4. C, 41.04; H, 3.01; N, 17.95. Found: C, 41.32; H, 3.21; N, 17.68. IR ν 3163–2526 (C–H, O–H), 1739 (C=O), 1616–1564 (C=C, C=N), 1277–1136 (C–F).
2,2′-{[Hydrazine-1,2-diylidenebis(ethan-1-yl-1-ylidene)]bis [3-(trifluoromethyl)-1H-pyrazole-5,1-diyl]}diacetic acid (25). Yield 129 mg (92%); yellow powder; mp 290–291 °C; 1H NMR (500 MHz, DMSO-d6) δ 2.29 (s, 6H, 2Me), 5.36 (s, 4H, 2CH2), 7.49 (s, 2H, 2CH), 13.24 (br.s, 2H, 2OH); 13C NMR (126 MHz, DMSO-d6) δ 16.4, 55.2, 108.6, 121.2 (q, J = 268.4 Hz, CF3), 139.7 (q, J = 37.9 Hz, CCF3), 141.1, 152.9, 168.9; 19F NMR (470 MHz, DMSO-d6) δ 101.91 (s, 6F, 2CF3); Anal. calcd. for C16H14F6N6O4. C, 41.04; H, 3.01; N, 17.95. Found: C, 40.83; H, 2.94; N, 17.68. IR ν 3168–2558 (C–H, O–H), 1716 (C=O), 1612–1542 (C=C, C=N), 1271–1111 (C–F).
5. Conclusions
Thus, we have demonstrated that the regioselectivity of pyrazole alkylation can be controlled by tuning the substituents in the azole ring. The substrates were non-symmetric NH-pyrazoles having both trifluoromethyl and functional groups. The alkylation of acetylpyrazoles was low selective, while modification of the carbonyl group to hydrazone one guided the reaction toward forming 3- or 5-CF3-pyrazoles containing a carboxylate substituent at the azole N-atom. This opens the possibility to synthesize the polyfunctional pyrazoles and bis-pyrazoles with two carboxylate groups, which are of interest for further modifications and applications.
Supplementary Materials
The following supporting information can be downloaded at: https://www.mdpi.com/article/10.3390/ijms262110335/s1.
Author Contributions
Conceptualization, D.N.B. and Y.S.K.; methodology, D.N.B. and Y.S.K.; software, D.N.B., Y.S.K., and Y.O.E.; formal analysis, D.N.B., Y.S.K., Y.O.E., P.A.S., and E.A.O.; investigation, D.N.B., Y.S.K., Y.O.E., and E.A.O.; resources, Y.S.K.; data curation, D.N.B., Y.S.K., Y.O.E., and P.A.S.; writing—original draft preparation, D.N.B., Y.S.K., and Y.O.E.; writing—review and editing, D.N.B., Y.S.K., Y.O.E., and Y.V.B.; visualization, D.N.B., Y.S.K., and Y.O.E.; supervision, V.I.S. and Y.V.B.; project administration, Y.S.K.; funding acquisition, Y.S.K. All authors have read and agreed to the published version of the manuscript.
Funding
This research was funded by the Russian Science Foundation, grant number 24-23-00355.
Institutional Review Board Statement
Not applicable.
Informed Consent Statement
Not applicable.
Data Availability Statement
The original contributions presented in this study are included in the Supplementary Materials. Further inquiries can be directed to the corresponding author.
Acknowledgments
The spectral and analytical measurements were performed using the equipment from the Center for Joint Use “Spectroscopy and Analysis of Organic Compounds” at the Postovsky Institute of Organic Synthesis of the Russian Academy of Sciences (Ural Branch).
Conflicts of Interest
The authors declare no conflicts of interest.
References
- Rehman, M.U.; He, F.; Shu, X.; Guo, J.; Liu, Z.; Cao, S.; Long, S. Antibacterial and antifungal pyrazoles based on different construction strategies. Eur. J. Med. Chem. 2025, 282, 117081. [Google Scholar] [CrossRef]
- Botella, G.M.; Salituro, F.G.; Harrison, B.L.; Beresis, R.T.; Bai, Z.; Blanco, M.-J.; Belfort, G.M.; Dai, J.; Loya, C.M.; Ackley, M.A.; et al. Neuroactive Steroids. 2. 3α-Hydroxy-3β-methyl-21-(4-cyano-1H-pyrazol-1’-yl)-19-nor-5β-pregnan-20-one (SAGE-217): A Clinical Next Generation Neuroactive Steroid Positive Allosteric Modulator of the (γ-Aminobutyric Acid)A Receptor. J. Med. Chem. 2017, 60, 7810–7819. [Google Scholar] [CrossRef]
- Zhao, X.; Verma, R.; Sridhara, M.B.; Kumar, K.S.S. Fluorinated azoles as effective weapons in fight against methicillin-resistance staphylococcus aureus (MRSA) and its SAR studies. Bioorg. Chem. 2024, 143, 106975. [Google Scholar] [CrossRef] [PubMed]
- Zhang, Y.; Wu, C.; Zhang, N.; Fan, R.; Ye, Y.; Xu, J. Recent Advances in the Development of Pyrazole Derivatives as Anticancer Agents. Int. J. Mol. Sci. 2023, 24, 12724. [Google Scholar] [CrossRef]
- Lusardi, M.; Spallarossa, A.; Brullo, C. Amino-Pyrazoles in Medicinal Chemistry: A Review. Int. J. Mol. Sci. 2023, 24, 7834. [Google Scholar] [CrossRef]
- Vahoraa, M.S.; Boruaha, J.J.; Das, S.P. Synthesis and Pharmacological Activities of Pyrazole and Oxadiazole Derivatives: A Review. Russ. J. Org. Chem. 2023, 59, 846–869. [Google Scholar] [CrossRef]
- Ebenezer, O.; Shapi, M.; Tuszynski, J.A. A Review of the Recent Development in the Synthesis and Biological Evaluations of Pyrazole Derivatives. Biomedicines 2022, 10, 1124. [Google Scholar] [CrossRef] [PubMed]
- Karrouchi, K.; Radi, S.; Ramli, Y.; Taoufik, J.; Mabkhot, Y.N.; Al-aizari, F.A.; Ansar, M. Synthesis and Pharmacological Activities of Pyrazole Derivatives: A Review. Molecules 2018, 23, 134. [Google Scholar] [CrossRef]
- Faria, J.V.; Vegi, P.F.; Miguita, A.G.C.; Dos Santos, M.S.; Boechat, N.; Bernardino, A.M.R. Recently reported biological activities of pyrazole compounds. Bioorg. Med. Chem. 2017, 25, 5891–5903. [Google Scholar] [CrossRef]
- Ansari, A.; Ali, A.; Asif, M.; Shamsuzzaman, S. Review: Biologically active pyrazole derivatives. New J. Chem. 2017, 41, 16–41. [Google Scholar] [CrossRef]
- Bennani, F.E.; Doudach, L.; Cherrah, Y.; Ramli, Y.; Karrouchi, K.; Ansar, M.; Faouzi, M.E.A. Overview of recent developments of pyrazole derivatives as an anticancer agent in different cell line. Bioorg. Chem. 2020, 97, 103470. [Google Scholar] [CrossRef] [PubMed]
- Khan, M.F.; Alam, M.M.; Verma, G.; Akhtar, W.; Akhter, M.; Shaquiquzzaman, M. The therapeutic voyage of pyrazole and its analogs: A review. Eur. J. Med. Chem. 2016, 120, 170–201. [Google Scholar] [CrossRef]
- Verma, R.; Verma, S.K.; Rakesh, K.P.; Girish, Y.R.; Ashrafizadeh, M.; Sharath Kumar, K.S.; Rangappa, K.S. Pyrazole-based analogs as potential antibacterial agents against methicillin-resistance staphylococcus aureus (MRSA) and its SAR elucidation. Eur. J. Med. Chem. 2021, 212, 113134. [Google Scholar] [CrossRef]
- Mykhailiuk, P.K. Fluorinated Pyrazoles: From Synthesis to Applications. Chem. Rev. 2021, 121, 1670–1715. [Google Scholar] [CrossRef]
- Bazhin, D.N.; Kudyakova, Y.S.; Edilova, Y.O.; Burgart, Y.V.; Saloutin, V.I. Fluorinated 1,2,4-triketone analogs: New prospects for heterocyclic and coordination chemistry. Russ. Chem. Bull. 2022, 71, 1321–1341. [Google Scholar] [CrossRef]
- Clemett, D.; Goa, K.L. Celecoxib. Drugs 2000, 59, 957–980. [Google Scholar] [CrossRef]
- Abdelhaleem, E.F.; Kassab, A.E.; El-Nassan, H.B.; Khalil, O.M. Recent advances in the development of celecoxib analogs as anticancer agents: A review. Arch. Pharm. 2022, 355, e2200326. [Google Scholar] [CrossRef]
- Link, J.O.; Rhee, M.S.; Tse, W.C.; Zheng, J.; Somoza, J.R.; Rowe, W.; Begley, R.; Chiu, A.; Mulato, A.; Hansen, D.; et al. Clinical targeting of HIV capsid protein with a long-acting small molecule. Nature 2020, 584, 614–618. [Google Scholar] [CrossRef]
- Bazhin, D.N.; Kudyakova, Y.S.; Slepukhin, P.A.; Burgart, Y.V.; Malysheva, N.N.; Kozitsina, A.N.; Ivanova, A.V.; Bogomyakov, A.S.; Saloutin, V.I. Dinuclear copper(ii) complex with novel N,N’,N”,O-tetradentate Schiff base ligand containing trifluoromethylpyrazole and hydrazone moieties. Mendeleev Commun. 2018, 28, 202–204. [Google Scholar] [CrossRef]
- Bazhin, D.N.; Kudyakova, Y.S.; Onoprienko, A.Y.; Slepukhin, P.A.; Burgart, Y.V.; Saloutin, V.I. Synthesis and tuberculostatic activity of functionalized pyrazoles derived from (trifluoromethyl)pyrazole containing a hydrazone group. Chem. Heterocycl. Compd. 2017, 53, 1324–1329. [Google Scholar] [CrossRef]
- Liu, H.-N.; Zhu, Y.; Chi, Y.; Sun, F.-F.; Shan, L.-S.; Wang, Y.-T.; Dai, B. Synthetic approaches and application of representative clinically approved fluorine-enriched anti-cancer medications. Eur. J. Med. Chem. 2024, 276, 116722. [Google Scholar] [CrossRef]
- Du, T.; Lu, S.; Zhu, Z.; Zhu, M.; Zhang, Y.; Zhang, J.; Chen, J. Pyrazole derivatives: Recent advances in discovery and development of pesticides. Chin. Chem. Lett. 2025, 36, 110912. [Google Scholar] [CrossRef]
- Belousov, A.; Drozdov, A.A.; Taydakov, I.V.; Marchetti, F.; Pettinari, R.; Pettinari, C. Lanthanide azolecarboxylate compounds: Structure, luminescent properties and applications. Coord. Chem. Rev. 2021, 445, 214084. [Google Scholar] [CrossRef]
- Doidge, E.D.; Roebuck, J.W.; Healy, M.R.; Tasker, P.A. Phenolic pyrazoles: Versatile polynucleating ligands. Coord. Chem. Rev. 2015, 288, 98. [Google Scholar] [CrossRef]
- Zhang, Z.; Li, R.-P.; Gong, X.; Xu, X.; Peng, X.; Tang, S. Regioselective pyrazole synthesis via base-mediated [3+2] cycloaddition of 2-alkynyl-1,3-dithianes and sydnones. J. Org. Chem. 2025, 90, 3769–3778. [Google Scholar] [CrossRef]
- Zhang, Z.; Li, Y.; Wang, Y.; Hua, X.; Zheng, C.; Shi, Q.; Tan, Z.; Zheng, L.; Guo, W. Photocatalytic One-Pot Three-Component Reaction for the Regioselective Synthesis of Bromo-Substituted Pyrazoles. J. Org. Chem. 2024, 89, 16809–16827. [Google Scholar] [CrossRef] [PubMed]
- Enache, B.C.; Hanganu, A.; Tablet, C.; Anghel, C.C.; Popescu, C.C.; Paun, A.; Hădade, N.D.; Mădălan, A.M.; Matache, M. Exploring arylazo-3,5-bis(trifluoromethyl)pyrazole switches. ACS Omega 2022, 7, 39122–39135. [Google Scholar] [CrossRef] [PubMed]
- Edilova, Y.O.; Osipova, E.A.; Slepukhin, P.A.; Saloutin, V.I.; Bazhin, D.N. Exploring three avenues: Chemo- and regioselective transformations of 1,2,4-triketone analogs into pyrazoles and pyridazinones. Int. J. Mol. Sci. 2023, 24, 14234. [Google Scholar] [CrossRef] [PubMed]
- Kudyakova, Y.S.; Onoprienko, A.Y.; Slepukhin, P.A.; Burgart, Y.V.; Saloutin, V.I.; Bazhin, D.N. Fluorine-containing furan-3(2H)-ones in reactions with binucleophiles: CF3 vs C2F5. Chem. Heterocycl. Comp. 2019, 55, 517–522. [Google Scholar] [CrossRef]
- Shakirova, O.G.; Morozova, T.D.; Kudyakova, Y.S.; Bazhin, D.N.; Kuratieva, N.V.; Klyushova, L.S.; Lavrov, A.N.; Lavrenova, L.G. Synthesis, structure, and properties of a copper(II) binuclear complex based on trifluoromethyl containing bis(pyrazolyl)hydrazone. Int. J. Mol. Sci. 2024, 25, 9414. [Google Scholar] [CrossRef]
- Kuleshova, O.; Khilya, O.; Volovenko, Y.; Mallet-Ladeira, S.; Dyakonenko, V.; Gras, E. Expedited route to fully substituted amino-pyrazole building blocks and their further transformations. ACS Omega 2017, 2, 8911–8927. [Google Scholar] [CrossRef]
- Huang, A.; Wo, K.; Yeun, S.; Lee, C.; Kneitschel, N.; Chang, J.; Zhu, K.; Mello, T.; Bancroft, L.; Norman, N.J.; et al. Regioselective Synthesis, NMR, and Crystallographic Analysis of N1-Substituted Pyrazoles. J. Org. Chem. 2017, 82, 8864–8872. [Google Scholar] [CrossRef]
- Dalton, D.M.; Walroth, R.C.; Rouget-Virbel, C.; Mack, K.A.; Toste, F.D. Utopia Point Bayesian Optimization Finds Condition-Dependent Selectivity for N-Methyl Pyrazole Condensation. J. Am. Chem. Soc. 2024, 146, 15779–15786. [Google Scholar] [CrossRef]
- Edilova, Y.O.; Kudyakova, Y.S.; Kiskin, M.A.; Burgart, Y.V.; Saloutin, V.I.; Bazhin, D.N. Expanding 1,2,4-triketone toolbox for use as fluorinated building blocks in the synthesis of pyrazoles, pyridazinones and β-diketohydrazones. J. Fluor. Chem. 2022, 253, 109932. [Google Scholar] [CrossRef]
- Obydennov, D.L.; Khammatova, L.R.; Eltsov, O.S.; Sosnovskikh, V.Y. A chemo- and regiocontrolled approach to bipyrazoles and pyridones via the reaction of ethyl 5-acyl-4-pyrone-2-carboxylates with hydrazines. Org. Biomol. Chem. 2018, 16, 1692–1707. [Google Scholar] [CrossRef]
- Muzalevskiy, V.M.; Rulev, A.Y.; Romanov, A.R.; Kondrashov, E.V.; Ushakov, I.A.; Chertkov, V.A.; Nenajdenko, V.G. Selective, metal-free approach to 3- or 5-CF3-pyrazoles: Solvent switchable reaction of CF3-ynones with hydrazines. J. Org. Chem. 2017, 82, 7200–7214. [Google Scholar] [CrossRef]
- Xu, D.; Frank, L.; Nguyen, T.; Stumpf, A.; Russell, D.; Angelaud, R.; Gosselin, F. Magnesium-catalyzed N2-regioselective alkylation of 3-substituted pyrazoles. Synlett 2020, 31, 595–599. [Google Scholar] [CrossRef]
- Bradley, P.A.; de Koning, P.D.; Gibson, K.R.; Lecouturier, Y.C.; MacKenny, M.C.; Morao, I.; Poinsard, C.; Underwood, T.J. Synthetic studies on a nonsteroidal progesterone metabolite: Regioselective N-alkylation of an activated pyrazole. Synlett 2010, 0873–0876. [Google Scholar] [CrossRef]
- Bartholomew, G.L.; Carpaneto, F.; Sarpong, R. Skeletal editing of pyrimidines to pyrazoles by formal carbon deletion. J. Am. Chem. Soc. 2022, 144, 22309–22315. [Google Scholar] [CrossRef]
- Ali, Y.; Chen, L.; Kelly, P.Q.; Bracken, A.J.; Kelly, C.B.; Levin, M.D. Strategic atom replacement enables regiocontrol in pyrazole alkylation. Nature 2025, 641, 646–652. [Google Scholar] [CrossRef] [PubMed]
- Tao, X.; Han, H.; Jeong, J.; Kim, D.; Hong, S. Transformation of pyridines into 2D and 3D fused bicyclic heterocycles. J. Am. Chem. Soc. 2025, 147, 21143–21152. [Google Scholar] [CrossRef]
- Rubanov, Z.M.; Koltun, D.S.; Levin, V.V.; Dilman, A.D. Exploring the Radical Addition to Sydnones: A Gateway to Perfluoroalkyl-Substituted Pyrazoles. Org. Lett. 2025, 27, 10241–10245. [Google Scholar] [CrossRef] [PubMed]
- You, G.; Wang, K.; Wang, X.; Wang, G.; Sun, J.; Duan, G.; Xia, C. Visible-light-mediated nickel(II)-catalyzed C–N cross-coupling in water: Green and regioselective access for the synthesis of pyrazole-containing compounds. Org. Lett. 2018, 20, 4005–4009. [Google Scholar] [CrossRef]
- Dwari, S.; Nath, P.P.; Jana, C.K. Ring opening of pyrrolinium ions enabled regioselective synthesis of 4-alkyl N-arylpyrazoles. J. Org. Chem. 2022, 87, 11947–11957. [Google Scholar] [CrossRef]
- Pang, M.; Ramazani, A.; Zhang, Z.; Zhang, G. Reagent-assisted regio-divergent cyclization synthesis of pyrazole. Org. Biomol. Chem. 2025, 23, 2812–2817. [Google Scholar] [CrossRef]
- Fanourakis, A.; Norman, N.J.; Bao, S.T.; Curts, L.; Hui, T.; Zheng, S.-L.; Shou, T.; Zeghibe, A.; Burdick, I.; Fuehrer, H.; et al. Highly Selective N-Alkylation of Pyrazoles: Crystal Structure Evidence for Attractive Interactions. J. Org. Chem. 2022, 87, 10018–10025. [Google Scholar] [CrossRef]
- Zhang, P.; Zhang, Y.; Shao, Y.; Sun, J.; Tang, S. Iridium-catalyzed regio- and enantioselective N-allylation of pyrazoles with dienyl/monoallylic alcohols. Org. Lett. 2024, 26, 3966–3971. [Google Scholar] [CrossRef] [PubMed]
- Zeng, H.; Fang, X.; Yang, Z.; Zhu, C.; Jiang, H. Regioselective Synthesis of 5-Trifluoromethylpyrazoles by [3 + 2] Cycloaddition of Nitrile Imines and 2-Bromo-3,3,3-trifluoropropene. J. Org. Chem. 2021, 86, 2810–2819. [Google Scholar] [CrossRef] [PubMed]
- Bazhin, D.N.; Chizhov, D.L.; Röschenthaler, G.-V.; Kudyakova, Y.S.; Burgart, Y.V.; Slepukhin, P.A.; Saloutin, V.I.; Charushin, V.N. A concise approach to CF3-containing furan-3-ones, (bis)pyrazoles from novel fluorinated building blocks based on 2,3-butanedione. Tetrahedron Lett. 2014, 55, 5714. [Google Scholar] [CrossRef]
- Bazhin, D.N.; Kudyakova, Y.S.; Röschenthaler, G.-V.; Burgart, Y.V.; Slepukhin, P.A.; Isenov, M.L.; Saloutin, V.I.; Charushin, V.N. A Convenient Approach to CF3-Containing N-Heterocycles Based on 2-Methoxy-2-methyl-5-(trifluoromethyl)furan-3(2H)-one. Eur. J. Org. Chem. 2015, 2015, 5236–5245. [Google Scholar] [CrossRef]
- Edilova, Y.O.; Kudyakova, Y.S.; Valova, M.S.; Loseva, N.V.; Slepukhin, P.A.; Saloutin, V.I.; Bazhin, D.N. Fluorine-Containing Polydentate Bis(heterocycles) Based on Di- and Triketone Analogs in the Synthesis of Zinc(II) Complexes. Russ. J. Coord. Chem. 2024, 50, 855. [Google Scholar] [CrossRef]
- Khudina, O.G.; Bazhin, D.N.; Makhaeva, G.F.; Burgart, Y.V.; Kovaleva, N.V.; Boltneva, N.P.; Rudakova, E.V.; Skornyakova, T.S.; Saloutin, V.I. Features of Conjugation of Ipidacrine Chloroalkylamides with 5-Acetyl-3-(trifluoromethyl)pyrazole and Its Derivatives. Study of Biological Activity. Russ. J. Org. Chem. 2025, 61, 1112. [Google Scholar] [CrossRef]
- Grover, J.; Dutta, B.; Ghosh, D.; Shee, P.K.; Maiti, S.; Werz, D.B.; Maiti, D. Harnessing C–H acetoxylation: A gateway to oxygen-enriched organic frameworks. Chem. Sci. 2025, 16, 10141–10158. [Google Scholar] [CrossRef]
- Ivanova, A.E.; Burgart, Y.V.; Saloutin, V.I.; Slepukhin, P.A.; Borisevich, S.S.; Khursan, S.L. Ambident polyfluoroalkyl-substituted pyrazoles in the methylation reactions. J. Fluor. Chem. 2017, 195, 47–56. [Google Scholar] [CrossRef]
- Dolomanov, O.V.; Bourhis, L.J.; Gildea, R.J.; Howard, J.A.K.; Puschmann, H.J. OLEX2: A complete structure solution, refinement and analysis program. J. Appl. Crystallogr. 2009, 42, 339–341. [Google Scholar] [CrossRef]
- Sheldrick, G.M. SHELXT-Integrated Space-Group and Crystal-Structure Determination. Acta Crystallogr. 2015, A71, 3–8. [Google Scholar] [CrossRef] [PubMed]
- Sheldrick, G.M. Crystal Structure Refinement with SHELXL. Acta Crystallogr. 2015, C71, 3–8. [Google Scholar] [CrossRef]
Disclaimer/Publisher’s Note: The statements, opinions and data contained in all publications are solely those of the individual author(s) and contributor(s) and not of MDPI and/or the editor(s). MDPI and/or the editor(s) disclaim responsibility for any injury to people or property resulting from any ideas, methods, instructions or products referred to in the content. |
© 2025 by the authors. Licensee MDPI, Basel, Switzerland. This article is an open access article distributed under the terms and conditions of the Creative Commons Attribution (CC BY) license (https://creativecommons.org/licenses/by/4.0/).


















