Fungal Biotransformation of Chloroflavanones and Antimicrobial Activity of Parent Compounds and Derived Products
Abstract
1. Introduction
2. Results and Discussion
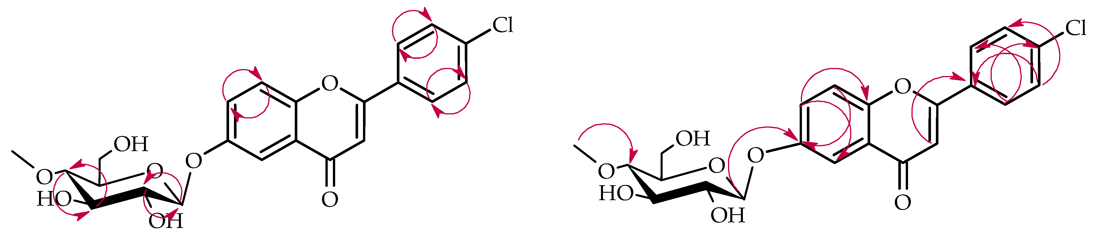
2.1. Biotransformation of 2′-Chloroflavanone (1) in Culture of B. bassiana KCH J1.5
2.2. Biotransformation of 2′-Chloroflavanone (1) in Culture of I. fumosorosea KCH J2
2.3. Biotransformation of 3′-Chloroflavanone (2) in Culture of B. bassiana KCH J1.5
2.4. Biotransformation of 3′-Chloroflavanone (2) in Culture of I. fumosorosea KCH J2
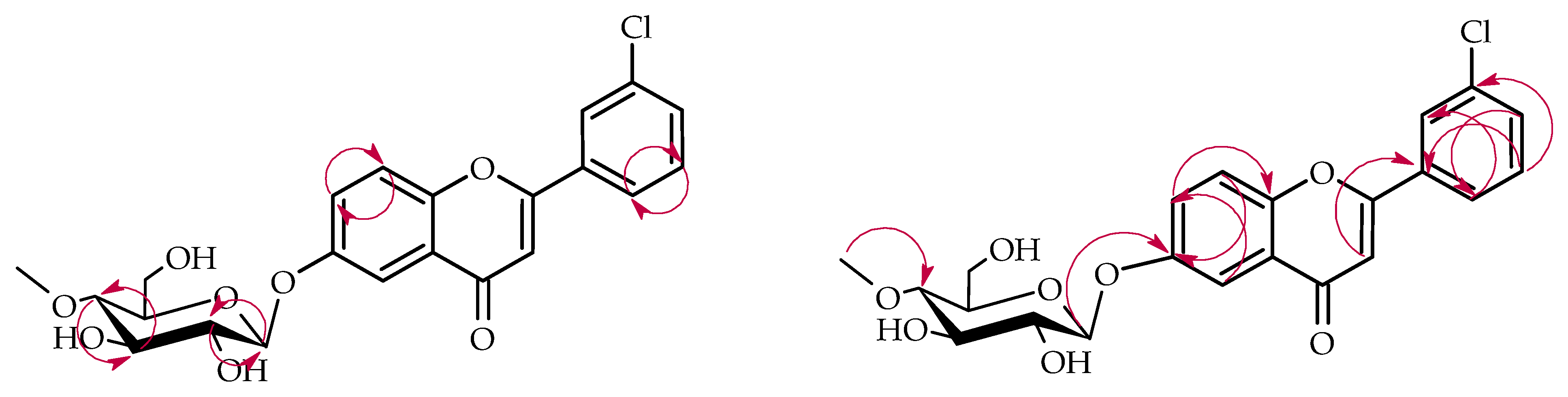
2.5. Biotransformation of 4′-Chloroflavanone (3) in Culture of B. bassiana KCH J1.5
2.6. Biotransformation of 4′-Chloroflavanone (3) in Culture of I. fumosorosea KCH J2
2.7. Biotransformation of 6-Chloroflavanone (4) in Cultures of I. fumosorosea KCH J2
2.8. Biotransformation of 6-Chloroflavanone (4) in Cultures of B. bassiana KCH J1.5
2.9. NMR Characterization and Stereochemical Considerations of Flavanone Glycosides
2.10. Biotransformation Efficiency and Regioselectivity in Relation to Substrate Structure
2.11. Pharmacokinetics and Drug-likeness Prediction of Compounds 1, 1a, 2, 2a, 3, 3a, 4, 4a
2.12. Antimicrobial Activity of Compounds 1, 1a, 2, 2a, 3, 3a, 4, 4a
3. Materials and Methods
3.1. Substrates
3.2. Microorganisms Used for Biotransformation
3.3. Analysis
3.4. Screening Procedure
3.5. The Semipreparative Biotransformation
3.6. Fungal Biotransformation Products
3.7. Pharmacokinetics, Drug Nature, Biological Activity Predictions
3.8. Antimicrobial Activity Assays
4. Conclusions
Supplementary Materials
Author Contributions
Funding
Institutional Review Board Statement
Informed Consent Statement
Data Availability Statement
Conflicts of Interest
References
- Dias, T.A.; Duarte, C.L.; Lima, C.F.; Proença, M.F.; Pereira-Wilson, C. Superior Anticancer Activity of Halogenated Chalcones and Flavonols over the Natural Flavonol Quercetin. Eur. J. Med. Chem. 2013, 65, 500–510. [Google Scholar] [CrossRef]
- Proença, C.; Ribeiro, D.; Soares, T.; Tomé, S.M.; Silva, A.M.S.; Lima, J.L.F.C.; Fernandes, E.; Freitas, M. Chlorinated Flavonoids Modulate the Inflammatory Process in Human Blood. Inflammation 2017, 40, 1155–1165. [Google Scholar] [CrossRef] [PubMed]
- Freitas, M.; Ribeiro, D.; Tomé, S.M.; Silva, A.M.S.; Fernandes, E. Synthesis of Chlorinated Flavonoids with Anti-Inflammatory and pro-Apoptotic Activities in Human Neutrophils. Eur. J. Med. Chem. 2014, 86, 153–164. [Google Scholar] [CrossRef] [PubMed]
- Binsack, R.; Boersma, B.J.; Patel, R.P.; Kirk, M.; White, C.R.; Darley-Usmar, V.; Barnes, S.; Zhou, F.; Parks, D.A. Enhanced Antioxidant Activity after Chlorination of Quercetin by Hypochlorous Acid. Alcohol. Clin. Exp. Res. 2001, 25, 434–443. [Google Scholar] [CrossRef] [PubMed]
- Marzec, E.; Świtalska, M.; Winiewska-Szajewska, M.; Wójcik, J.; Wietrzyk, J.; Maciejewska, A.M.; Poznański, J.; Mieczkowski, A. The Halogenation of Natural Flavonoids, Baicalein and Chrysin, Enhances Their Affinity to Human Protein Kinase CK2. IUBMB Life 2020, 72, 1250–1261. [Google Scholar] [CrossRef]
- Zhang, X.; Khalidi, O.; Kim, S.Y.; Wang, R.; Schultz, V.; Cress, B.F.; Gross, R.A.; Koffas, M.A.G.; Linhardt, R.J. Synthesis and Biological Evaluation of 5,7-Dihydroxyflavanone Derivatives as Antimicrobial Agents. Bioorg. Med. Chem. Lett. 2016, 26, 3089–3092. [Google Scholar] [CrossRef]
- Fowler, Z.L.; Shah, K.; Panepinto, J.C.; Jacobs, A.; Koffas, M.A.G. Development of Non-Natural Flavanones as Antimicrobial Agents. PLoS ONE 2011, 6, e25681. [Google Scholar] [CrossRef][Green Version]
- Xiao, J.; Muzashvili, T.S.; Georgiev, M.I. Advances in the biotechnological glycosylation of valuable flavonoids. Biotechnol. Adv. 2014, 32, 1145–1156. [Google Scholar] [CrossRef]
- Vazhappilly, C.G.; Amararathna, M.; Cyril, A.C.; Linger, R.; Matar, R.; Merheb, M.; Ramadan, W.S.; Radhakrishnan, R.; Rupasinghe, H.P.V. Current Methodologies to Refine Bioavailability, Delivery, and Therapeutic Efficacy of Plant Flavonoids in Cancer Treatment. J. Nutr. Biochem. 2021, 94, 108623. [Google Scholar] [CrossRef]
- Cyboran-Mikołajczyk, S.; Matczak, K.; Olchowik-Grabarek, E.; Sękowski, S.; Nowicka, P.; Krawczyk-Łebek, A.; Kostrzewa-Susłow, E. The Influence of the Chlorine Atom on the Biological Activity of 2′-Hydroxychalcone in Relation to the Lipid Phase of Biological Membranes—Anticancer and Antimicrobial Activity. Chem. Biol. Interact. 2024, 398, 111082. [Google Scholar] [CrossRef]
- Dudek, A.; Szulc, N.; Pawlak, A.; Strugała-Danak, P.; Krawczyk-Łebek, A.; Perz, M.; Kostrzewa-Susłow, E.; Pruchnik, H. Structural Investigation of Interactions between Halogenated Flavonoids and the Lipid Membrane along with Their Role as Cytotoxic Agents. Sci. Rep. 2024, 14, 10561. [Google Scholar] [CrossRef]
- Hurtová, M.; Káňová, K.; Dobiasová, S.; Holasová, K.; Čáková, D.; Hoang, L.; Biedermann, D.; Kuzma, M.; Cvačka, J.; Křen, V.; et al. Selectively Halogenated Flavonolignans—Preparation and Antibacterial Activity. Int. J. Mol. Sci. 2022, 23, 15121. [Google Scholar] [CrossRef]
- Richards, M.; Bird, A.E.; Munden, J.E. Chlorflavonin, a New Antifungal Antibiotic. J. Antibiot. 1969, 22, 388–389. [Google Scholar] [CrossRef]
- Munden, J.E.; Butterworth, D.; Hanscomb, G.; Verrall, M.S. Production of Chlorflavonin, an Antifungal Metabolite of Aspergillus Candidus. Appl. Microbiol. 1970, 19, 718–720. [Google Scholar] [CrossRef]
- Marchelli, R.; Vining, L.C. The Biosynthetic Origin of Chlorflavonin, a Flavonoid Antibiotic from Aspergillus Candidus. Can. J. Biochem. 1973, 51, 1624–1629. [Google Scholar] [CrossRef]
- Ma, J.; Zhang, X.L.; Wang, Y.; Zheng, J.Y.; Wang, C.Y.; Shao, C.L. Aspergivones A and B, Two New Flavones Isolated from a Gorgonian-Derived Aspergillus Candidus Fungus. Nat. Prod. Res. 2017, 31, 32–36. [Google Scholar] [CrossRef]
- Freitas, M.; Ribeiro, D.; Sara, T.M.; Artur, S.M.S.; Fernandes, E. Anti-Inflammatory and pro-Apoptotic Activities of Chlorinated Flavonoids in Human Neutrophils. Free Radic. Biol. Med. 2014, 75, S30. [Google Scholar] [CrossRef] [PubMed]
- Krych-Madej, J.; Stawowska, K.; Gebicka, L. Oxidation of Flavonoids by Hypochlorous Acid: Reaction Kinetics and Antioxidant Activity Studies. Free Radic. Res. 2016, 50, 898–908. [Google Scholar] [CrossRef]
- Kamboj, R.C.; Sharma, G.; Kumar, D.; Arora, R.; Sharma, C.; Aneja, K.R. An Environmentally Sound Approach for the Synthesis of Some Flavanones and Their Antimicrobial Activity. Int. J. ChemTech Res. 2011, 3, 901–910. [Google Scholar]
- Xiao, J. Dietary Flavonoid Aglycones and Their Glycosides: Which Show Better Biological Significance? Crit. Rev. Food. Sci. Nutr. 2017, 57, 1874–1905. [Google Scholar] [CrossRef]
- Thilakarathna, S.H.; Rupasinghe, V.H.P. Flavonoid Bioavailability and Attempts for Bioavailability Enhancement. Nutrients 2013, 5, 3367–3387. [Google Scholar] [CrossRef] [PubMed]
- Dias, M.C.; Pinto, D.C.G.A.; Silva, A.M.S. Plant Flavonoids: Chemical Characteristics and Biological Activity. Molecules 2021, 26, 5377. [Google Scholar] [CrossRef]
- Hollman, P. Absorption, Bioavailability, and Metabolism of Flavonoids. Pharm. Biol. 2004, 42, 74–83. [Google Scholar] [CrossRef]
- Dou, F.; Wang, Z.; Li, G.; Dun, B. Microbial Transformation of Flavonoids by Isaria Fumosorosea ACCC 37814. Molecules 2019, 24, 1028. [Google Scholar] [CrossRef]
- Krawczyk-Łebek, A.; Żarowska, B.; Janeczko, T.; Kostrzewa-Susłow, E. Antimicrobial Activity of New Glycoside Derivatives of Chloroflavones Obtained by Fungal Biotransformation. Sci. Rep. 2025, 15, 25821. [Google Scholar] [CrossRef]
- Tronina, T.; Łużny, M.; Dymarska, M.; Urbaniak, M.; Kozłowska, E.; Piegza, M.; Stępień, Ł.; Janeczko, T. Glycosylation of Quercetin by Selected Entomopathogenic Filamentous Fungi and Prediction of Its Products’ Bioactivity. Int. J. Mol. Sci. 2023, 24, 11857. [Google Scholar] [CrossRef]
- Xie, L.; Zhang, L.; Bai, J.; Yue, Q.; Zhang, M.; Li, J.; Wang, C.; Xu, Y. Methylglucosylation of Phenolic Compounds by Fungal Glycosyltransferase-Methyltransferase Functional Modules. J. Agric. Food Chem. 2019, 67, 8573–8580. [Google Scholar] [CrossRef]
- Weng, Q.; Zhang, X.; Chen, W.; Hu, Q. Secondary Metabolites and the Risks of Isaria fumosorosea and Isaria farinosa. Molecules 2019, 24, 664. [Google Scholar] [CrossRef]
- Amobonye, A.; Bhagwat, P.; Pandey, A.; Singh, S.; Pillai, S. Biotechnological Potential of Beauveria Bassiana as a Source of Novel Biocatalysts and Metabolites. Crit. Rev. Biotechnol. 2020, 40, 1019–1034. [Google Scholar] [CrossRef]
- Ávila-Hernández, J.G.; Carrillo-Inungaray, M.L.; De-La-Cruz-Quiroz, R.; Wong-Paz, J.E.; Muñiz-Márquez, D.B.; Parra, R.; Aguilar, C.N.; Aguilar-Zárate, P. Beauveria Bassiana Secondary Metabolites: A Review inside Their Production Systems, Biosynthesis, and Bioactivities. Mex. J. Biotechnol. 2020, 5, 1–33. [Google Scholar] [CrossRef]
- Pedrini, N. The Entomopathogenic Fungus Beauveria Bassiana Shows Its Toxic Side within Insects: Expression of Genes Encoding Secondary Metabolites during Pathogenesis. J. Fungi 2022, 8, 488. [Google Scholar] [CrossRef]
- Krawczyk-Łebek, A.; Żarowska, B.; Janeczko, T.; Kostrzewa-Susłow, E. Antimicrobial Activity of Chalcones with a Chlorine Atom and Their Glycosides. Int. J. Mol. Sci. 2024, 25, 9718. [Google Scholar] [CrossRef]
- Krawczyk-Łebek, A.; Żarowska, B.; Dymarska, M.; Janeczko, T.; Kostrzewa-Susłow, E. Synthesis, Fungal Biotransformation, and Evaluation of the Antimicrobial Potential of Chalcones with a Chlorine Atom. Sci. Rep. 2024, 14, 15050. [Google Scholar] [CrossRef]
- Fontana, C.; Widmalm, G. Primary Structure of Glycans by NMR Spectroscopy. Chem. Rev. 2023, 123, 1040–1102. [Google Scholar] [CrossRef]
- Krawczyk-Łebek, A.; Dymarska, M.; Janeczko, T.; Kostrzewa-Susłow, E. Fungal Biotransformation of 2′-Methylflavanone and 2′-Methylflavone as a Method to Obtain Glycosylated Derivatives. Int. J. Mol. Sci. 2021, 22, 9617. [Google Scholar] [CrossRef]
- Krawczyk-Łebek, A.; Dymarska, M.; Janeczko, T.; Kostrzewa-Susłow, E. 4′-Methylflavanone Glycosides Obtained Using Biotransformation in the Entomopathogenic Filamentous Fungi Cultures as Potential Anticarcinogenic, Antimicrobial, and Hepatoprotective Agents. Int. J. Mol. Sci. 2022, 23, 5373. [Google Scholar] [CrossRef]
- Krawczyk-Łebek, A.; Dymarska, M.; Janeczko, T.; Kostrzewa-Susłow, E. Entomopathogenic Filamentous Fungi as Biocatalysts in Glycosylation of Methylflavonoids. Catalysts 2020, 10, 1148. [Google Scholar] [CrossRef]
- Shi, Y.Q.; Xin, X.L.; Zhang, H.C.; Zhang, B.J.; Wang, C.Y.; Hou, J.; Yuan, Q.P.; Deng, S.; Tian, Y.; Ma, X.C. Microbial Transformation of Norkurarinone by Cunninghamella Blakesleana AS 3.970. J. Asian Nat. Prod. Res. 2012, 14, 906–912. [Google Scholar] [CrossRef]
- Shi, Y.Q.; Xin, X.L.; Yuan, Q.P.; Wang, C.Y.; Zhang, B.J.; Hou, J.; Tian, Y.; Deng, S.; Huang, S.S.; Ma, X.C. Microbial Biotransformation of Kurarinone by Cunninghamella Echinulata AS 3.3400. J. Asian Nat. Prod. Res. 2012, 14, 1002–1007. [Google Scholar] [CrossRef]
- Shimoda, K.; Kubota, N.; Taniuchi, K.; Sato, D.; Nakajima, N.; Hamada, H.; Hamada, H. Biotransformation of Naringin and Naringenin by Cultured Eucalyptus Perriniana Cells. Phytochemistry 2010, 71, 201–205. [Google Scholar] [CrossRef]
- Marvalin, C.; Azerad, R. Microbial Glucuronidation of Polyphenols. J. Mol. Catal. B Enzym. 2011, 73, 43–52. [Google Scholar] [CrossRef]
- Shimoda, K.; Hamada, H. Production of Hesperetin Glycosides by Xanthomonas Campestris and Cyclodextrin Glucanotransferase and Their Anti-Allergic Activities. Nutrients 2010, 2, 171–180. [Google Scholar] [CrossRef] [PubMed]
- Daina, A.; Michielin, O.; Zoete, V. SwissADME: A Free Web Tool to Evaluate Pharmacokinetics, Drug-Likeness and Medicinal Chemistry Friendliness of Small Molecules. Sci. Rep. 2017, 7, 42717. [Google Scholar] [CrossRef]
- Daina, A.; Zoete, V. A BOILED-Egg To Predict Gastrointestinal Absorption and Brain Penetration of Small Molecules. ChemMedChem 2016, 11, 1117–1121. [Google Scholar] [CrossRef] [PubMed]
- Zhang, H.; Hassan, Y.I.; Liu, R.; Mats, L.; Yang, C.; Liu, C.; Tsao, R. Molecular Mechanisms Underlying the Absorption of Aglycone and Glycosidic Flavonoids in a Caco-2 BBe1 Cell Model. ACS Omega 2020, 5, 10782–10793. [Google Scholar] [CrossRef]
- Dahiya, A.; Majee, C.; Mazumder, R.; Priya, N.; Salahauddin; Atriya, A. Insight into the Glycosylation Methods of the Flavonoids as an Approach to Enhance Its Bioavailability and Pharmacological Activities. Indian J. Pharm. Educ. Res. 2023, 57, 354–371. [Google Scholar] [CrossRef]
- Loo, D.D.; Wright, E.M. Sugar Transport across Epithelia. In Studies of Epithelial Transporters and Ion Channels: Ion Channels and Transporters of Epithelia in Health and Disease; Hamilton, K.L., Devor, D.C., Eds.; Springer International Publishing: Cham, Switzerland, 2020; pp. 211–254. [Google Scholar]
- Kowsalya, K.; Vidya, N.; Halka, J.; Preetha, J.S.Y.; Saradhadevi, M.; Sahayarayan, J.J.; Gurusaravanan, P.; Arun, M. Plant Glycosides and Glycosidases: Classification, Sources, and Therapeutic Insights in Current Medicine. Glycoconj. J. 2025, 42, 107–124. [Google Scholar] [CrossRef] [PubMed]
- Hu, L.; Luo, Y.; Yang, J.; Cheng, C. Botanical Flavonoids: Efficacy, Absorption, Metabolism and Advanced Pharmaceutical Technology for Improving Bioavailability. Molecules 2025, 30, 1184. [Google Scholar] [CrossRef] [PubMed]
- Sánchez-Villamil, J.P.; Ochoa, F.A.; Portillo, O.C.; Montero, J.M.; Martinez-Galán, J.P.; Patricia, J.; Villamil, S. Systematic Review of Antibacterial Activity of Naringin and Other Flavanones against Oral Pathogens. 2023. Available online: https://papers.ssrn.com/sol3/papers.cfm?abstract_id=4366409 (accessed on 11 August 2025).
- Veiko, A.G.; Olchowik-Grabarek, E.; Sekowski, S.; Roszkowska, A.; Lapshina, E.A.; Dobrzynska, I.; Zamaraeva, M.; Zavodnik, I.B. Antimicrobial Activity of Quercetin, Naringenin and Catechin: Flavonoids Inhibit Staphylococcus Aureus-Induced Hemolysis and Modify Membranes of Bacteria and Erythrocytes. Molecules 2023, 28, 1252. [Google Scholar] [CrossRef]
- Murti, Y.; Mishra, P. Synthesis and Evaluation of Flavanones as Anticancer Agents. Indian J. Pharm. Sci. 2014, 76, 163–166. [Google Scholar]
- Silva, A.M.S.; Tavares, H.R.; Barros, A.I.N.R.A.; Cavaleiro, J.A.S. NMR and Structural and Conformational Features of 2’-Hydroxychalcones and Flavones. Spectrosc. Lett. 1997, 30, 1655–1667. [Google Scholar] [CrossRef]
- Kozłowska, E.; Urbaniak, M.; Hoc, N.; Grzeszczuk, J.; Dymarska, M.; Stępień, Ł.; Pląskowska, E.; Kostrzewa-Susłow, E.; Janeczko, T. Cascade Biotransformation of Dehydroepiandrosterone (DHEA) by Beauveria Species. Sci. Rep. 2018, 8, 13449. [Google Scholar] [CrossRef]
- Dymarska, M.; Grzeszczuk, J.; Urbaniak, M.; Janeczko, T.; Pląskowska, E.; Stępień, Ł.; Kostrzewa-Susłow, E. Glycosylation of 6-Methylflavone by the Strain Isaria fumosorosea KCH J2. PLoS ONE 2017, 12, e0184885. [Google Scholar] [CrossRef]
- Kozłowska, J.; Potaniec, B.; Zarowska, B.; Anioł, M. Synthesis and Biological Activity of Novel O-Alkyl Derivatives of Naringenin and Their Oximes. Molecules 2017, 22, 1485. [Google Scholar] [CrossRef]















| Proton | Compound | |||
|---|---|---|---|---|
| 1 | 1a | 2 | 2a | |
| H-2 | 5.94 (dd) J = 13.4 J = 2.8 | 5.89 (dd) J = 13.5 J = 2.7 | 5.69 (dd) J = 13.1 J = 2.9 | 5.64 (m) |
| H-3ax | 3.10 (dd) J = 16.8 J = 13.4 | 3.07 (dd) J = 16.8 J = 13.5 | 3.17 (dd) J = 16.8 J = 13.1 | 3.13 (dd) J = 16.8 J = 13.1 |
| H-3eq | 2.92 (dd) J = 16.8 J = 2.8 | 2.91 (dd) J = 16.8 J = 2.8 | 2.91 (dd) J = 16.8 J = 3.0 | 2.91 (dt) J = 16.8 J = 2.9 |
| H-5 | 7.88 (dd) J = 7.8 J = 1.7 | 7.50 (m) | 7.85 (dd) J = 8.1 J = 1.8 | 7.47 (t) J = 2.9 |
| H-6 | 7.13 (m) | - | 7.11 (m) | - |
| H-7 | 7.61 (ddd) J = 8.4 J = 7.3 J = 1.8 | 7.36 (dd) J = 9.0 J = 3.1 | 7.60 (ddd) J = 8.5 J = 7.4 J = 1.8 | 7.35 (dd) J = 9.0 J = 3.1 |
| H-8 | 7.13 (m) | 7.06 (dd) J = 9.0 J = 1.7 | 7.11 (m) | 7.07 (dd) J = 9.0 J = 1.2 |
| H-2′ | - | - | 7.67 (t) J = 1.8 | 7.65 (m) |
| H-3′ | 7.51 (m) | 7.50 (m) | - | - |
| H-4′ | 7.44 (m) | 7.44 (td) J = 7.7 J = 1.7 | 7.44 (m) | 7.43 (m) |
| H-5′ | 7.51 (m) | 7.50 (m) | 7.49 (t) J = 7.7 | 7.49 (d) J = 7.9 |
| H-6′ | 7.85 (dd) J = 7.6 J = 1.7 | 7.83 (dt) J = 7.7 J = 1.9 | 7.56 (m) | 7.55 (dd) J = 7.7 J = 1.5 |
| H-1″ | - | 4.92 (d) J = 7.8 | - | 4.90 (dd) J = 7.7 J = 6.4 |
| H-2″ | - | 3.46 (m) | - | 3.45 (m) |
| H-3″ | - | 3.64 (ddd) J = 9.0 J = 7.8 J = 3.3 | - | 3.63 (ddd) J = 9.0 J = 7.7 J = 3.2 |
| H-4″ | - | 3.24 (t) J = 9.3 | - | 3.24 (m) |
| H-5″ | - | 3.46 (m) | - | 3.45 (m) |
| H-6″ | - | 3.83 (m) 3.71 (m) | - | 3.83 (m) 3.71 (m) |
| 4″-OCH3 | - | 3.57 (s) | - | 3.56 (s) |
| 2″-OH | - | 4.69 (m) | - | 4.68 (m) |
| 3″-OH | - | 4.40 (d) J = 4.1 | - | 4.39 (d) J = 4.0 |
| 6″-OH | - | 3.71 (m) | - | 3.71 (m) |
| Carbon | Compound | |||
|---|---|---|---|---|
| 1 | 1a | 2 | 2a | |
| C-2 | 77.2 | 77.0 | 79.5 | 79.6 |
| C-3 | 43.7 | 43.6 | 44.9 | 44.8 |
| C-4 | 191.3 | 191.2 | 191.4 | 191.3 |
| C-4a | 121.9 | 122.0 | 121.9 | 122.1 |
| C-5 | 127.5 | 113.8 | 127.4 | 113.7 |
| C-6 | 122.6 | 153.4 | 122.5 | 153.3 |
| C-7 | 136.9 | 126.9 | 136.9 | 126.8 |
| C-8 | 118.9 | 119.9 | 118.9 | 119.9 |
| C-8a | 162.3 | 157.7 | 162.2 | 157.5 |
| C-1′ | 137.7 | 137.7 | 142.8 | 142.8 |
| C-2′ | 132.5 | 132.5 | 127.3 | 127.3 |
| C-3′ | 130.5 | 130.5 | 134.9 | 134.9 |
| C-4′ | 130.9 | 130.9 | 129.3 | 129.3 |
| C-5′ | 128.6 | 128.6 | 131.3 | 131.3 |
| C-6′ | 128.7 | 128.7 | 125.8 | 125.8 |
| C-1″ | - | 102.6 | - | 102.6 |
| C-2″ | - | 75.0 | - | 75.0 |
| C-3″ | - | 77.9 | - | 77.9 |
| C-4″ | - | 80.0 | - | 80.0 |
| C-5″ | - | 77.3 | - | 77.0 |
| C-6″ | - | 62.0 | - | 62.0 |
| 4″-OCH3 | - | 60.5 | - | 60.5 |
| Proton. | Compound | |||
|---|---|---|---|---|
| 3 | 3a | 4 | 4a | |
| H-2 | 5.67 (dd) J = 13.1 J = 2.8 | 5.62 (dd) J = 13.1 J = 2.9 | 5.69 (dd) J = 13.1 J = 2.9 | 5.63 (dd) J = 13.0 J = 2.8 |
| H-3ax | 3.15 (dd) J = 16.8 J = 13.1 | 3.11 (dd) J = 16.8 J = 13.1 | 3.21 (dd) J = 16.9 J = 13.1 | 3.22 (m) |
| H-3eq | 2.89 (m) | 2.89 (m) | 2.90 (dd) J = 16.9 J = 2.9 | 2.88 (m) J = 2.9 |
| H-5 | 7.85 (m) | 7.46 (t) J = 3.1 | 7.77 (d) J = 2.7 | 7.75 (d) J = 2.6 |
| H-6 | 7.11 (m) | - | - | - |
| H-7 | 7.59 (m) | 7.34 (dd) J = 9.0 J = 3.1 | 7.59 (m) | 7.57 (dd) J = 8.8 J = 2.7 |
| H-8 | 7.11 (m) | 7.04 (dd) J = 9.0 J = 1.2 | 7.15 (d) J = 8.8 | 7.12 (m) |
| H-2′ | 7.64 (m) | 7.62 (m) | 7.59 (m) | 7.51 (d) J = 8.5 |
| H-3′ | 7.49 (m) | 7.49 (m) | 7.47 (m) | 7.12 (m) |
| H-4′ | - | - | 7.41 (m) | - |
| H-5′ | 7.49 (m) | 7.49 (m) | 7.47 (m) | 7.12 (m) |
| H-6′ | 7.64 (m) | 7.62 (m) | 7.59 (m) | 7.51 (d) J = 8.5 |
| H-1″ | - | 4.89 (dd) J = 7.7 J = 6.6 | - | 4.98 (d) J = 7.8 |
| H-2″ | - | 3.46 (m) | - | 3.48 (m) |
| H-3″ | - | 3.62 (m) | - | 3.66 (m) |
| H-4″ | - | 3.23 (t) J = 9.3 | - | 3.22 (m) |
| H-5″ | - | 3.46 (m) | - | 3.48 (m) |
| H-6″ | - | 3.82 (m) 3.70 (m) | - | 3.82 (m) 3.66 (m) |
| 4″-OCH3 | - | 3.56 (s) | - | 3.56 (s) |
| 2″-OH | - | 4.71 (s) | - | 4.67 (d) J = 4.1 |
| 3″-OH | - | 4.42 (s) | - | 4.43 (d) J = 4.0 |
| 6″-OH | - | 3.75 (m) | - | 3.66 (m) |
| Carbon | Compound | |||
|---|---|---|---|---|
| 3 | 3a | 4 | 4a | |
| C-2 | 79.6 | 79.7 | 80.7 | 80.3 |
| C-3 | 44.9 | 44.8 | 44.5 | 44.3 |
| C-4 | 191.5 | 191.5 | 190.9 | 191.1 |
| C-4a | 121.9 | 122.0 | 122.9 | 122.9 |
| C-5 | 127.4 | 113.8 | 126.4 | 126.4 |
| C-6 | 122.4 | 153.3 | 127.2 | 127.0 |
| C-7 | 136.9 | 126.8 | 136.5 | 136.4 |
| C-8 | 118.9 | 119.9 | 121.2 | 121.2 |
| C-8a | 162.2 | 157.6 | 161.1 | 161.1 |
| C-1′ | 139.3 | 139.4 | 139.9 | 133.3 |
| C-2′ | 129.1 | 129.1 | 127.4 | 128.8 |
| C-3′ | 129.6 | 129.6 | 129.5 | 117.4 |
| C-4′ | 134.6 | 134.6 | 129.5 | 159.0 |
| C-5′ | 129.6 | 129.6 | 129.5 | 117.4 |
| C-6′ | 129.1 | 129.1 | 127.4 | 128.8 |
| C-1″ | - | 102.6 | - | 101.5 |
| C-2″ | - | 75.0 | - | 74.9 |
| C-3″ | - | 77.9 | - | 78.0 |
| C-4″ | - | 80.0 | - | 80.1 |
| C-5″ | - | 77.0 | - | 77.0 |
| C-6″ | - | 62.0 | - | 62.1 |
| 4″-OCH3 | - | 60.5 | - | 60.6 |
| Activity/Parameter | 1 | 1a | 2 | 2a | 3 | 3a | 4 | 4a | 5 |
|---|---|---|---|---|---|---|---|---|---|
| Lipophilicity consensus Log Po/w | 3.46 | 1.64 | 3.47 | 1.58 | 3.47 | 1.62 | 3.46 | 1.60 | 2.93 |
| Water solubility [mg/mL] | 0.0147 | 0.1600 | 0.0147 | 0.1600 | 0.0147 | 0.1600 | 0.0147 | 0.1600 | 0.0485 |
| Gastrointestinal absorption | High | High | High | High | High | High | High | High | High |
| BBB permeant | Yes | No | Yes | No | Yes | No | Yes | No | Yes |
| P-gp substrate | No | Yes | No | Yes | No | Yes | No | Yes | No |
| CYP1A2 inhibitor | Yes | No | Yes | No | Yes | No | Yes | No | Yes |
| CYP2C9 inhibitor | No | No | Yes | No | Yes | No | No | No | No |
| CYP2C19 inhibitor | Yes | No | Yes | No | Yes | No | Yes | No | No |
| CYP2D6 inhibitor | No | No | No | No | No | No | No | No | No |
| CYP3A4 inhibitor | No | Yes | No | Yes | No | Yes | No | Yes | No |
| Log Kp (skin permeation) [cm/s] | −5.20 | −8.08 | −5.20 | −8.08 | −5.20 | −8.08 | −5.20 | −8.08 | −5.44 |
| Drug-likeness (Lipinski, Ghose, Veber, Egan, and Muegge) | Yes | Yes | Yes | Yes | Yes | Yes | Yes | Yes | Yes |
| Abbott bioavailability score (ABS) | 0.55 | 0.55 | 0.55 | 0.55 | 0.55 | 0.55 | 0.55 | 0.55 | 0.55 |
| PAINS | 0 alert | 0 alert | 0 alert | 0 alert | 0 alert | 0 alert | 0 alert | 0 alert | 0 alert |
| Compound | E. faecalis (Gram+) | S. aureus (Gram+) | L. acidophilus (Gram+) | E. coli (Gram−) | C. albicans (yeast) |
|---|---|---|---|---|---|
| ΔOD (0.05%) | |||||
| Control | 1.86 | 1.77 | 1.61 | 1.48 | 1.35 |
| Oxytetracycline | 0 | 0 | 0 | 0 | - |
| Cycloheximide | - | - | - | - | 0 |
| 1 | 1.56 | 1.66 | 0.98 | 1.99 | 0.92 |
| 1a | 1.87 | 1.97 | 1.36 | 2.00 | 1.40 |
| 2 | 1.67 | 1.10 | 0.94 | 1.82 | 1.00 |
| 2a | 1.81 | 1.88 | 0.95 | 1.17 | 0.84 |
| 3 | 1.11 | 0.70 | 0.76 | 0.98 | 0.41 |
| 3a | 1.82 | 1.62 | 1.16 | 1.77 | 1.77 |
| 4 | 1.33 | 1.01 | 1.11 | 1.62 | 1.11 |
| 4a | 1.86 | 1.72 | 0.97 | 1.82 | 1.12 |
| 5 | 1.76 | 1.17 | 1.06 | 1.84 | 0.88 |
| Substrate | Fungal Strain | Biotransformation Yield (%) |
|---|---|---|
| 2′-Chloroflavanone (1) | B. bassiana KCH J1.5 | 6.6 |
| I. fumosorosea KCH J2 | complex mixture | |
| 3′-Chloroflavanone (2) | B. bassiana KCH J1.5 | 5.1 |
| I. fumosorosea KCH J2 | complex mixture | |
| 4′-Chloroflavanone (3) | B. bassiana KCH J1.5 | 5.8 |
| I. fumosorosea KCH J2 | complex mixture | |
| 6-Chloroflavanone (4) | B. bassiana KCH J1.5 | complex mixture |
| I. fumosorosea KCH J2 | 7.8 |
Disclaimer/Publisher’s Note: The statements, opinions and data contained in all publications are solely those of the individual author(s) and contributor(s) and not of MDPI and/or the editor(s). MDPI and/or the editor(s) disclaim responsibility for any injury to people or property resulting from any ideas, methods, instructions or products referred to in the content. |
© 2025 by the authors. Licensee MDPI, Basel, Switzerland. This article is an open access article distributed under the terms and conditions of the Creative Commons Attribution (CC BY) license (https://creativecommons.org/licenses/by/4.0/).
Share and Cite
Krawczyk-Łebek, A.; Janeczko, T.; Żarowska, B.; Kostrzewa-Susłow, E. Fungal Biotransformation of Chloroflavanones and Antimicrobial Activity of Parent Compounds and Derived Products. Int. J. Mol. Sci. 2025, 26, 10138. https://doi.org/10.3390/ijms262010138
Krawczyk-Łebek A, Janeczko T, Żarowska B, Kostrzewa-Susłow E. Fungal Biotransformation of Chloroflavanones and Antimicrobial Activity of Parent Compounds and Derived Products. International Journal of Molecular Sciences. 2025; 26(20):10138. https://doi.org/10.3390/ijms262010138
Chicago/Turabian StyleKrawczyk-Łebek, Agnieszka, Tomasz Janeczko, Barbara Żarowska, and Edyta Kostrzewa-Susłow. 2025. "Fungal Biotransformation of Chloroflavanones and Antimicrobial Activity of Parent Compounds and Derived Products" International Journal of Molecular Sciences 26, no. 20: 10138. https://doi.org/10.3390/ijms262010138
APA StyleKrawczyk-Łebek, A., Janeczko, T., Żarowska, B., & Kostrzewa-Susłow, E. (2025). Fungal Biotransformation of Chloroflavanones and Antimicrobial Activity of Parent Compounds and Derived Products. International Journal of Molecular Sciences, 26(20), 10138. https://doi.org/10.3390/ijms262010138

