Exogenous 24-Epibrassinolide Improves Low-Temperature Tolerance of Maize Seedlings by Influencing Sugar Signaling and Metabolism
Abstract
1. Introduction
2. Results
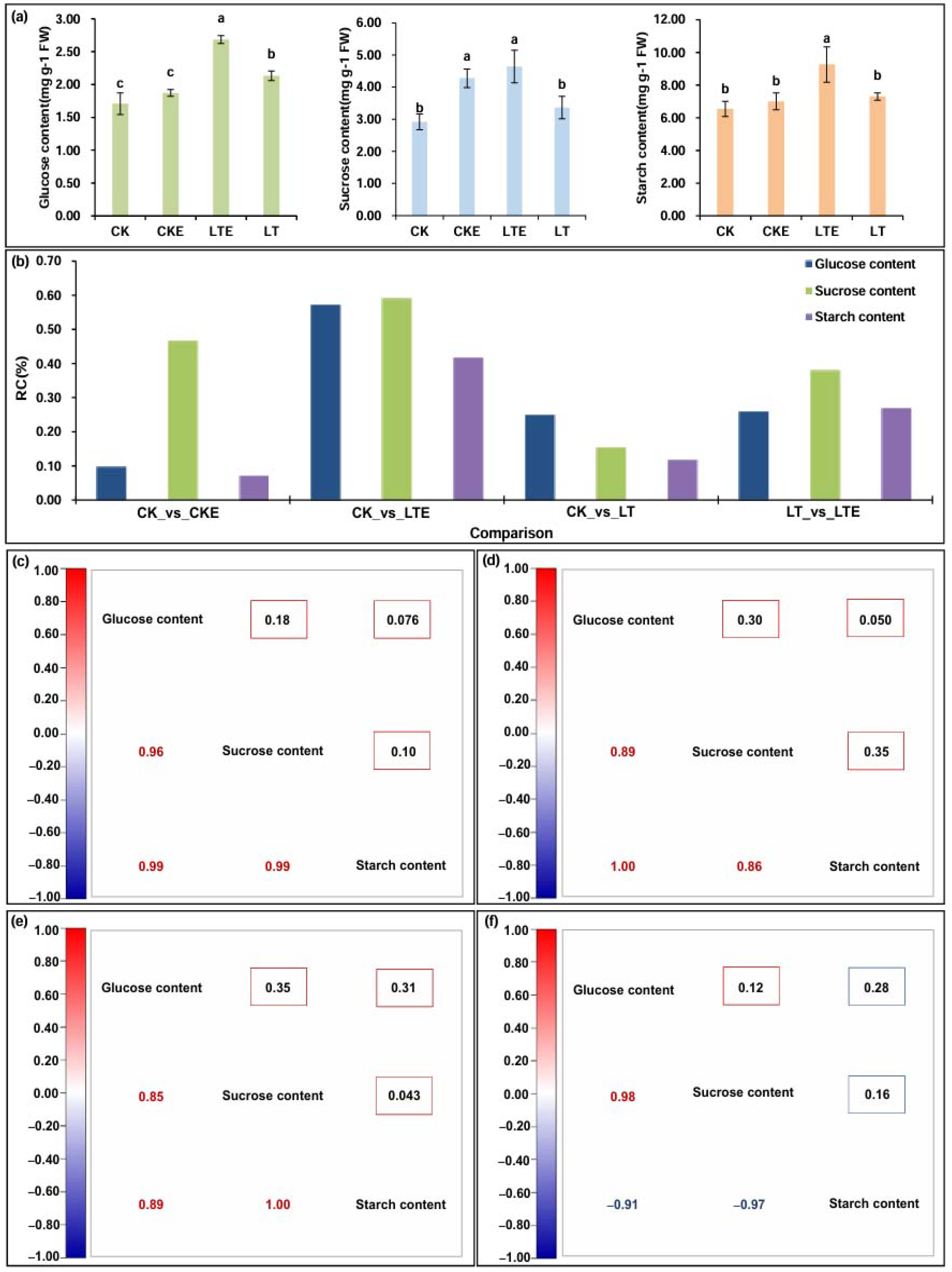
2.1. Changes in Various Sugar Accumulation in Coleoptile Under LT Stress and EBR Stimulation
2.2. Correlation Analysis
2.3. Overview of RNA-Seq Quality and DEGs Identification
2.4. Functional Annotation and Enrichment Analysis of DEGs
2.5. DEGs Involved in Starch and Sucrose Metabolism
2.6. DEGs Involved in Photosynthesis
2.7. Gene Interaction Network Construction
2.8. Verification of RNA-Seq Data by Quantitative Reverse Transcriptase PCR (qRT-PCR)
3. Discussion
4. Materials and Methods
4.1. Experimental Materials and Treatments
4.2. Physiological Metabolisms Measurements
4.3. Statistical Analyses
4.4. RNA-Seq Analysis, DEGs Identification, GO and KEGG Enrichment Analysis
4.5. Gene Interaction Network Mapping
4.6. qRT-PCR Validation
5. Conclusions
Author Contributions
Funding
Institutional Review Board Statement
Informed Consent Statement
Data Availability Statement
Conflicts of Interest
References
- Széles, A.; Horváth, É.; Simon, K.; Zagyi, P.; Huzsvai, L. Maize production under drought stress: Nutrient supply, yield prediction. Plants 2023, 12, 3301. [Google Scholar] [CrossRef] [PubMed]
- Meng, X.K.; Liang, Z.K.; Dai, X.R.; Zhang, Y.; Mahboub, S.; Ngu, D.W.; Roston, R.L.; Schnable, J.C. Predicting transcriptional responses to cold stress across plant species. Proc. Natl. Acad. Sci. USA 2021, 118, e2026330118. [Google Scholar] [CrossRef] [PubMed]
- Sobkowiak, A.; Jończyk, M.; Jarochowska, E.; Biecek, P.; Trzcinska-Danielewicz, J.; Leipner, J.; Fronk, J.; Sowiński, P. Genome-wide transcriptiomic analysis of response to low temperature reveals camdidate genes determining divergent cold-sensitivity of maize inbred lines. Plant Mol. Biol. 2014, 85, 317–331. [Google Scholar] [CrossRef]
- Friero, I.; Larriba, E.; MartínezMelgarejo, P.A.; Justamante, M.D.; Alarcón, M.V.; Albacete, A.; Salguero, J.; Pérez-Pérez, J. Transcriptomic and hormonal analysis of the roots of maize seedlings grown hydroponically at low temperature. Plant Sci. 2022, 326, 111525. [Google Scholar] [CrossRef]
- Waqas, M.A.; Wang, X.; Zafar, S.A.; Noor, M.A.; Hussain, H.A.; Azher, N.M.; Farooq, M. Thermal stresses in maize: Effects and management strategies. Plants 2021, 10, 293. [Google Scholar] [CrossRef] [PubMed]
- Zhang, Y.C.; Liu, P.; Zou, C.Y.; Chen, Z.; Yuan, G.S.; Gao, S.B.; Pan, G.T.; Shen, Y.O.; Ma, L.L. Comprehensive analysis of transcriptional data on seed germination of two maize inbred lines under low-temperature conditions. Plant Physiol. Biochem. 2023, 201, 107874. [Google Scholar] [CrossRef]
- Li, X.H.; Hu, H.R.; Hu, X.M.; Wang, G.H.; Du, X.M.; Li, L.; Wang, F.; Fu, J.J.; Wang, G.Y.; Wang, J.H.; et al. Transcriptome analysis of near-Isogenic lines provides novel insights into genes associated with seed low-temperature germination ability inmaize (Zea mays L.). Plants 2022, 11, 887. [Google Scholar] [CrossRef] [PubMed]
- Gong, F.; Yang, L.; Tai, F.; Hu, X.; Wang, W. “Omics” of Maize stress response for sustainable food production: Opportunities and challenges. Omics 2014, 18, 714–732. [Google Scholar] [CrossRef] [PubMed]
- Ma, S.; Xi, Z.; Wang, Q. Risk evaluation of cold damage to corn in northeast China. Nat. Disasters 2003, 12, 137–141. [Google Scholar]
- Chi, Y.X.; Yang, L.; Zhao, C.J.; Muhammad, I.; Zhou, X.B.; Zhu, H.D. Effects of soaking seeds in exogenous vitamins on active oxygen metabolism and seedlings growth under low-temperature stress. Saudi J. Biol. Sci. 2021, 28, 3254–3261. [Google Scholar]
- Li, M.; Lin, L.; Zhang, Y.H.; Sui, N. ZmMYB31, a R2R3-MYB transcription factor in maize, positively regulates the expression of CBF genes and enhances resistance to chilling and oxidative stress. Mol. Biol. Rep. 2019, 46, 3937–3944. [Google Scholar] [CrossRef] [PubMed]
- Ramazan, S.; Qazi, H.A.; Dar, Z.A.; John, R. Low temperature elicits differential biochemical and antioxidant responses in maize (Zea mays) genotypes with different susceptibility to low temperature stress. Physiol. Mol. Biol. Plants 2021, 27, 1395–1412. [Google Scholar] [CrossRef] [PubMed]
- Zhang, C.; Wang, Q.S.; Zhang, B.R.; Zhang, F.; Liu, P.F.; Zhou, S.L.; Liu, X.L. Hormonal and enzymatic responses of maize seedlings to chilling stress as affected by triazoles seed treatments. Plant Physiol. Biochem. 2020, 148, 220–227. [Google Scholar] [CrossRef]
- Zhao, X.Q.; Zhao, C.; Niu, Y.N.; Chao, W.; He, W.; Wang, Y.F.; Mao, T.T.; Bai, X.D. Understanding and comprehensive evaluation of cold resistance in the seedlings of multiple maize genotypes. Plants 2022, 11, 1881. [Google Scholar] [CrossRef] [PubMed]
- He, R.Y.; Zheng, J.J.; Chen, Y.; Pan, Z.Y.; Yang, T.; Zhou, Y.; Li, X.F.; Nan, X.Y.; Li, Y.Z.; Cheng, M.C.; et al. QTL-seq and transcriptomic integrative analyses reveal two positively regulated genes that control the low-temperature germination ability of MTP-maize introgression lines. Theor. Appl. Genet. 2023, 136, 116. [Google Scholar] [CrossRef] [PubMed]
- Soualiou, S.; Duan, F.; Li, X.; Zhou, W. Crop production under cold stress: An understanding of plant responses, acclimation processes, and management strategies. Plant Physiol. Biochem. 2022, 190, 47–61. [Google Scholar] [CrossRef]
- Khan, T.A.; Fariduddin, Q.; Yusuf, M. Low-temperature stress: Is phytohormones application a remedy? Environ. Sci. Pollut. Res. 2017, 24, 21574–21590. [Google Scholar] [CrossRef] [PubMed]
- Khan, T.A.; Yusuf, M.; Ahmad, A.; Bashir, Z.; Saeed, T.; Fariduddin, Q.; Hayat, S.; Mock, H.P.; Wu, T.Q. Proteomic and physiological assessment of stress sensitive and tolerant variety of tomato treated with brassinosteroids and hydrogen peroxide under low temperature stress. Food Chem. 2019, 289, 500–511. [Google Scholar] [CrossRef] [PubMed]
- Xia, X.J.; Fang, P.P.; Guo, X.; Qian, X.J.; Zhou, J.; Shi, K.; Zhou, Y.H.; Yu, J.Q. Brassinosteroid-mediated apoplastic H2O2-glutaredoxin 12/14 cascade regulates antioxidant capacity in response to chilling in tomato plant. Cell Environ. 2018, 41, 1052–1064. [Google Scholar] [CrossRef] [PubMed]
- Eremina, M.; Unterholzner, S.J.; Rathnayake, A.I.; Castellanos, M.; Khan, M.; Kugler, K.G.; May, S.T.; Mayer, K.F.X.; Rozhon, W.; Poppenberger, B. Brassinosteroids participate in the control of basal andacquired freezing tolerance of plants. Proc. Natl. Acad. Sci. USA 2016, 113, 5982–5991. [Google Scholar] [CrossRef] [PubMed]
- Ye, K.; Li, H.; Ding, Y.l.; Shi, Y.T.; Song, C.P.; Gong, Z.Z.; Yang, S.H. BRASSINOSTEROID-INSENSITIVE2 negatively regulates the stability of transcription factor ICE1 in response to cold stress in arabidopsis. Plant Cell. 2019, 31, 2682–2696. [Google Scholar] [CrossRef]
- Kloc, Y.; Boguta, M.D.; Paulina, Ż.R.; Łukasz, Ł.; Anna, N.O.; Wacław, O. HvGSK1.1 controls salt tolerance and yield through the brassinosteroid signaling pathway in barley. Int. J. Mol. Sci. 2024, 25, 998. [Google Scholar] [CrossRef] [PubMed]
- Alonso, S.; Cebrián, G.; Gautam, K.; Moya, J.I.; Martínez, C.; Jamilena, M. A mutation in the brassinosteroid biosynthesis gene CpDWF5 disrupts vegetative and reproductive development and the salt stress response in squash (Cucurbita pepo). Hortic. Res. 2024, 11, uhae050. [Google Scholar] [CrossRef] [PubMed]
- Zhou, Y.L.; You, X.Y.; Wang, X.Y.; Cui, L.H.; Jiang, Z.H.; Zhang, K.P. Exogenous 24-epibrassinolide enhanced drought tolerance and promoted BRASSINOSTEROID-INSENSITIVE2 expression of quinoa. Plants 2024, 13, 873. [Google Scholar] [CrossRef] [PubMed]
- Evandro, F.M.; Francisco, V.S.S.; Antônio, M.P.B.; Lourival, F.C.; Emanoela, P.P.; Nubia, M.F. Effect of soil conditioners on the chemical attributes of a saline-sodic soil and on the initial growth of the castor bean plant. Semin. Cienc. Agrar. 2015, 36, 2527–2538. [Google Scholar]
- Liu, X.; Zhu, Q.W.; Liu, W.T.; Zhang, J. Exogenous brassinosteroid enhances zinc tolerance by activating the phenylpropanoid biosynthesis pathway in citrullus lanatus L. Plant Signal. Behav. 2023, 18, 2186640. [Google Scholar] [CrossRef]
- Della, R.F.; Piacentini, D.; Fattorini, L.; Girardi, N.; Bellanima, D.; Falasca, G.; Altamura, M.M.; Betti, C. Brassinosteroids mitigate cadmium effects in arabidopsis root system without any cooperation with nitric oxide. Int. J. Mol. Sci. 2022, 23, 825. [Google Scholar] [CrossRef] [PubMed]
- Kour, J.; Kohli, S.K.; Khanna, K.; Bakshi, P.; Sharma, P.; Singh, A.D.; Ibrahim, M.; Devi, K.; Sharma, N.; Ohri, P.; et al. Brassinosteroid signaling, crosstalk and, physiological functions in plants under heavy metal stress. Front. Plant Sci. 2021, 12, 608061. [Google Scholar] [CrossRef] [PubMed]
- Ahammed, G.J.; Li, X.; Liu, A.; Chen, S. Brassinosteroids in plant tolerance to abiotic stress. J. Plant Growth Regul. 2020, 39, 1451–1464. [Google Scholar] [CrossRef]
- Xu, X.Y.; Yu, J.H.; Xie, J.M.; Hu, L.L.; Li, J. Effects of exogenous salicylic acid and brassinolide on photosynthesis of cucumber seedlings under low temperature stress. Yingyong Shengtai Xuebao 2016, 27, 3009–3015. [Google Scholar] [PubMed]
- Zhang, H.; Zhang, X.L.; Gao, G.Q.; Ali, I.; Wu, X.Y.; Tang, M.Y.; Chen, L.; Jiang, L.G.; Liang, T.F. Effects of various seed priming on morphological, physiological, and biochemical traits of rice under chilling stress. Front. Plant Sci. 2023, 14, 1146285. [Google Scholar] [CrossRef] [PubMed]
- Ding, M.Y.; Wang, L.Y.; Sun, Y.T.; Zhang, J.B.; Chen, Y.S.; Wang, X.S.; Liu, L.J. Transcriptome analysis of brassinolide under low temperature stress in winter wheat. AoB Plants 2023, 15, plad005. [Google Scholar] [CrossRef]
- Jiang, G.Q.; Wang, S.C.; Xie, J.; Tan, P.; Han, L.P. Discontinuous low temperature stress and plant growth regulators duringthe germination period promote roots growth in alfalfa (Medicago sariva L.). Plant Physiol. Biochem. 2023, 197, 107624. [Google Scholar] [CrossRef]
- Gao, C.H.; Sheteiwy, M.S.; Lin, C.; Guan, Y.J.; Ulhassan, Z.; Hu, J. Spermidine suppressed the inhibitory effects of polyaminesinhibitors combination in maize (Zea mays) seedlings under chilling stress. Plants 2021, 10, 2421. [Google Scholar] [CrossRef] [PubMed]
- Gao, C.H.; Sheteiwy, M.S.; Han, J.J.; Dong, Z.R.; Pan, R.H.; Guan, Y.J.; Hamoud, Y.A.; Hu, J. Polyamine biosynthetic pathways andtheir relation with the cold tolerance of maize (Zea mays L.) seedlings. Plant Sigua. Behat. 2020, 15, 1807722. [Google Scholar] [CrossRef]
- Gill, S.S.; Tuteja, N. Reactive oxygen species and antioxidant machinery in abiotic stress tolerance in crop plants. Plant Physiol.Biochem. 2010, 48, 909–930. [Google Scholar] [CrossRef] [PubMed]
- Anna, B.K.; Jennifer, M.; Szymon, S.; Justyna, M.; Piotr, O.; Jacek, Z. Sucrose phosphate synthase (SPS), sucrose synthase (SUS) and their products in the leaves of miscanthus × giganteus and Zea mays at low temperature. Planta 2020, 252, 23. [Google Scholar]
- Zhang, J.; Tang, C.N.; Xie, J.M.; Li, J.; Zhang, X.D.; Wang, C. Exogenous strigolactones alleviate low-temperature stress in peppers seedlings by reducing the degree of photoinhibition. BMC Plant Biol. 2024, 24, 907. [Google Scholar] [CrossRef] [PubMed]
- Su, D.Y.; Du, L.C.; Wang, J.F.; Li, G.; Kong, F.I. Effects of melatonin on ginseng leaf phenotypic and photosynthetic properties following chilling and freezing stress. Plant Stress 2024, 14, 100599. [Google Scholar] [CrossRef]
- Zhao, X.Q.; Niu, Y.N.; Hossain, Z.; Zhao, B.Y.; Bai, X.D.; Mao, T.T. New insights into light spectral quality inhibits the plasticity elongation of maize mesocotyl and coleoptile during seed germination. Front. Plant Sci. 2023, 14, 1152399. [Google Scholar] [CrossRef]
- Erenstein, O.; Jaleta, M.; Sonder, K.; Mottaleb, K.; Prasanna, B.M. Global maize production, consumption and trade: Trends and R&D implications. Food Secur. 2022, 14, 1295–1319. [Google Scholar]
- Gao, J.; Liu, N.G.; Wang, X.Q.; Niu, Z.Y.; Liao, Q.; Ding, R.S.; Du, T.S.; Kang, S.Z.; Tong, L. Maintaining grain number by reducing grain abortion is the key to improve water use efficiency of maize under deficit irrigation and salt stress. Agric. Water Manag. 2024, 294, 108727. [Google Scholar] [CrossRef]
- Han, Q.H.; Zhu, Q.X.; Shen, Y.; Lee, M.; Lübberstedt, T.; Zhao, G.W. QTL mapping low-temperature germination ability in the maize IBM Syn10 DH population. Plants 2022, 11, 214. [Google Scholar] [CrossRef] [PubMed]
- Men, Y.H.; Lu, S.; Li, L.; Wu, C.R.; Sun, N.N.; Huang, Y.J.; Yasir, T.A.; Yang, Y.; Wang, C.H.; Gao, X.F.; et al. Genome wide association study and transcriptome analysis identify candidate genes regulating wheat coleoptile length. Mol. Breed. 2024, 44, 78. [Google Scholar] [CrossRef]
- Dai, H.F.; Jiang, B.; Zhao, J.S.; Li, J.C.; Sun, Q.M. Metabolomics and transcriptomics analysis of pollen germination response to low-temperature in pitaya (Hylocereus polyrhizus). Front. Plant Sci. 2022, 13, 866588. [Google Scholar] [CrossRef]
- Hu, W.; Liu, Y.; Loka, D.A.; Zahoor, R.; Wang, S.S.; Zhou, Z.G. Drought limits pollen tube growth rate by altering carbohydrate metabolism in cotton (Gossypium hirsutum) pistils. Plant Sci. 2019, 286, 108–117. [Google Scholar] [CrossRef] [PubMed]
- Nayyar, H.; Bains, T.; Kumar, S. Low temperature induced floral abortion in chickpea: Relationship to abscisic acid and cryoprotectants in reproductive organs. Environ. Exp. Bot. 2004, 53, 39–47. [Google Scholar] [CrossRef]
- Wang, H.B.; Gong, M.; Xin, H.; Tang, L.Z.; Dai, D.Q.; Gao, Y.; Liu, C. Effects of chilling stress on the accumulation of soluble sugars and their key enzymes in Jatropha curcas seedlings. Physiol. Mol. Biol. Plants 2018, 24, 857–865. [Google Scholar] [CrossRef]
- Zhao, X.Q.; He, F.Q.; Qi, G.X.; Sun, S.Q.; Shi, Z.Z.; Niu, Y.N.; Wu, Z.F. Transcriptomic and physiological studies unveil that brassinolide maintains the balance of maize’s multiple metabolisms under low-temperature stress. Int. J. Mol. Sci. 2024, 25, 9396. [Google Scholar] [CrossRef] [PubMed]
- Khan, T.A.; Fariduddin, Q.; Yusuf, M. Lycopersicon esculentum under low temperature stress: An approach toward enhanced antioxidants and yield. Environ. Sci. Pollut. Res. Int. 2015, 22, 14178–14188. [Google Scholar] [CrossRef]
- Li, W.J.; Sun, J.; Zhang, X.G.; Ahmad, N.; Hou, L.; Zhao, C.Z.; Pan, J.W.; Tian, R.Z.; Wang, X.J.; Zhao, S.Z. The mechanisms underlying salt resistance mediated by exogenous application of 24-epibrassinolide in peanut. Int. J. Mol. Sci. 2022, 23, 6376. [Google Scholar] [CrossRef]
- Preet, T.; Ghai, N.; Jindal, S.K.; Sangha, M.K. Salicylic acid and 24-epibrassinolide induced the rmotolerance in bell pepper through enhanced antioxidant enzyme system and heat shock proteins. J. Agric. Sci. Technol. 2023, 25, 171–183. [Google Scholar]
- Zheng, H.; Ma, J.; Huang, W.L.; Di, H.M.; Xia, X.; Ma, W.; Ma, J.; Yang, J.; Li, X.M.; Lian, H.S.; et al. Physiological and comparative transcriptome analysis reveals the mechanism by which exogenous 24-Epibrassinolide application enhances drought resistance in potato (Solanum tuberosum L.). Antioxidants 2022, 11, 1701. [Google Scholar] [CrossRef]
- Aki, S.M.; Kouichi, S.; Kazuyuki, W.; Seiichiro, K.; Takayuki, H. Suppression of sugar accumulation in coleoptile and mesocotyl cells by light irradiation to etiolated maize seedlings. J. Plant Physiol. 2021, 260, 153409. [Google Scholar]
- Winter, H.; Huber, S.C. Regulation of sucrose metabolism in higher plants: Localization and regulation of activity of key enzymes. Crit. Rev. Biochem. Mol. Biol. 2000, 35, 253–289. [Google Scholar] [CrossRef] [PubMed]
- Amor, Y.; Haigler, C.H.; Johnson, S.; Wainscott, M.; Delmer, D.P. A membrane-associated form of sucrose synthase and its potential role in synthesis of cellulose and callose in plants. Proc. Natl. Acad. Sci. USA 1995, 92, 9353–9357. [Google Scholar] [CrossRef]
- Haigler, C.H.; Ivanova-Datcheva, M.; Hogan, P.S.; Salnikov, V.V.; Hwang, S.; Martin, K.; Delmer, D.P. Carbon partitioning to cellulose synthesis. Plant Mol. Biol. 2001, 47, 29–51. [Google Scholar] [CrossRef]
- Edurne, B.F.; José, M.F.; Manuel, M.; Ed, E.; Teresa, S.M.; Miroslav, O.; Abdellatif, B.; Ignacio, E.; Li, J.; Salom, é.; et al. Enhancing sucrose synthase activity in transgenic potato (Solanum tuberosum L.) tubers results in increased levels of starch, ADP-glucose and UDP-glucose and total yield. Plant Cell Physiol. 2009, 50, 1651–1662. [Google Scholar]
- Xu, X.; Li, B.Y.; Xiang, H.Y.; Wang, Z.; Li, Z.F.; Luo, Z.P.; Xie, X.D.; Wu, M.Z.; Gao, Q.; Yang, J. Analysis of the starch synthase gene family reveals that NtGBSS2 positively regulates resistant starch synthesis and enhances drought resistance in tobacco (Nicotiana tabacum L.). Ind. Crop. Prod. 2024, 220, 119203. [Google Scholar] [CrossRef]
- Morello, J.R.; Romero, M.P.; Motiva, M.J. Effect of maturation process of the olive fruit on the phenolicfraction of drupes and oils from Arbequina, Farga and Morrut cultivars. J. Agric. Food Chem. 2004, 52, 6002–6009. [Google Scholar] [CrossRef] [PubMed]
- Hashempour, A.; Ghasemnezhad, M.; Sohani, M.M.; Ghazvini, R.F.; Abedi, A. Effects of freezing stress on the expression of fatty acid desaturase (FAD2, FAD6 and FAD7) and beta-glucosidase (BGLC) genes in tolerant and sensitive olive cultivars. Russ. J. Plant Physiol. 2019, 66, 214–222. [Google Scholar] [CrossRef]
- Li, H.; He, X.W.; Gao, Y.F.; Liu, W.J.; Song, J.; Zhang, J.J. Integrative analysis of transcriptome, proteome, and phosphoproteome reveals potential roles of photosynthesis antenna proteins in response to brassinosteroids signaling in maize. Plants 2023, 12, 1290. [Google Scholar] [CrossRef] [PubMed]
- Kamirán, Á.H.; Kinga, B.; Edit, N.; Csaba, É.; Krisztina, B.; Magda, P.; Tibor, J.; Imre, M. Drought is a lesser evil than cold for photosynthesis and assimilation metabolism of maize. Plant Stress 2024, 14, 100669. [Google Scholar]
- Risky, M.A.; Nurul, M.; Widhi, D.S.; Hitoshi, S.; Bambang, S. Overexpression of sucrose phosphate synthase enhanced sucrose content and biomass production in transgenic sugarcane. Plants 2020, 9, 200. [Google Scholar] [CrossRef] [PubMed]
- Emilie, A.; Gilles, C.; Elodie, G.; Sylvie, D.; Rozenn, L.H. Changes in SWEET-mediated sugar partitioning affect photosynthesis performance and plant response to drought. Physiol. Plant. 2024, 176, e14623. [Google Scholar]
- Huang, X.Y.; Guo, W.J.; Yang, L.; Zou, Z.G.; Zhang, X.Y.; Addo-Danso, S.D.; Zhou, L.L.; Li, S.B. Effects of drought stress on non-structural carbohydrates in different organs of cunninghamia lanceolata. Plants 2023, 12, 2477. [Google Scholar] [CrossRef] [PubMed]







| Samples | Raw Reads | Clean Reads | Mapped Reads | Mapped Ratio (%) | Q30 (%) |
|---|---|---|---|---|---|
| CK | 47,611,863 | 49,158,055 | 42,551,020 | 90.75 | 93.80 |
| CKE | 49,383,388 | 51,624,310 | 44,099,804 | 90.66 | 93.85 |
| LT | 50,478,915 | 52,744,770 | 45,205,806 | 90.91 | 93.73 |
| LTE | 55,010,625 | 55,010,625 | 49,190,630 | 90.87 | 93.69 |
Disclaimer/Publisher’s Note: The statements, opinions and data contained in all publications are solely those of the individual author(s) and contributor(s) and not of MDPI and/or the editor(s). MDPI and/or the editor(s) disclaim responsibility for any injury to people or property resulting from any ideas, methods, instructions or products referred to in the content. |
© 2025 by the authors. Licensee MDPI, Basel, Switzerland. This article is an open access article distributed under the terms and conditions of the Creative Commons Attribution (CC BY) license (https://creativecommons.org/licenses/by/4.0/).
Share and Cite
Sun, S.; Zhao, X.; Shi, Z.; He, F.; Qi, G.; Li, X.; Niu, Y.; Zhou, W. Exogenous 24-Epibrassinolide Improves Low-Temperature Tolerance of Maize Seedlings by Influencing Sugar Signaling and Metabolism. Int. J. Mol. Sci. 2025, 26, 585. https://doi.org/10.3390/ijms26020585
Sun S, Zhao X, Shi Z, He F, Qi G, Li X, Niu Y, Zhou W. Exogenous 24-Epibrassinolide Improves Low-Temperature Tolerance of Maize Seedlings by Influencing Sugar Signaling and Metabolism. International Journal of Molecular Sciences. 2025; 26(2):585. https://doi.org/10.3390/ijms26020585
Chicago/Turabian StyleSun, Siqi, Xiaoqiang Zhao, Zhenzhen Shi, Fuqiang He, Guoxiang Qi, Xin Li, Yining Niu, and Wenqi Zhou. 2025. "Exogenous 24-Epibrassinolide Improves Low-Temperature Tolerance of Maize Seedlings by Influencing Sugar Signaling and Metabolism" International Journal of Molecular Sciences 26, no. 2: 585. https://doi.org/10.3390/ijms26020585
APA StyleSun, S., Zhao, X., Shi, Z., He, F., Qi, G., Li, X., Niu, Y., & Zhou, W. (2025). Exogenous 24-Epibrassinolide Improves Low-Temperature Tolerance of Maize Seedlings by Influencing Sugar Signaling and Metabolism. International Journal of Molecular Sciences, 26(2), 585. https://doi.org/10.3390/ijms26020585

