Genes Associated with Apoptosis in an Experimental Breast Cancer Model
Abstract
1. Introduction
2. Results
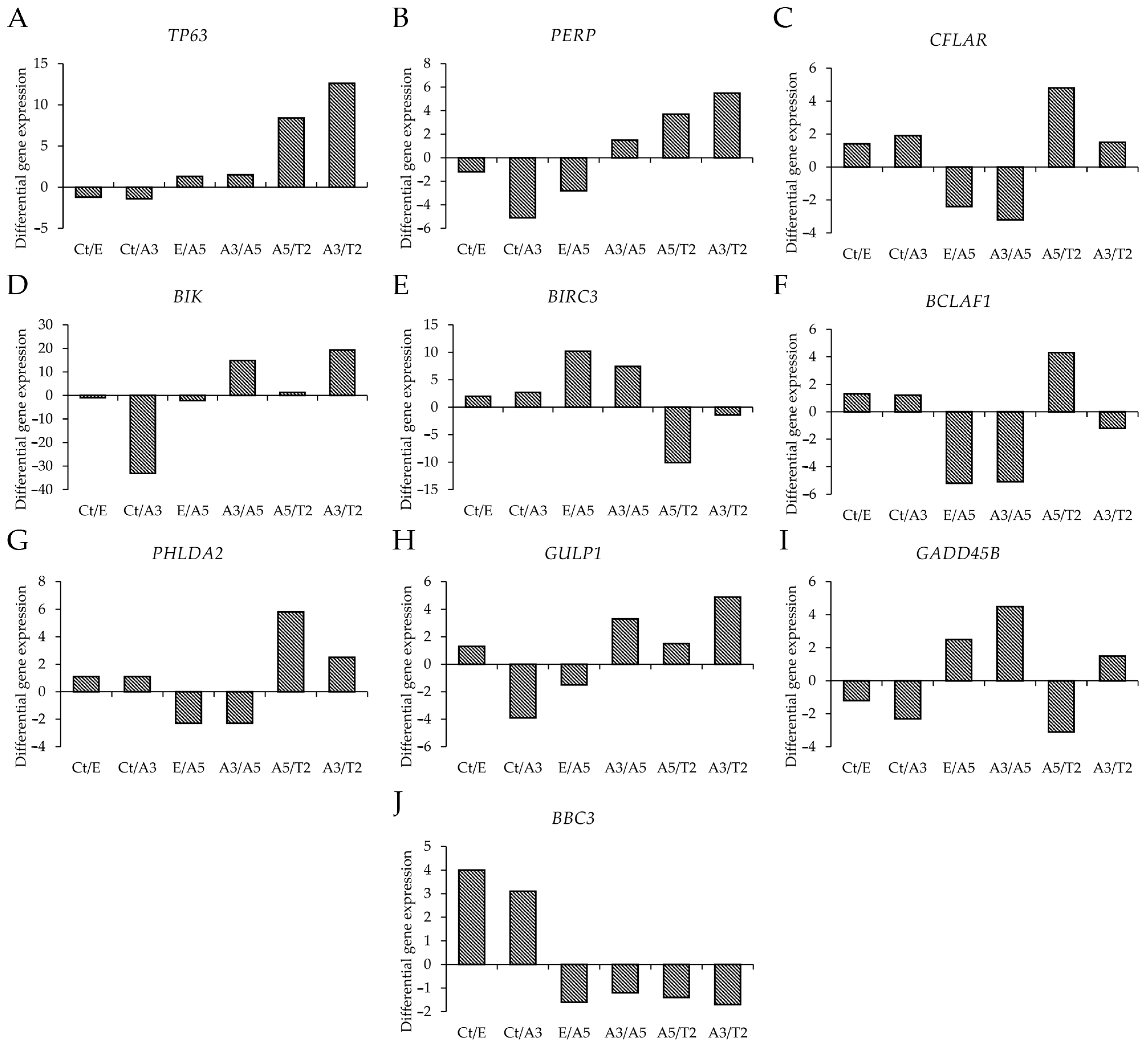
2.1. Differential Gene Expression Profile Using an Affymetrix Microarray (U133A) in Breast Cancer
2.2. Gene Expression Analysis Using Bioinformatics
2.2.1. Correlation Analysis Between TP53 and the Genes Under Study in Breast Cancer Patients
2.2.2. Differential Gene Expression Levels Between Tumor and Normal Tissues in Breast Cancer
2.2.3. Genes Associated with Apoptosis and Estrogen Receptor Status in Breast Cancer Patients
2.2.4. Survival Evaluation of Breast Cancer Patients
3. Discussion
4. Materials and Methods
4.1. The Experimental Model
4.2. Cell Lines for Microarray Analysis
4.3. Microarray Gene Expression Analysis
4.4. Bioinformatics and Statistical Analysis
5. Conclusions
Supplementary Materials
Author Contributions
Funding
Institutional Review Board Statement
Informed Consent Statement
Data Availability Statement
Acknowledgments
Conflicts of Interest
Abbreviations
| TLA | Three-letter acronym |
| PR | Progesterone receptor |
| ER | Estrogen receptor |
| HER2 | Human epidermal growth factor receptor 2 |
| TNBC | Triple-negative breast cancer |
| LET | Linear energy transfer |
| PERP | p53 apoptosis effector related to PMP22 |
| BIK | Bcl-2-interacting killer |
| BIRC3 | Baculoviral IAP repeat containing 3 |
| BCLAF1 | Bcl2-associated transcription factor 1 |
| PHLDA2 | Pleckstrin homology-like domain family A member 2 |
| GULP1 | GULP PTB domain-containing engulfment adaptor 1 |
| GADD45B | Growth arrest and DNA damage-inducible beta |
| TP63 | Tumor protein p63 |
| BBC3 | BCL2 binding component 3 |
| TP53 | Tumor protein p53 |
| TCGA | The Cancer Genome Atlas |
| ICGC | International Cancer Genome Consortium |
| GDC | Genomic Data Commons |
References
- Brown, J.S.; Amend, S.R.; Austin, R.H.; Gatenby, R.A.; Hammarlund, E.U.; Pienta, K.J. Updating the Definition of Cancer. Mol. Cancer Res. 2023, 21, 1142–1147. [Google Scholar] [CrossRef]
- World Health Organization. Breast Cancer. Available online: https://www.who.int/news-room/fact-sheets/detail/breast-cancer (accessed on 20 May 2022).[Green Version]
- Thun, M.J.; DeLancey, J.O.; Center, M.M.; Jemal, A.; Ward, E.M. The global burden of cancer: Priorities for prevention. Carcinogenesis 2010, 31, 100–110. [Google Scholar] [CrossRef]
- Barrios, C.; de Lima Lopes, G.; Yusof, M.M.; Rubagumya, F.; Rutkowski, P.; Sengar, M. Barriers in access to oncology drugs—A global crisis. Nat. Rev. Clin. Oncol. 2023, 20, 7–15. [Google Scholar] [CrossRef]
- Shah, H.; Fairlie, D.P.; Lim, J. Protease-activated receptor 2: A promising therapeutic target for women’s cancers. J. Pharmacol. Exp. Ther. 2025, 392, 100016. [Google Scholar] [CrossRef]
- Zhong, J.; Tang, Y. Research progress on the role of reactive oxygen species in the initiation, development, and treatment of breast cancer. Prog. Biophys. Mol. Biol. 2024, 188, 1–18. [Google Scholar] [CrossRef] [PubMed]
- Onitilo, A.A.; Engel, J.M.; Greenlee, R.T.; Mukesh, B.N. Breast cancer subtypes based on ER/PR and Her2 expression: Comparison of clinicopathologic features and survival. Clin. Med. Res. 2009, 7, 4–13. [Google Scholar] [CrossRef]
- Shao, Z.; Ma, X.; Zhang, Y.; Sun, Y.; Lv, W.; He, K.; Xia, R.; Wang, P.; Gao, X. CPNE1 predicts poor prognosis and promotes tumorigenesis and radioresistance via the AKT signaling pathway in triple-negative breast cancer. Mol. Carcinog. 2020, 59, 533–544. [Google Scholar] [CrossRef] [PubMed]
- Carey, L.; Winer, E.; Viale, G.; Cameron, D.; Gianni, L. Triple-negative breast cancer: Disease entity or title of convenience? Nat. Rev. Clin. Oncol. 2010, 7, 683–692. [Google Scholar] [CrossRef]
- Haffty, B.G.; Yang, Q.; Reiss, M.; Kearney, T.; Higgins, S.A.; Weidhaas, J.; Harris, L.; Hait, W.; Toppmeyer, D. Locoregional relapse and distant metastasis in conservatively managed triple-negative early-stage breast cancer. J. Clin. Oncol. 2006, 24, 5652–5657. [Google Scholar] [CrossRef] [PubMed]
- Mehanna, J.; Haddad, F.G.; Eid, R.; Lambertini, M.; Kourie, H.R. Triple-negative breast cancer: Current perspective on the evolving therapeutic landscape. Int. J. Women’s Health 2019, 11, 431–437. [Google Scholar] [CrossRef]
- Xu, F.; Wang, F.; Yang, T.; Sheng, Y.; Zhong, T.; Chen, Y. Differential drug resistance acquisition to doxorubicin and paclitaxel in breast cancer cells. Cancer Cell Int. 2014, 14, 538. [Google Scholar] [CrossRef]
- Akinyemiju, T.; Wiener, H.; Pisu, M. Cancer-related risk factors and incidence of major cancers by race, gender, and region; analysis of the NIH-AARP diet and health study. BMC Cancer 2017, 17, 597. [Google Scholar] [CrossRef] [PubMed]
- Anand, P.; Kunnumakkara, A.B.; Sundaram, C.; Harikumar, K.B.; Tharakan, S.T.; Lai, O.S.; Sung, B.; Aggarwal, B.B. Cancer is a preventable disease that requires major lifestyle changes. Pharm. Res. 2008, 25, 2097–2116. [Google Scholar] [CrossRef] [PubMed]
- International Agency for Research on Cancer. Radiation: A Review of Human Carcinogens; Monograph 100 D; International Agency for Research on Cancer: Lyon, France, 2012; pp. 1–362. [Google Scholar]
- International Agency for Research on Cancer. Ionizing Radiation, Part 2: Some Internally Deposited Radionuclides. In IARC Monographs on the Evaluation of Carcinogenic Risks to Humans; International Agency for Research on Cancer: Lyon, France, 2001; pp. 1–559. [Google Scholar]
- Lubin, J.H.; Wang, Z.Y.; Boice, J.D., Jr.; Xu, Z.Y.; Blot, W.J.; De Wang, L.; Kleinerman, R.A. Risk of lung cancer and residential radon in China: Pooled results of two studies. Int. J. Cancer 2004, 109, 132–137. [Google Scholar] [CrossRef]
- Darby, S.; Hill, D.; Auvinen, A.; Barros-Dios, J.M.; Baysson, H.; Bochicchio, F.; Deo, H.; Falk, R.; Forastiere, F.; Hakama, M.; et al. Radon in homes and risk of lung cancer: Collaborative analysis of individual data from 13 European case-control studies. BMJ 2005, 330, 223. [Google Scholar] [CrossRef]
- Darby, S.; Hill, D.; Deo, H.; Auvinen, A.; Barros-Dios, J.M.; Baysson, H.; Bochicchio, F.; Falk, R.; Farchi, S.; Figueiras, A.; et al. Residential radon and lung cancer—Detailed results of a collaborative analysis of individual data on 7148 persons with lung cancer and 14,208 persons without lung cancer from 13 epidemiologic studies in Europe. Scand. J. Work. Environ. Health 2006, 32 (Suppl. S1), 1–83. [Google Scholar]
- Krewski, D.; Lubin, J.H.; Zielinski, J.M.; Alavanja, M.; Catalan, V.S.; Field, R.W.; Klotz, J.B.; Letourneau, E.G.; Lynch, C.F.; Lyon, J.I.; et al. Residential radon and risk of lung cancer: A combined analysis of 7 North American case-control studies. Epidemiology 2005, 16, 137–145. [Google Scholar] [CrossRef]
- Krewski, D.; Lubin, J.H.; Zielinski, J.M.; Alavanja, M.; Catalan, V.S.; Field, R.W.; Klotz, J.B.; Letourneau, E.G.; Lynch, C.F.; Lyon, J.L.; et al. A combined analysis of North American case-control studies of residential radon and lung cancer. J. Toxicol. Environ. Health A 2006, 69, 533–597. [Google Scholar] [CrossRef]
- Kreuzer, M.; Walsh, L.; Schnelzer, M.; Tschense, A.; Grosche, B. Radon and risk of extrapulmonary cancers: Results of the German uranium miners’ cohort study, 1960–2003. Br. J. Cancer 2008, 99, 1946–1953. [Google Scholar] [CrossRef]
- Rericha, V.; Kulich, M.; Rericha, R.; Shore, D.L.; Sandler, D.P. Incidence of leukemia, lymphoma, and multiple myeloma in Czech uranium miners: A case-cohort study. Environ. Health Perspect. 2006, 114, 818–822. [Google Scholar] [CrossRef] [PubMed]
- Sevcova, M.; Sevc, J.; Thomas, J. Alpha irradiation of the skin and the possibility of late effects. Health Phys. 1978, 35, 803–806. [Google Scholar] [CrossRef]
- Calaf, G.M.; Hei, T.K. Establishment of a radiation- and estrogen-induced breast cancer model. Carcinogenesis 2000, 21, 769–776. [Google Scholar] [CrossRef]
- Soule, H.D.; Maloney, T.M.; Wolman, S.R.; Peterson, W.D., Jr.; Brenz, R.; McGrath, C.M.; Russo, J.; Pauley, R.J.; Jones, R.F.; Brooks, S.C. Isolation and characterization of a spontaneously immortalized human breast epithelial cell line, MCF-10. Cancer Res. 1990, 50, 6075–6086. [Google Scholar]
- National Institute of Health; National Cancer Institute. Apoptosis. Available online: https://www.cancer.gov/publications/dictionaries/cancer-terms (accessed on 21 July 2025).
- Park, W.; Wei, S.; Kim, B.S.; Kim, B.; Bae, S.J.; Chae, Y.C.; Ryu, D.; Ha, K.T. Diversity and complexity of cell death: A historical review. Exp. Mol. Med. 2023, 55, 1573–1594. [Google Scholar] [CrossRef]
- National Institute of Health; National Human Genome Research Institute. Apoptosis. Available online: https://www.genome.gov/genetics-glossary/apoptosis (accessed on 21 July 2025).
- NeuroAiD. Apoptosis: Muerte Celular Programada Que Protege Nuestro Organismo. Moleac Pte Ltd.. Available online: https://neuroaid.com/apoptosis/ (accessed on 21 July 2025).
- Perez, M.J.; Lie, C.A.E. Apoptosis, Action Mechanism. Rev. Cienc. Médicas Habana 2012, 18, 1–16. [Google Scholar]
- Kashyap, D.; Garg, V.K.; Goel, N. Intrinsic and extrinsic pathways of apoptosis: Role in cancer development and prognosis. Adv. Protein Chem. Struct. Biol. 2021, 125, 73–120. [Google Scholar] [CrossRef]
- Lossi, L. The concept of intrinsic versus extrinsic apoptosis. Biochem. J. 2022, 479, 357–384. [Google Scholar] [CrossRef] [PubMed]
- Chan, S.L.; Yu, V.C. Proteins of the bcl-2 family in apoptosis signalling: From mechanistic insights to therapeutic opportunities. Clin. Exp. Pharmacol. Physiol. 2004, 31, 119–128. [Google Scholar] [CrossRef] [PubMed]
- Warren, C.F.A.; Wong-Brown, M.W.; Bowden, N.A. BCL-2 family isoforms in apoptosis and cancer. Cell Death Dis. 2019, 10, 177. [Google Scholar] [CrossRef]
- Lee, S.B.; Lee, S.; Park, J.Y.; Lee, S.Y.; Kim, H.S. Induction of p53-Dependent Apoptosis by Prostaglandin A(2). Biomolecules 2020, 10, 492. [Google Scholar] [CrossRef]
- Hu, S.J.; Jiang, S.S.; Zhang, J.; Luo, D.; Yu, B.; Yang, L.Y.; Zhong, H.H.; Yang, M.W.; Liu, L.Y.; Hong, F.F.; et al. Effects of apoptosis on liver aging. World J. Clin. Cases 2019, 7, 691–704. [Google Scholar] [CrossRef]
- Nguyen, T.T.; Wei, S.; Nguyen, T.H.; Jo, Y.; Zhang, Y.; Park, W.; Gariani, K.; Oh, C.M.; Kim, H.H.; Ha, K.T.; et al. Mitochondria-associated programmed cell death as a therapeutic target for age-related disease. Exp. Mol. Med. 2023, 55, 1595–1619. [Google Scholar] [CrossRef]
- Palacios Alaiz, E.; Miró, M.J.; Boticario, C. Muerte celular y cáncer: Las vías de la apoptosis y de la autofagia como dianas en la terapia del cáncer. An. Real Acad. Dr. España 2011, 15, 191–215. [Google Scholar]
- Drucker, A.; Yoo, B.H.; Khan, I.A.; Choi, D.; Montermini, L.; Liu, X.; Jovanovic, S.; Younis, T.; Rosen, K.V. Trastuzumab-induced upregulation of a protein set in extracellular vesicles emitted by ErbB2-positive breast cancer cells correlates with their trastuzumab sensitivity. Breast Cancer Res. 2020, 22, 105. [Google Scholar] [CrossRef] [PubMed]
- Wang, Z.; Goulet, R., 3rd; Stanton, K.J.; Sadaria, M.; Nakshatri, H. Differential effect of anti-apoptotic genes Bcl-xL and c-FLIP on sensitivity of MCF-7 breast cancer cells to paclitaxel and docetaxel. Anticancer Res. 2005, 25, 2367–2379. [Google Scholar]
- Pandya, V.; Glubrecht, D.; Vos, L.; Hanson, J.; Damaraju, S.; Mackey, J.; Hugh, J.; Goping, I.S. The pro-apoptotic paradox: The BH3-only protein Bcl-2 interacting killer (Bik) is prognostic for unfavorable outcomes in breast cancer. Oncotarget 2016, 7, 33272–33285. [Google Scholar] [CrossRef]
- Low, C.G.; Luk, I.S.; Lin, D.; Fazli, L.; Yang, K.; Xu, Y.; Gleave, M.; Gout, P.W.; Wang, Y. BIRC6 protein, an inhibitor of apoptosis: Role in survival of human prostate cancer cells. PLoS ONE 2013, 8, e55837. [Google Scholar] [CrossRef]
- Winder, W.W. Malonyl-CoA—Regulator of fatty acid oxidation in muscle during exercise. Exerc. Sport Sci. Rev. 1998, 26, 117–132. [Google Scholar] [CrossRef]
- Liang, J.; Zhao, W.; Tong, P.; Li, P.; Zhao, Y.; Li, H.; Liang, J. Comprehensive molecular characterization of inhibitors of apoptosis proteins (IAPs) for therapeutic targeting in cancer. BMC Med. Genom. 2020, 13, 7. [Google Scholar] [CrossRef] [PubMed]
- Lopez, J.; Meier, P. To fight or die—Inhibitor of apoptosis proteins at the crossroad of innate immunity and death. Curr. Opin. Cell Biol. 2010, 22, 872–881. [Google Scholar] [CrossRef] [PubMed]
- Burke, S.P.; Smith, L.; Smith, J.B. cIAP1 cooperatively inhibits procaspase-3 activation by the caspase-9 apoptosome. J. Biol. Chem. 2010, 285, 30061–30068. [Google Scholar] [CrossRef]
- McComb, S.; Cheung, H.H.; Korneluk, R.G.; Wang, S.; Krishnan, L.; Sad, S. cIAP1 and cIAP2 limit macrophage necroptosis by inhibiting Rip1 and Rip3 activation. Cell Death Differ. 2012, 19, 1791–1801. [Google Scholar] [CrossRef]
- Tenev, T.; Bianchi, K.; Darding, M.; Broemer, M.; Langlais, C.; Wallberg, F.; Zachariou, A.; Lopez, J.; MacFarlane, M.; Cain, K.; et al. The Ripoptosome, a signaling platform that assembles in response to genotoxic stress and loss of IAPs. Mol. Cell 2011, 43, 432–448. [Google Scholar] [CrossRef] [PubMed]
- Damgaard, R.B.; Gyrd-Hansen, M. Inhibitor of apoptosis (IAP) proteins in the regulation of inflammation and innate immunity. Discov. Med. 2011, 11, 221–231. [Google Scholar]
- Weber, A.; Kirejczyk, Z.; Besch, R.; Potthoff, S.; Leverkus, M.; Hacker, G. Proapoptotic signalling through Toll-like receptor-3 involves TRIF-dependent activation of caspase-8 and is under the control of inhibitor of apoptosis proteins in melanoma cells. Cell Death Differ. 2010, 17, 942–951. [Google Scholar] [CrossRef] [PubMed]
- Ma, Z.; Wang, H.; Meng, F.; Han, Y.; Chen, Y.; Xiao, M.; Jiang, H.; Yu, Z.; Xu, B. Role of BCLAF-1 in PD-L1 stabilization in response to ionizing irradiation. Cancer Sci. 2021, 112, 4064–4074. [Google Scholar] [CrossRef]
- Wang, X.; Li, G.; Koul, S.; Ohki, R.; Maurer, M.; Borczuk, A.; Halmos, B. PHLDA2 is a key oncogene-induced negative feedback inhibitor of EGFR/ErbB2 signaling via interference with AKT signaling. Oncotarget 2018, 9, 24914–24926. [Google Scholar] [CrossRef] [PubMed]
- Guo, M.; Wang, Z.; Lin, M. Downregulation of PHLDA2 promotes apoptosis and autophagy in endometrial cancer cells while inhibiting their proliferation and metastasis. Eur. J. Gynaecol. Oncol. 2025, 46, 107–114. [Google Scholar] [CrossRef]
- Tatenuma, T.; Matsukawa, T.; Goto, T.; Jiang, G.; Sharma, A.; Najafi, M.A.E.; Teramoto, Y.; Miyamoto, H. GULP1 as a Downstream Effector of the Estrogen Receptor-beta Modulates Cisplatin Sensitivity in Bladder Cancer. Cancer Genom. Proteom. 2024, 21, 557–565. [Google Scholar] [CrossRef]
- Teramoto, Y.; Jiang, G.; Goto, T.; Mizushima, T.; Nagata, Y.; Netto, G.J.; Miyamoto, H. Androgen Receptor Signaling Induces Cisplatin Resistance via Down-Regulating GULP1 Expression in Bladder Cancer. Int. J. Mol. Sci. 2021, 22, 10030. [Google Scholar] [CrossRef]
- Liebermann, D.A.; Hoffman, B. Gadd45 in stress signaling. J. Mol. Signal 2008, 3, 15. [Google Scholar] [CrossRef]
- Cretu, A.; Sha, X.; Tront, J.; Hoffman, B.; Liebermann, D.A. Stress sensor Gadd45 genes as therapeutic targets in cancer. Cancer Ther. 2009, 7, 268–276. [Google Scholar]
- Salvador, J.M.; Brown-Clay, J.D.; Fornace, A.J., Jr. Gadd45 in stress signaling, cell cycle control, and apoptosis. Adv. Exp. Med. Biol. 2013, 793, 1–19. [Google Scholar] [CrossRef]
- Toruno, C.; Carbonneau, S.; Stewart, R.A.; Jette, C. Interdependence of Bad and Puma during ionizing-radiation-induced apoptosis. PLoS ONE 2014, 9, e88151. [Google Scholar] [CrossRef][Green Version]
- Miyashita, T.; Krajewski, S.; Krajewska, M.; Wang, H.G.; Lin, H.K.; Liebermann, D.A.; Hoffman, B.; Reed, J.C. Tumor suppressor p53 is a regulator of bcl-2 and bax gene expression in vitro and in vivo. Oncogene 1994, 9, 1799–1805. [Google Scholar]
- Lehmann, B.D.; Bauer, J.A.; Chen, X.; Sanders, M.E.; Chakravarthy, A.B.; Shyr, Y.; Pietenpol, J.A. Identification of human triple-negative breast cancer subtypes and preclinical models for selection of targeted therapies. J. Clin. Investig. 2011, 121, 2750–2767. [Google Scholar] [CrossRef] [PubMed]
- Motamedi, B.; Rafiee-Pour, H.A.; Khosravi, M.R.; Kefayat, A.; Baradaran, A.; Amjadi, E.; Goli, P. Prolactin receptor expression as a novel prognostic biomarker for triple-negative breast cancer patients. Ann. Diagn. Pathol. 2020, 46, 151507. [Google Scholar] [CrossRef] [PubMed]
- Khosravi-Shahi, P.; Cabezon-Gutierrez, L.; Custodio-Cabello, S. Metastatic triple-negative breast cancer: Optimizing treatment options, new and emerging targeted therapies. Asia Pac. J. Clin. Oncol. 2018, 14, 32–39. [Google Scholar] [CrossRef] [PubMed]
- Lehmann, B.D.; Pietenpol, J.A. Clinical implications of molecular heterogeneity in triple-negative breast cancer. Breast 2015, 24 (Suppl. S2), S36–S40. [Google Scholar] [CrossRef]
- Calaf, G.M.; Roy, D.; Narayan, G.; Balajee, A.S. Differential expression of cell adhesion molecules in an ionizing radiation-induced breast cancer model system. Oncol. Rep. 2013, 30, 285–291. [Google Scholar] [CrossRef]
- Li, T.; Fu, J.; Zeng, Z.; Cohen, D.; Li, J.; Chen, Q.; Li, B.; Liu, X.S. TIMER2.0 for analysis of tumor-infiltrating immune cells. Nucleic Acids Res. 2020, 48, W509–W514. [Google Scholar] [CrossRef]
- Hanahan, D.; Weinberg, R.A. Hallmarks of cancer: The next generation. Cell 2011, 144, 646–674. [Google Scholar] [CrossRef] [PubMed]
- Elmore, S. Apoptosis: A review of programmed cell death. Toxicol. Pathol. 2007, 35, 495–516. [Google Scholar] [CrossRef] [PubMed]
- King, K.L.; Cidlowski, J.A. Cell cycle regulation and apoptosis. Annu. Rev. Physiol. 1998, 60, 601–617. [Google Scholar] [CrossRef]
- Kerr, J.F.; Winterford, C.M.; Harmon, B.V. Apoptosis. Its significance in cancer and cancer therapy. Cancer 1994, 73, 2013–2026. [Google Scholar] [CrossRef]
- Barbani, N.; Rosellini, E.; Cristallini, C.; Guerra, G.D.; Krajewski, A.; Mazzocchi, M. Hydroxyapatite-collagen composites. Part I: Can the decrease of the interactions between the two components be a physicochemical component of osteoporosis in aged bone? J. Mater. Sci. Mater. Med. 2011, 22, 637–646. [Google Scholar] [CrossRef]
- Besirli, C.G.; Wagner, E.F.; Johnson, E.M., Jr. The limited role of NH2-terminal c-Jun phosphorylation in neuronal apoptosis: Identification of the nuclear pore complex as a potential target of the JNK pathway. J. Cell Biol. 2005, 170, 401–411. [Google Scholar] [CrossRef]
- Tsompanas, M.A.; Sirakoulis, G. Modeling and hardware implementation of an amoeba-like cellular automaton. Bioinspir. Biomim. 2012, 7, 036013. [Google Scholar] [CrossRef]
- Hur, J.; Bell, D.W.; Dean, K.L.; Coser, K.R.; Hilario, P.C.; Okimoto, R.A.; Tobey, E.M.; Smith, S.L.; Isselbacher, K.J.; Shioda, T. Regulation of expression of BIK proapoptotic protein in human breast cancer cells: p53-dependent induction of BIK mRNA by fulvestrant and proteasomal degradation of BIK protein. Cancer Res. 2006, 66, 10153–10161. [Google Scholar] [CrossRef] [PubMed]
- Migliaccio, A.; Varricchio, L.; De Falco, A.; Castoria, G.; Arra, C.; Yamaguchi, H.; Ciociola, A.; Lombardi, M.; Di Stasio, R.; Barbieri, A.; et al. Inhibition of the SH3 domain-mediated binding of Src to the androgen receptor and its effect on tumor growth. Oncogene 2007, 26, 6619–6629. [Google Scholar] [CrossRef]
- Pandya, V.; Githaka, J.M.; Patel, N.; Veldhoen, R.; Hugh, J.; Damaraju, S.; McMullen, T.; Mackey, J.; Goping, I.S. BIK drives an aggressive breast cancer phenotype through sublethal apoptosis and predicts poor prognosis of ER-positive breast cancer. Cell Death Dis. 2020, 11, 448. [Google Scholar] [CrossRef]
- Karanam, B.V.; Hop, C.E.; Liu, D.Q.; Wallace, M.; Dean, D.; Satoh, H.; Komuro, M.; Awano, K.; Vincent, S.H. In vitro metabolism of MK-0767 [(±)-5-[(2,4-dioxothiazolidin-5-yl)methyl]-2-methoxy-N-[[(4-trifluoromethyl) phenyl]methyl]benzamide], a peroxisome proliferator-activated receptor alpha/gamma agonist. I. Role of cytochrome P450, methyltransferases, flavin monooxygenases, and esterases. Drug Metab. Dispos. 2004, 32, 1015–1022. [Google Scholar] [CrossRef]
- Petrelli, D.; LaTeana, A.; Garofalo, C.; Spurio, R.; Pon, C.L.; Gualerzi, C.O. Translation initiation factor IF3: Two domains, five functions, one mechanism? EMBO J. 2001, 20, 4560–4569. [Google Scholar] [CrossRef]
- Candi, E.; Agostini, M.; Melino, G.; Bernassola, F. How the TP53 family proteins TP63 and TP73 contribute to tumorigenesis: Regulators and effectors. Hum. Mutat. 2014, 35, 702–714. [Google Scholar] [CrossRef] [PubMed]
- Raimondi, A.; Simeone, N.; Guzzo, M.; Maniezzo, M.; Collini, P.; Morosi, C.; Greco, F.G.; Frezza, A.M.; Casali, P.G.; Stacchiotti, S. Rechallenge of denosumab in jaw osteonecrosis of patients with unresectable giant cell tumour of bone: A case series analysis and literature review. ESMO Open 2020, 5, e000663. [Google Scholar] [CrossRef]
- Zang, F.; Wei, X.; Leng, X.; Yu, M.; Sun, B. C-FLIP(L) contributes to TRAIL resistance in HER2-positive breast cancer. Biochem. Biophys. Res. Commun. 2014, 450, 267–273. [Google Scholar] [CrossRef]
- Carvalho, G.; Rassi, S.; Guerios, E.; Curado, F.A.M.; Bastos, A.T. Striving to meet targets for ideal treatment of acute myocardial infarction in Brazil: Data from the Midwest region. J. Interv. Cardiol. 2018, 31, 450–454. [Google Scholar] [CrossRef]
- Buhimschi, C.S.; Zhao, G.; Sora, N.; Madri, J.A.; Buhimschi, I.A. Myometrial wound healing post-Cesarean delivery in the MRL/MpJ mouse model of uterine scarring. Am. J. Pathol. 2010, 177, 197–207. [Google Scholar] [CrossRef] [PubMed]
- Yamagishi, H.; Maeda, J.; Hu, T.; McAnally, J.; Conway, S.J.; Kume, T.; Meyers, E.N.; Yamagishi, C.; Srivastava, D. Tbx1 is regulated by tissue-specific forkhead proteins through a common Sonic hedgehog-responsive enhancer. Genes. Dev. 2003, 17, 269–281. [Google Scholar] [CrossRef] [PubMed]
- Cacciatore, F.; Testa, G.; Langellotto, A.; Galizia, G.; Della-Morte, D.; Gargiulo, G.; Bevilacqua, A.; Del Genio, M.T.; Canonico, V.; Rengo, F.; et al. Role of ventricular rate response on dementia in cognitively impaired elderly subjects with atrial fibrillation: A 10-year study. Dement. Geriatr. Cogn. Disord. 2012, 34, 143–148. [Google Scholar] [CrossRef]
- Maki, G.; Hayes, G.M.; Naji, A.; Tyler, T.; Carosella, E.D.; Rouas-Freiss, N.; Gregory, S.A. NK resistance of tumor cells from multiple myeloma and chronic lymphocytic leukemia patients: Implication of HLA-G. Leukemia 2008, 22, 998–1006. [Google Scholar] [CrossRef]
- Trinh, B.N.; Long, T.I.; Nickel, A.E.; Shibata, D.; Laird, P.W. DNA methyltransferase deficiency modifies cancer susceptibility in mice lacking DNA mismatch repair. Mol. Cell Biol. 2002, 22, 2906–2917. [Google Scholar] [CrossRef][Green Version]
- Cifuentes, M.; Davis, M.; Fernald, D.; Gunn, R.; Dickinson, P.; Cohen, D.J. Electronic Health Record Challenges, Workarounds, and Solutions Observed in Practices Integrating Behavioral Health and Primary Care. J. Am. Board. Fam. Med. 2015, 28 (Suppl. S1), S63–S72. [Google Scholar] [CrossRef]
- Blakey, G.H.; Marciani, R.D.; Haug, R.H.; Phillips, C.; Offenbacher, S.; Pabla, T.; White, R.P., Jr. Periodontal pathology associated with asymptomatic third molars. J. Oral. Maxillofac. Surg. 2002, 60, 1227–1233. [Google Scholar] [CrossRef]
- Moynahan, M.E.; Pierce, A.J.; Jasin, M. BRCA2 is required for homology-directed repair of chromosomal breaks. Mol. Cell 2001, 7, 263–272. [Google Scholar] [CrossRef]
- Calaf, G.; Russo, J. Transformation of human breast epithelial cells by chemical carcinogens. Carcinogenesis 1993, 14, 483–492. [Google Scholar] [CrossRef] [PubMed]
- Calaf, G.; Hei, T.K. Oncoprotein expression in human breast epithelial cells transformed by high-LET radiation. Int. J. Radiat. Biol. 2001, 77, 31–40. [Google Scholar] [CrossRef]
- Calaf, G.M.; Roy, D.; Hei, T.K. Immunochemical analysis of protein expression in breast epithelial cells transformed by estrogens and high linear energy transfer (LET) radiation. Histochem. Cell Biol. 2005, 124, 261–274. [Google Scholar] [CrossRef] [PubMed]
- Calaf, G.M.; Roy, D. Gene expression signature of parathion-transformed human breast epithelial cells. Int. J. Mol. Med. 2007, 19, 741–750. [Google Scholar] [CrossRef] [PubMed]
- Calaf, G.M.; Roy, D. Cell adhesion proteins altered by 17beta estradiol and parathion in breast epithelial cells. Oncol. Rep. 2008, 19, 165–169. [Google Scholar]
- Goldman, M.J.; Craft, B.; Hastie, M.; Repecka, K.; McDade, F.; Kamath, A.; Banerjee, A.; Luo, Y.; Rogers, D.; Brooks, A.N.; et al. Visualizing and interpreting cancer genomics data via the Xena platform. Nat. Biotechnol. 2020, 38, 675–678. [Google Scholar] [CrossRef]







Disclaimer/Publisher’s Note: The statements, opinions and data contained in all publications are solely those of the individual author(s) and contributor(s) and not of MDPI and/or the editor(s). MDPI and/or the editor(s) disclaim responsibility for any injury to people or property resulting from any ideas, methods, instructions or products referred to in the content. |
© 2025 by the authors. Licensee MDPI, Basel, Switzerland. This article is an open access article distributed under the terms and conditions of the Creative Commons Attribution (CC BY) license (https://creativecommons.org/licenses/by/4.0/).
Share and Cite
Calaf, G.M.; Crispin, L.A. Genes Associated with Apoptosis in an Experimental Breast Cancer Model. Int. J. Mol. Sci. 2025, 26, 9735. https://doi.org/10.3390/ijms26199735
Calaf GM, Crispin LA. Genes Associated with Apoptosis in an Experimental Breast Cancer Model. International Journal of Molecular Sciences. 2025; 26(19):9735. https://doi.org/10.3390/ijms26199735
Chicago/Turabian StyleCalaf, Gloria M., and Leodan A. Crispin. 2025. "Genes Associated with Apoptosis in an Experimental Breast Cancer Model" International Journal of Molecular Sciences 26, no. 19: 9735. https://doi.org/10.3390/ijms26199735
APA StyleCalaf, G. M., & Crispin, L. A. (2025). Genes Associated with Apoptosis in an Experimental Breast Cancer Model. International Journal of Molecular Sciences, 26(19), 9735. https://doi.org/10.3390/ijms26199735

