Abstract
Since the first cases of AIDS, reported in 1980, this disease has become chronic over the years, and researchers have been trying to keep it under control. Despite the development and spread of mutate viruses, HIV protease remains an important pharmacological target. In the development of new HIV protease inhibitors, heterocyclic fragments have proven to be of great importance, owing to their rigid core structure, which may fit better into the enzyme’s hydrophobic pockets, and the presence of a heteroatom, which may increase the number of H-bonding interactions at the active site. According to the concept of targeting the protein backbone, different aromatic or non-aromatic heterocyclic moieties have yielded inhibitors with sufficient activity against mutant viruses. This paper provides an overview of HIV protease inhibitors developed over the last fifteen years, with a focus on the presence of heterocycles in their structure, either in the core or on the side chains, which are crucial for their activity. The rationale behind the design of these new inhibitors, as well as the key synthetic steps involved in their preparation, is also described.
1. Introduction
HIV-1 is the virus responsible for acquired immunodeficiency syndrome (AIDS), which is characterized by an attack and disruption of CD4+T cells, with the consequence of significant vulnerability in humans against different types of infection. This lentivirus integrates irreversibly into the host genome and has a long incubation period, being able to infect non-dividing cells [,].
Among the many strategies used to combat the disease, antiretroviral therapy (ART) is considered the most effective current treatment, and it is characterized by a combination of HIV protease inhibitors, reverse transcriptase inhibitors, and/or an integrase inhibitor. Recently, capsid inhibitors, such as Lenacapavir, have shown potential for a long-acting administration regimen [].
HIV protease plays a crucial role in the viral lifecycle, being essential for the generation of mature, infectious viral particles []. This aspartyl protease is involved in the cleavage of peptide bonds in the gag and gag-pol polyproteins, and its inhibitors have been designed to bind to the active site with high affinity. All nine Food and Drug Administration (FDA)-approved inhibitors, except for tipranavir, are competitive peptidomimetic inhibitors, mimicking the natural substrate of the viral protease. Through the incorporation of the hydroxy ethylene core, the cleavage of the inhibitor is prevented. Due to their structural similarities, cross-resistance amongst inhibitors may occur, along with common side effects [].
Although no new protease inhibitors have been approved or used in a clinical trial since 2007 [], many small molecules have been described in the last fifteen years, with the aim of targeting the protein backbone. The goal has been to maximize interactions with enzyme backbone atoms [,]. Both extensive hydrogen bonding and hydrophobic interactions with enzyme subsites can limit drug resistance, as the geometry of the catalytic site must be conserved to maintain functionality [,,]. In particular, the introduction of heterocyclic fragments has improved the activity of newly designed molecules, resulting in many potent inhibitors, as illustrated by FDA-approved darunavir and related compounds []. The introduction of cyclic scaffolds in the design of new chemical entities reduces flexibility and affords more rigid inhibitors. In particular, a cyclic scaffold can be envisaged as having either key interactions with catalytic aspartic acids or with residues belonging to the flap region of the active site []. The deep interest in cyclic chemotypes has been motivated by the different types of interactions formed with the enzyme while maintaining a key structural resemblance to a peptide substrate, to improve this profile for multidrug-resistant strains.
This review focuses on the main advances in the synthesis of new heterocyclic HIV protease inhibitors during the last 15 years and in the synthesis of key heterocyclic fragments []. The rationale behind the design of such new compounds is described, pointing out the crucial importance of the heterocyclic moiety for their activity. The different approaches are classified according to the type of heterocycle (aromatic or non-aromatic) and the heteroatoms involved (N, O, S, or polyheteroatomic). In the case of different heterocyclic moieties being present, the classification is made according to the group that is most critical for activity. This review aims to highlight ongoing research in the field of heterocyclic synthesis applied to the discovery of new HIV inhibitors.
2. Non-Aromatic Heterocycles
2.1. Non-Aromatic O-Heterocycles
Fused bicyclic bis-tetrahydrofuran (bis-THF) is critical for darunavir’s durable drug resistance profile. Due to its challenging double-ring structure with three chiral centers, many different synthetic approaches have been developed according to the source of the chiral carbons in bis-THF alcohol 2 (Scheme 1) []. In this respect, enzyme-catalyzed resolution has been exploited by Khmelnitsky [], who described the simple and efficient kinetic resolution of the racemic alcohol 2 using immobilized lipase to afford the desired optically pure (R)-bis-tetrahydrofuran (bis-THF) alcohol 3. The reaction solvent, acyl donor, and immobilized biocatalyst proved to be critical factors.
Scheme 1.
Synthesis of bis-THF-alcohol 3 by kinetic resolution of endo rac 2.
The organocatalytic condensation of 1,2-dihydrofuran 5 (Scheme 2) with glycolaldehyde catalyzed by Schreiner’s thiourea, coupled with enzymatic (Lipase PS) resolution, was described as a one-pot procedure by Itoh for the preparation of enantiopure 3 and applied to the environmentally friendly synthesis of darunavir [].
Scheme 2.
Chemoenzymatic synthesis of bis-THF-alcohol 3 from 1,2-dihydrofuran 5.
A one-pot procedure using 1,2-dihydrofuran 5 and Cbz-protected glycol aldehyde as the starting materials was developed by Opatz through [2+2]-photocycloaddition between both reactants, followed by hydrogenation and lipase-catalyzed kinetic resolution, affording the target compound with a high yield and up to 99% ee (Scheme 3) [].
Scheme 3.
One-pot synthesis of bis-THF-alcohol 3 from 1,2-dihydrofuran 5.
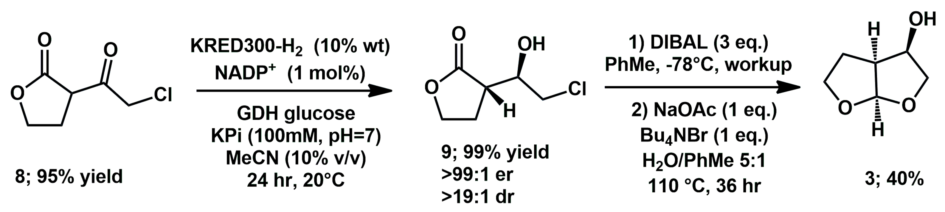
In 2020, Ghosh used the kinetic resolution of bis-THF alcohol by lipase (PS-30), in a late stage of the study as an alternative stereoselective approach to cis and trans 2,3-disubstituted tetrahydrofuran derivatives []. More recently, Hyster proposed a different chemoenzymatic approach to the use of bis-THF alcohol []. β-Ketolactone 8 was easily prepared and subjected to enantio- and diastereoselective dynamic kinetic resolution using suitable ketoreductase (KRED) and glutamate dehydrogenase (GDH) in phosphate buffer (KPi) from metagenomic mining (Scheme 4). Subsequent lactone reduction with diisobutylaluminum hydride and phase-transfer cyclization afforded the desired fragment 3 in an acceptable yield.
Scheme 4.
Chemoenzymatic synthesis of bis-THF-alcohol 3 by dynamic kinetic resolution of β-ketolactone 8.
Asymmetric catalysis was also exploited in the last period. Sudalai [] proposed an efficient synthesis of (S)-tetrahydrofuran-3-ol 13, which is a critical fragment in amprenavir and fosamprenavir.
Olefinic tosylate 10 was dihydroxylated under Sharpless asymmetric dihydroxylation conditions, furnishing, in a single step, the desired alcohol in good yield and moderate enantiomeric purity (Scheme 5). Alternatively, epoxidation with mCPBA yielded the racemic epoxide 12, which was subjected to co-catalyzed hydrolytic kinetic resolution, affording the alcohol along with the chiral epoxide in a lower chemical yield but with higher enantiomeric excess.
Scheme 5.
Synthesis of (S)-tetrahydrofuran-3-ol 13 from olefinic tosylate 10.
More and Ramana [] described a Ru-catalyzed enantio- and diastereoselective dynamic kinetic resolution of benzyloxy/benzoyloxy-α-acyl-γ-butyrolactones via transfer hydrogenation, achieved through the in situ prepared (R,R)-Ru-FsDPEN catalyst. Starting from benzyloxy butyrolactone 14, (3R,3aS,6aR)-hexahydrofuro[2,3–b]furan-3-ol 3 was prepared in good yield, with high de and ee through elaboration of the key intermediate (Scheme 6).
Scheme 6.
Synthesis of bis-THF-alcohol 3 from benzyloxy butyrolactone 14.
Pd-catalyzed asymmetric hydroalkoxylation of ene-alkoxyallene, followed by ring-closing metathesis (RCM), was successfully employed by Rhee [] for the preparation of hexahydrofurofuran-3-ol of type E, and was generalized to provide access to pyranofuranol and furopyranol derivatives in good yields and ee (Scheme 7). For the synthesis of 3, readily available allene 17 was coupled with commercial 2-bromo allylic alcohol 18 in the presence of Pd2(dba)3 as the palladium source and suitable ligand, affording the chiral adduct 19 in high yield and enantiomeric excess. Subsequent RCM provided the cyclic acetal 20, which underwent a radical, mediated 5-exo cyclization to intermediate 21, promoted by Bu3SnH in the presence of Et3B. Ozonolysis of this compound, followed by final reduction with NaBH4, furnished the target alcohol 3 in high yield with complete diastereoselectivity and no erosion of enantiopurity.
Scheme 7.
Synthesis of bis-THF-alcohol 3 via Pd-catalyzed asymmetric hydroalkoxylation of ene-alkoxyallene 17 and RCM.
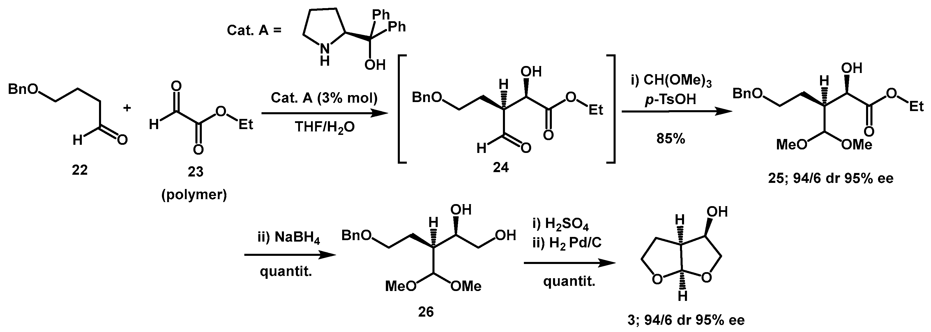
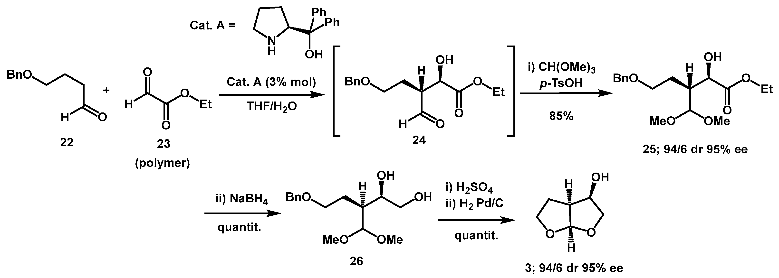
Organocatalytic methods were also successfully used. Ikemoto described an efficient synthesis of bis-THF alcohol 3 and its carbonyloxy-pyrrolidine-2,5-dione derivative taking advantage of diphenylprolinol-catalyzed enantio- and diastereoselective cross aldol reaction of polymeric ethyl glyoxylate 23 with the aldehyde 22 as the key step (Scheme 8) []. Optimization of the reaction involved stirring polymeric ethyl glyoxylate in toluene solution with water prior to aldol reaction for an appropriate period. This pre-treatment was highly effective in accelerating the reaction when using 3 mol % of catalyst A. It also ensured excellent reproducibility, even when polymeric ethyl glyoxylate from different manufacturers was utilized. The aldehyde of intermediate 24 was then protected as dimethyl acetal and the ester was reduced, yielding diol 26 in an overall yield of 85%. An acetal exchange reaction catalyzed by H2SO4 followed by hydrogenation with Pd/C catalyst afforded 3 in quantitative yield over two steps. Shortly thereafter, the same group described a series of amino perfluoroalkanesulfonamide derivatives of diarylprolinols, which proved to be effective organocatalysts [].
Scheme 8.
Synthesis of bis-THF-alcohol 3 from 4-benzyloxybutanal 22.
Traditional chiral-substrate approaches have also been employed over the past fifteen years. A spirocyclic dioxolane derivative from D-glyceraldehyde 27 was used by Kulkarni as starting chiral substrate for the preparation of all four isomers of bis-tetrahydrofuran alcohol in good overall yield (38%) of the active isomer 3 (Scheme 9) [].
Scheme 9.
Synthesis of bis-THF-alcohol 3 from spirocyclic dioxolane derivative of D-glyceraldehyde 27.
(S)-Glyceraldehyde was used as a chiral source by Ghosh in the convergent synthesis of various substituted bis-THF derivatives, to find new HIV-protease inhibitors with enhanced binding capacity []. The synthesis of the bis-THF ligand began with known compound 30 (Scheme 10) prepared in multigram quantities by Wittig olefination of (S)-glyceraldehyde acetonide with (ethoxycarbonylmethylene) triphenylphosphorane. DIBAL-H reduction yielded the corresponding alcohol 31 in nearly quantitative yield. Subsequently, O-alkylation and subsequent stereoselective [,]-sigmatropic rearrangement afforded the alcohol with three chiral centers 33, which was transformed alternatively to bis-THF alcohol 3 or to different functionalized derivatives. The synthesis of alkyl substituted bis-THF ligands 36 required a Mitsunobu reaction on alcohol 33 with PPh3/DIAD and p-nitrobenzoic acid, to give the corresponding ester 34. This was first hydrolyzed, then alkylation with BnBr or MeI was performed, alternatively. Final reduction, ozonolysis, and cyclization sequence furnished the ligands 36 in good overall yield. Among the inhibitors bearing new bis-THF fragments, compound 37 resulted in being the most potent.
Scheme 10.
Synthesis of bis-THF ligands 36 from (S)-glyceraldehyde derivative 30.
More recently, Ghosh described a new approach to bis-THF alcohol 3, starting from commercially available sugar derivatives []. As an example, commercial 1,2-O-isopropylidene-α-D-xylofuranose 38 was converted to α,β-unsaturated ester 39, by sequential selective protection of primary alcohol, Swern oxidation, and Wittig olefination (Scheme 11). Ester 39 was then submitted to highly stereoselective substrate-controlled catalytic hydrogenation, which represented one of the key steps.
Scheme 11.
Synthesis of bis-THF-alcohol 3 from 1,2-O-isopropylidene-α-D-xylofuranose 38.
Saturated ester 40 was converted to γ-lactone derivative 41 by exposure to BF3·OEt2 followed by Et3SiH. Hydrolysis of the benzoate furnished the corresponding bicyclic alcohol, which was converted to methyl acetal 42 by a three-step sequence involving Dess–Martin oxidation of the primary alcohol to the corresponding aldehyde, Baeyer–Villiger oxidation promoted by m-CPBA, and exposure of the resulting formate to 6% HCl in MeOH. Acetal 42 was obtained in 35% yield over four steps. Final reduction of the lactone and acidification yielded the target bis-THF alcohol.
Regarding sugars as chiral pool materials, Sridhar developed a stereoselective synthesis of carbohydrate-derived perhydrofuro[2,3-b]furan derivatives, starting from sugar-derived allyl vinyl ethers []. In particular, bis-THF alcohol 3 was prepared using 3,4-di-O-acetyl-D-arabinal 43 as the chiral starting material (Scheme 12). It was first subjected to Ferrier rearrangement with 2-(phenylselenyl)ethanol, which provided 2,3-unsaturated glycoside 44. After oxidation to selenone 45, a base-mediated thermal fragmentation furnished the allyl vinyl ether 46, which underwent a Claisen []-sigmatropic rearrangement, affording the expected 3-C branched derivative 47. Reduction of the aldehyde, followed by ozonolysis of the olefin and acid-mediated acetalization, provided perhydrofuro[2,3-b]furan 50 in good yield. The synthesis of bis-THF alcohol 3 required deprotection of the ester, Mitsunobu inversion with p-nitrobenzoic acid in PPh3/DIAD system, and final hydrolysis.
Scheme 12.
Synthesis of bis-THF-alcohol 3 from 3,4-di-O-acetyl-D-arabinal 43.
The potassium isocitrate, obtained from high-yielding fermentation fed by sunflower oil, was the starting material for the preparation of bis-THF alcohol 3 in the work of Yue (Scheme 13) []. After several steps, it was transformed into a tertiary amide, which was reduced along with the ester functionalities to a transient aminal-triol. This latter was converted in situ to the desired bis-THF alcohol. Each step was optimized, resulting in the key alcohol (in the form of activated carbonate) with an overall yield of 43%. Considering the low cost of the starting material and the efficiency of the overall synthesis, the method appeared to be effective in reducing the cost of darunavir.
Scheme 13.
Synthesis of bis-THF-alcohol 3 from potassium isocitrate 53.
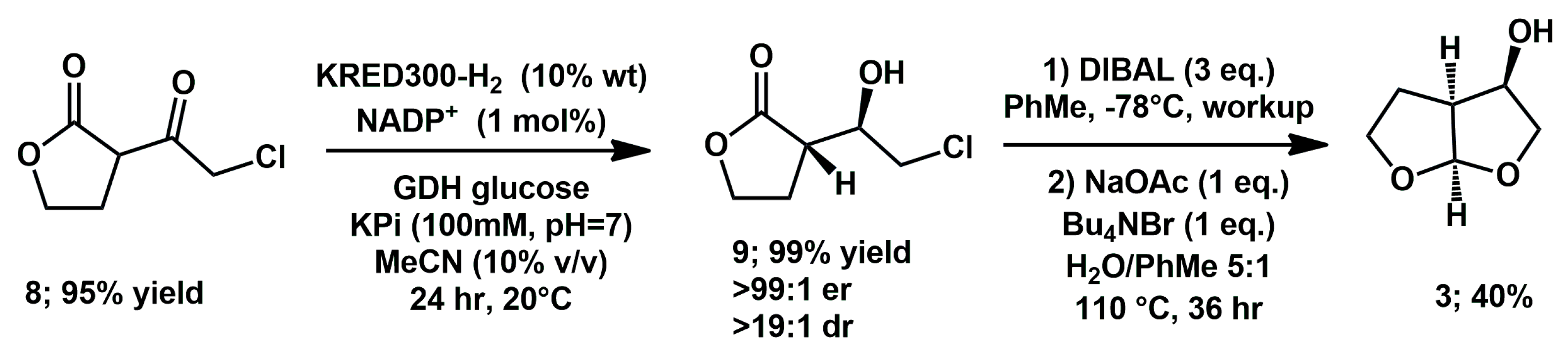
With the aim of creating a new class of inhibitors with improved pharmacological and drug-resistance profiles, Ghosh described the synthesis of a 6–5–5 ring-fused crown-like tetrahydropyranofurans and their incorporation into new potent inhibitors [,]. The synthesis started with an asymmetric Diels–Alder reaction between 57 and cyclopentadiene, using a chiral oxazaborolidinium cation A, as a key step (Scheme 14). The cycloadduct was oxidized with H2O2 to afford alcohol 59 in 80% yield over two steps, with 98% ee. After protection as the TBS ether, the intermediate was converted to bicyclic acetal 60 in three-steps, involving reduction with LiAlH4, one-pot oxidative cleavage of the olefin, and reduction of the resulting aldehyde with DIBAL-H. The lactol 60 (a 2:1 mixture) was treated with trifluoroacetic acid (TFA) to produce the bridged tricyclic derivative 61, and the TBS group was removed with tetrabutylammonium fluoride (TBAF), yielding the desired exo-alcohol. This compound was alternatively epimerized by Dess–Martin oxidation followed by reduction of the resulting ketone with NaBH4. The inhibitor 64 displayed superior antiviral activity and drug-resistance profiles compared to darunavir.
Scheme 14.
Synthesis of 6–5–5 ring-fused crown-like tetrahydropyranofuran 63 from.
Shortly afterwards, this fragment was incorporated into new arylboronic derivatives, and they were tested against highly drug-resistant HIV-1 variants [].
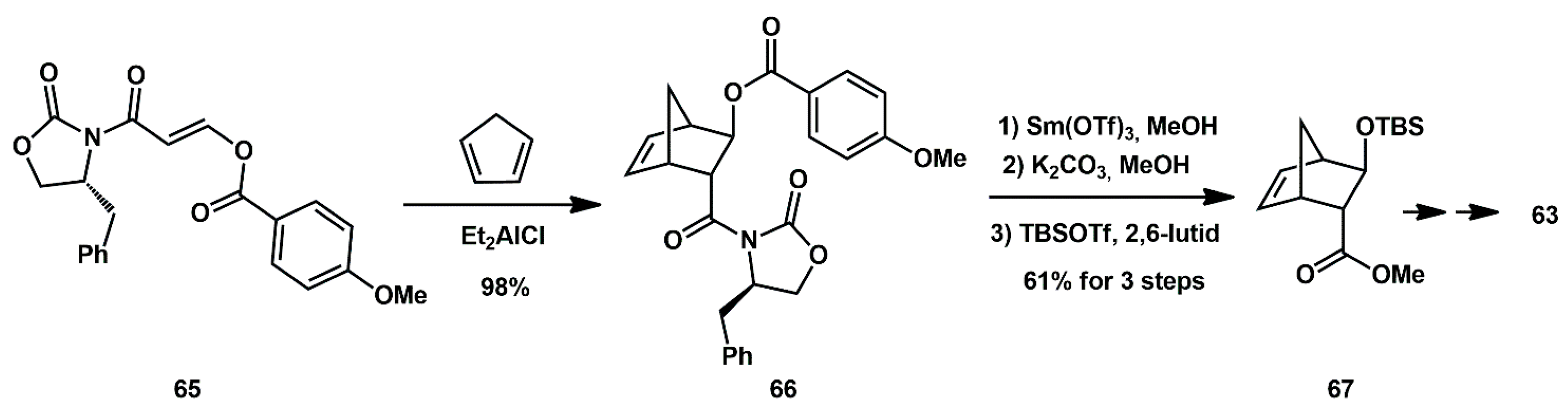
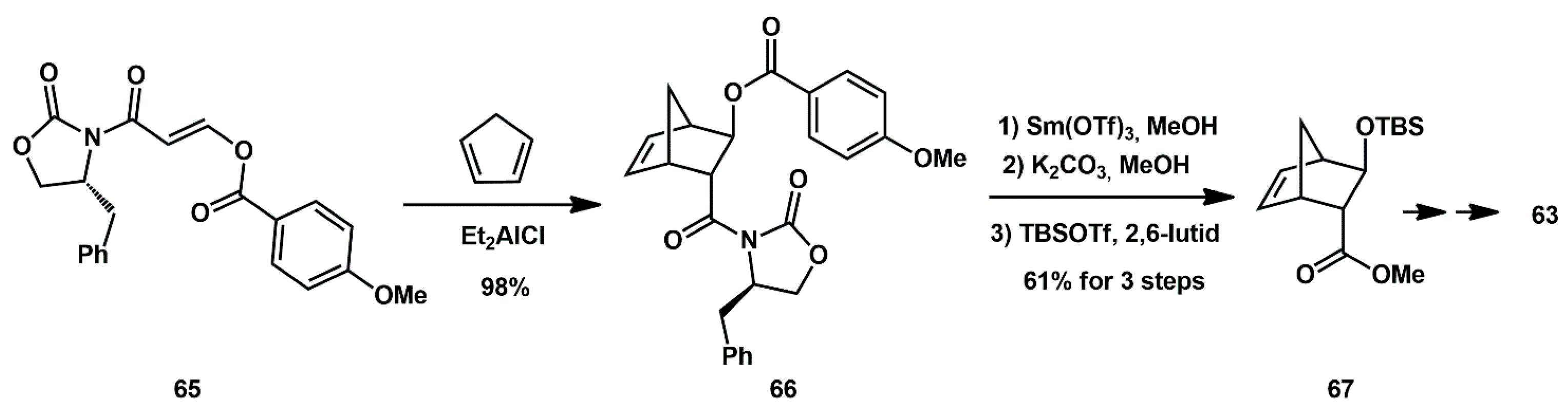
Alternatively, the Diels–Alder reaction of cyclopentadiene with chiral 3-(acyloxy)acryloyloxazolidinone derivatives was later used for the synthesis of 6-5-5 fused crown-like THF ligands (Scheme 15). In particular, 3-(4-methoxybenzoyl)acryloyl oxazolidinone derivative 65 and cyclopentadiene afforded the endo-diastereoselective derivative 66 in 98% yield. Reaction of the cycloadduct in MeOH provided the corresponding methyl ester 67 in excellent yield, which was a key intermediate in the synthesis of the bicyclic alcohol 63 [].
Scheme 15.
Synthesis of 6–5–5 ring-fused crown-like tetrahydropyranofuran 63 from chiral 3-(acyloxy)acryloyloxazolidinone 65.
An optically active (1R, 3aS, 5R, 6S, 7aR)-octahydro-1,6-epoxy-isobenzo-furan-5-ol derivative was recently described as a high affinity ligand for HIV-1 protease inhibitors []. The stereoselective synthesis was based on enantioselective enzymatic desymmetrization of meso-1,2(dihydroxy methyl)cyclohex-4-ene 69 using porcine pancreatic lipase (PPL) to produce optically active alcohol 70 (Scheme 16) []. It was then converted to a functionalized cyclohexene derivative 71, which underwent Sharpless asymmetric dihydroxylation to yield a 1:1 mixture of diastereomeric diols 72 and 73. The diols were separated and only diastereomer 73 was utilized for the synthesis of ligand alcohol 74. In general, inhibitors bearing such ligands showed very potent activity. Moreover, compound 75, with a difluorophenylmethyl P1 ligand and an aminobenzothiazole as the P2′ ligand, maintained high potency against a panel of highly multidrug-resistant HIV-1 variants.
Scheme 16.
Chemoenzymatic synthesis of (1R, 3aS, 5R, 6S, 7aR)-octahydro-1,6-epoxy-isobenzo-furan-5-ol 74.
More recently, a modified procedure was described []. Optically active alcohol 70 was converted to methyl acetal 76 (in 75% yield over 3 steps) as the major isomer in a sequence involving, (1) Swern oxidation of alcohol 70 to the aldehyde, (2) treatment of the resulting aldehyde with CH(OMe)3 in the presence of tetrabutylammonium tribromide (TBABr3), followed by treatment with 1 N NaOH, and (3) reaction of the resulting methyl acetal with a catalytic amount of CSA (Scheme 17).
Scheme 17.
Synthesis of (1R, 3aS, 5R, 6S, 7aR)-octahydro-1,6-epoxy-isobenzo-furan-5-ol 74 via methyl acetal 76.
Stereoselective syn-1,2-diol functionality was introduced on methyl acetal 76 by substrate-controlled dihydroxylation, with K2OsO4/K3Fe(CN)6 system, affording syn diol 77, as 95/5 diastereomeric mixture. Swern oxidation provided 1,2-diketone derivative 78, which was reduced with L-Selectride to give the corresponding inverted syn-1,2-diol, stereoselectively. Acid-catalyzed cyclization then furnished tricyclic ligand alcohol 74 with high enantiomeric purity.
The synthesis of enantiomerically pure (3aS,4S,7aR)-hexahydro-2H-furo[2,3-b]pyran-4-ol 83 was originally described by Ghosh [] starting from known enantiomerically pure lactone 80 (Scheme 18). Subsequent steps involved reduction, selective protection/deprotection, ozonolysis, and reduction of the hemiacetal moiety. Final removal of the silyl group with TBAF furnished the desired ligand.
Scheme 18.
Synthesis of (3aS,4S,7aR)-hexahydro-2H-furo[2,3-b]pyran-4-ol 83 from lactone 80.
A more recent alternative route has been proposed, starting from inexpensive materials and taking advantage of highly enantioselective enzymatic desymmetrization of a meso-diacetate, already developed by the same group []. The enzymatic desymmetrization of 84 was optimized by using aqueous 1 N NaHCO3 for neutralization of acetic acid formed during the reaction (Scheme 19). Swern oxidation followed by protection of the aldehyde furnished the corresponding acetal ent-71. Oxidative cleavage of the olefin by ozonolysis in the presence of pyridine as the organocatalyst, followed by reduction of the resulting dialdehyde with sodium borohydride afforded diol 85. Treatment of the diol with a catalytic amount of CSA furnished bicyclic acetal 86 in 56% yield over 3 steps. After hydrolysis of acetate, the corresponding alcohol was treated with o-nitrophenylselenonitrile and n-tributylphosphine to give the corresponding selenide derivative. Oxidation of the resulting selenide with m-CPBA resulted in elimination of the corresponding selenoxide to afford olefin 87 in 71% yield over 3 steps. Ozonolysis of exo-olefin followed by reduction of the corresponding ketone yielded alcohol 83 in good yield.
Scheme 19.
Synthesis of (3aS,4S,7aR)-hexahydro-2H-furo[2,3-b]pyran-4-ol 83 from meso-diacetate 84.
Various C3-functionalized cyclopentanyltetrahydrofurans (Cp-THF) were prepared and combined with hydroxyethylsulfonamide isosteres to obtain new inhibitors with high antiviral activity, including against a panel of multidrug-resistant HIV-1 variants []. As an example, 3-(R)-acetoxy and 3-(R)-methoxy ligands 92 and 93 were prepared from the known alcohol 89, which was first alkylated to provide methyl ester 90 (Scheme 20). DIBAL-H reduction followed by radical cyclization provided 3-(R)-hydroxy derivative 91 in 10:1 diastereomeric ratio. The major isomer was transformed into the desired ligand 92 by acetylation, followed by removal of the silyl group, in 73% yield over two steps. Alternatively, the methoxy derivative 93 was prepared by methylation followed by removal of silyl group, in 71% yield.
Scheme 20.
Synthesis of cyclopentanyltetrahydrofurane (Cp-THF) ligands 92 and 93.
Novel oxatricyclic ligands were designed and synthesized by Ghosh to enhance interactions with the protease backbone []. In particular, the inhibitor 101, bearing the tris-THF syn-anti-syn configuration, showed very high activity against a variety of multidrug resistant HIV-1 variants and blocked HIV-protease dimerization about 10-fold better than darunavir (Scheme 21) []. Starting from the known acetate 94, the bicyclic enol-ether 95 was easily obtained. Subsequently, after epoxidation with dimethyldioxirane (DMDO) and regio- and stereoselective oxiranyl ring opening with sodium methoxide, the desired endo-alcohol 96 was obtained by Dess–Martin oxidation followed by L-selectride reduction of the resulting ketone. Acylation of 96, followed by treatment with propargyl alcohol, afforded acetals 97 and 98 in a 1:4 ratio. After removal of the acetate, the major diastereomeric alcohol deriving from 97 was converted into the corresponding tricyclic olefin 99. Ozonolysis followed by reduction furnished syn-anti-syn type oxatricyclic tris-THF 100 as a single isomer.
Scheme 21.
Synthesis of oxatricyclic ligands.
Gem-difluoro-bis-THF ligands were prepared and converted into suitable inhibitors, which exhibited very high activity and better lipophilicity profiles than darunavir, along with significantly improved blood–brain barrier permeability in an in vitro model []. The synthesis began with DIBAL-H reduction of optically active methyl ester 102 (Scheme 22), producing dibenzyl-L-glyceraldehyde. This intermediate underwent the Horner–Emmons reaction with sodium hydride and triethyl phosphonoacetate, affording the corresponding α,β-unsaturated ester in 88% yield over two steps. Reduction with DIBAL-H provided the corresponding allylic alcohol, which was treated with chlorodifluoroacetic acid in chloroform at reflux, yielding difluoroacetate derivative 103 in 90% yield over two steps. Subsequently, it underwent a Reformatskii–Claisen reaction by treatment with trimethylsilyl chloride and activated zinc dust. The subsequent acid-catalyzed esterification furnished a 2:1 mixture of diastereomers in 80% yield over two steps. The mixture could be separated after its conversion into the Weinreb amides, by treatment with HN(Me)OMe·HCl and n-BuLi. These amide diastereomers were separated by silica gel chromatography, providing the syn diastereomer 104 as the major product and the anti diastereomer 105 as the minor product, in a 2:1 ratio and with an overall yield of 80%.
Scheme 22.
Synthesis of gem-difluoro-bis-THF ligands.
Reduction of the Weinreb amide 105 was carried out with lithium aluminum hydride, and the resulting crude aldehyde was reduced with sodium borohydride in a one-pot operation to provide difluoro alcohol 106 in near quantitative yield. Ozonolysis, followed by reductive cleavage with PPh3, provided cyclic acetal 107 upon cyclization. Final catalytic hydrogenation and treatment with CSA of the triol afforded difluoro-bis-THF 108.
To maximize the ligand-binding site interactions in the protease active site, Ghosh described cyclohexyl-derived ligands within a 6-5-5 fused ring system [].
Starting from 1,3-diketone 109, reaction with dihydrofuran 110 in the presence of Mn(OAc)3·2H2O afforded the corresponding tricyclic derivative 111 (Scheme 23). Enone 111 was first hydrogenated, and the resulting ketone was reduced with NaBH4, to give racemic endo alcohol 112. This racemic alcohol was subjected to enzymatic resolution using lipase PS-30, which provided the optically active acetate derivative 114 (45%yield) and alcohol 113 (45% yield). Acetate 114 was converted back to the alcohol 113 in 89% yield by transesterificaton using NaOMe in MeOH. A series of ligands was prepared and incorporated into new inhibitors. Notably, compound 115 exhibited very impressive enzyme and antiviral potency (Ki = 10 pM, antiviral IC50 = 1.9 nM).
Scheme 23.
Synthesis of cyclohexyl-derived 6-5-5 fused ring ligands and structure of inhibitor 115.
Novel isosorbide scaffolds were proposed by Liu as P2 ligands of HIV-1 protease inhibitors bearing the hydroxyethylamine core 116 (Scheme 24) []. They showed very high inhibition activity with IC50 in the nanomolar or picomolar range. From a preparative perspective, they leveraged the commercial availability of starting isosorbide mononitrate 117, which was easily elaborated and activated as a mixed carbonate. Specifically, it was transformed into mixed carbonate 118 with p-NO2PhOCOCl in good yield or converted into TBS-protected alcohol 119 via TBS ether formation, followed by cleavage of nitrate under reductive conditions. The alcohol was then methylated; the TBS group was cleaved, and final carbonate formation afforded the key intermediate 120.
Scheme 24.
Synthesis of activated isosorbide fragment.
Chiral 4,4-dimethyltetrahydrofuran-3-ol was prepared by Srinivasa Reddy and used for the synthesis of new amprenavir analogs []. Starting from pantolactone 122 (Scheme 25), which is available in both enantiomeric forms, lactol 123 was obtained by protection and reduction. Subsequent reduction with BF3Et2O and triethylsilane, followed by final deprotection with TBAF, afforded the desired THF-alcohol.
Scheme 25.
Synthesis of (R)-4,4-dimethyltetrahydrofuran-3-ol 125.
Different O-heterocycles were also proposed by Yajima as HIV-1 protease inhibitors []. Fornicin A, a meroterpenoid with a γ-butylolactone moiety in its side chains showed weak anti-HIV-1 protease activity without cytotoxicity against E-PR293 cells. The synthesis involved the preparation of optically active alcohol 130 from the starting material 2,5-dihydroxybenzaldehyde 126 (Scheme 26), using Sharpless asymmetric dihydroxylation on the suitable benzothiazolsulfide 129 as the key step. Oxidation with mCPBA and a final Smiles rearrangement of β-hydroxysulfone yielded the desired alcohol 130, which was coupled with the suitable acid segment prepared from the known aldehyde 131. Ring-closing metathesis using Grubbs 1st catalyst and a final deprotection step furnished Fornicin A.
Scheme 26.
Synthesis of Fornicin A.
Flexible macrocycles between the P1′-side chain and a suitable P2′-ligand were proposed by Ghosh to broaden the activity of the inhibitor by achieving a better fit in the S2 hydrophobic pocket, which increases in size upon certain mutations []. New inhibitors bearing 16- to 19-membered macrocyclic rings, connecting a nelfinavir-like P2 ligand and a tyrosine side chain containing a hydroxyethylamine sulfonamide isostere, were synthesized and found to be more potent than their corresponding acyclic counterparts. In particular, compound 134 showed the best enzyme inhibitory and antiviral activity (Ki = 0.2 nM, IC50 = 0.21 mM) (Scheme 27). The synthesis of the desired tyrosine-derived hydroxyethylamine sulfonamide isostere 138 began with butadiene monoxide 135, which was transformed into the corresponding allylic alcohol. This was subjected to Sharpless asymmetric epoxidation, and the resulting epoxide 136 was regioselectively opened by TMSN3/Ti(O-iPr)4 system to afford the corresponding azido diol, which was subsequently converted to epoxide 137. After introducing the sulfonamide moiety, a Boc-protected amine and a free phenol were formed in one pot process via catalytic hydrogenation in the presence of Boc2O. Finally, the introduction of an allyl chain furnished the desired intermediate 138.
Scheme 27.
Structure of macrocyclic inhibitor 134 and synthesis of key fragment 139.
The P2 fragment was synthesized as 3-hydroxy-2-alkenylbenzoic acid from maleic anhydride 140 via formation of phosphorane 141, followed by Wittig reaction with known aldehyde 142. The resulting dienoic acid was then alkylated and subjected to 1,6-electrocyclization by exposure to TFAA/Et3N, followed by reduction with NaBH4 (Scheme 28). Final saponification yielded the desired benzoic acid 144. After amine deprotection and coupling with the benzoic acid, the resulting acyclic diene was subjected to ring-closing metathesis (RCM) with Grubbs’ 1st generation catalyst, furnishing the desired macrocycles.
Scheme 28.
Synthesis of P2 fragment 139 and final RCM to 134.
2.2. Non-Aromatic N-Heterocycles
Among non-aromatic N-heterocycles, the structure of 1,3-diazacycloalkan-2-ones is of interest due to its presence as the core of HIV-protease inhibitor DMP 450 (Figure 1).
Figure 1.
Structure of inhibitor DMP 450.
Frain described the synthesis of novel tetrahydropyrimidinones, starting from tetraols, that are easily prepared from suitable alditols []. Tetraol 146, from D-(+)-arabitol, was first protected in primary hydroxyl groups as TBS ethers (Scheme 29). The introduction of the amines was performed by mesylate activation of alcohols, followed by displacement with azide and reduction by hydrogenation. Extended hydrogenation periods led to the isolation of the mono TBS-protected diaminodialcohol 148. Subsequent reaction with carbonyl diimidazole in the presence of base provided the crude tetrahydropyrimidinone, which was treated with acid to remove the TBS group. Final perbenzylation furnished the functionalized tetrahydropyrimidinone 150, which exhibited modest HIV-protease inhibition activity.
Scheme 29.
Synthesis of functionalized tetrahydropyrimidinone 150.
Unsymmetrical 1,3-diazacycloalkan-2-ones were prepared by Jamir [] from thiocarbamate salts using sodium percarbonate as an oxidant. These compounds were evaluated as HIV-1 protease inhibitors via in silico approach. Secondary amines 152, such as morpholine, piperidine, 4-hydroxy piperidine, diethylamine, and di-isopropylamine, were reacted with phenyl isothiocyanate and other substituted phenyl isothiocyanates 151 to afford the corresponding unsymmetrical 1,3-diazacycloalkan-2-one in high yields (Scheme 30). Computational assessment of IC50 values using known references satisfactorily confirmed the inhibitory activity of the selected compounds against HIV-1 protease.
Scheme 30.
Synthesis of unsymmetrical 1,3-diazacycloalkan-2-ones 153.
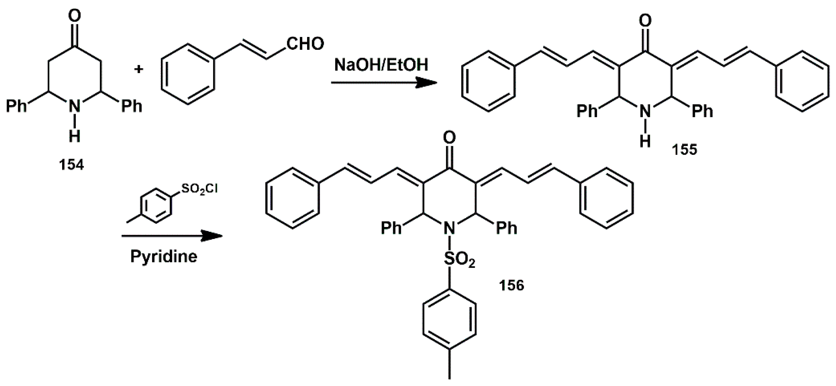
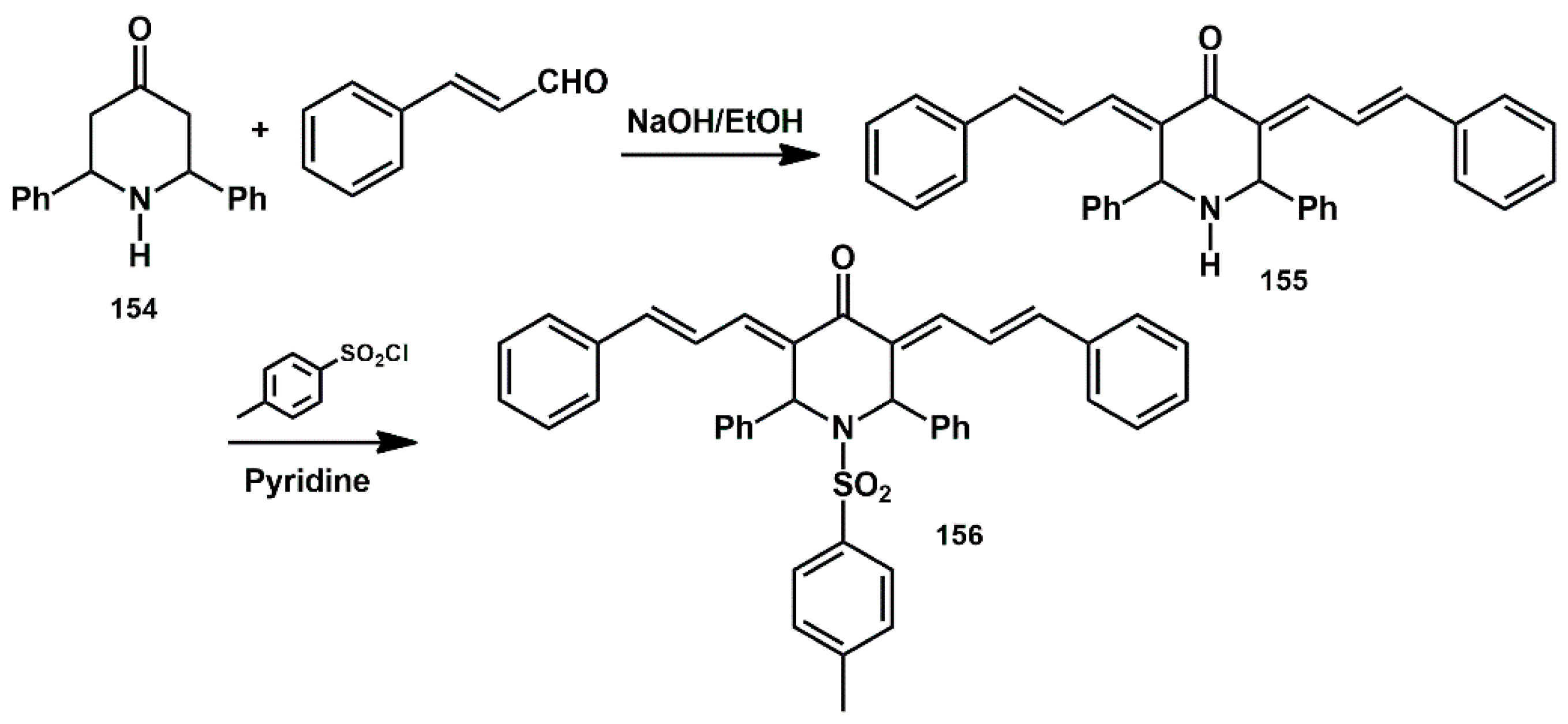
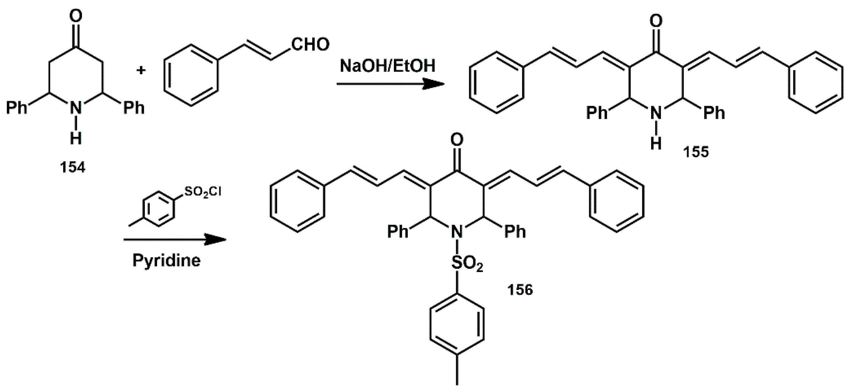
In the work of Jadhav [], bis-allylidene-4-piperidones analogues were prepared by Claisen–Schmidt condensation between 2,6-substituted piperidin-4-ones and cinnamaldehyde in a basic medium (Scheme 31). In particular, 3,5-bis (3-phenyl-allylidene)-2,6-diphenyl-piperidine-4-one 155 was obtained from the parent compound 154. The N-tosyl derivative 156 was prepared by reacting 155 with tosyl chloride. Compound 156 showed moderate HIV-1 protease inhibitor activity compared to the standard, pepstatin-A.
Scheme 31.
Synthesis of bis-allylidene-4-piperidone 156.
Indolin-2-one moieties were proposed by Eissenstat to interact with the S20 subsite of the HIV protease binding pocket []. Several of these inhibitors were synthesized and exhibited sub-nanomolar Ki values and antiviral IC50s in the low nM range against wild-type (WT) HIV and a panel of multi-drug resistant (MDR) strains. The darunavir sulfonamide was replaced by an indolin-2-one moiety, reacting bis-THF amino analog 157 with indolin-2-one sulfonyl chloride 158, affording compound 159. Subsequent heating in the presence of DMF dimethylacetal or related acetals led to the formation of indolin-2-one 160 (Scheme 32). The amine portion of the enamines could be readily varied through an exchange reaction of dimethamino analog 161 with excess amine.
Scheme 32.
Synthesis of indolin-2-one inhibitor 161.
1,4-benzodiazepine derivatives have been recognized as mimicking the β-hairpin flap of HIV-1 protease, thereby interfering with the flap–flap protein–protein interaction which controls access to the active site. Recently, the Konvalinka group screened a variety of chemical structures for inhibition of HIV replication []. This led to the identification of several new compounds that inhibited HIV PR in the low micromolar range. In particular, compound 166 resulted in being the most potent and selective for HIV PR. The monomer was prepared by reacting o-phenylenediamine 162 with dimedone in the presence of catalytic amount of TFA, affording the corresponding enamine 164 which was then reacted with benzaldehyde to obtain monomer 165. Treatment with oxalyl chloride at low temperature, furnished the desired dimer 166 in modest yield as a diastereoisomeric mixture (Scheme 33), whose racemate (11R, 11′R + 11S, 11′S) showed inhibition activity in the nanomolar range (IC50 = 30 nM).
Scheme 33.
Synthesis of 1,4-benzodiazepine dimer inhibitor 166.
New bioactive compounds containing 1,4-benzodiazepine scaffolds were proposed by Fletcher, with the most potent compound, 167, inhibiting the protease with a modest Ki of 11 µM (Scheme 34) []. It was prepared starting with regioselective nitration of benzoic acid 168, followed by benzylic oxidation, which afforded ketone 169. After esterification, catalytic hydrogenation yielded aniline 170. Amide 171 was prepared coupling aniline 170 with Fmoc-protected pre-activated D-Leu, and then subjected to base-mediated cyclization, furnishing the key benzodiazepine nucleus. After deprotection and N-alkylation, the final compound 167 was obtained. Different compounds were obtained by deprotection and/or alkylation. Methyl imine could be replaced by a phenyl imine, resulting in the formation of different compounds.
Scheme 34.
Synthesis of 1,4-benzodiazepine-substituted inhibitor 172.
The tetrahydropyridine ring system is a widely distributed structural framework involved in numerous pharmaceuticals and natural products. Mohammadi [] recently described an efficient, one-pot, catalyst-free, four-components procedure for the synthesis of novel 10β-hydroxy-4-nitro-5-phenyl-2,3,5,5a-tetrahydro-1H-imidazo[1,2-a]indeno[2,1-e]pyridin-6(10bH)-one derivatives 177 from the corresponding diamine 173, nitro ketene dithioacetal 174, aryl aldehydes 175, and 1,3-indandione 176 (Scheme 35). The overall transformation consisted of a Knoevenagel condensation, Michael addition, tautomerism, and cyclisation sequence. All newly synthesized compounds were screened for molecular docking studies. Some of them showed minimum binding energy and good affinity toward the active pocket of HIV protease enzyme compared to Saquinavir.
Scheme 35.
Synthesis of 10b-hydroxy-4-nitro-5-phenyl-2,3,5,5a-tetrahydro-1H-imidazo[1,2-a]indeno[2,1-e]pyridin-6(10bH)-one derivatives 177.
A flexible piperidine moiety was introduced into a novel class of HIV-1 protease inhibitors as the P2 ligand by Wang Y., Cen, and Wang J []. In particular, inhibitor 181, which features (R)-piperidine-3-carboxamide as the P2 ligand and 4-methoxybenzenesulfonamide as the P2′ ligand, showed more than a 6-fold enhancement of activity compared to darunavir (IC50 0.13 ± 0.01 nM). Furthermore, there was no significant change in potency against darunavir-resistant mutations and HIV-1NL4-3 variant. For the synthesis, easily prepared (R)-piperidine-3-carboxylic acid 178 was reacted with (Boc)2O to obtain the corresponding Boc-amino derivative 179 in excellent yield. Coupling of the acid with a suitable amine, under the catalysis of EDCI, HOBt, and DMAP, furnished the amide 181 (Scheme 36). Removal of the Boc group provided the target compound.
Scheme 36.
Synthesis of piperidine-substituted inhibitor 181.
Macrocyclic peptides have emerged as a new class of drug discovery modalities because they are considered more likely to acquire strong interactions with target proteins, owing to their restricted molecular motion and rigidity compared to linear peptides. Recently, Mikamiyama [] discovered a novel HIV-1 protease inhibitor, 182 (Figure 2), with potent antiviral activity (EC50 37 nM) and oral bioavailability, using a structure-based drug design approach via X-ray crystal structure analysis. This approach started from hit macrocyclic peptides identified by mRNA display against HIV-1 protease. In particular, the improvement of the proteolytic stability of macrocyclic peptides by introducing a methyl group at the α-position of certain amino acids, such as proline, is crucial for exhibiting strong antiviral activity.
Figure 2.
Modified macrocyclic peptides.
The five membered hydantoin scaffold was already recognized as a key fragment in HIV protease inhibitors. Recently, Zhang reported a new general iridium-catalyzed asymmetric hydrogenation of hydantoin and thiazolidinedione-derived exocyclic alkenes using BiphPHOX as a ligand []. The transformation, which showed good functional group tolerance, high yields, and enantioselectivities in the hydrogenated products, was applied to the synthesis of 189, a key intermediate in the preparation of an HIV protease inhibitor 190 (Scheme 37) []. A gram-scale reaction was carried out starting from alkene 186, yielding the hydrogenated product 187 with 92% ee and 97% yield. This product was then reduced with LiAlH4, providing chiral 1,3-diazacycloalkan-2-one 188. The reduced product 188 was transformed into the key intermediate 189 + dechlorination in the presence of Pd/C.
Scheme 37.
Synthesis of hydantoin key fragment 189.
A densely functionalized iminohydantoin, bearing a quaternary stereocenter, was recently described and developed as an HIV protease inhibitor [,]. Ischay and Hoang described process development efforts that enabled the first scale-up of compound 196 (Scheme 38). Several challenges were addressed, including reaction optimization, purification, stabilization of the intermediates, and deprotection procedures. For the reaction of iminohydantoin 195 formation, the addition order was evaluated. It was found that the presence of the amine coupling partner, in the form of BSA (benzensulphonic acid) salt, was required during the loading of the EDC·HCl reagent. Reagent stoichiometry was then investigated, showing that the loading of EDC·HCl could be reduced to 1.5 equivalents and 6·BSA to 1.1 equivalents without negatively affecting reaction performance. The use of 2–3.5 equiv. i-Pr2NEt proved optimal for scale-up to 687 g. A MIBK (methyl isobutylketone) solvate was identified as a crystalline form that provided an additional isolable intermediate, serving as a purity control point prior to Cbz-group removal and API isolation. The Cbz protecting group was removed from iminohydantoin 195 using HCl in acetic acid, that mitigated hydrolysis of the iminohydantoin. After work-up, crystallization afforded 196 1-succinate (Scheme 38).
Scheme 38.
Optimized synthesis of 196.
Wang and coll. recently reported a new strategy for the synthesis of an iminohydantoin derived from chiral quaternary α-aryl amino acids []. Such fragments are present in certain HIV protease inhibitors []. They took advantage of newly developed chiral Karady–Beckwith dehydroalanines, which were prepared for use in a photoredox-mediated highly stereoselective Giese-type reaction with carboxylic acids and tertiary amines. A final stereoselective Clayden rearrangement afforded chiral quaternary α-aryl amino acid derivatives. A new chiral dehydroalanine bearing an N-methyl, N-phenyl-urea moiety 202 was synthesized starting from S-benzyl-L-cysteine 197, which was first transformed into amino amide 198 (Scheme 39). Cyclization with pivalaldehyde was then performed, and the free NH group was converted into the corresponding urea moiety, affording intermediate 201. An exocyclic double bond was obtained by oxidation of sulfide and subsequent elimination of the sulfoxide. Compound 202 underwent a Giese-type reaction with pivalic acid under the irradiation with a blue light-emitting diode (LED), using 4CzIPN as the photocatalyst (PC) and Cs2CO3 as the base in DMF, affording the desired adduct 203 with a high diastereoisomeric ratio (>20:1). This intermediate smoothly underwent a Clayden rearrangement, giving rise to the quaternary amino acid derivative 204 in high yield and diastereoselectivity. Final deprotection afforded free amino acid 205, suitable for incorporation into the HIV protease inhibitor 206.
Scheme 39.
Synthesis of chiral quaternary α-aryl amino acids for iminohydantoins.
2.3. Non-Aromatic Heterocycles with Multiple Heteroatoms
Starting from KNI-764-derived isostere prepared by Mimoto and coworkers [] Ghosh [] proposed a new series of protease inhibitors in which cyclic ethers were incorporated as P2-ligands. As an example, GRL-0355 (Scheme 40) displayed impressive antiviral properties, with improved potency and efficacy against multidrug-resistant HIV-1 variants. The key intermediate 207, prepared through two alternative pathways, was protected as the corresponding acetonide, after which the acetate group was hydrolyzed to afford the corresponding alcohol. This intermediate was subjected to oxidation using ruthenium chloride hydrate and sodium periodate, resulting in the formation of the target carboxylic acid 208. Compound 208 was then transformed into amide 214 by activation to the corresponding mixed anhydride, followed by reaction with heterocyclic amine 213 []. The latter was derived from (R)-BocDMTA 212, which was synthesized with 99.4% ee via enantioselective hydrolysis of methyl (±)-5,5-dimethyl-1,3-thiazolidine-4-carboxylate 210 by a Klebsiella oxytoca hydrolase.
Scheme 40.
Synthesis of thiazolyl fragment of GRL-0355.
The work of Guarna and his group on small peptidomimetics bearing 6,8-dioxa-3-azabicyclo[3.2.1]-octane scaffold resulted in the identification of HIV protease inhibitors with IC50 values in the sub-micromolar range []. They proposed the bicyclic acetal portion as a potential transition state analog in interactions with the enzyme active site. In particular, the best results were obtained with the glycine-derived scaffold BTG(O)-A (bicyclices derived from tartaric acid and glycine), which bears an α-amino alcohol fragment at position 7, and with phenylalanine-derived scaffold BTF(O)-B (bicyclices derived from tartaric acid and phenylalanine), which bears small aliphatic chains at the same position.
The synthesis began with benzylamine 215, which was treated with bromoacetaldehyde dimethylacetal. Amine 216 was then acylated with (2R,3R)-di-O-acetyltartaric anhydride, yielding amide 217. This was subsequently transformed into cyclic acetal 218 by treatment with MeOH/HCl. The 6,8-dioxa-3-azabicyclo[3.2.1]-octane 219 was obtained by treating 218 under reflux in toluene in the presence of H2SO4 over silica gel. Amide–ester exchange reactions allowed the preparation of the desired amides BTG(O)-A (Scheme 41).
Scheme 41.
6,8-dioxa-3-azabicyclo[3.2.1]-octane peptidomimetics and synthesis of BTG(O)-A.
A novel HIV protease inhibitor was designed by Bungard using a morpholine core as the aspartate binding group []. Analysis of the crystal structure of the initial lead bound to HIV protease enabled optimization of enzyme potency and antiviral activity. This resulted in a series of potent orally bioavailable inhibitors, among which MK-8718 (Scheme 42) was identified as a compound with a favorable overall profile. The preparation of a suitable morpholine intermediate started with the reaction of amino alcohol 220, derived from D-serine, with (R)-epichlorohydrin to give morpholine 221. Swern oxidation afforded aldehyde 222. Subsequently, Seyferth–Gilbert homologation yielded alkyne 223. Sonagashira coupling, followed by alkyne reduction, gave aniline 224. Cbz protection, followed by TBS deprotection, afforded the corresponding alcohol. Carbamate formation, followed by Cbz-deprotection, produced the desired aniline 225. Final elaboration by coupling with a suitable diaryl-α-aminopropanoic acid furnished MK-8718.
Scheme 42.
Synthesis of morpholine key intermediate of MK-8718.
Morpholine was also proposed by Zhou, Cen, and Wang [] as a P2 ligand of HIV-1 protease inhibitors with a flexible heterocyclic structure, which can fit into the minimally distorted active site of darunavir-resistant HIV-1 variants. Starting from easily available N-substituted morpholines, a new series of inhibitors was synthesized and tested. As an example, 2-Morpholinoethan-1-ol 226 was activated as carbonate, then a suitable aminoalcohol fragment was alkoxycarbonylated, providing carbamate inhibitor 229, which exhibited almost 4-fold superior activity against wild-type HIV protease, compared to darunavir, along with appreciable antiviral activity against darunavir-resistant HIV-1 variants (Scheme 43).
Scheme 43.
Synthesis of morpholine substituted inhibitor 229.
2.4. Heteroaromatics
Based on Ritonavir, Kaye designed novel, structurally simplified, truncated analogs bearing heteroaryl groups linked to the peptidomimetic chain []. Starting from pyridine-2-carbaldehydes 230, the indolizine-2-carboxylate esters 232 (Scheme 44) were synthesized by Baylis–Hillman reaction followed by cyclization promoted by acetic anhydride at reflux, through acetylation of the alcohol, which facilitated the reaction. Saponification of the esters yielded the corresponding carboxylic acids 233. Different amides were prepared by coupling with suitable amines in presence of carbonyl diimidazole (CDI). According to the authors, inhibition activity was not measured; however, enzyme-binding, enzyme inhibition, and in silico docking studies of those compounds were planned.
Scheme 44.
Synthesis of key indolizine-2-carboxylic acid intermediate.
The incorporation of substituents with hydrogen bond donor and acceptor groups at the P1 position of a symmetry-based HIV protease inhibitor series was described by DeGoey and resulted in significant improvement in potency against the resistant mutants []. Overall, compound 240 (Scheme 45) demonstrated the best balance of potency against drug resistant strains of HIV and exhibited oral bioavailability in pharmacokinetic studies. The synthesis began with benzylated tyrosine 234 and reaction with sodio acetonitrile yielded nitrile 235, which was then treated with a benzyl Grignard reagent to give the enaminone 236. A high degree of stereocontrol was observed during the stepwise reduction of 236 with NaBH4, followed by Boc protection of the resulting amine. Removal of the benzyl protecting groups through hydrogenolysis gave the amine 238. The corresponding triflate was generated using N-phenyl-bis(trifluoromethanesulfonimide) affording 239. Palladium-mediated coupling with 5-fluoro-3-pyridylboronic acid furnished the bis aryl intermediate, which was finally coupled with a suitable t-butyl-glycine derivative, yielded the desired inhibitor 240.
Scheme 45.
Synthesis of fluoropyridyl-phenyl-substituted inhibitor 240.
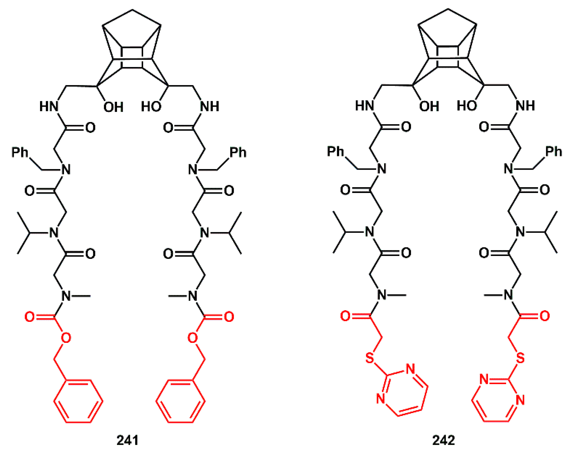
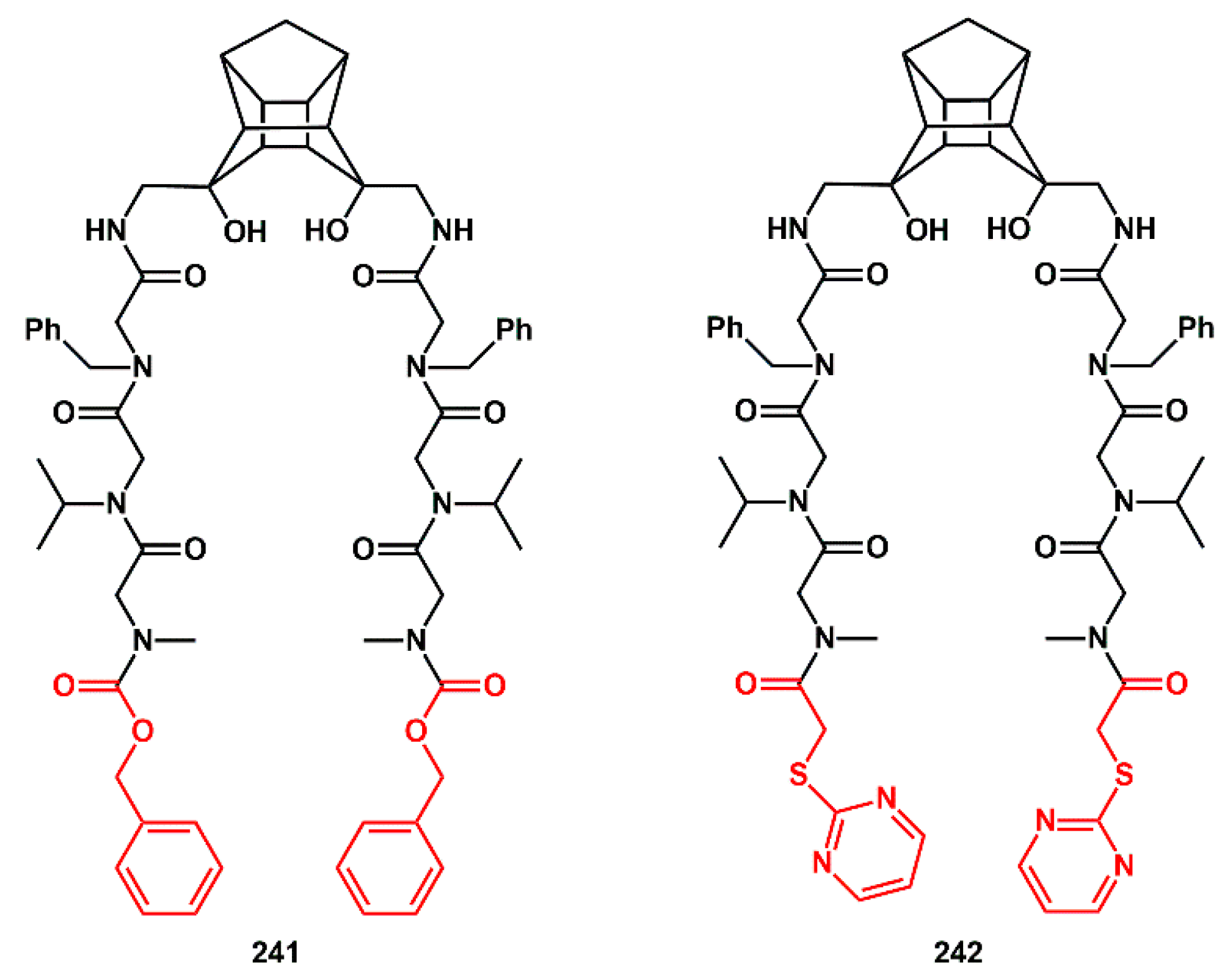
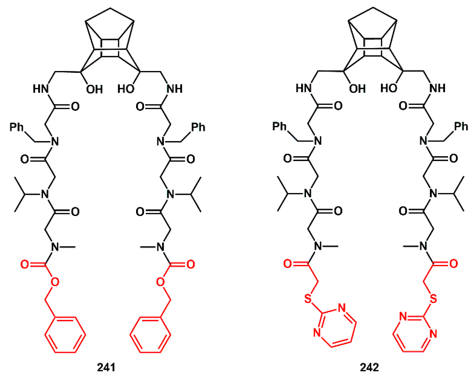
During the study of novel inhibitors against South African wild-type (C-SA) HIV protease, Makatini [] described the first pentacycloundecane (PCU) diol peptoid-derived inhibitors, with IC50 values ranging from 6.5 to 0.075 µM. Starting from inhibitor 241, which showed very good activity (IC50 0.075 µM), it was derivatized by substituting the carbobenzyloxy group with the (2-pyrimidinylthio)acetic acid group in order to produce compound 242 for improved solubility (Scheme 46). Unfortunately, this molecule exhibited significantly less binding affinity to the enzyme (IC50 1.0 µM).
Scheme 46.
Pentacycloundecane (PCU) diol peptoid 241 and its pyrimidinylthio-substituted derivative 242.
The discovery of HIV-1 protease inhibitors, which exhibit high potency against both HIV-1 wild-type and multi-PI-resistant HIV-mutants is always a key focus. The work of Kesteleyn [] was oriented towards discovering new PIs suitable for a long-acting injectable drug applications. In this regard, they described new compounds bearing a heterocyclic 6-methoxy-3-pyridinyl (MP) or a 6-(dimethylamino)-3-pyridinyl (DMAP) (R3) group at the para-position of the P1′ benzyl fragment, which showed antiviral activity in the low nanomolar range. The introduction of a heteroaryl moiety was performed via a Suzuki coupling reaction on polyfunctionalized bromoaryl intermediate 249. Bromo lactone 248 was recognized as a key intermediate. For the synthesis of 248, a new enantioselective methodology was developed. As shown in Scheme 47, the first step involved converting N-Boc-protected (S)-4-bromophenylalanine 243 into the Weinreb amide 244. Treatment with 3-butenylmagnesium bromide then furnished ketone 245, which was oxidized at the terminal double bond to afford the γ-ketocarboxylic acid 246. The desired bromo-lactone 247 was obtained by initially esterifying the carboxylic acid and then performing a reductive cyclization with N-selectride. Final benzylation, using lithium hexamethyldisilazane as a base at low temperature, produced the alkylated lactone 248, stereoselectively. Hydrolysis of 248 provided the corresponding carboxylic acid derivative. To prevent re-lactonization, silylation of the alcohol group with TBDMSCl was performed. The introduction of the P2 amine was achieved via the HATU-mediated coupling. Subsequently, the heterocyclic aromatic group R3 (MP or DMAP) was introduced through palladium-assisted Suzuki coupling of boronic acids, producing compounds 250. Finally, N-Boc deprotection under acid conditions was followed by HATU-mediated coupling of N-(methoxycarbonyl)-L-tert-leucine, resulting in the desired HIV-1 PIs 252 with high overall yields and enantioselective purity (ee > 95%).
Scheme 47.
Synthesis of pyridyl substituted inhibitors.
In the last period, studies on the synthesis of key heterocyclic fragments, particularly those oriented towards the pharmaceutical industry, were described. Kappe and his group developed multistep continuous flow reaction method for the synthesis of the biaryl-hydrazine unit of atazanavir []. The synthesis involved Pd-catalyzed Suzuki–Miyaura cross-coupling, followed by hydrazone formation and a hydrogenation step. At the end, an additional liquid–liquid extraction step was performed. The method yielded the desired product with an overall yield of 74%, which exceeded the 53% overall batch yield previously described in the literature.
A useful method was developed by Lindhardt and Skrydstrup for the synthesis of active esters by palladium-catalyzed alkoxycarbonylation of (hetero)aromatic bromides (Scheme 48) []. The protocol was general for a range of oxygen nucleophiles including N-hydroxysuccinimide (NHS) 252 and showed high functional group tolerance. The method enabled the synthesis of an important precursor to the HIV protease inhibitor saquinavir, through the formation of an NHS ester followed by acyl substitution.
Scheme 48.
Preparation of activated heteroaromatics.
Quinoline and isoquinoline moieties have been extensively studied as scaffolds for HIV inhibition and have been recently reviewed []. In the work of Sarveswari [], two diverging series of water-soluble, non-peptidic quinoline analogs were designed and synthesized through the sequential attachment of piperazine and various amino acids to the quinoline scaffold using peptide coupling procedures. All synthesized compounds were subjected to in silico screening against HIV protease-1 and the cytotoxicity of all compounds was examined on HCT116 cells. In particular, compound 259 (Scheme 49), which bears serine and piperazine in sequence at C2 of quinoline, showed significant HIV protease inhibition properties and demonstrated cytotoxicity IC50 value at 22.7 ± 0.59 nM. The synthesis began with the construction of quinoline core via HCl-promoted coupling between ethyl 4-chloroacetoacetate 254 and 2-amino-5-chlorobenzophenone 253 in methanol, yielding 94% of the desired compound 255. In the second step, Boc-piperazine was introduced by nucleophilic substitution, leading to compound 256. After removing the Boc protecting group, the piperazine amine was coupled with L-serine using HOBt, EDC. Final deprotection of the amino acid in methanolic HCl afforded the target compound 259.
Scheme 49.
Synthesis of piperazine-substituted quinolines.
On the way to extending hydrogen bonding interactions between inhibitor and HIV-1 protease, pyrimidine bases were recognized as suitable as P2 ligands capable of enhancing the activity of the inhibitors. In Wang’s work [], inhibitor 264 (Scheme 50), bearing N-2-(2,4-Dioxo-3,4-dihydropyrimidin-1(2H)-yl) acetamide and a 4-methoxylphenylsulfonamide, showed high enzyme inhibitory activity, with an IC50 of 2.53 nM in vitro and an inhibition ratio with 68% against wild-type HIV-1 in vivo, with low cytotoxicity. Its antiviral activity was also effective against DRV-resistant HIV-1 variants. The syntheses began with the preparation of substituted 2, 4-dioxopyrimidin-1(2H)-yl acetic acid 262 from uracil, via N-alkylation with ethyl bromoacetate (38%), followed by saponification with sodium hydroxide (61%). Coupling with the suitable amine 263 under EDCl/HOBt/DMAP conditions yielded the final product in high yield (98%).
Scheme 50.
Synthesis of pyrimidine-substituted inhibitor 264.
Atazanavir is one of the most prescribed HIV-1 protease inhibitors approved by the FDA. It was the first protease inhibitor approved for once-a-day dosing to treat AIDS, owing to its good oral bioavailability and favorable pharmacokinetic profile. Reddy’s work [] resulted in a new multistep synthesis for biaryl-hydrazine unit {tert-butyl 2-[4-(2-pyridinyl)benzyl]hydrazinecarboxylate} of atazanavir 268 on a large scale (Scheme 51). The synthesis began with a palladium catalyzed Suzuki–Miyaura coupling of readily available 2-chloropyridine 264 and (4-cyanophenyl)boronic acid 265, yielding the biaryl derivative 266. Next, the cyano group was reduced to the aldehyde 267 using DIBAL-H. Treatment with tert-butyl carbazate, followed by in situ reduction with NaBH4-furnished hydrazone 268. The entire process was scaled-up and completed in three steps with an overall yield of 71%.
Scheme 51.
Synthesis of biaryl-hydrazine unit of Atazanavir.
Several naturally occurring triterpenes and their semisynthetic analogs have demonstrated potent anti-HIV activities. Recently, Zheng [] synthesized thirteen nitrogen-containing derivatives of 3,11-dioxo-olean-12- en-30-oic acid by introducing various amino acids and nitrogen-containing heterocyclic groups at the 30-carboxyl group, starting from 18β-glycyrrhetinic acid (GA) (Scheme 52). Among them, compound 270 displayed relatively moderate inhibitory activity, with IC50 values below 0.24 mM. Molecular docking studies revealed favorable hydrophobic–hydrophobic and hydrogen bonding interactions in the active site of HIV-1PR. These findings underscore the potential of such derivatives as promising candidates for the development of HIV-1 PR inhibitors. The synthesis commenced with the oxidation of the 3-hydroxyl group of GA to a carbonyl group (97%), yielding compound 269. The target compounds 270 were synthesized using an EDCI/HOBt/DMAP/TEA system in the presence of a suitable nucleophile.
Scheme 52.
Synthesis of heteroaryl triterpenes.
Certain thiazolyl and benzothiazolyl guanidines have been reported as exhibiting a wide range of pharmacological and antimicrobial activities. In the field of carbohydrates, glycosyl isothiocyanates are versatile synthetic intermediates for the synthesis of biologically active carbohydrate derivatives. Cao et al. synthesized and evaluated the bioactivity of some new N-glucosyl-N′-(4-arylthiazol-2-yl) aminoguanidines (Scheme 53) [] The starting materials, 2-amino-4-arylthiazoles of type 271, were refluxed with substituted glycosyl isothiocyanates in dry benzene. Subsequent desulfurization of the resulting thioureas with HgCl2 in DMF, in the presence of hydrazine hydrate and TEA, furnished the target compounds. In particular, compounds 274 and 275 showed moderate activity against HIV-1 protease (IC50 between 22 and 107 mg/mL).
Scheme 53.
Synthesis of N-glucosyl-N′-(4-arylthiazol-2-yl) aminoguanidines.
While ritonavir is approved as an HIV PI, it is hardly used as such, being more frequently used as a pharmacokinetic enhancer. Unfortunately, its use is often associated with various side effects. Therefore, novel derivatives have been described. Jonckers [] proposed thiazol-5-ylmethyl (2S,3R)-4-(2-(ethyl(methyl)amino)-N-isobutylbenzo[d]oxazole-6-carboxamido)-3-hydroxy-1-phenylbutan-2-ylcarbamate 281 as a lead candidate for this class (Scheme 54). This compound, together with structurally similar analogues, demonstrated excellent ‘boosting’ properties when tested in dogs. These findings made it attractive in the search for novel pharmacokinetic enhancers. The synthesis of the lead compound 279 began with commercially available epoxide 276, which was reacted with an excess of isobutyl amine, yielding monoprotected bis-aminoalcohol 277. This was then coupled with acid derivative 278 using HATU or BOP as activating agent, yielding intermediate 279. After mild Boc-deprotection, the intermediate amine was coupled with suitable thiazolyl carbonate 280, affording target compound 281 in high yield. The in vitro antiviral activity against wild-type HIV-1 (EC50 = 71 mM) was evaluated in an acutely infected lymphoblastic cell line (MT4-LTR-EGFP) and CYP 3A4 inhibition (IC50 = 0.031 mM) was determined in vitro using a human liver microsome (HLM)-based assay.
Scheme 54.
Synthesis of compound 281.
Multiple heteroaromatic fragments were introduced into novel inhibitors. In particular, Houpis [] described the convergent synthesis of clinical candidate 282 (Scheme 55), a protease inhibitor specifically designed to allow for long acting-controlled release formulations. Central disconnection generated two synthons 283 and 284 bearing heteroaromatic moieties.
Scheme 55.
Retrosynthetic approach to clinical candidate 282.
The preparation of epoxide 284 started from protected tyrosine 285 (Scheme 56). The phenol functional group was activated as the triflate, using triflic anhydride in the presence of pyridine. The resulting product was then coupled with a suitable pyridyl boronic acid in the presence of commercially available ferrocenyl-based catalyst, Cl2Pd (dppf)-DCM, yielding the bis-aryl intermediate 286. The key intermediate, epoxide 284, could be obtained from either metal-catalyzed or enzymatic process in high yield by exposing 287 to aqueous potassium hydroxide in tert-amyl alcohol.
Scheme 56.
Diastereoselective synthesis of key epoxide 284.
The optically pure amino alcohol (R,R-293) was prepared starting from ketone 289 (Scheme 57), which was brominated selectively at the α-aliphatic position using CuBr2 in refluxing EtOAc to give rac-290. An NaBH4 reduction followed by a Ritter reaction afforded the racemic cis-amino alcohol 292. The optically active derivative (R,R-293) was obtained in good yield via a resolution with S-mandelic acid. The optically active amide 283 was prepared using well established methods. Subsequent coupling with epoxide 284 was performed using ZnCl2/TMEDA system, followed by the addition of LiHMDS. Deprotection of the BOC group and coupling with the methyl carbamate tert-butylglycine furnished the desired inhibitor 282.
Scheme 57.
Synthesis of key intermediate 294.
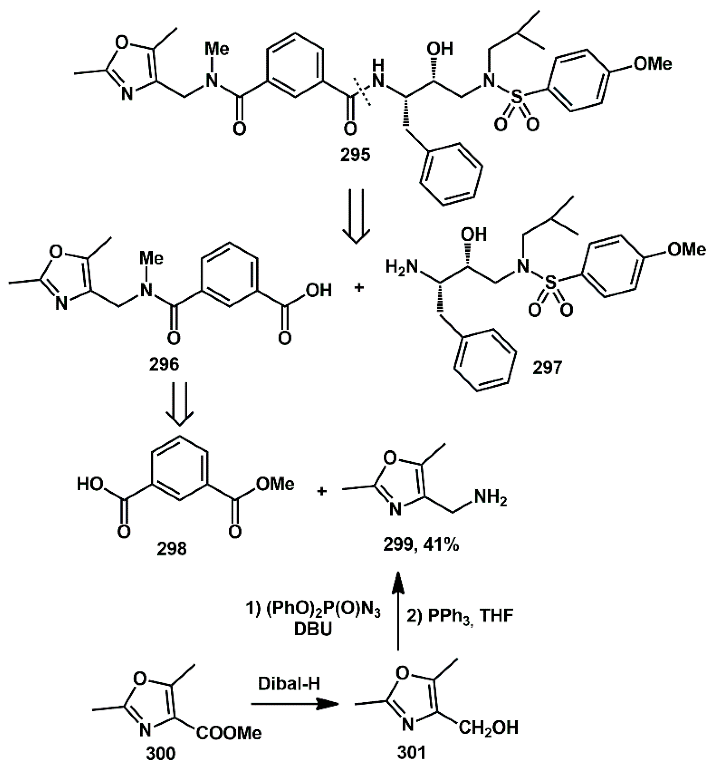
Ghosh [] described the design, synthesis, and biological evaluation of a series of novel HIV-1 protease inhibitors bearing isophthalamide derivatives as the P2–P3 ligands. In particular, compound 295 showed an enzyme Ki of 0.17 nM and antiviral IC50 of 14 nM (Scheme 58). The general synthetic strategy involved the coupling of isophthalic acid derivative 296 with the amine of the hydroxyethylamine sulfonamide isosteres 297 to produce HIV-1 protease inhibitors. Various isophthalic acid derivatives can be obtained by coupling readily available isophthalic monoacid 298 with various amines. In particular, amine 299 was prepared from oxazole ester 300, which was first reduced with excess of DIBAL-H to afford the corresponding alcohol 301. Subsequently, azidation of the alcohol with diphenylphosphoryl azide in the presence of DBU provided the corresponding azide. Finally, reduction of the azide with triphenyl phosphine in THF yielded amine 299.
Scheme 58.
Approach to isophtalamide inhibitors.
Ghosh and his group described the effect of a single atom change or a scission of a single bond on the activity of a panel of compounds structurally like darunavir. Seven novel PIs were synthesized, and the modifications involved an exchange of sulfur for oxygen, a scission of a single bond in P2′-cyclopropylaminobenzothiazole (or -oxazole), and/or introduction of P1-benzene ring with mono- or bis-fluorine atoms (Scheme 59) []. X-ray structural analyses of the PIs complexed with wild-type protease (PRWT) and highly multi-PI-resistant PRDRV P51 revealed that the PIs adjusted themselves to the protease with resistance-associated amino acid substitutions. Inhibitors containing a benzothiazole moiety at the P2′ position showed greater anti-HIV-1 activity than those with a benzoxazole moiety. It was claimed that this greater potency is attributed to the capacity of sulfur atoms to form bidirectional σ-hole potentials with the carbonyl oxygen of G48 []. On the other hand, substitution of cyclopropyl with isopropyl at the distal part of the inhibitor’s P2′ moiety resulted in a reduction in the antiviral activity. The membrane penetration data confirmed previous findings that the addition of two fluorine atoms greatly boosts the activity of the inhibitors.
Scheme 59.
Heteroaryl-modified darunavir scaffolds.
More recently, Ghosh et al. [] described new inhibitors bearing various pyridyl-pyrimidine, aryl thiazole, or alkylthiazole moieties as P2 ligands in darunavir-like hydroxyethylamine sulfonamide isosteres, with the aim of promoting hydrogen bonding interactions with the backbone atoms in the S2 subsite of HIV-1 protease. The different ligands were introduced using suitable parent benzoic acids, whose synthesis was described. The new inhibitors showed sub-nanomolar levels of protease inhibitory activity and low nanomolar levels of antiviral activity. In particular, pyridyl-pyrimidine benzamide derivative 303a (Scheme 60) displayed an enzyme inhibitory Ki of 28 pM and antiviral activity of 154 nM, whereas compound 303b displayed potent antiviral activity with an IC50 value of 66 nM. Among the thiazole-derived inhibitors, compound 308, with a pyridyl thiazole as the P2 ligand, showed the best result, exhibiting an HIV-1 protease inhibitory Ki of 8.7 nM and antiviral activity of 580 nM.
Scheme 60.
Synthesis of pyridyl-pyrimidine benzamides 303 and pyridyl-thiazolyl inhibitors 308.
For the synthesis of 303, commercially available 4-methyl-3-[[4-(3- pyridinyl)-2-pyrimidinyl]amino]benzoic acid 302 was reacted with the previously reported hydroxyethylene isosteres 297 in the presence of HATU and Et3N in DMF. The synthesis of 308 started from 2-methyl 5-aminomethylbenzoate 304, which was reacted with potassium thiocyanate and acetyl chloride in acetone to yield the thiourea derivative 305. Exposure of 305 to potassium carbonate in methanol, followed by the addition of α-bromo ketone 306, furnished the pyridinylthiazole derivative 307. Saponification of methyl ester with aqueous LiOH in THF afforded the corresponding carboxylic acid. Final coupling with the hydroxyethylsulfonamide isosteric amine 297a produced inhibitor 308 in good yields.
In 2010, we synthesized a series of new thienyl analogues of nelfinavir and saquinavir with different substitution patterns, derived from suitable enantiopure diols []. Their inhibitory activity against wild-type recombinant HIV-1 protease was evaluated. In general, thienyl groups spaced from the core by a methylene group yielded products with IC50 values in the nanomolar range, regardless of the heterocycle’s type or substitution pattern. Notably, compounds 309 and 310 (Scheme 61) were the most active, and their activity was substantially maintained or even increased against two common mutants under drug pressure, such as V32I and V82A. The synthesis began with dihydroxybutylesters 311, which were reduced by BH3SMe2, producing triols 312 in nearly quantitative yield. Freshly prepared 3,3-dimethoxypentane was used for selective protection of the hydroxyl groups on carbons 1 and 2. The free hydroxyl was then transformed into the mesylate 313 and subsequently substituted with an azido group. Final hydrolysis yielded azidodiols 314 with modest to good overall yield.
Scheme 61.
Synthesis of key aryl azido triol intermediate.
The perhydroisoquinolinic fragment was linked via selective activation of the hydroxyl group as a mesitylene sulfonyl derivative 316, followed by reaction with the commercially available substituted perhydroisoquinoline (Scheme 62). Finally, the azidoalcohols were transformed into amino alcohols 318a and 318b by Pd-catalyzed hydrogenation in excellent yield.
Scheme 62.
Synthesis of common heteroaryl PHIQ amino alcohol intermediate.
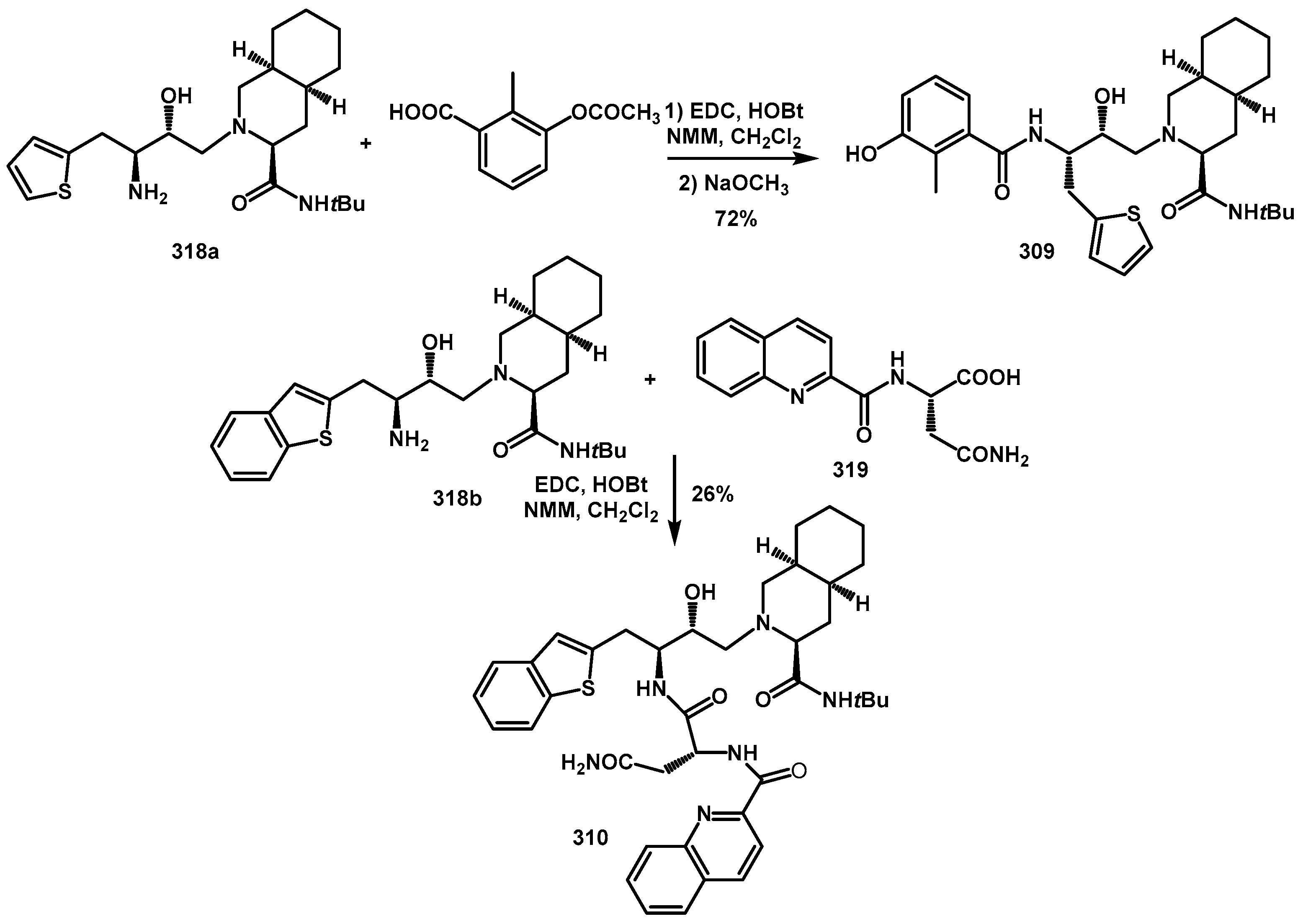
For the synthesis of the nelfinavir thienyl analog, amino alcohol 318a was reacted with 3-acetoxy-2-methylbenzoic acid. Final deacetylation of the phenolic group yielded the target compounds 309 in good yield (Scheme 63). The characteristic dipeptide unit of saquinavir derivatives 319 was prepared by coupling asparagine tert-butyl ester with quinolinic acid. Hydrolysis with TFA afforded acid 319, which was subsequently coupled with amino alcohol 318b, resulting in the desired saquinavir derivatives 310.
Scheme 63.
Synthesis of nelfinavir thienyl analog and saquinavir benzothienyl analog.
Investigating the synthesis and biological evaluation of new structurally simplified non-peptidic heteroaromatic molecules as PIs, we described the synthesis and biological evaluation of a new series of potential HIV-1 protease inhibitors of types 330–333, incorporating different benzofused heterocycles (Scheme 64) []. The variation in heteroatoms in such molecules affected biological activities and a benzothiophene containing inhibitor 333 exhibited high potency against wild-type HIV-1 protease with an IC50 of 60 nM, thanks to the lower desolvation penalty paid by this hydrophobic moiety. The synthesis began with commercially available (S)-glycidol (98% ee), which was reacted with 3-nitrobenzenesulfonyl chloride (NsCl) and triethylamine (Et3N) at −10 °C to afford 320 in 80% yield. Subsequently, it underwent regioselective displacement of the nosylate with the appropriate 5-hydroxyheteroarene and K2CO3 to yield the corresponding epoxides 321, 324, and 325 in 70%, 78%, and 82% yield, respectively. The indole derivative 321 was alkylated with methyl iodide and benzyl chloride to produce compounds 322 and 323 in 90% and 86% yield. The opening of the oxiranyl ring with i-BuNH2 in i-PrOH provided aminoalcohols 326–329 in quantitative yield. These compounds were then reacted with 3,4-dimethoxybenzenesulfonyl chloride and Et3N in dry DCM to afford target compounds 330–333 in high yield.
Scheme 64.
Synthesis of non-peptidic heteroaromatic inhibitors.
With the aim of facilitating access to new HIV-1 protease inhibitors bearing heteroaryl moieties as P1-ligands, we speculated on a convenient synthetic route to introduce diversity into the common hydroxyethylamino core present in several approved PIs [] In a straightforward retrosynthetic approach, variously functionalized aromatic groups could be incorporated via Suzuki coupling between an activated C(sp3) bromide (allylic electrophile) and an array of arylboronic acids, thereby furnishing methyl 4-arylcrotonates. An effective ligand-free Suzuki coupling protocol was described for coupling methyl (E)-4-bromobut-2-enoate with several arylboronic acids. Given the strong interest in methodologies that produce polyarylated frameworks, we subsequently reported a nickel-catalyzed double phenylation of methyl 4-bromocrotonate, which furnished suitable doubly phenylated building blocks [].
Different aspects regarding the preparation of peptidomimetic and pseudopeptidic structures containing heterocycles were also reviewed in 2012 by us, with particular focus on novel tricyclic structures as potential drugs []. Following the concept of targeting the protein backbone, we systematically investigated various substitution patterns on the common stereo-defined isopropanolamine core. In 2014, we described the synthesis of new, structurally simple indolic non-peptidic HIV-protease inhibitors from (S)-glycidol using regioselective methods [], varying the type and/or the position of the functional group on the indole and the nature of the nitrogen containing group (sulfonamides or perhydroisoquinoline). The systematic study of in vitro inhibition activity of these compounds confirmed the general beneficial effect of the 5-indolyl substituents in the presence of arylsulfonamide moieties, which showed activities in the micromolar range. Oxyindoles and carbamoyl indoles showed general good activity, whereas simple aminoindoles were much less active (Scheme 65). For the synthesis of oxyindoles, epoxide 322 was opened with perhydroisoquinoline, yielding inhibitor 334, or alternatively with i-BuNH2, giving intermediate 338. This last amino alcohol was reacted with 3,4-diOMe-phenylsulfonyl chloride, affording compound 335 in excellent yield.
Scheme 65.
Synthesis of oxyindoles.
The preparation of the corresponding carbamoyl derivatives 336 and 337 was straightforward. 5-Aminoindole 339 was first reacted with p-nitrophenylchlorocarbonate to afford the activated carbamate 340 (Scheme 66). Glycidol was then introduced via a substitution reaction, yielding the oxiranyl carbamate 341 in good yield. The introduction of i-BuNH2, followed by sulfonylation with a suitable ArSO2Cl, furnished the final compounds 336 and 337.
Scheme 66.
Synthesis of carbamoyl indoles.
Different spacers were studied, connecting heteroaryl moieties to the hydroxyethylamine core. Thus, in 2017, new heteroaryl HIV protease inhibitors, bearing a carboxy–amide spacer, were synthesized in our lab in a few steps and with high yield, starting from commercially available homochiral epoxides []. Onto a given hydroxyethyl-amino-isopropanoyl-sulfonamide core, we introduced different heteroarenes and modified the central core, with the presence of either H or a benzyl group (structure A in Scheme 67). For the synthesis of the simple, unsubstituted isopropanolamine core (R = H), we took advantage of an established route, starting from the commercially available bidentate electrophile (S)-glycidol. The epoxide was opened by i-PrNH2; the aryl sulfonyl moiety was introduced, and the primary OH group was substituted by NH2, furnishing the key aminoalcohol 343 in good overall yield. Coupling with suitable 5-heteroaryl acids afforded the corresponding amides 344.
Scheme 67.
Synthesis of heteroaryl amides.
The synthesis of benzyl derivatives 347 was even shorter (Scheme 68) and started from the commercially available homochiral N-Boc-protected amino-epoxide 345. After opening with iBuNH2 and the subsequent introduction of the arylsulfonyl moiety, the N-Boc group was displaced by treatment with trifluoroacetic acid in dichloromethane. The resulting ammonium trifluoroacetate was treated with NEt3, affording amine 346, which was then reacted with suitable 5-heteroarylcarboxylic acids previously activated with N,N′-carbonyldiimidazole. Thus, the final products 347 were obtained in four steps and excellent overall yield.
Scheme 68.
Synthesis of benzyl substituted heteroaryl amides.
In general, the presence of a carboxyamide moiety showed a positive effect on in vitro inhibition activity against recombinant protease. The IC50 values ranged between 1 and 15 nM. In particular, benzofuryl derivatives 344a and 347a displayed some of the best IC50 values among such structurally simple inhibitors. Docking analysis supported the experimental results regarding activity, demonstrating that these benzofuryl derivatives exhibited a favorable number of interactions within the active site. The inhibitory activity of these molecules was also evaluated in HEK293 cells.
The study of new heteroaryl HIV protease inhibitors was extended to those bearing a carbamoyl spacer []. In particular, we focused on new derivatives with the general structure B (Scheme 69), in which the heterocycle is spaced from the core by a carbamoyl function, like the arrangement in darunavir and TMC-126. Their synthesis was straightforward from commercially available homochiral epoxides. Different substitution patterns were introduced onto a given isopropanoyl-sulfonamide core, which could have either H or benzyl group.
Scheme 69.
Design and synthesis of heteroaryl carbamates.
Both the carbamoyl moiety and benzyl group displayed a general beneficial effect on the in vitro inhibition activity against recombinant protease. The IC50 values ranged from 11 to 0.6 nM. In particular, benzofuryl and indolyl derivatives 351a and 351c showed some of the best IC50 values (IC50 0.6 nM for both). Regarding the amide inhibitors, their activity was also confirmed in HEK293 mammalian cells and was maintained against protease mutants. Furthermore, the metabolic stability of all compounds was studied and found to be comparable to that of commercially available inhibitors. More recently, following the concept of repositioning HIV protease inhibitors as cancer therapeutics, compound 349b was also evaluated for its ability to induce cytotoxicity in hepatocellular carcinoma cell lines [].
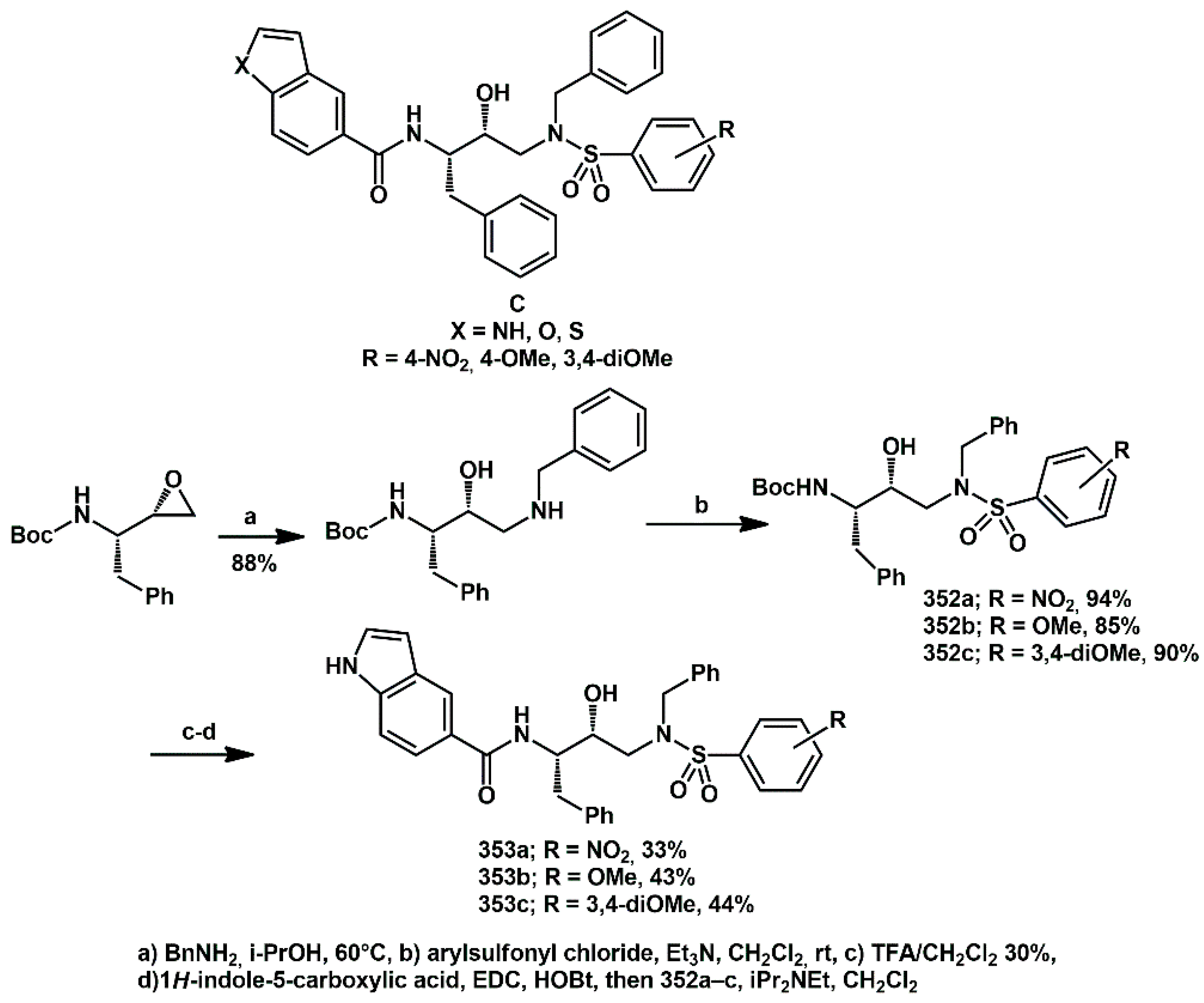
Considering the structure of HIV protease as a C2-symmetric homodimer in its active form, we recently reported on the synthesis, enzyme inhibition, and structure–activity relationship of a new class of HIV-1 protease inhibitors containing a pseudo-symmetric hydroxyethylamine core and heteroarylcarboxyamide moieties []. To obtain a pseudo-symmetric hydroxyethylamine core, a benzyl group was placed on the sulfonamide nitrogen, resulting in the general structure C (Scheme 70). A straightforward synthetic pathway yielded nine compounds in a few steps with high yields. Potent inhibitory activity, with nanomolar IC50 values measured with a standard fluorimetric test, was achieved. In particular, compounds 353a–c (whose synthesis is described in Scheme 70), which contain the indole ring in P1, exhibited HIV-1 protease inhibitory activity that was more potent than darunavir in the same assay.
Scheme 70.
Synthesis of pseudo-symmetric inhibitors.
Recently, considering all our data on heteroaryl non-peptidic inhibitors, specifically their high HIV protease inhibitory activity and easy of synthetic approach, we reported novel simple heteroaryl carboxamides (Scheme 71), bearing p-NO2 electron withdrawing group or p-OMe electron releasing group on arylsulfonamide. We compared their in vitro activity in HEK293 cells with that of our previously described compounds [].
Scheme 71.
Heteroaryl carboxamides with high inhibition activity.
Benzofuryl-, benzothienyl-, and indolyl rings were introduced via efficient synthetic procedures. All compounds showed inhibitory activity comparable to the commercial drug darunavir, with particularly potent examples such as 356a, 356b, and 355b (IC50 < 0.6 nM). These compounds were effective against both wild-type HIV-1 protease and mutants containing V32I or V82A mutations. In silico evaluation of their absorption, distribution, metabolism, and excretion (ADME) properties was also conducted, comparing the results with the predicted properties of darunavir. As a result, 12 out 27 compounds (including 355b) performed better than or equal to darunavir across all ADME prediction models, demonstrating the potential of these compounds for further drug development.
3. Conclusions
In conclusion, the introduction of heterocyclic moieties into HIV protease inhibitor scaffolds remains a powerful tool to enhance their activity and overcome enzyme mutations. Both non-aromatic heterocycles, owing to their rigid structures, and heteroaromatics, due to their planar structures combined with modulation of hydrogen bonding interactions, can expand the pool of inhibitors by following the concept of targeting the protein backbone.
Although much has been described regarding the interaction between heterocyclic fragments and the enzyme, the field remains open to further investigations, particularly concerning heterocycles with multiple heteroatoms (aromatic and non-aromatic) and simplified structures that reduce synthetic costs.
Table 1 summarizes the most significant new HIV-protease inhibitors appearing in the literature during the last 15 years.
Table 1.
Most significant new HIV-protease inhibitors of the last 15 years.
Funding
Financial support was provided by MUR-Italy (Ministero dell’Università e della Ricerca)-PRIN 2022: Novel derivatives and nano-formulations of HIV-protease inhibitors for the treatment of colorectal cancer (Acronym: PrInNovative4CRC) PrInNovative4CRC, CUP: C53D23006060006 and by Sapienza University of Rome.
Conflicts of Interest
The authors declare no conflicts of interest.
References
- Nuwagaba, J.; Li, A.J.; Ngo, B.; Sutton, R.E. 30 years of HIV therapy: Current and future antiviral drug targets. Virology 2025, 603, 110362. [Google Scholar] [CrossRef]
- Engelman, A.; Cherepanov, P. The structural biology of HIV-1: Mechanistic and therapeutic insights. Nat. Rev. Microbiol. 2012, 10, 279–290. [Google Scholar] [CrossRef]
- Subramanian, R.; Tang, J.; Zheng, J.; Lu, B.; Wang, K.; Yant, S.R.; Stepan, G.J.; Mulato, A.; Yu, H.; Schroeder, S.; et al. Lenacapavir: A Novel, Potent, and Selective First-in-Class Inhibitor of HIV-1 Capsid Function Exhibits Optimal Pharmacokinetic Properties for a Long-Acting Injectable Antiretroviral Agent. Mol. Pharm. 2023, 20, 6213–6225. [Google Scholar] [CrossRef]
- Wensing, A.M.; van Maarseveen, N.M.; Nijhuis, M. Fifteen years of HIV Protease Inhibitors: Raising the barrier to resistance. Antivir. Res. 2010, 85, 59–74. [Google Scholar] [CrossRef] [PubMed]
- Lv, Z.; Chu, Y.; Wang, Y. HIV protease inhibitors: A review of molecular selectivity and toxicity. HIV AIDS Auckl. 2015, 7, 95–104. [Google Scholar] [CrossRef]
- Umumararungu, T.; Nyandwi, J.B.; Katandula, J.; Twizeyimana, E.; Tomani, J.C.; Gahamanyi, N.; Ishimwe, N.; Olawode, E.O.; Habarurema, G.; Mpenda, M.; et al. Current status of the small molecule anti-HIV drugs in the pipeline or recently approved. Bioorganic Med. Chem. 2024, 111, 117860. [Google Scholar] [CrossRef]
- Ghosh, A.K.; Chapsal, B.D.; Weber, I.T.; Mitsuya, H. Design of HIV Protease Inhibitors Targeting Protein Backbone: An Effective Strategy for Combating Drug Resistance. Acc. Chem. Res. 2008, 41, 78–86. [Google Scholar] [CrossRef] [PubMed]
- Ghosh, A.K.; Chapsal, B.; Mitsuya, H. Darunavir, a New PI with Dual Mechanism: From a Novel Drug Design Concept to New Hope against Drug-Resistant HIV. In Aspartic Acid Proteases as Therapeutic Targets; Ghosh, A.K., Ed.; Wiley-VCH: Weinheim, Germany, 2010; pp. 205–243. [Google Scholar]
- Ghosh, A.K.; Xu, C.-X.; Venkateswara Rao, K.; Baldridge, A.; Agniswamy, J.; Wang, Y.-F.; Weber, I.T.; Aoki, M.; Miguel, S.G.P.; Amano, M.; et al. Probing Multidrug-Resistance and Protein–Ligand Interactions with Oxatricyclic Designed Ligands in HIV-1 Protease Inhibitors. ChemMedChem 2010, 5, 1850–1854. [Google Scholar] [CrossRef]
- Ghosh, A.K.; Anderson, D.D.; Weber, I.T.; Mitsuya, H. Enhancing Protein Backbone Binding—A Fruitful Concept for Combating Drug-Resistant HIV. Angew. Chem. Int. Ed. 2012, 51, 1778–1802. [Google Scholar] [CrossRef]
- Zhang, H.; Wang, Y.-F.; Shen, C.-H.; Agniswamy, J.; Venkateswara Rao, K.; Xu, C.-X.; Ghosh, A.K.; Harrison, R.W.; Weber, I.T. Novel P2 Tris-tetrahydrofuran Group in Antiviral Compound 1 (GRL-0519) Fills the S2 Binding Pocket of Selected Mutants of HIV-1 Protease. J. Med. Chem. 2013, 56, 1074–1083. [Google Scholar] [CrossRef] [PubMed]
- Ghosh, A.K.; Dawson, Z.L.; Mitsuya, H. Darunavir, a conceptually new HIV-1 protease inhibitor for the treatment of drug-resistant HIV. Bioorganic Med. Chem. 2007, 15, 7576–7580. [Google Scholar] [CrossRef]
- Qiu, X.; Liu, Z.-P. Recent Developments of Peptidomimetic HIV-1 Protease Inhibitors. Curr. Med. Chem. 2011, 18, 4513–4537. [Google Scholar] [CrossRef]
- Ghosh, A.K.; Anderson, D.D. Tetrahydrofuran, Tetrahydropyran, Triazoles and Related Heterocyclic Derivatives as HIV Protease Inhibitors. Futur. Med. Chem. 2011, 3, 1181–1197. [Google Scholar] [CrossRef]
- Dong, M.; Teng, D.; Cao, G. Advances in the synthesis of (3R,3aS,6aR)-hexahydrofuro-[2,3-b]furan-3-ol, a key ligand of the HIV protease inhibitors. Chem. Heterocycl. Compd. 2024, 60, 315–322. [Google Scholar] [CrossRef]
- Khmelnitsky, Y.L.; Michels, P.C.; Cotterill, I.C.; Eissenstat, M.; Sunku, V.; Veeramaneni, V.R.; Cittineni, H.; Kotha, G.R.; Talasani, S.R.; Ramanathan, K.K.; et al. Biocatalytic Resolution of Bis-tetrahydrofuran Alcohol. Org. Process. Res. Dev. 2010, 15, 279–283. [Google Scholar] [CrossRef]
- Kanemitsu, T.; Inoue, M.; Yoshimura, N.; Yoneyama, K.; Watarai, R.; Miyazaki, M.; Odanaka, Y.; Nagata, K.; Itoh, T. A Concise One-Pot Organo- and Biocatalyzed Preparation of Enantiopure Hexahydrofuro[2,3-b]furan-3-ol: An Approach to the Synthesis of HIV Protease Inhibitors. Eur. J. Org. Chem. 2016, 2016, 1874–1880. [Google Scholar] [CrossRef]
- Sevenich, A.; Liu, G.-Q.; Arduengo, A.J.; Gupton, B.F.; Opatz, T. Asymmetric One-Pot Synthesis of (3R,3aS,6aR)-Hexahydrofuro[2,3-b]furan-3-ol: A Key Component of Current HIV Protease Inhibitors. J. Org. Chem. 2017, 82, 1218–1223. [Google Scholar] [CrossRef] [PubMed]
- Ghosh, A.K.; Belcher, M.R. Lewis Acid-Catalyzed Vinyl Acetal Rearrangement of 4,5-Dihydro-1,3-dioxepines: Stereoselective Synthesis of cis- and trans-2,3-Disubstituted Tetrahydrofurans. J. Org. Chem. 2020, 85, 10399–10412. [Google Scholar] [CrossRef]
- Riehl, P.S.; Lim, J.; Finnigan, J.D.; Charnock, S.J.; Hyster, T.K. An Efficient Synthesis of the Bicyclic Darunavir Side Chain Using Chemoenzymatic Catalysis. Org. Process. Res. Dev. 2022, 26, 2096–2101. [Google Scholar] [CrossRef]
- Gadakh, S.K.; Reddy, R.S.; Sudalai, A. Enantioselective synthesis of HIV protease inhibitor amprenavir via Co-catalyzed HKR of 2-(1-azido-2-phenylethyl)oxirane. Tetrahedron Asymmetry 2012, 23, 898–903. [Google Scholar] [CrossRef]
- More, G.V.; Malekar, P.V.; Kalshetti, R.G.; Shinde, M.H.; Ramana, C.V. Ru-catalyzed asymmetric transfer hydrogenation of α-acyl butyrolactone via dynamic kinetic resolution: Asymmetric synthesis of bis-THF alcohol intermediate of darunavir. Tetrahedron Lett. 2021, 66, 152831. [Google Scholar] [CrossRef]
- Kim, M.; Rhee, Y.H. Catalytic Asymmetric Synthesis of Hexahydro-furofuran-3-ol and Its Pyran Derivatives. Org. Lett. 2021, 23, 3584–3587. [Google Scholar] [CrossRef]
- Hayashi, Y.; Aikawa, T.; Shimasaki, Y.; Okamoto, H.; Tomioka, Y.; Miki, T.; Takeda, M.; Ikemoto, T. Research and Development of an Efficient Synthesis of a Key Building Block for Anti-AIDS Drugs by Diphenylprolinol-Catalyzed Enantio- and Diastereoselective Direct Cross Aldol Reaction. Org. Process. Res. Dev. 2016, 20, 1615–1620. [Google Scholar] [CrossRef]
- Lutete, L.M.; Ikemoto, T. Novel Diarylprolinol-derived Amino Perfluoroalkanesulfonamide Catalysts: Highly Enantio- and Diastereoselective Aldol Reaction. Chem. Lett. 2017, 46, 577–579. [Google Scholar] [CrossRef]
- Kulkarni, M.G.; Shaikh, Y.B.; Borhade, A.S.; Dhondge, A.P.; Chavhan, S.W.; Desai, M.P.; Birhade, D.R.; Dhatrak, N.R.; Gannimani, R. The efficient synthesis of (3R,3aS,6aR)-hexahydrofuro[2,3-b]furan-3-ol and its isomers. Tetrahedron Asymmetry 2010, 21, 2394–2398. [Google Scholar] [CrossRef]
- Ghosh, A.K.; Martyr, C.D.; Steffey, M.; Wang, Y.-F.; Agniswamy, J.; Amano, M.; Weber, I.T.; Mitsuya, H. Design, Synthesis, and X-ray Structure of Substituted Bis-tetrahydrofuran (Bis-THF)-Derived Potent HIV-1 Protease Inhibitors. ACS Med. Chem. Lett. 2011, 2, 298–302. [Google Scholar] [CrossRef]
- Ghosh, A.K.; Markad, S.B.; Robinson, W.L. The Chiron Approach to (3R,3aS,6aR)-Hexahydrofuro[2,3-b]furan-3-ol, a Key Subunit of HIV-1 Protease Inhibitor Drug, Darunavir. J. Org. Chem. 2020, 86, 1216–1222. [Google Scholar] [CrossRef] [PubMed]
- Sridhar, P.R.; Reddy, G.M.; Seshadri, K. Stereoselective Synthesis of cis-Fused Perhydrofuro[2,3-b]furan Derivatives from Sugar-Derived Allyl Vinyl Ethers. Eur. J. Org. Chem. 2012, 2012, 6228–6235. [Google Scholar] [CrossRef]
- Moore, G.L.; Stringham, R.W.; Teager, D.S.; Yue, T.-Y. Practical Synthesis of the Bicyclic Darunavir Side Chain: (3R,3aS,6aR)-Hexahydrofuro[2,3-b]furan-3-ol from Monopotassium Isocitrate. Org. Process. Res. Dev. 2017, 21, 98–106. [Google Scholar] [CrossRef] [PubMed]
- Ghosh, A.K.; Venkateswara Rao, K.; Nyalapatla, P.R.; Osswald, H.L.; Martyr, C.D.; Aoki, M.; Hayashi, H.; Agniswamy, J.; Wang, Y.-F.; Bulut, H.; et al. Design and Development of Highly Potent HIV-1 Protease Inhibitors with a Crown-Like Oxotricyclic Core as the P2-Ligand To Combat Multidrug-Resistant HIV Variants. J. Med. Chem. 2017, 60, 4267–4278. [Google Scholar] [CrossRef]
- Ghosh, A.K.; Venkateswara Rao, K.; Nyalapatla, P.R.; Kovela, S.; Brindisi, M.; Osswald, H.L.; Sekhara Reddy, B.; Agniswamy, J.; Wang, Y.-F.; Aoki, M.; et al. Design of Highly Potent, Dual-Acting and Central-Nervous-System-Penetrating HIV-1 Protease Inhibitors with Excellent Potency against Multidrug-Resistant HIV-1 Variants. Chem. Med. Chem. 2018, 13, 803–815. [Google Scholar] [CrossRef]
- Ghosh, A.K.; Xia, Z.; Kovela, S.; Robinson, W.L.; Johnson, M.E.; Kneller, D.W.; Wang, Y.; Aoki, M.; Takamatsu, Y.; Weber, I.T.; et al. Potent HIV-1 Protease Inhibitors Containing Carboxylic and Boronic Acids: Effect on Enzyme Inhibition and Antiviral Activity and Protein-Ligand X-ray Structural Studies. Chem. Med. Chem. 2019, 14, 1863–1872. [Google Scholar] [CrossRef]
- Ghosh, A.K.; Grillo, A.; Kovela, S.; Brindisi, M. Asymmetric Diels–Alder reaction of 3-(acyloxy)acryloyl oxazolidinones: Optically active synthesis of a high-affinity ligand for potent HIV-1 protease inhibitors. RSC Adv. 2019, 9, 41755–41763. [Google Scholar] [CrossRef]
- Ghosh, A.K.; Kovela, S.; Osswald, H.L.; Amano, M.; Aoki, M.; Agniswamy, J.; Wang, Y.-F.; Weber, I.T.; Mitsuya, H. Structure-Based Design of Highly Potent HIV-1 Protease Inhibitors Containing New Tricyclic Ring P2-Ligands: Design, Synthesis, Biological, and X-ray Structural Studies. J. Med. Chem. 2020, 63, 4867–4879. [Google Scholar] [CrossRef]
- Ghosh, A.K.; Sharma, A.; Ghazi, S. An enzymatic route to the synthesis of tricyclic fused hexahydrofuranofuran P2-Ligand for a series of highly potent HIV-1 protease inhibitors. Tetrahedron Lett. 2024, 140, 155013. [Google Scholar] [CrossRef] [PubMed]
- Ghosh, A.K.; Chapsal, B.D.; Baldridge, A.; Steffey, M.P.; Walters, D.E.; Koh, Y.; Amano, M.; Mitsuya, H. Design and Synthesis of Potent HIV-1 Protease Inhibitors Incorporating Hexahydrofuropyranol-Derived High Affinity P2 Ligands: Structure−Activity Studies and Biological Evaluation. J. Med. Chem. 2010, 54, 622–634. [Google Scholar] [CrossRef] [PubMed]
- Ghosh, A.K.; Sarkar, A. An enantioselective enzymatic desymmetrization route to hexahydro-4H-furopyranol, a high-affinity ligand for HIV-1 protease inhibitors. Tetrahedron Lett. 2017, 58, 3230–3233. [Google Scholar] [CrossRef]
- Ghosh, A.K.; Chapsal, B.D.; Parham, G.L.; Steffey, M.; Agniswamy, J.; Wang, Y.-F.; Amano, M.; Weber, I.T.; Mitsuya, H. Design of HIV-1 Protease Inhibitors with C3-Substituted Hexahydrocyclopentafuranyl Urethanes as P2-Ligands: Synthesis, Biological Evaluation, and Protein–Ligand X-ray Crystal Structure. J. Med. Chem. 2011, 54, 5890–5901. [Google Scholar] [CrossRef] [PubMed]
- Amano, M.; Tojo, Y.; Salcedo-Gómez, P.M.; Campbell, J.R.; Das, D.; Aoki, M.; Xu, C.-X.; Rao, K.V.; Ghosh, A.K.; Mitsuya, H. GRL-0519, a Novel Oxatricyclic Ligand-Containing Nonpeptidic HIV-1 Protease Inhibitor (PI), Potently Suppresses Replication of a Wide Spectrum of Multi-PI-Resistant HIV-1 Variants. In Vitro Antimicrob. Agents Chemother. 2013, 57, 2036–2046. [Google Scholar] [CrossRef]
- Ghosh, A.K.; Yashchuk, S.; Mizuno, A.; Chakraborty, N.; Agniswamy, J.; Wang, Y.; Aoki, M.; Gomez, P.M.S.; Amano, M.; Weber, I.T.; et al. Design of gem-Difluoro-bis-Tetrahydrofuran as P2 Ligand for HIV-1 Protease Inhibitors to Improve Brain Penetration: Synthesis, X-ray Studies, and Biological Evaluation. Chem. Med. Chem. 2014, 10, 107–115. [Google Scholar] [CrossRef]
- Ghosh, A.K.; Parham, G.L.; Martyr, C.D.; Nyalapatla, P.R.; Osswald, H.L.; Agniswamy, J.; Wang, Y.-F.; Amano, M.; Weber, I.T.; Mitsuya, H. Highly Potent HIV-1 Protease Inhibitors with Novel Tricyclic P2 Ligands: Design, Synthesis, and Protein–Ligand X-ray Studies. J. Med. Chem. 2013, 56, 6792–6802. [Google Scholar] [CrossRef]
- Qiu, X.; Zhao, G.-D.; Tang, L.-Q.; Liu, Z.-P. Design and synthesis of highly potent HIV-1 protease inhibitors with novel isosorbide-derived P2 ligands. Bioorganic Med. Chem. Lett. 2014, 24, 2465–2468. [Google Scholar] [CrossRef]
- Athawale, P.R.; Kumari, N.; Dandawate, M.R.; Kashinath, K.; Reddy, D.S. Synthesis of Chiral Tetrahydrofuran Building Blocks from Pantolactones: Application in the Synthesis of Empagliflozin and Amprenavir Analogs. Eur. J. Org. Chem. 2019, 2019, 4805–4810. [Google Scholar] [CrossRef]
- Yajima, A.; Urao, S.; Katsuta, R.; Nukada, T. Concise Syntheses and Biological Activities of Ganomycin I and Fornicin A. Eur. J. Org. Chem. 2013, 2014, 731–738. [Google Scholar] [CrossRef]
- Ghosh, A.K.; Schiltz, G.E.; Rusere, L.N.; Osswald, H.L.; Walters, D.E.; Amano, M.; Mitsuya, H. Design and synthesis of potent macrocyclic HIV-1 protease inhibitors involving P1–P2 ligands. Org. Biomol. Chem. 2014, 12, 6842–6854. [Google Scholar] [CrossRef] [PubMed]
- Frain, D.; Kirby, F.; McArdle, P.; O’Leary, P. Preparation and Structure of Novel Chiral 4,6-Disubstituted Tetrahydropyrimidinones. Org. Chem. Int. 2012, 2012, 1–5. [Google Scholar] [CrossRef]
- Lotha, T.N.; Richa, K.; Sorhie, V.; Ketiyala; Nakro, V.; Imkongyanger; Ritse, V.; Rudithongru, L.; Namsa, N.D.; Jamir, L. Environmentally benign synthesis of unsymmetrical ureas and their evaluation as potential HIV-1 protease inhibitors via a computational approach. Mol. Divers. 2023, 28, 749–763. [Google Scholar] [CrossRef]
- Jadhav, R.L.; Magdum, C.S. Synthesis and biological evaluation of bis-allylidene-4-piperidones analogues. Org. Chem. Ind. J. 2013, 9, 121–126. [Google Scholar]
- Eissenstat, M.; Guerassina, T.; Gulnik, S.; Afonina, E.; Silva, A.M.; Ludtke, D.; Yokoe, H.; Yu, B.; Erickson, J. Enamino-oxindole HIV protease inhibitors. Bioorganic Med. Chem. Lett. 2012, 22, 5078–5083. [Google Scholar] [CrossRef]
- Schimer, J.; Cígler, P.; Veselý, J.; Šašková, K.G.; Lepšík, M.; Brynda, J.; Řezáčová, P.; Kožíšek, M.; Císařová, I.; Oberwinkler, H.; et al. Structure-Aided Design of Novel Inhibitors of HIV Protease Based on a Benzodiazepine Scaffold. J. Med. Chem. 2012, 55, 10130–10135. [Google Scholar] [CrossRef]
- Chauhan, J.; Chen, S.-E.; Fenstermacher, K.J.; Naser-Tavakolian, A.; Reingewertz, T.; Salmo, R.; Lee, C.; Williams, E.; Raje, M.; Sundberg, E.; et al. Synthetic, structural mimetics of the β-hairpin flap of HIV-1 protease inhibit enzyme function. Bioorganic Med. Chem. 2015, 23, 7095–7109. [Google Scholar] [CrossRef]
- Mohammadi, A.A.; Taheri, S.; Amouzegar, A.; Ahdenov, R.; Halvagar, M.R.; Sadr, A.S. Diastereoselective synthesis and molecular docking studies of novel fused tetrahydropyridine derivatives as new inhibitors of HIV protease. J. Mol. Struct. 2017, 1139, 166–174. [Google Scholar] [CrossRef]
- Zhu, M.; Zhou, H.; Ma, L.; Dong, B.; Zhou, J.; Zhang, G.; Wang, M.; Wang, J.; Cen, S.; Wang, Y. Design and evaluation of novel piperidine HIV-1 protease inhibitors with potency against DRV-resistant variants. Eur. J. Med. Chem. 2021, 220, 113450. [Google Scholar] [CrossRef] [PubMed]
- Kusumoto, Y.; Hayashi, K.; Sato, S.; Yamada, T.; Kozono, I.; Nakata, Z.; Asada, N.; Mitsuki, S.; Watanabe, A.; Wakasa-Morimoto, C.; et al. Highly Potent and Oral Macrocyclic Peptides as a HIV-1 Protease Inhibitor: mRNA Display-Derived Hit-to-Lead Optimization. ACS Med. Chem. Lett. 2022, 13, 1634–1641. [Google Scholar] [CrossRef] [PubMed]
- Nie, Y.; Li, J.; Yuan, Q.; Zhang, W. Synthesis of Chiral Hydantoins and Thiazolidinediones via Iridium-Catalyzed Asymmetric Hydrogenation. Chin. J. Chem. 2022, 40, 819–824. [Google Scholar] [CrossRef]
- Salituro, F.G.; Baker, C.T.; Court, J.J.; Deininger, D.D.; Kim, E.E.; Li, B.; Novak, P.M.; Rao, B.G.; Pazhanisamy, S.; Porter, M.D.; et al. Design and synthesis of novel conformationally restricted HIV protease inhibitors. Bioorganic Med. Chem. Lett. 1998, 8, 3637–3642. [Google Scholar] [CrossRef]
- Cai, Z.R.; Cho, A.; Buenrostro, A.Z.G.; Han, X.; Jabri, S.Y.; McFadden, R.; Qi, Y.; Voigt, J.; Yang, H.; Xu, J.; et al. Preparation of 1-Benzyl-2-imino-4-phenyl-5-oxoimidazolidine Derivatives as HIV Protease Inhibitors. WO2019075291, 18 April 2019. [Google Scholar]
- Ischay, M.A.; Hoang, B.; Steinhuebel, D.P.; Chin, M.R.; Dixon, D.D.; Elfgren, D.; Heumann, L.; Lew, W.; Mundal, D.A.; Neville, S.T.; et al. Process Development and Scale-Up of a Protease Inhibitor for the Treatment of HIV Featuring the Preparation of a Neopentyl Grignard Reagent and Development of a One-Pot Curtius Reaction. Org. Process Res. Dev. 2022, 26, 2694–2706. [Google Scholar] [CrossRef]
- Ji, P.; Chen, J.; Meng, X.; Gao, F.; Dong, Y.; Xu, H.; Wang, W. Design of Photoredox-Catalyzed Giese-Type Reaction for the Synthesis of Chiral Quaternary α-Aryl Amino Acid Derivatives via Clayden Rearrangement. J. Org. Chem. 2022, 87, 14706–14714. [Google Scholar] [CrossRef]
- Mimoto, T.; Terashima, K.; Nojima, S.; Takaku, H.; Nakayama, M.; Shintani, M.; Yamaoka, T.; Hayashi, H. Structure–activity and structure–metabolism relationships of HIV protease inhibitors containing the 3-hydroxy-2-methylbenzoyl-allophenylnorstatine structure. Bioorganic Med. Chem. 2004, 12, 281–293. [Google Scholar] [CrossRef]
- Ghosh, A.K.; Gemma, S.; Simoni, E.; Baldridge, A.; Walters, D.E.; Ide, K.; Tojo, Y.; Koh, Y.; Amano, M.; Mitsuya, H. Synthesis and biological evaluation of novel allophenylnorstatine-based HIV-1 protease inhibitors incorporating high affinity P2-ligands. Bioorganic Med. Chem. Lett. 2010, 20, 1241–1246. [Google Scholar] [CrossRef][Green Version]
- Ikunaka, M.; Matsumoto, J.; Nishimoto, Y. A concise synthesis of (2S,3S)-BocAHPBA and (R)-BocDMTA, chiral building blocks for peptide-mimetic HIV protease inhibitors. Tetrahedron Asymmetry 2002, 13, 1201–1208. [Google Scholar] [CrossRef]
- Calugi, C.; Guarna, A.; Trabocchi, A. Identification of constrained peptidomimetic chemotypes as HIV protease inhibitors. Eur. J. Med. Chem. 2014, 84, 444–453. [Google Scholar] [CrossRef]
- Bungard, C.J.; Williams, P.D.; Ballard, J.E.; Bennett, D.J.; Beaulieu, C.; Bahnck-Teets, C.; Carroll, S.S.; Chang, R.K.; Dubost, D.C.; Fay, J.F.; et al. Discovery of MK-8718, an HIV Protease Inhibitor Containing a Novel Morpholine Aspartate Binding Group. ACS Med. Chem. Lett. 2016, 7, 702–707. [Google Scholar] [CrossRef] [PubMed]
- Zhu, M.; Dou, Y.; Ma, L.; Dong, B.; Zhang, F.; Zhang, G.; Wang, J.; Zhou, J.; Cen, S.; Wang, Y. Novel HIV-1 Protease Inhibitors with Morpholine as the P2 Ligand to Enhance Activity against DRV-Resistant Variants. ACS Med. Chem. Lett. 2020, 11, 1196–1204. [Google Scholar] [CrossRef]
- Tukulula, M.; Klein, R.; Kaye, P.T. Indolizine Studies, Part 5: Indolizine-2-carboxamides as Potential HIV-1 Protease Inhibitors[1]. Synth. Commun. 2010, 40, 2018–2028. [Google Scholar] [CrossRef]
- DeGoey, D.A.; Grampovnik, D.J.; Chen, H.-J.; Flosi, W.J.; Klein, L.L.; Dekhtyar, T.; Stoll, V.; Mamo, M.; Molla, A.; Kempf, D.J. P1-Substituted Symmetry-Based Human Immunodeficiency Virus Protease Inhibitors with Potent Antiviral Activity against Drug-Resistant Viruses. J. Med. Chem. 2011, 54, 7094–7104. [Google Scholar] [CrossRef]
- Makatini, M.M.; Petzold, K.; Arvidsson, P.I.; Honarparvar, B.; Govender, T.; Maguire, G.E.; Parboosing, R.; Sayed, Y.; Soliman, M.E.; Kruger, H.G. Synthesis, screening and computational investigation of pentacycloundecane-peptoids as potent CSA-HIV PR inhibitors. Eur. J. Med. Chem. 2012, 57, 459–467. [Google Scholar] [CrossRef]
- Kesteleyn, B.; Amssoms, K.; Schepens, W.; Hache, G.; Verschueren, W.; Van De Vreken, W.; Rombauts, K.; Meurs, G.; Sterkens, P.; Stoops, B.; et al. Design and synthesis of HIV-1 protease inhibitors for a long-acting injectable drug application. Bioorganic Med. Chem. Lett. 2013, 23, 310–317. [Google Scholar] [CrossRef]
- Dalla-Vechia, L.; Reichart, B.; Glasnov, T.; Miranda, L.S.M.; Kappe, C.O.; de Souza, R.O.M.A. A three step continuous flow synthesis of the biaryl unit of the HIV protease inhibitorAtazanavir. Org. Biomol. Chem. 2013, 11, 6806–6813. [Google Scholar] [CrossRef] [PubMed]
- de Almeida, A.M.; Andersen, T.L.; Lindhardt, A.T.; de Almeida, M.V.; Skrydstrup, T. General Method for the Preparation of Active Esters by Palladium-Catalyzed Alkoxycarbonylation of Aryl Bromides. J. Org. Chem. 2015, 80, 1920–1928. [Google Scholar] [CrossRef]
- Hu, S.; Chen, J.; Cao, J.-X.; Zhang, S.-S.; Gu, S.-X.; Chen, F.-E. Quinolines and isoquinolines as HIV-1 inhibitors: Chemical structures, action targets, and biological activities. Bioorganic Chem. 2023, 136, 106549. [Google Scholar] [CrossRef]
- Gopi, P.; Lokesh, R.; Sarveswari, S. Synthesis of Quinoline Motif and Their Virtual HIV Protease Inhibition Analysis, Anti-Proliferative Probing on HCT116 Cell Line. Chem. Sel. 2019, 4, 7627–7633. [Google Scholar] [CrossRef]
- Zhu, M.; Ma, L.; Zhou, H.; Dong, B.; Wang, Y.; Wang, Z.; Zhou, J.; Zhang, G.; Wang, J.; Liang, C.; et al. Preliminary SAR and biological evaluation of potent HIV-1 protease inhibitors with pyrimidine bases as novel P2 ligands to enhance activity against DRV-resistant HIV-1 variants. Eur. J. Med. Chem. 2020, 185, 111866. [Google Scholar] [CrossRef]
- Vijayalakshmi, C.; Prasad, M.G.; Katari, N.K.; Reddy, P.N. A Scalable Synthesis of Biaryl Unit of the HIV Protease Inhibitor Atazanavir. Lett. Org. Chem. 2019, 17, 68–72. [Google Scholar] [CrossRef]
- Zheng, L.; Pan, B.; Tang, T.; Xu, H.; Hu, W.; Zhang, Y.; Wei, X.; Liu, X.; Wu, Q.; Shi, Y.; et al. Synthesis and evaluation of nitrogen-containing derivatives of 3,11-dioxo-olean-12-en-30-oic acid against HIV-1 protease. Nat. Prod. Res. 2024, 39, 3735–3744. [Google Scholar] [CrossRef]
- Chen, H.; Zhao, Y.; Cao, L. Synthesis and Bioactivity of N-glycosyl-N′-(4-arylthiazol-2-yl) Aminoguanidines. J. Chin. Chem. Soc. 2010, 57, 1085–1090. [Google Scholar] [CrossRef]
- Jonckers, T.H.; Rouan, M.-C.; Haché, G.; Schepens, W.; Hallenberger, S.; Baumeister, J.; Sasaki, J.C. Benzoxazole and benzothiazole amides as novel pharmacokinetic enhancers of HIV protease inhibitors. Bioorganic Med. Chem. Lett. 2012, 22, 4998–5002. [Google Scholar] [CrossRef]
- Houpis, I.N.; Liu, R.; Liu, L.; Wang, Y.; Dong, N.; Zhao, X.; Zhang, Y.; Xiao, T.; Wang, Y.; Depre, D.; et al. Synthesis of a Long Acting HIV Protease Inhibitor via Metal or Enzymatic Reduction of the Appropriate Chloro Ketone and Selective Zinc Enolate Condensation with an Amino Epoxide. Adv. Synth. Catal. 2013, 355, 1829–1839. [Google Scholar] [CrossRef]
- Ghosh, A.K.; Takayama, J.; Kassekert, L.A.; Ella-Menye, J.-R.; Yashchuk, S.; Agniswamy, J.; Wang, Y.-F.; Aoki, M.; Amano, M.; Weber, I.T.; et al. Structure-based design, synthesis, X-ray studies, and biological evaluation of novel HIV-1 protease inhibitors containing isophthalamide-derived P2-ligands. Bioorganic Med. Chem. Lett. 2015, 25, 4903–4909. [Google Scholar] [CrossRef] [PubMed]
- Bulut, H.; Hattori, S.-I.; Aoki-Ogata, H.; Hayashi, H.; Das, D.; Aoki, M.; Davis, D.A.; Rao, K.V.; Nyalapatla, P.R.; Ghosh, A.K.; et al. Single atom changes in newly synthesized HIV protease inhibitors reveal structural basis for extreme affinity, high genetic barrier, and adaptation to the HIV protease plasticity. Sci. Rep. 2020, 10, 10664. [Google Scholar] [CrossRef]
- Koebel, M.R.; Cooper, A.; Schmadeke, G.; Jeon, S.; Narayan, M.; Sirimulla, S. S···O and S···N Sulfur Bonding Interactions in Protein–Ligand Complexes: Empirical Considerations and Scoring Function. J. Chem. Inf. Model. 2016, 56, 2298–2309. [Google Scholar] [CrossRef] [PubMed]
- Mishevich, J.L.; Kovela, S.; Shaktah, R.; Ghosh, A.K.; Johnson, M.; Wang, Y.-F.; Wong-Sam, A.; Agniswamy, J.; Amano, M.; Takamatsu, Y.; et al. Exploration of imatinib and nilotinib-derived templates as the P2-Ligand for HIV-1 protease inhibitors: Design, synthesis, protein X-ray structural studies, and biological evaluation. Eur. J. Med. Chem. 2023, 255, 115385. [Google Scholar] [CrossRef]
- Bonini, C.; Chiummiento, L.; De Bonis, M.; Di Blasio, N.; Funicello, M.; Lupattelli, P.; Pandolfo, R.; Tramutola, F.; Berti, F. Synthesis of New Thienyl Ring Containing HIV-1 Protease Inhibitors: Promising Preliminary Pharmacological Evaluation against Recombinant HIV-1 Proteases. J. Med. Chem. 2010, 53, 1451–1457. [Google Scholar] [CrossRef]
- Chiummiento, L.; Funicello, M.; Lupattelli, P.; Tramutola, F.; Berti, F.; Marino-Merlo, F. Synthesis and biological evaluation of novel small non-peptidic HIV-1 PIs: The benzothiophene ring as an effective moiety. Bioorganic Med. Chem. Lett. 2012, 22, 2948–2950. [Google Scholar] [CrossRef]
- Chiummiento, L.; Funicello, M.; Lupattelli, P.; Tramutola, F. Ligand-Free Suzuki Coupling of Arylboronic Acids with Methyl (E)-4-Bromobut-2-enoate: Synthesis of Unconventional Cores of HIV-1 Protease Inhibitors. Org. Lett. 2012, 14, 3928–3931. [Google Scholar] [CrossRef]
- Funicello, M.; Chiummiento, L.; Lupattelli, P.; Tramutola, F. Nickel-Catalyzed C-Br/C-H Bis-phenylation of Methyl 4-Bromocrotonate: A Stereoselective Entry to Methyl (E)-3,4-Diphenylbut-2-enoate. Synth. Commun. 2015, 45, 1799–1806. [Google Scholar] [CrossRef]
- Cerminara, I.; Chiummiento, L.; Funicello, M.; Guarnaccio, A.; Lupattelli, P. Heterocycles in Peptidomimetics and Pseudopeptides: Design and Synthesis. Pharmaceuticals 2012, 5, 297–316. [Google Scholar] [CrossRef] [PubMed]
- Bonini, C.; Chiummiento, L.; Di Blasio, N.; Funicello, M.; Lupattelli, P.; Tramutola, F.; Berti, F.; Ostric, A.; Miertus, S.; Frecer, V.; et al. Synthesis and biological evaluation of new simple indolic non peptidic HIV Protease inhibitors: The effect of different substitution patterns. Bioorganic Med. Chem. 2014, 22, 4792–4802. [Google Scholar] [CrossRef]
- Funicello, M.; Chiummiento, L.; Tramutola, F.; Armentano, M.; Bisaccia, F.; Miglionico, R.; Milella, L.; Benedetti, F.; Berti, F.; Lupattelli, P. Synthesis and biological evaluation in vitro and in mammalian cells of new heteroaryl carboxyamides as HIV-protease inhibitors. Bioorganic Med. Chem. 2017, 25, 4715–4722. [Google Scholar] [CrossRef]
- Tramutola, F.; Armentano, M.F.; Berti, F.; Chiummiento, L.; Lupattelli, P.; D’ORsi, R.; Miglionico, R.; Milella, L.; Bisaccia, F.; Funicello, M. New heteroaryl carbamates: Synthesis and biological screening in vitro and in mammalian cells of wild-type and mutant HIV-protease inhibitors. Bioorganic Med. Chem. 2019, 27, 1863–1870. [Google Scholar] [CrossRef] [PubMed]
- Caddeo, C.; Miglionico, R.; Rinaldi, R.; Nigro, I.; Lamorte, D.; Chiummiento, L.; Lupattelli, P.; Funicello, M.; D’orsi, R.; Valenti, D.; et al. PEGylated Liposomes Loaded with Carbamate Inhibitor ANP0903 Trigger Apoptosis by Enhancing ER Stress in HepG2 Cancer Cells. Int. J. Mol. Sci. 2023, 24, 4552. [Google Scholar] [CrossRef] [PubMed]
- D’orsi, R.; Funicello, M.; Laurita, T.; Lupattelli, P.; Berti, F.; Chiummiento, L. The Pseudo-Symmetric N-benzyl Hydroxyethylamine Core in a New Series of Heteroarylcarboxyamide HIV-1 Pr Inhibitors: Synthesis, Molecular Modeling and Biological Evaluation. Biomolecules 2021, 11, 1584. [Google Scholar] [CrossRef] [PubMed]
- Armentano, M.F.; Lupattelli, P.; Bisaccia, F.; D’Orsi, R.; Miglionico, R.; Nigro, I.; Santarsiere, A.; Berti, F.; Funicello, M.; Chiummiento, L. Novel wild type and mutate HIV-1 protease inhibitors containing heteroaryl carboxamides in P2: Synthesis, biological evaluations and in silico ADME prediction. Results Chem. 2023, 6, 101165. [Google Scholar] [CrossRef]
Disclaimer/Publisher’s Note: The statements, opinions and data contained in all publications are solely those of the individual author(s) and contributor(s) and not of MDPI and/or the editor(s). MDPI and/or the editor(s) disclaim responsibility for any injury to people or property resulting from any ideas, methods, instructions or products referred to in the content. |
© 2025 by the authors. Licensee MDPI, Basel, Switzerland. This article is an open access article distributed under the terms and conditions of the Creative Commons Attribution (CC BY) license (https://creativecommons.org/licenses/by/4.0/).


































