2-Styrylquinolines with Push-Pull Architectures as Sensors for β-Amyloid Aggregation with Theranostic Properties
Abstract
1. Introduction
2. Results and Discussion
2.1. Synthesis of Compounds 6
2.2. Spectral Properties of Compounds 6
2.2.1. Spectrophotometric UV-Vis Absorption Properties and Proton Transfer Reactions
2.2.2. Influence of Solvent Polarity and Acid-Base Equilibria on Fluorescence Emission
2.3. Sensing of β-Amyloid Protein Fibrils
2.4. Ex Vivo Staining Experiments on β-Amyloid Plates
2.5. Pharmacological Experimental Protocols
2.5.1. Effect of Compounds 6 on Cell Viability
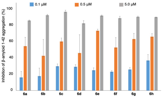
2.5.2. Experimental Protocol for Aβ1–42 Aggregation Inhibition
2.5.3. Experimental Protocol for AcPHF6 Aggregation Inhibition
2.5.4. Neuroprotective Effect of Compounds 6 in a Model of Neurotoxicity Induced by Okadaic Acid
3. Materials and Methods
3.1. General Experimental Information
3.2. Synthesis
3.2.1. (2-Methylquinolin-6-yl)methanol (3)
3.2.2. 2-Methylquinoline-6-carbaldehyde (4)
3.2.3. 2-((2 Methylquinolin-6-yl)methylene)malononitrile (5)
3.2.4. General Method for the Synthesis of Styrylquinolines 6
3.3. Preparation of Amyloid β Fibrils from Human Aβ1–42 Peptide
3.4. Spectrophotometric and Spectrofluorimetric Study of Sensors
3.4.1. General Procedure
3.4.2. Influence of Solvent Polarity and pH on Native Fluorescence of Sensors
3.4.3. Interaction of Compounds 6 with β-Amyloid Fibrils
3.5. Ex-Vivo Staining Experiments
3.6. Pharmacological Characterization
3.6.1. Stock Preparation of Aβ1–42 Peptide
3.6.2. Aβ1–42 Aggregation Inhibition
3.6.3. Stock Preparation of AcPHF6 Peptide
3.6.4. AcPHF6 Aggregation Inhibition
3.6.5. Cell Line Model
3.6.6. Cell Viability
3.6.7. Determination of Caspase-3 Activity on Cells Treated with Okadaic Acid
4. Conclusions
Supplementary Materials
Author Contributions
Funding
Institutional Review Board Statement
Informed Consent Statement
Data Availability Statement
Conflicts of Interest
Abbreviations
| AD | Alzheimer’s disease |
| ALS | Amyotrophic lateral sclerosis |
| APP/PS1 | Amyloid precursor protein/presenilin 1 transgenic mice |
| BCA | Bicinchoninic acid |
| CDK5 | Cyclin-dependent kinase 5 |
| CERAD | Consortium to establish a registry for Alzheimer’s disease |
| CHAPS | 3-[(3-Cholamidopropyl)dimethylammonio]-1-propanesulfonate |
| DIBAL | Di-isobutyl aluminum hydride |
| DMEM | Dulbecco’s modified Eagle medium |
| DTT | Dithiothreitol |
| EDTA | Ethylenediaminotetraacetic acid |
| EGTA | Ethylene glycol-bis(β-aminoethyl ether)-N,N,N′,N′-tetraacetic acid tetrasodium salt |
| FMT | Fluorescent molecular tomography |
| FMT-CT | Fluorescent molecular tomography/computed tomography |
| GSK3β | Glycogen synthase kinase 3β |
| HEK293-Tau3R | Human embryonic kidney 293, containing 3 microtubule binding repeats |
| HEPES | 4-(2-Hydroxyethyl)-1-piperazineethanesulfonic acid |
| ICT | Intramolecular charge transfer |
| MTT | 3-(4,5-Dimethylthiazol-2-yl)-2,5-diphenyltetrazolium bromide |
| NIR | Near-infrared |
| OK | Okadaic acid |
| PB | Phosphate buffer |
| PKA | Protein kinase A |
| PMD | Protein misfolding diseases |
| PMSF | Phenylmethylsulfonyl fluoride |
| PP2A | Protein phosphatase 2A |
| SEM | Standard error of the mean |
| SPECT | Single-photon emission computed tomography |
| THF | Tetrahydrofuran |
| ThS | Thioflavin S |
| ThT | Thioflavin T |
| UV-Vis | Ultraviolet-visible |
References
- Wang, S.; Jiang, Y.; Yang, A.; Meng, F.; Zhang, J. The expanding burden of neurodegenerative diseases: An unmet medical and social need. Aging Dis. 2025, 16, 2937–2952. [Google Scholar] [CrossRef]
- Hao, M.; Chen, J. Trend analysis and future predictions of global burden of Alzheimer’s disease and other dementias: A study based on the global burden of disease database from 1990 to 2021. BMC Med. 2025, 23, 378. [Google Scholar] [CrossRef] [PubMed]
- Nandi, A.; Counts, N.; Chen, S.; Seligman, B.; Tortorice, D.; Vigo, D.; Bloom, D.E. Global and regional projections of the economic burden of Alzheimer’s disease and related dementias from 2019 to 2050: A value of statistical life approach. eClinicalMedicine 2022, 51, 101580. [Google Scholar] [CrossRef] [PubMed]
- Luo, Y.; Qiao, L.; Li, M.; Wen, X.; Zhang, W.; Li, X. Global, regional, national epidemiology and trends of Parkinson’s disease from 1990 to 2021: Findings from the Global Burden of Disease Study 2021. Front. Aging Neurosci. 2025, 16, 1498756. [Google Scholar] [CrossRef] [PubMed]
- Su, D.; Cui, Y.; He, C.; Yin, P.; Bai, R.; Zhu, J.; Lam, J.S.T.; Zhang, J.; Yan, R.; Zheng, X.; et al. Projections for prevalence of Parkinson’s disease and its driving factors in 195 countries and territories to 2050: Modelling study of Global Burden of Disease Study 2021. BMJ 2025, 388, e080952. [Google Scholar] [CrossRef]
- Klug, G.M.; Wand, H.; Simpson, M.; Boyd, A.; Law, M.; Masters, C.L.; Matěj, R.; Howley, R.; Farrell, M.; Breithaupt, M.; et al. Intensity of human prion disease surveillance predicts observed disease incidence. J. Neurol. Neurosurg. Psychiatry 2013, 84, 1372–1377. [Google Scholar] [CrossRef]
- Bertran-Recasens, B.; Vidal-Notari, S.; Hernández Guillamet, G.; López Seguí, F.; Vidal-Alaball, J.; Jiménez-Balado, J.; Rubio, M.A. Epidemiology of amyotrophic lateral sclerosis: A population-based analysis, 2015–2020. Amyotroph. Lateral Scler. Front. Degener. 2025, 26, 1–10. [Google Scholar] [CrossRef]
- Cianci, V.; Cianci, A.; Sapienza, D.; Cracò, A.; Germanà, A.; Ieni, A.; Gualniera, P.; Asmundo, A.; Mondello, C. Epidemiological changes in transthyretin cardiac amyloidosis: Evidence from in vivo data and autoptic series. J. Clin. Med. 2024, 13, 5140. [Google Scholar] [CrossRef]
- Fereshtehnejad, S.-M.; Lökk, J. Healthcare complexities in neurodegenerative proteinopathies: A narrative review. Healthcare 2025, 13, 1873. [Google Scholar] [CrossRef]
- Basha, S.; Mukunda, D.C.; Rodrigues, J.; Gail D’Souza, M.; Gangadharan, G.; Pai, A.R.; Mahato, K.K. A comprehensive review of protein misfolding disorders, underlying mechanism, clinical diagnosis, and therapeutic strategies. Ageing Res. Rev. 2023, 90, 102017. [Google Scholar] [CrossRef]
- Vaquer-Alicea, J.; Diamond, M.I. Propagation of protein aggregation in neurodegenerative diseases. Annu. Rev. Biochem. 2019, 88, 785–810. [Google Scholar] [CrossRef]
- Khan, A.N.; Khan, R.H. Protein misfolding and related human diseases: A comprehensive review of toxicity, proteins involved, and current therapeutic strategies. Int. J. Biol. Macromol. 2022, 223, 143–160. [Google Scholar] [CrossRef] [PubMed]
- Chen, Y.; Liu, Q.; Yang, F.; Yu, H.; Xie, Y.; Yao, W. Lysozyme amyloid fibril: Regulation, application, hazard analysis, and future perspectives. Int. J. Biol. Macromol. 2022, 200, 151–161. [Google Scholar] [CrossRef] [PubMed]
- Das, M.; Gursky, O. Amyloid-forming properties of human apolipoproteins: Sequence analyses and structural insights. Adv. Exp. Med. Biol. 2015, 855, 175–211. [Google Scholar] [PubMed]
- Bhowmick, D.C.; Kudaibergenova, Z.; Burnett, L.; Jeremic, A.M. Molecular mechanisms of amylin turnover, misfolding and toxicity in the pancreas. Molecules 2022, 27, 1021. [Google Scholar] [CrossRef]
- Wang, L.; Hall, C.E.; Uchikawa, E.; Chen, D.; Choi, E.; Zhang, X.; Bai, X.-C. Structural basis of insulin fibrillation. Sci. Adv. 2023, 9, eadi1057. [Google Scholar] [CrossRef]
- Rajan, R.; Ahmed, S.; Sharma, N.; Kumar, N.; Debas, A.; Matsumura, K. Review of the current state of protein aggregation inhibition from a materials chemistry perspective: Special focus on polymeric materials. Mater. Adv. 2021, 2, 1139–1176. [Google Scholar] [CrossRef]
- Aliyan, A.; Cook, N.P.; Martí, A.A. Interrogating amyloid aggregates using fluorescent probes. Chem. Rev. 2019, 119, 11819–11856. [Google Scholar] [CrossRef]
- Giorgetti, S.; Greco, C.; Tortorella, P.; Aprile, F.A. Targeting amyloid aggregation: An overview of strategies and mechanisms. Int. J. Mol. Sci. 2018, 19, 2677. [Google Scholar] [CrossRef]
- Eisele, Y.S.; Monteiro, C.; Fearns, C.; Encalada, S.E.; Wiseman, R.L.; Powers, E.T.; Kelly, J.W. Targeting protein aggregation for the treatment of degenerative diseases. Nat. Rev. Drug Discov. 2015, 14, 759–780. [Google Scholar] [CrossRef]
- Zhang, X.; Wang, J.; Zhang, Z.; Ye, K. Tau in neurodegenerative diseases: Molecular mechanisms, biomarkers, and therapeutic strategies. Transl. Neurodegener. 2024, 13, 40. [Google Scholar] [CrossRef] [PubMed]
- Iqbal, K.; Liu, F.; Gong, C.X. Tau and neurodegenerative disease: The story so far. Nat. Rev. Neurol. 2016, 12, 15–27. [Google Scholar] [CrossRef] [PubMed]
- Jack, C.R.; Knopman, D.S.; Jagust, W.J.; Petersen, R.C.; Weiner, M.W.; Aisen, P.S.; Shaw, L.M.; Vemuri, P.; Wiste, H.J.; Weigand, S.D.; et al. Tracking pathophysiological processes in Alzheimer’s disease: An updated hypothetical model of dynamic biomarkers. Lancet Neurol. 2013, 12, 207–216. [Google Scholar] [CrossRef] [PubMed]
- Buchhave, P.; Minthon, L.; Zetterberg, H.; Wallin, Å.K.; Blennow, K.; Hansson, O. Cerebrospinal fluid levels of β-amyloid 1–42, but not of tau, are fully changed already 5 to 10 years before the onset of Alzheimer dementia. JAMA Psychiatry 2012, 69, 98–106. [Google Scholar] [CrossRef]
- Pawlowski, M.; Meuth, S.G.; Duning, T. Cerebrospinal fluid biomarkers in Alzheimer’s disease—From brain metabolism to clinical application. Diagnostics 2017, 7, 42. [Google Scholar] [CrossRef]
- Luo, Z.; Xu, H.; Liu, L.; Ohulchanskyy, T.Y.; Qu, J. Optical imaging of beta-amyloid plaques in Alzheimer’s disease. Biosensors 2021, 11, 255. [Google Scholar] [CrossRef]
- Gao, M.; Tang, B.Z. Fluorescent sensors based on aggregation-induced emission: Recent advances and perspectives. ACS Sens. 2017, 2, 1382–1399. [Google Scholar] [CrossRef]
- Leite, J.P.; Figueira, F.; Mendes, R.F.; Paz, F.A.A.; Gales, L. Metal–organic frameworks as sensors for human amyloid diseases. ACS Sens. 2023, 8, 1033–1053. [Google Scholar] [CrossRef]
- Jiang, H. Fluorescence Molecular Tomography. Principles and Applications; Springer: Berlin/Heidelberg, Germany, 2023. [Google Scholar]
- Ntziachristos, V. Going deeper than microscopy: The optical imaging frontier in biology. Nat. Methods 2010, 7, 603–614. [Google Scholar] [CrossRef]
- Li, D.; Hu, Z.; Zhang, H.; Yang, Q.; Zhu, L.; Liu, Y.; Yu, T.; Zhu, J.; Wu, J.; He, J.; et al. A Through-Intact-Skull (TIS) chronic window technique for cortical structure and function observation in mice. eLight 2022, 2, 15. [Google Scholar] [CrossRef]
- Koronyo, Y.; Salumbides, B.C.; Black, K.L.; Koronyo-Hamaoui, M. Alzheimer’s disease in the retina: Imaging retinal amyloid plaques for early diagnosis and therapy assessment. Neurodegener. Dis. 2012, 10, 285–293. [Google Scholar] [CrossRef] [PubMed]
- Schön, C.; Hoffmann, N.A.; Ochs, S.M.; Burgold, S.; Filser, S.; Steinbach, S.; Seeliger, M.W.; Arzberger, T.; Goedert, M.; Kretzschmar, H.A.; et al. Long-term in vivo imaging of fibrillar tau in the brains of tauopathy mice using high-resolution large-field multifocal illumination fluorescence microscopy. PLoS ONE 2012, 7, e53547. [Google Scholar]
- Gu, J.; Anumala, U.R.; Heyny-von Haußen, R.; Hölzer, J.; Goetschy-Meyer, V.; Mall, G.; Hilger, I.; Czech, C.; Schmidt, B. Design, synthesis and biological evaluation of trimethine cyanine dyes as fluorescent probes for the detection of tau fibrils in Alzheimer’s disease brain and olfactory epithelium. ChemMedChem 2013, 8, 891–897. [Google Scholar] [CrossRef] [PubMed]
- Zhang, Y.; Chen, H.; Li, R.; Sterling, K.; Song, W. Amyloid β-based therapy for Alzheimer’s disease: Challenges, successes and future. Signal Transduct. Target. Ther. 2023, 8, 248. [Google Scholar] [CrossRef]
- Ghosh, S.; Ali, R.; Verma, S. Aβ-oligomers: A potential therapeutic target for Alzheimer’s disease. Int. J. Biol. Macromol. 2023, 239, 124231. [Google Scholar] [CrossRef]
- Sanghai, N.; Vuong, B.; Berk, A.B.; Afridi, M.S.K.; Tranmer, G.K. Current small molecule–based Medicinal Chemistry approaches for neurodegeneration therapeutics. ChemMedChem 2024, 19, e202300705. [Google Scholar] [CrossRef]
- Miller, S.; Blanco, M.J. Small molecule therapeutics for neuroinflammation-mediated neurodegenerative disorders. RSC Med. Chem. 2021, 12, 871–886. [Google Scholar] [CrossRef]
- Ramsay, R.R.; Popovic-Nikolic, M.-R.; Nikolic, K.; Uliassi, E.; Bolognesi, M.L. A perspective on multi-target drug discovery and design for complex diseases. Clin. Trans. Med. 2018, 7, 3. [Google Scholar] [CrossRef]
- Kabir, A. Polypharmacology: The science of multi-targeting molecules. Pharmacol. Res. 2022, 176, 106055. [Google Scholar] [CrossRef]
- Maddeboina, K.; Yada, B.; Kumari, S.; McHale, C.; Pal, D.; Durden, D.L. Recent advances in multitarget-directed ligands via in silico drug discovery. Drug Discov. Today 2024, 29, 103904. [Google Scholar] [CrossRef]
- Hong, Y.; Meng, L.; Chen, S.; Leung, C.W.; Da, L.T.; Faisal, M.; Silva, D.A.; Liu, J.; Lam, J.W.; Huang, X.; et al. Monitoring and inhibition of insulin fibrillation by a small organic fluorogen with aggregation-induced emission characteristics. J. Am. Chem. Soc. 2012, 134, 1680–1689. [Google Scholar] [CrossRef] [PubMed]
- Staderini, M.; Aulić, S.; Bartolini, M.; Tran, H.N.; González-Ruiz, V.; Pérez, D.I.; Cabezas, N.; Martínez, A.; Martín, M.A.; Andrisano, V.; et al. A fluorescent styrylquinoline with combined therapeutic and diagnostic activities against Alzheimer’s and prion diseases. ACS Med. Chem. Lett. 2012, 4, 225–229. [Google Scholar] [CrossRef] [PubMed]
- Wang, X.Q.; Xia, C.L.; Chen, S.B.; Tan, J.H.; Ou, T.M.; Huang, S.L.; Li, D.; Gu, L.Q.; Huang, Z.S. Design, synthesis, and biological evaluation of 2-arylethenylquinoline derivatives as multifunctional agents for the treatment of Alzheimer’s disease. Eur. J. Med. Chem. 2015, 89, 349–361. [Google Scholar] [CrossRef] [PubMed]
- Musiol, R. Styrylquinoline—A versatile scaffold in medicinal chemistry. Med. Chem. 2020, 16, 141–154. [Google Scholar] [CrossRef]
- Dhanawat, M.; Mehta, D.K.; Das, R. An elite scaffold and a wonderful pharmacophore in drug discovery: Styrylquinoline. Mini Rev. Med. Chem. 2021, 21, 1849–1864. [Google Scholar] [CrossRef]
- Yang, Y.; Jia, H.M.; Liu, B.L. (E)-5-Styryl-1H-indole and (E)-6-styrylquinoline derivatives serve as probes for β-amyloid plaques. Molecules 2012, 17, 4252–4265. [Google Scholar] [CrossRef]
- Burkett, B.J.; Bartlett, D.J.; McGarrah, P.W.; Lewis, A.R.; Johnson, D.R.; Berberoğlu, K.; Pandey, M.K.; Packard, A.T.; Halfdanarson, T.R.; Hruska, C.B.; et al. A review of theranostics: Perspectives on emerging approaches and clinical advancements. Radiol. Imaging Cancer 2023, 5, e220157. [Google Scholar] [CrossRef]
- Pratihar, S.; Bhagavath, K.K.; Govindaraju, T. Small molecules and conjugates as theranostic agents. RSC Chem. Biol. 2023, 4, 826–849. [Google Scholar] [CrossRef]
- Bongarzone, S.; Staderini, M.; Bolognesi, M.L. Multitarget ligands and theranostics: Sharpening the medicinal chemistry sword against prion diseases. Future Med. Chem. 2014, 6, 1017–1029. [Google Scholar] [CrossRef]
- Sarabia-Vallejo, A.; López-Alvarado, P.; Menéndez, J.C. Small-molecule theranostics in Alzheimer’s disease. Eur. J. Med. Chem. 2023, 255, 115382. [Google Scholar] [CrossRef]
- Staderini, M.; Cabezas, N.; Bolognesi, M.L.; Menéndez, J.C. A general protocol for the solvent-and catalyst-free synthesis of 2-styrylquinolines under focused microwave irradiation. Synlett 2011, 2011, 2577–2579. [Google Scholar] [CrossRef]
- Vedamalai, M.; Krishnakumar, V.G.; Gupta, S.; Mori, S.; Gupta, I. Synthesis and characterization of styryl-BODIPY derivatives for monitoring in vitro Tau aggregation. Sens. Actuators B 2017, 244, 673–683. [Google Scholar]
- Ranee, S.J.; Sivaraman, G.; Pushpalatha, A.M.; Muthusubramanian, S. Quinoline based sensors for bivalent copper ions in living cells. Sens. Actuators B 2018, 255, 630–637. [Google Scholar] [CrossRef]
- Ziaunys, M.; Sakalauskas, A.; Mikalauskaite, K.; Smirnovas, V. Polymorphism of alpha-synuclein amyloid fibrils depends on ionic strength and protein concentration. Int. J. Mol. Sci. 2021, 22, 12382. [Google Scholar] [CrossRef] [PubMed]
- Carapeto, A.P.; Marcuello, C.; Faísca, P.F.N.; Rodrigues, M.S. Morphological and biophysical study of S100A9 protein fibrils by atomic force microscopy imaging and nanomechanical analysis. Biomolecules 2024, 14, 1091. [Google Scholar] [CrossRef]
- Rajasekhar, K.; Narayanaswamy, N.; Murugan, N.A.; Kuang, G.; Ågren, H.; Govindaraju, T. A high affinity red fluorescence and colorimetric probe for amyloid aggregates. Sci. Rep. 2016, 6, 23668. [Google Scholar] [CrossRef]
- Morais, G.R.; Miranda, H.V.; Santos, I.C.; Santos, I.; Outeiro, T.F.; Paulo, A. Synthesis and in vitro evaluation of fluorinated styryl benzazoles as amyloid-probes. Bioorg. Med. Chem. 2011, 19, 7698–7710. [Google Scholar] [CrossRef]
- Lockhart, A.; Ye, L.; Judd, D.B.; Merritt, A.T.; Lowe, P.N.; Morgenstern, J.L.; Hong, G.; Gee, A.D.; Brown, J. Evidence for the presence of three distinct binding sites for the thioflavin T class of Alzheimer’s disease PET imaging agents on β-amyloid peptide fibrils. J. Biol. Chem. 2005, 280, 7677–7684. [Google Scholar] [CrossRef]
- Li, Q.; Min, J.; Ahn, Y.-H.; Namm, J.; Kim, E.M.; Lui, R.; Kim, H.Y.; Ji, Y.; Wu, H.; Wisniewski, T.; et al. Styryl-based compounds as potential in vivo imaging agents for β-amyloid plaques. ChemBioChem 2007, 8, 1679–1687. [Google Scholar] [CrossRef]
- Santa-María, I.; Pérez, M.; Hernández, F.; Ávila, J.; Moreno, F.J. Characteristics of the binding of thioflavin S to tau paired helical filaments. J. Alzheimers Dis. 2006, 9, 279–285. [Google Scholar] [CrossRef]
- Cores, A.; Carmona-Zafra, N.; Martín-Cámara, O.; Sánchez, J.D.; Duarte, P.; Villacampa, M.; Bermejo-Bescós, P.; Martín-Aragón, S.; León, R.; Menéndez, J.C. Curcumin-piperlongumine hybrids with a multitarget profile elicit neuroprotection in in vitro models of oxidative stress and hyperphosphorylation. Antioxidants 2022, 11, 28. [Google Scholar] [CrossRef]
- Ganguly, A.; Babu, S.S.; Ghosh, S.; Velyutham, R.; Kapusetti, G. Advances and future trends in the detection of beta-amyloid: A comprehensive review. Med. Eng. Phys. 2025, 135, 104269. [Google Scholar] [CrossRef] [PubMed]
- Kell, D.B.; Pretorius, E. Proteins behaving badly. Substoichiometric molecular control and amplification of the initiation and nature of amyloid fibril formation: Lessons from and for blood clotting. Prog. Biophys. Mol. Biol. 2017, 123, 16–41. [Google Scholar] [CrossRef]
- Mohamed, T.; Hoang, T.; Jelokhani-Niaraki, M.; Rao, P.P.N. Tau-Derived-Hexapeptide 306VQIVYK311 aggregation inhibitors: Nitrocatechol moiety as a pharmacophore in drug design. ACS Chem. Neurosci. 2013, 4, 1559–1570. [Google Scholar] [CrossRef] [PubMed]
- Ye, L.; Morgenstern, J.L.; Lamb, J.R.; Lockhart, A. Characterisation of the binding of amyloid imaging tracers to rodent Aβ fibrils and rodent-human Aβ co-polymers. Biochem. Biophys. Res. Commun. 2006, 347, 669–677. [Google Scholar] [CrossRef]
- Regalado-Reyes, M.; Furcila, D.; Hernández, F.; Ávila, J.; DeFelipe, J.; León-Espinosa, G. Phospho-tau changes in the human CA1 during Alzheimer’s disease progression. J. Alzheimers Dis. 2019, 69, 277–288. [Google Scholar] [CrossRef]















| ThT | 6a | 6b | 6c | 6d | 6e | 6f | 6g | 6h |
|---|---|---|---|---|---|---|---|---|
| 16.76 ± 0.84 | 2.43 ± 0.32 | 7.93 ± 0.63 | 8.19 ± 0.61 | 6.60 ± 0.79 | 10.20 ± 1.53 | 1.82 ± 0.25 | * | 7.01 ± 0.49 |
Disclaimer/Publisher’s Note: The statements, opinions and data contained in all publications are solely those of the individual author(s) and contributor(s) and not of MDPI and/or the editor(s). MDPI and/or the editor(s) disclaim responsibility for any injury to people or property resulting from any ideas, methods, instructions or products referred to in the content. |
© 2025 by the authors. Licensee MDPI, Basel, Switzerland. This article is an open access article distributed under the terms and conditions of the Creative Commons Attribution (CC BY) license (https://creativecommons.org/licenses/by/4.0/).
Share and Cite
Piquero, M.; Sarabia-Vallejo, Á.; Bote-Matías, L.; León-Espinosa, G.; Hernández-Arasti, M.; Martín-Aragón, S.; Bermejo-Bescós, P.; Olives, A.I.; López-Alvarado, P.; Martín, M.A.; et al. 2-Styrylquinolines with Push-Pull Architectures as Sensors for β-Amyloid Aggregation with Theranostic Properties. Int. J. Mol. Sci. 2025, 26, 8270. https://doi.org/10.3390/ijms26178270
Piquero M, Sarabia-Vallejo Á, Bote-Matías L, León-Espinosa G, Hernández-Arasti M, Martín-Aragón S, Bermejo-Bescós P, Olives AI, López-Alvarado P, Martín MA, et al. 2-Styrylquinolines with Push-Pull Architectures as Sensors for β-Amyloid Aggregation with Theranostic Properties. International Journal of Molecular Sciences. 2025; 26(17):8270. https://doi.org/10.3390/ijms26178270
Chicago/Turabian StylePiquero, Marta, Álvaro Sarabia-Vallejo, Latoya Bote-Matías, Gonzalo León-Espinosa, Macarena Hernández-Arasti, Sagrario Martín-Aragón, Paloma Bermejo-Bescós, Ana I. Olives, Pilar López-Alvarado, M. Antonia Martín, and et al. 2025. "2-Styrylquinolines with Push-Pull Architectures as Sensors for β-Amyloid Aggregation with Theranostic Properties" International Journal of Molecular Sciences 26, no. 17: 8270. https://doi.org/10.3390/ijms26178270
APA StylePiquero, M., Sarabia-Vallejo, Á., Bote-Matías, L., León-Espinosa, G., Hernández-Arasti, M., Martín-Aragón, S., Bermejo-Bescós, P., Olives, A. I., López-Alvarado, P., Martín, M. A., & Menéndez, J. C. (2025). 2-Styrylquinolines with Push-Pull Architectures as Sensors for β-Amyloid Aggregation with Theranostic Properties. International Journal of Molecular Sciences, 26(17), 8270. https://doi.org/10.3390/ijms26178270

