Urinary Titin as a Non-Invasive Biomarker for Sarcopenia Sex Differences in Unresectable Digestive Malignancies: A Retrospective Cohort Study
Abstract
1. Introduction
2. Results
2.1. Baseline Characteristics of Study Participants
2.2. Correlations Between Urinary Titin Levels and Age, Muscle Indicators, and Blood Chemical Parameters
2.3. Comparisons of Urinary Titin Levels With or Without the Diagnosis of Sarcopenia and Its Components
2.4. Multivariate Analysis of Factors Contributing to Sarcopenia Diagnosis
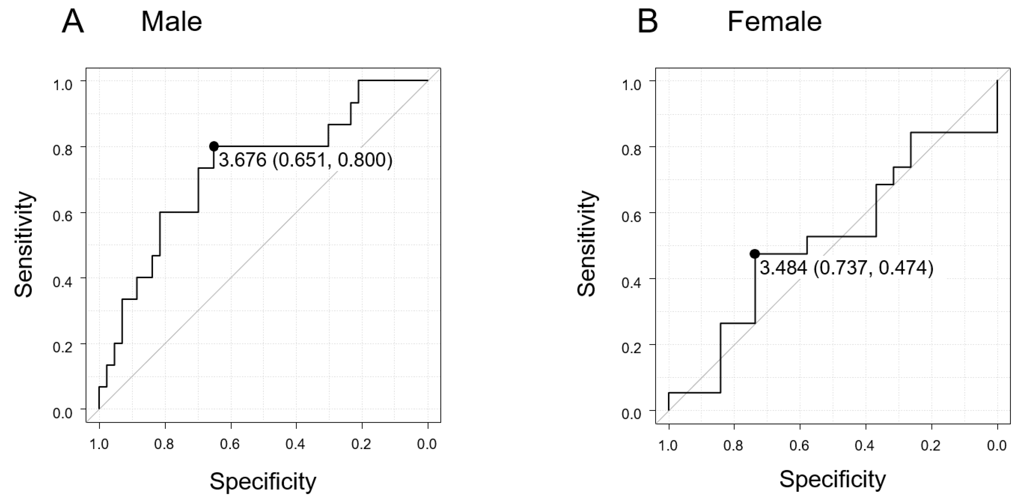
2.5. Evaluation of the Diagnostic Performance of Urinary Titin by the ROC Analysis
3. Discussion
4. Materials and Methods
4.1. Patients and Study Design
4.2. Ethics
4.3. Evaluation of Urinary Titin Levels
4.4. Diagnosis of Sarcopenia
4.5. Statistical Analysis
5. Conclusions
Supplementary Materials
Author Contributions
Funding
Institutional Review Board Statement
Informed Consent Statement
Data Availability Statement
Acknowledgments
Conflicts of Interest
Abbreviations
| Alb | albumin |
| ANOVA | analysis of variance |
| AUC | area under the curve |
| BIA | bioelectrical impedance analysis |
| BMI | body mass index |
| ChE | cholinesterase |
| CK | creatine kinase |
| CRP | c-reactive protein |
| CT | computed tomography |
| ECOG PS | Eastern Cooperative Oncology Group performance status |
| eGFRcr | creatinine-based estimated glomerular filtration rate |
| GNRI | geriatric nutritional risk index |
| PMI | psoas muscle index |
| ROC | receiver operating characteristic |
| SCr | serum creatinine |
| Ucr | urinary creatinine |
| U-titin | urinary titin |
References
- Chen, L.-K.; Woo, J.; Assantachai, P.; Auyeung, T.-W.; Chou, M.-Y.; Iijima, K.; Jang, H.C.; Kang, L.; Kim, M.; Kim, S. Asian working group for sarcopenia: 2019 consensus update on sarcopenia diagnosis and treatment. J. Am. Med. Dir. Assoc. 2020, 21, 300–307.e2. [Google Scholar] [CrossRef]
- Kitamura, A.; Seino, S.; Abe, T.; Nofuji, Y.; Yokoyama, Y.; Amano, H.; Nishi, M.; Taniguchi, Y.; Narita, M.; Fujiwara, Y.; et al. Sarcopenia: Prevalence, associated factors, and the risk of mortality and disability in Japanese older adults. J. Cachexia Sarcopenia Muscle 2021, 12, 30–38. [Google Scholar] [CrossRef]
- Yamada, M.; Nishiguchi, S.; Fukutani, N.; Tanigawa, T.; Yukutake, T.; Kayama, H.; Aoyama, T.; Arai, H. Prevalence of sarcopenia in community-dwelling Japanese older adults. J. Am. Med. Dir. Assoc. 2013, 14, 911–915. [Google Scholar] [CrossRef]
- Ohara, M.; Ogawa, K.; Suda, G.; Kimura, M.; Maehara, O.; Shimazaki, T.; Suzuki, K.; Nakamura, A.; Umemura, M.; Izumi, T.; et al. L-Carnitine Suppresses Loss of Skeletal Muscle Mass in Patients With Liver Cirrhosis. Hepatol. Commun. 2018, 2, 906–918. [Google Scholar] [CrossRef]
- Hanai, T.; Shiraki, M.; Nishimura, K.; Ohnishi, S.; Imai, K.; Suetsugu, A.; Takai, K.; Shimizu, M.; Moriwaki, H. Sarcopenia impairs prognosis of patients with liver cirrhosis. Nutrition 2015, 31, 193–199. [Google Scholar] [CrossRef]
- Thormann, M.; Hinnerichs, M.; Barajas Ordonez, F.; Saalfeld, S.; Perrakis, A.; Croner, R.; Omari, J.; Pech, M.; Zamsheva, M.; Meyer, H.J. Sarcopenia is an independent prognostic factor in patients with pancreatic cancer—A meta-analysis. Acad. Radiol. 2023, 30, 1552–1561. [Google Scholar] [CrossRef]
- Best, T.D.; Roeland, E.J.; Horick, N.K.; Van Seventer, E.E.; El-Jawahri, A.; Troschel, A.S.; Johnson, P.C.; Kanter, K.N.; Fish, M.G.; Marquardt, J.P. Muscle loss is associated with overall survival in patients with metastatic colorectal cancer independent of tumor mutational status and weight loss. Oncologists 2021, 26, e963–e970. [Google Scholar] [CrossRef] [PubMed]
- Kim, I.H.; Choi, M.H.; Lee, I.S.; Hong, T.H.; Lee, M.A. Clinical significance of skeletal muscle density and sarcopenia in patients with pancreatic cancer undergoing first-line chemotherapy: A retrospective observational study. BMC Cancer 2021, 21, 77. [Google Scholar] [CrossRef] [PubMed]
- Kurk, S.; Peeters, P.; Stellato, R.; Dorresteijn, B.; de Jong, P.; Jourdan, M.; Creemers, G.; Erdkamp, F.; de Jongh, F.; Kint, P. Skeletal muscle mass loss and dose-limiting toxicities in metastatic colorectal cancer patients. J. Cachexia Sarcopenia Muscle 2019, 10, 803–813. [Google Scholar] [CrossRef] [PubMed]
- Pirlich, M.; Schutz, T.; Spachos, T.; Ertl, S.; Weiss, M.L.; Lochs, H.; Plauth, M. Bioelectrical impedance analysis is a useful bedside technique to assess malnutrition in cirrhotic patients with and without ascites. Hepatology 2000, 32, 1208–1215. [Google Scholar] [CrossRef]
- Gallagher, D.; Ruts, E.; Visser, M.; Heshka, S.; Baumgartner, R.N.; Wang, J.; Pierson, R.N.; Pi-Sunyer, F.X.; Heymsfield, S.B. Weight stability masks sarcopenia in elderly men and women. Am. J. Physiol. Endocrinol. Metab. 2000, 279, E366–E375. [Google Scholar] [CrossRef] [PubMed]
- Liu, T.; Yi, X.; Ge, J.; Zhang, J.; Tan, F.; Song, K.; Liu, H.; Tang, M. Preoperative computed tomography-determined sarcopenia is a reliable prognostic factor in patients with gastric cancer after radical gastrectomy: A sex-specific analysis. Front. Nutr. 2022, 9, 884586. [Google Scholar] [CrossRef]
- Zamboni, M.; Zoico, E.; Scartezzini, T.; Mazzali, G.; Tosoni, P.; Zivelonghi, A.; Gallagher, D.; De Pergola, G.; Di Francesco, V.; Bosello, O. Body composition changes in stable-weight elderly subjects: The effect of sex. Aging Clin. Exp. Res. 2003, 15, 321–327. [Google Scholar] [CrossRef] [PubMed]
- Riggio, O.; Angeloni, S.; Ciuffa, L.; Nicolini, G.; Attili, A.F.; Albanese, C.; Merli, M. Malnutrition is not related to alterations in energy balance in patients with stable liver cirrhosis. Clin. Nutr. 2003, 22, 553–559. [Google Scholar] [CrossRef] [PubMed]
- Matsuo, M.; Awano, H.; Maruyama, N.; Nishio, H. Titin fragment in urine: A noninvasive biomarker of muscle degradation. Adv. Clin. Chem. 2019, 90, 1–23. [Google Scholar] [CrossRef]
- Miyoshi, K.; Shimoda, M.; Udo, R.; Oshiro, Y.; Suzuki, S. Urinary titin N-terminal fragment concentration is an indicator of preoperative sarcopenia and nutritional status in patients with gastrointestinal tract and hepatobiliary pancreatic malignancies. Nutrition 2020, 79–80, 110957. [Google Scholar] [CrossRef]
- Takiguchi, Y.; Tsutsumi, R.; Shimabukuro, M.; Tanabe, H.; Kawakami, A.; Hyodo, M.; Shiroma, K.; Saito, H.; Matsuo, M.; Sakaue, H. Urinary titin as a biomarker of sarcopenia in diabetes: A propensity score matching analysis. J. Endocrinol. Investig. 2025, 48, 1041–1056. [Google Scholar] [CrossRef]
- Imai, K.; Takai, K.; Aiba, M.; Unome, S.; Miwa, T.; Hanai, T.; Sakai, H.; Shirakami, Y.; Suetsugu, A.; Shimizu, M. Psoas muscle index as an independent predictor of survival in patients with hepatocellular carcinoma receiving systemic targeted therapy. Cancers 2025, 17, 209. [Google Scholar] [CrossRef]
- Hashimoto, T.; Kurokawa, Y.; Takahashi, T.; Saito, T.; Yamashita, K.; Tanaka, K.; Makino, T.; Yamasaki, M.; Motoori, M.; Kimura, Y. What is the most useful body composition parameter for predicting toxicities of preoperative chemotherapy for gastric cancer? Surg. Today 2020, 50, 509–515. [Google Scholar] [CrossRef]
- Yoo, J.J.; Kim, S.G.; Kim, Y.S.; Lee, B.; Lee, M.H.; Jeong, S.W.; Jang, J.Y.; Lee, S.H.; Kim, H.S.; Kim, Y.D. Estimation of renal function in patients with liver cirrhosis: Impact of muscle mass and sex. J. Hepatol. 2019, 70, 847–854. [Google Scholar] [CrossRef]
- Fulco, C.S.; Rock, P.B.; Muza, S.R.; Lammi, E.; Cymerman, A.; Butterfield, G.; Moore, L.G.; Braun, B.; Lewis, S.F. Slower fatigue and faster recovery of the adductor pollicis muscle in women matched for strength with men. Acta Physiol. Scand. 1999, 167, 233–239. [Google Scholar] [CrossRef]
- Maruyama, N.; Asai, T.; Abe, C.; Inada, A.; Kawauchi, T.; Miyashita, K.; Maeda, M.; Matsuo, M.; Nabeshima, Y.I. Establishment of a highly sensitive sandwich ELISA for the N-terminal fragment of titin in urine. Sci. Rep. 2016, 6, 39375. [Google Scholar] [CrossRef]
- Awano, H.; Matsumoto, M.; Nagai, M.; Shirakawa, T.; Maruyama, N.; Iijima, K.; Nabeshima, Y.I.; Matsuo, M. Diagnostic and clinical significance of the titin fragment in urine of Duchenne muscular dystrophy patients. Clin. Chim. Acta 2018, 476, 111–116. [Google Scholar] [CrossRef]
- Nakanishi, N.; Tsutsumi, R.; Hara, K.; Matsuo, M.; Sakaue, H.; Oto, J. Urinary titin N-fragment as a biomarker of muscle atrophy, intensive care unit-acquired weakness, and possible application for post-intensive care syndrome. J. Clin. Med. 2021, 10, 614. [Google Scholar] [CrossRef] [PubMed]
- Ohara, M.; Suda, G.; Kimura, M.; Maehara, O.; Shimazaki, T.; Shigesawa, T.; Suzuki, K.; Nakamura, A.; Kawagishi, N.; Nakai, M. Computed tomography, not bioelectrical impedance analysis, is the proper method for evaluating changes in skeletal muscle mass in liver disease. JCSM Rapid Commun. 2020, 3, 103–114. [Google Scholar] [CrossRef]
- Nishikawa, H.; Shiraki, M.; Hiramatsu, A.; Hara, N.; Moriya, K.; Hino, K.; Koike, K. Reduced handgrip strength predicts poorer survival in chronic liver diseases: A large multicenter study in Japan. Hepatol. Res. 2021, 51, 957–967. [Google Scholar] [CrossRef] [PubMed]
- Ohara, M.; Suda, G.; Kimura, M.; Maehara, O.; Shimazaki, T.; Shigesawa, T.; Suzuki, K.; Nakamura, A.; Kawagishi, N.; Nakai, M. Analysis of the optimal psoas muscle mass index cut-off values, as measured by computed tomography, for the diagnosis of loss of skeletal muscle mass in Japanese people. Hepatol. Res. 2020, 50, 715–725. [Google Scholar] [CrossRef]




| Male n = 58, 60.4% | Female n = 38, 39.6% | All n = 96 | ||
|---|---|---|---|---|
| Age, years | 69 (43–80) | 72 (44–85) | 70 (43–85) | |
| ECOG PS | 0 | 45 (77.6) | 20 (52.6) | 65 (67.7) |
| ≥1 | 13 (22.4) | 18 (47.4) | 31 (32.3) | |
| Tumor types | Esophageal cancer | 7 (12.1) | 2 (5.3) | 9 (9.4) |
| Gastric cancer | 8 (13.8) | 2 (5.3) | 10 (10.4) | |
| Colorectal cancer | 10 (17.2) | 5 (13.1) | 15 (15.6) | |
| Pancreatic cancer | 16 (27.6) | 21 (55.2) | 37 (38.5) | |
| Biliary tract cancer | 15 (25.9) | 6 (15.8) | 21 (22.6) | |
| Others | 2 (3.4) | 2 (5.3) | 4 (4.3) | |
| Number of metastatic site | 0–1 | 38 (65.5) | 25 (65.8) | 63 (65.6) |
| ≥2 | 20 (34.5) | 13 (34.2) | 33 (34.4) | |
| History of Chemotherapy † | + | 30 (51.7) | 17 (47.2) | 47 (49.0) |
| − | 28 (48.3) | 19 (52.8) | 49 (51.0) | |
| BMI (kg/m2) | 21.9 (16.2–33.1) | 21.3 (14.2–31.9) | 21.9 (14.2–33.1) | |
| PMI (cm2/m2) | 4.36 (1.90–7.70) | 2.71 (1.49–4.80) | 3.89 (1.49–7.70) | |
| Handgrip strength (kg) | 30.8 (13.5–48.0) | 17.0 (10.0–28.5) | 25.3 (10.0–48.0) | |
| Sarcopenia | 15 (25.9) | 19 (50.0) | 34 (35.4) | |
| Percent body fat (%) * | 19.8 (2.9–35.4) | 25.3 (3.0–44.4) | 21.0 (2.9–44.4) | |
| Alb (g/dL) | 3.4 (1.7–4.6) | 3.4 (1.7–4.2) | 3.4 (1.7–4.6) | |
| ChE (IU/L) | 200 (44–362) | 230 (82–486) | 214 (44–486) | |
| SCr (mg/dL) | 0.91 (0.49–1.66) | 0.64 (0.43–0.97) | 0.76 (0.43–1.66) | |
| CK (U/L) | 56 (13–260) | 39 (13–104) | 52 (13–260) | |
| CRP (mg/dL) | 0.86 (0.02–17.6) | 0.24 (0.02–3.36) | 0.47 (0.02–17.6) | |
| eGFRcr (mL/min/1.73 m2) | 64.2 (35.1–130.7) | 70.4 (41.3–103.4) | 67.6 (35.1–130.7) | |
| GNRI | 45.5 (35.0–65.2) | 45.2 (30.9–64.5) | 45.4 (30.9–65.2) | |
| U-titin/Ucr (pmol/mgCr) | 3.29 (0.54–96.6) | 4.47 (0.88–66.6) | 3.67 (0.54–96.6) | |
| Male | Female | ||||||
|---|---|---|---|---|---|---|---|
| Sarcopenia− | Sarcopenia+ | p | Sarcopenia− | Sarcopenia+ | p | ||
| n = 43 | n = 15 | n = 19 | n = 19 | ||||
| Age, y | 69 (43–78) | 72 (56–80) | 0.001 | 71 (57–85) | 72 (44–84) | 0.147 | |
| ECOG PS | 0 | 40 (93.0) | 5 (33.3) | <0.001 | 11 (57.9) | 9 (47.4) | 0.746 |
| ≥1 | 3 (7.0) | 10 (66.7) | 8 (42.1) | 10 (52.6) | |||
| Tumor types | |||||||
| Esophageal cancer | 6 (14.0) | 1 (6.6) | 0.443 | 0 | 2 (10.5) | 0.427 | |
| Gastric cancer | 4 (9.3) | 4 (26.7) | 0 | 2 (10.5) | |||
| Colorectal cancer | 6 (14.0) | 4 (26.7) | 3 (15.8) | 2 (10.5) | |||
| Pancreatic cancer | 13 (30.2) | 3 (30.0) | 11 (57.9) | 10 (52.6) | |||
| Biliary tract cancer | 12 (27.9) | 3 (30.0) | 4 (21.0) | 2 (10.5) | |||
| Others | 2 (4.6) | 0 | 1 (5.3) | 1 (5.3) | |||
| Number of metastatic site | 0–1 | 26 (60.5) | 12 (80.0) | 0.218 | 14 (73.7) | 11 (57.9) | 0.495 |
| ≥2 | 17 (39.5) | 3 (20.0) | 5 (26.3) | 8 (42.1) | |||
| History of Chemotherapy † | + | 23 (53.5) | 7 (46.7) | 0.767 | 11 (57.9) | 6 (31.6) | 0.191 |
| − | 20 (46.5) | 8 (53.3) | 8 (42.1) | 13 (68.4) | |||
| BMI (kg/m2) | 22.6 (16.9–33.1) | 19.8 (16.2–23.5) | 0.002 | 21.5 (18.2–31.9) | 20.7 (14.2–27.6) | 0.123 | |
| Percent body fat (%) * | 20.3 (5.7–32.1) | 18.1 (2.9–35.4) | 0.333 | 27.7 (19.1–44.4) | 19.7 (3.0–43.6) | 0.012 | |
| Alb (g/dL) | 3.6 (2.3–4.6) | 3.2 (1.7–4.2) | 0.026 | 3.4 (2.1–4.2) | 3.4 (1.7–4.1) | 0.725 | |
| ChE (IU/L) | 224 (105–362) | 158 (44–324) | 0.035 | 234 (82–486) | 228 (108–319) | 0.286 | |
| SCr (mg/dL) | 0.89 (0.49–1.52) | 1.00 (0.49–1.66) | 0.145 | 0.64 (0.50–0.82) | 0.63 (0.43–0.97) | 0.511 | |
| CK (U/L) | 59 (13–260) | 51 (19–123) | 0.052 | 39 (13–104) | 49 (21–99) | 0.579 | |
| CRP (mg/dL) | 1.04 (0.02–17.6) | 0.56 (0.03–11.0) | 0.729 | 0.23 (0.02–3.36) | 0.25 (0.02–2.33) | 0.977 | |
| eGFRcr (mL/min/1.73 m2) | 68.1 (36.1–130.7) | 56.9 (35.1–125.6) | 0.104 | 68.7 (41.3–92.5) | 70.8 (43.3–103.4) | 0.405 | |
| GNRI | 47.2 (35.5–65.2) | 40.1 (35.0–47.5) | 0.001 | 45.3 (40.2–64.5) | 42.8 (30.9–56.3) | 0.091 | |
| U-titin/Ucr (pmol/mgCr) | 2.79 (0.54–23.8) | 5.78 (1.21–96.6) | 0.008 | 4.49 (1.01–11.4) | 4.15 (0.88–66.6) | 0.863 | |
| Male | Female | ||||
|---|---|---|---|---|---|
| Factor | Odds Ratio (95% CI) | p | Odds Ratio (95% CI) | p | |
| Age | ≥Median | 3.95 (0.55–28.6) | 0.174 | 2.92 (0.76–11.3) | 0.119 |
| ECOG PS | ≥1 | 34.7 (3.06–394.0) | 0.004 | 1.63 (0.38–6.90) | 0.508 |
| GNRI | <Median | 0.14 (0.02–1.19) | 0.072 | 1.03 (0.26–4.04) | 0.971 |
| U-titin/Ucr | ≥Median | 13.4 (1.32–137.0) | 0.028 | 0.64 (0.16–2.65) | 0.539 |
| U-titin/Ucr (pmol/mgCr) | Sarcopenia+ | Sarcopenia− | Accuracy Rate |
|---|---|---|---|
| Male, n = 58 | n = 15 | n = 43 | 72.4% |
| ≥3.676 | 12 | 15 | |
| <3.676 | 3 | 28 | |
| Female, n = 38 | n = 19 | n = 19 | 42.1% |
| ≥3.484 | 11 | 14 | |
| <3.484 | 8 | 5 |
Disclaimer/Publisher’s Note: The statements, opinions and data contained in all publications are solely those of the individual author(s) and contributor(s) and not of MDPI and/or the editor(s). MDPI and/or the editor(s) disclaim responsibility for any injury to people or property resulting from any ideas, methods, instructions or products referred to in the content. |
© 2025 by the authors. Licensee MDPI, Basel, Switzerland. This article is an open access article distributed under the terms and conditions of the Creative Commons Attribution (CC BY) license (https://creativecommons.org/licenses/by/4.0/).
Share and Cite
Kaneko, S.; Harada, K.; Ohara, M.; Sawaguchi, S.; Yokoyama, T.; Ishida, K.; Kawamoto, Y.; Yuki, S.; Komatsu, Y.; Sakamoto, N. Urinary Titin as a Non-Invasive Biomarker for Sarcopenia Sex Differences in Unresectable Digestive Malignancies: A Retrospective Cohort Study. Int. J. Mol. Sci. 2025, 26, 6781. https://doi.org/10.3390/ijms26146781
Kaneko S, Harada K, Ohara M, Sawaguchi S, Yokoyama T, Ishida K, Kawamoto Y, Yuki S, Komatsu Y, Sakamoto N. Urinary Titin as a Non-Invasive Biomarker for Sarcopenia Sex Differences in Unresectable Digestive Malignancies: A Retrospective Cohort Study. International Journal of Molecular Sciences. 2025; 26(14):6781. https://doi.org/10.3390/ijms26146781
Chicago/Turabian StyleKaneko, Shiho, Kazuaki Harada, Masatsugu Ohara, Shintaro Sawaguchi, Tatsuya Yokoyama, Koichi Ishida, Yasuyuki Kawamoto, Satoshi Yuki, Yoshito Komatsu, and Naoya Sakamoto. 2025. "Urinary Titin as a Non-Invasive Biomarker for Sarcopenia Sex Differences in Unresectable Digestive Malignancies: A Retrospective Cohort Study" International Journal of Molecular Sciences 26, no. 14: 6781. https://doi.org/10.3390/ijms26146781
APA StyleKaneko, S., Harada, K., Ohara, M., Sawaguchi, S., Yokoyama, T., Ishida, K., Kawamoto, Y., Yuki, S., Komatsu, Y., & Sakamoto, N. (2025). Urinary Titin as a Non-Invasive Biomarker for Sarcopenia Sex Differences in Unresectable Digestive Malignancies: A Retrospective Cohort Study. International Journal of Molecular Sciences, 26(14), 6781. https://doi.org/10.3390/ijms26146781

