Next Article in Journal
Enhancing Functional Recovery After Spinal Cord Injury Through Neuroplasticity: A Comprehensive Review
Next Article in Special Issue
IL-15 Promotes the Survival of Anti-Inflammatory (M2), Immunoinhibitory (IL-10+) Dermal Macrophages in Human Eyelid Skin Under IFNγ-Dominated Inflammatory Conditions
Previous Article in Journal
HER2-Driven Breast Cancer: Role of the Chaperonin HSP90 in Modulating Response to Trastuzumab-Based Therapeutic Combinations
Previous Article in Special Issue
Transcriptomic Profiling of Lesional and Perilesional Skin in Atopic Dermatitis Suggests Barrier Dysfunction, Inflammatory Activation, and Alterations to Vitamin D Metabolism
 
 
Font Type:
Arial Georgia Verdana
Font Size:
Aa Aa Aa
Line Spacing:
Column Width:
Background:
Article

Virulence and Antibiotic Resistance Profiles of Staphylococcus aureus Isolated from Epidermal Growth Factor Receptor Inhibitors-Associated Skin Lesions

by
Mara-Mădălina Mihai
1,2,†,
Iuliana Anghelescu
3,†,
Alina Maria Holban
2,4,*,
Irina Gheorghe-Barbu
2,4,
Mariana-Carmen Chifiriuc
2,5,6,
Lia-Mara Dițu
2,4,
Cornelia-Ioana Ilie
7,8,
Dan Anghelescu
9,10 and
Beatrice Bălăceanu-Gurău
1
1
Department of Oncologic Dermatology, “Elias” Emergency University Hospital, “Carol Davila” University of Medicine and Pharmacy, 020021 Bucharest, Romania
2
Research Institute of the University of Bucharest, University of Bucharest, 050663 Bucharest, Romania
3
Department of Histology, Titu Maiorescu University of Medicine and Pharmacy, 040441 Bucharest, Romania
4
Department of Botany-Microbiology, Faculty of Biology, University of Bucharest, 030018 Bucharest, Romania
5
Department of Microbiology-Immunology, Faculty of Biology, University of Bucharest, 050095 Bucharest, Romania
6
Biological Sciences Division, Romanian Academy, 010071, Bucharest, Romania
7
Department of Science and Engineering of Oxide Materials and Nanomaterials, Faculty of Applied Chemistry and Materials Science, National University of Science and Technology POLITEHNICA Bucharest, 011061 Bucharest, Romania
8
National Centre for Micro and Nanomaterials and National Centre for Food Safety, National University of Science and Technology POLITEHNICA Bucharest, 060042 Bucharest, Romania
9
Department of Orthopedics and Traumatology, “Titu Maiorescu” University, 040441 Bucharest, Romania
10
Clinical Department 1 of Orthopedics and Traumatology, Colentina Hospital, 020125 Bucharest, Romania
*
Author to whom correspondence should be addressed.
These authors contributed equally to this work.
Int. J. Mol. Sci. 2025, 26(14), 6595; https://doi.org/10.3390/ijms26146595
Submission received: 3 May 2025 / Revised: 20 June 2025 / Accepted: 26 June 2025 / Published: 9 July 2025
(This article belongs to the Special Issue Molecular and Cellular Mechanisms of Skin Diseases (Second Edition))

Abstract

Cutaneous adverse reactions (CARs) are common complications of epidermal growth factor receptor (EGFR) inhibitor therapy, with papulopustular eruptions and paronychia being the most frequent. Growing scientific evidence implies that Staphylococcus aureus is involved in the pathogenesis of these reactions. This observational prospective study characterized 42 S. aureus strains isolated from CARs, analyzing antibiotic resistance, biofilm formation, soluble virulence factors, and virulence/resistance genes using multiplex polymerase chain reaction (PCR). S. aureus was identified in 90% of lesions; in 33% of cases, nasal and skin isolates were genetically identical. High resistance rates were noted for penicillins (85%) and tetracyclines (57%), while all strains remained susceptible to fluoroquinolones, vancomycin, and rifampicin. All isolates formed biofilms, and DNase/esculinase production significantly correlated with CAR severity. An enzymatic score based on these markers was associated with an 18-fold increased risk of severe reactions. Genotypically, clfA and clfB were prevalent (85.7%), while exotoxin genes were less common. These findings support a key role for S. aureus in exacerbating CARs via antibiotic resistance, biofilm production, and the expression of virulence factor. Additionally, we emphasize the role of routine microbial screening—including nasal swabs—and therapy guided by antibiograms. Furthermore, the enzymatic score may further be validated as a predictive biomarker.

1. Introduction

Cutaneous adverse reactions (CARs) are the most prevalent side effects associated with the administration of Epidermal Growth Factor Receptor (EGFR) inhibitors, due to the pronounced expression of EGFR in the skin and its adnexal structures [1]. Among these dermatological lesions, the most frequently encountered are encapsulated within the PRIDE syndrome—an acronym representing Papulopustules, Paronychia, Regulatory abnormalities of hair growth, Itching, and Dryness [2]. The initiation and intensity of papulopustular eruptions have been demonstrated to positively correlate with both therapeutic response and overall survival [3,4]. Consequently, these eruptions are considered indicators of therapeutic efficacy and prognostic markers of clinical outcomes [3,5]. Scientific evidence suggests that dose escalation in patients exhibiting grade ≤1 toxicity may enhance response rates [6]. Moreover, patients who experience a variety of CARs have superior survival outcomes [7].
Papulopustular eruptions—commonly known as acneiform reactions—represent the predominant CARs, occurring with greater frequency in individuals receiving monoclonal antibodies such as cetuximab (80%) compared to those undergoing treatment with tyrosine kinase inhibitors like erlotinib (67%) [8,9]. Clinically, these lesions present as erythematous papules and follicular pustules devoid of comedones or cysts, primarily affecting seborrheic areas, and are frequently exacerbated in a cyclical manner after cetuximab infusions [10]. While such eruptions have prognostic relevance, they may also considerably diminish quality of life, often demanding dose adjustments in the oncological treatment regimens [3,4,5].
EGFR inhibition compromises epidermal barrier integrity by downregulating critical structural and antimicrobial constituents such as claudin-1, LL37, and RNase 7, thereby fostering colonization by Staphylococcus aureus and potentially worsening dermatological lesions through toxin-mediated pathways [11,12,13,14,15,16]. S. aureus represents a prevalent pathogen in nosocomial infections and poses a significant threat to immunocompromised individuals [17]. Its pathogenesis involves a complex interaction between host defense mechanisms and bacterial virulence determinants [18]. These factors encompass cell wall-associated adhesins—such as protein A, clumping factors A and B, and proteins that bind to fibronectin, collagen, elastin, and fibrinogen—alongside soluble proteins and exotoxins, including hemolysins, coagulases, enterotoxins, exfoliative toxins, toxic shock syndrome toxin-1, and Panton–Valentine leukocidin [19]. Adhesins and coagulases facilitate adherence to host cells and implanted devices, initiating a colonization process that may evolve into an infection [19,20].
The pathogenicity of S. aureus is driven not only by antibiotic resistance and production of a diverse array of virulence factors, but also by its capacity to form biofilms [21,22]. Biofilms are highly organized and dynamic microbial aggregates encapsulated within a self-generated extracellular mucopolysaccharide matrix, which exhibits compositional variability across different colonies [21,22,23]. This matrix, consisting of polysaccharides, lipids, nucleic acids, and proteins—derived from host or bacterial cell lysis or directly secreted—affords protection against antimicrobial agents and host immune responses [23,24,25,26]. It also hampers phagocytosis and attenuates local immune activity [27,28]. Furthermore, the close spatial arrangement within biofilms facilitates horizontal gene transfer, including the spread of antibiotic resistance genes [29]. The formation of biofilms has been intimately associated with chronic infections, reduced therapeutic efficacy, and heightened resistance, to the degree that biofilms have been likened to “primitive multicellular organisms” [30,31,32].
Given these patterns and the suspected role of microbial colonization—particularly with S. aureus—in the development and persistence of CARs, we conducted an observational, prospective investigation in the Oncology Departments of the Bucharest University Emergency Hospital, Elias University Emergency Hospital, and the Bucharest Oncology Institute, between May 2014 and January 2015, analyzing the phenotypic and genotypic characteristics of S. aureus strains isolated from papulopustular lesions and paronychia in patients undergoing EGFR inhibitor therapy. This study aimed to explore the link between bacterial virulence, antibiotic resistance, and the clinical severity of dermatologic toxicity. In Romania, data regarding bacterial colonization, antibiotic resistance profiles, or virulence traits in CARs is lacking. This is among the few prospective studies characterizing phenotypic and genotypic features of isolated strains and their resistance to antibiotics.

2. Results

2.1. Phenotypic and Genotypic Characterization of S. aureus Strains Isolated from Papulopustular Lesions and Paronychia Arising During EGFR Inhibitor Therapy

Multiple bacterial species were isolated from papulopustular lesions and paronychia: S. aureus (42 strains), Serratia marcescens (5 strains), Pseudomonas aeruginosa (4 strains), Enterococcus faecalis (2 strains), Klebsiella oxytoca (2 strains), Acinetobacter lwoffii (2 strains), Citrobacter diversus (1 strain), and Staphylococcus epidermidis (1 strain).
S. aureus strains isolated from papulopustular reactions (36 strains) and paronychia (6 strains) were tested to evaluate their ability to form biofilms and express soluble virulence factors. Additionally, multiplex PCR tests were performed to identify eight bacterial genes encoding extracellular or cell wall-associated virulence factors, as well as 15 genes associated with methicillin resistance—and consequently resistance to β-lactam antibiotics.

2.1.1. Biofilm Formation Capacity

All S. aureus strains demonstrated biofilm formation, with variable intensity depending on the lesion source, the strains isolated from paronychia exhibiting greater biofilm-forming capacity compared to those isolated from acneiform reactions (Figure 1).
We calculated Spearman correlation coefficients (ρ) between the severity of adverse reactions, as assessed by the CTCAE v4.03 score, and the biofilm-forming capacity at 24, 48, and 72 h of S. aureus strains isolated from certain lesions (Table 1). No statistically significant correlations between the biofilm-forming capacity of S. aureus strains and the severity of adverse reactions have been found.
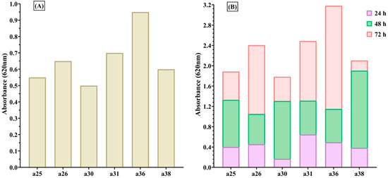
Strains isolated from paronychia exhibited greater biofilm-forming capacity compared to those isolated from acneiform reactions (Figure 2). The mean absorbance (OD) values at 24, 48, and 72 h for S. aureus strains from paronychia ranged between 0.594667 and 1.061, with an average of 0.769666 (Figure 2).

2.1.2. Expression of Soluble Virulence Factors

The phenotypic expression of soluble virulence factors for the analyzed S. aureus strains was investigated through cultivation on media supplemented with enzyme-specific substrates (Figure 3 and Figure 4). These virulence determinants were classified into two major groups: exotoxins (DNase, esculinase, gelatinase, caseinase, and amylase) and pore-forming toxins (alpha- and beta-hemolysins, lecithinase, and lipase).
The analyzed S. aureus isolates exhibited a pronounced potential for local tissue invasion and systemic dissemination (Figure 3 and Figure 5). This was attributed to the production of pore-forming enzymes, as well as esculinase—which facilitates iron acquisition necessary for bacterial metabolism, and caseinase—a proteolytic enzyme implicated in the degradation of the extracellular matrix of connective tissues.
Lecithinase was the most frequently expressed soluble virulence factor among the S. aureus isolates, being identified for 38 strains (90.47%), followed by lipase for 37 strains (88.09%), caseinase for 35 strains (83.33%), and esculinase for 31 strains (73.80%) (Figure 5). Hemolysins were expressed by 20 strains (47.61%), DNase by 19 strains (45.23%), and gelatinase by only 10 strains (23.80%) (Figure 3). Amylase expression was absent in all isolates (Figure 5).
Focusing specifically on strains isolated from paronychia lesions, the majority (83.33%) exhibited the ability to produce lipase and esculinase (Figure 6). In contrast, only two-thirds of these strains expressed lecithinase and hemolysins, while caseinase was detected in 50% of the isolates (Figure 6). DNase was the least frequently expressed virulence factor in this subset (33.33%), and neither amylase nor gelatinase were detected in any of the S. aureus strains isolated from paronychia (Figure 6).

2.1.3. Correlation Between Virulence Factors and Clinical Severity

The virulence potential of each S. aureus strain was quantified using a cumulative score based on the production level of individual virulence factors, rated semiquantitatively from 0 to 3. A composite virulence index for each S. aureus strain was calculated by summing the individual scores for all expressed virulence factors. Hemolytic activity was scored as γ = 0, α = 1, and β = 2. Amylase was not expressed by any strain and was thus excluded from the scoring.
Spearman’s rank correlation coefficient (ρ) was used to assess the relationship between the expression values of each virulence factor and the severity of the cutaneous adverse reaction at the start of treatment, as measured by the CTCAE severity score (Table 2).
A statistically significant positive correlation was found between DNase expression and the severity of cutaneous adverse reactions, as measured by the CTCAE 4.0 scale (ρ = 0.30, p = 0.047) (Table 2). Other individual factors such as lipase, lecithinase, and hemolysins did not demonstrate significant associations with severity (Table 2).
We investigated the potential correlation between the virulence score and the CTCAE severity of the primary cutaneous adverse reaction from which the S. aureus strain was isolated at treatment initiation, using Spearman’s rank correlation coefficient (ρ). A total virulence score, representing the sum of all expressed virulence markers per strain, showed a modest but statistically significant correlation with reaction severity (ρ = 0.34, p = 0.025).
The previously calculated total score assumed that all enzymes contributed equally to the correlation with CTCAE severity. To refine the analysis, a principal component analysis (PCA) was performed (Table 3), but no additional associations between the first four components and CTCAE severity were identified.
The previous plots indicate that no significant correlations exist between the principal components and the severity of the CTCAE-rated adverse reactions, suggesting that the only potential association between enzyme production level and clinical severity involves DNase and esculinase. Consequently, we calculated a simplified enzymatic score based solely on DNase and esculinase expression that also showed a significant correlation with severity, which was then correlated with CTCAE severity.
The enzymatic score ranged from 0 to 3, with distribution as follows: score 0 (21.4%), score 1 (33.3%), score 2 (33.3%), and score 3 (11.9%) (Table 4).
We further investigated whether there is an association between the CTCAE severity score and the enzymatic score using ordinal logistic regression, where the dependent variable (“outcome”) was the CTCAE severity and the independent variable (“predictor”) was the enzymatic score (Table 5).
The ordinal logistic regression revealed that strains with an enzymatic score of 3 were associated with an 18-fold increased risk of severe cutaneous reactions compared to strains with a score of 0 (Table 5). However, this association should be interpreted cautiously given the limited number of high-scoring strains.

2.1.4. Genotypic Characterization of Virulence Factors

PCR-based genotypic profiling revealed that 38 out of the 42 S. aureus strains carried at least one of eight virulence-associated genes, either encoding extracellular toxins or cell wall-associated proteins, including hlg (γ-hemolysin), lpv (Panton–Valentine leukocidin), fib (fibrinogen-binding protein), clfA and clfB (clumping factors A and B), bbp (bone sialoprotein-binding protein), fnbB (fibronectin-binding protein B), and ebps (elastin-binding protein).
The most frequently detected were clfA and clfB, identified in 36 strains (85.71%) (Table 6). The clfA and clfB genes encode clumping factors involved in adherence to fibrinogen-coated surfaces and agglutination with plasma proteins. The fib gene, which encodes a fibrinogen-binding protein, was identified in 15 strains (35.71%) (Table 6). Only seven strains (16.66%) expressed the hlg gene encoding γ-hemolysin (Table 6). None of the isolates expressed the ebps, fnbB, or lpv genes.
Among the S. aureus strains isolated from paronychia lesions, half of them expressed the fib gene encoding the fibrinogen-binding protein, and one-third expressed the bbp gene (Figure 7). Notably, all S. aureus strains isolated from acneiform eruptions expressed the clfA and clfB genes, while none of them expressed the bbp gene (Figure 7).
Strikingly, all isolates from acneiform lesions expressed both clfA and clfB, but none expressed bbp, suggesting a specific adhesion profile associated with this clinical pattern (Figure 8). Conversely, paronychia isolates exhibited higher heterogeneity, with expression of both fib and bbp observed in a subset of cases (Figure 8).

2.2. Phenotypic and Genotypic Characterization of Antibiotic Resistance in S. aureus Strains Isolated from Papulopustular Lesions and Paronychia Associated with Epidermal Growth Factor Receptor Inhibitor Therapy

2.2.1. Phenotypic Resistance to Antibiotics

The S. aureus strains studied exhibited a high degree of resistance to antibiotics from various classes (Table 7, Supplementary Table S1). Phenotypic antibiotic susceptibility testing of S. aureus strains isolated from cutaneous lesions in patients receiving EGFR inhibitor therapy revealed a high degree of resistance to penicillins. Specifically, 83.33% of isolates were resistant to penicillin, and 16.665% to methicillin. Regarding macrolides, 45.23% of isolates were resistant to erythromycin, and 42.85% to clindamycin. All tested strains retained full sensitivity to linezolid, vancomycin, gentamicin, rifampicin, tobramycin, chloramphenicol, fusidic acid, and fluoroquinolones (ciprofloxacin, ofloxacin).
However, resistance to tetracyclines—frequently used in both prophylactic and therapeutic management of EGFR inhibitor-induced reactions—was notably high, with 57.14% of isolates resistant to tetracycline and doxycycline (Table 8). These findings underscore the importance of susceptibility testing prior to initiating tetracycline-based regimens in this patient population.
The CTCAE severity scores associated with the seven methicillin-resistant (MRSA) isolates ranged from grade 1 to grade 3. These are detailed in Table 8.

2.2.2. Genotypic Resistance Profiles

The presence of 15 genes associated with methicillin resistance—and consequently resistance to β-lactam antibiotics—was investigated using PCR-based assays.
Genotypic analysis of the 42 S. aureus isolates revealed a low prevalence of key resistance genes: mecA in three strains (7.14%), mecI in four strains (9.52%), and ccrB2 in three strains (7.14%) (Table 9).
SCCmec type IV gene was identified more frequently, being detected in nine isolates (21.42%) (Table 9).
In contrast, SCCmec type I and SCCmec III J1 were found in only two isolates (4.76%). The kdp gene was expressed in a single strain (Table 9).
SCCmec cassette types III, V, and II were not detected in any of the S. aureus isolates analyzed.

3. Discussion

The papulopustular eruption was reported in most patients, of whom the majority were undergoing treatment with cetuximab and only a few with erlotinib. Severe paronychia manifested in six patients receiving high-dose cetuximab, generally in conjunction with FOLFOX or FOLFIRI regimens. These lesions emerged after an eight-week treatment period as painful inflammation of the periungual folds, frequently exacerbated by the formation of abscesses or pyogenic granulomas. Although dose reductions were rare, Grade 2 papulopustular eruptions and paronychia significantly affected quality of life in 38% of the cohort.
Initially, the administration of systemic antibiotics was restricted to the period following the onset of CARs; however, emerging evidence supporting the prophylactic use of tetracyclines (200 mg/day), in conjunction with emollients and appropriate skin care, has illustrated a greater than 50% reduction in Grade 2 or lower CARs, thereby supporting their integration into standardized care protocols [9,33,34]. Despite a rising incidence of tetracycline-resistant S. aureus strains, doxycycline continues to exhibit clinical relevance due to its anti-inflammatory properties, which include the inhibition of matrix metalloproteinases [35,36]. CARs typically intensify during the initial month of treatment and subsequently achieve stabilization and improvement by the 6–8 week mark, underscoring the critical need for early prophylactic interventions [37]. Although CAR severity has functioned as a pharmacodynamic indicator in clinical trials, the extensive implementation of prophylactic measures may potentially diminish its prognostic significance [6]. In the context of clinical practice, dosing modifications for cetuximab are not predicated upon the grading of CARs [6].
Microbiological evaluations revealed the presence of S. aureus in 90% of patients exhibiting CARs. Additional pathogenic organisms included S. marcescens, C. diversus K. oxytoca, P. aeruginosa, S. epidermidis, and E. faecalis. Importantly, no instances of systemic infections were reported. Sampling methodologies were designed to ensure that the isolated pathogens accurately represented true infections rather than mere surface colonization [38,39]. Moreover, approximately one-third of patients included in the study carried nasal strains that were genetically and phenotypically congruent with those isolated from skin lesions, implying autoinoculation as a plausible mechanism. This finding underscores the significance of nasal colonization not only as a reservoir for S. aureus but also as a modifiable risk factor that may contribute to the persistence or relapse of dermatologic toxicity. The high concordance between nasal and cutaneous isolates highlights the need for targeted screening and decolonization strategies—particularly in patients with recurrent or severe CARs—to improve therapeutic outcomes and reduce lesion chronicity.
Antibiotic susceptibility evaluations indicated elevated resistance rates among S. aureus isolates, particularly concerning penicillins (85%) and tetracyclines (57%). All strains maintained susceptibility to fluoroquinolones, linezolid, vancomycin, and rifampicin. Genotypic analyses revealed the presence of SCCmec type IV in roughly 20% of strains, suggesting a potential community-acquired origin [40,41]. The mecA gene was identified in only 7% of isolates, which may be attributable to alternative resistance mechanisms or genetic loss during subculturing procedures [42,43,44].
All isolates demonstrated the capacity for biofilm formation, with strains originating from paronychia and late-onset papulopustular eruptions exhibiting more pronounced biofilm production. This observation suggests a potential correlation with chronicity and resistance to treatment [45,46]. Phenotypically, all strains displayed multiple virulence factors, with high prevalence rates of hemolysins, lecithinase, lipase, esculinase, and caseinase. Conversely, gelatinase was infrequently detected (23.8%), while DNase activity was recorded in 45.2% of strains.
Virulence index scores, derived from enzyme expression profiles, exhibited a weak yet statistically significant correlation with CTCAE-based grading of CARs severity. Among the evaluated factors, DNase and esculinase emerged as the most predictive, with an enzymatic score of 3 conferring an 18-fold elevated risk for the development of severe CARs, making it a potentially robust marker for early identification of high-risk patients. Principal component analysis did not reveal stronger associations beyond these individual enzymes. The association between the enzymatic score and the clinical severity of cutaneous adverse reactions suggests that virulence factor profiling could serve as a predictive tool in clinical practice. Given the ease of phenotypic assessment through standard microbiological techniques, incorporating such enzymatic profiling into diagnostic workflows could allow for timely, risk-adapted therapeutic strategies. However, prospective validation in larger cohorts is necessary to determine its reproducibility and clinical utility. Although we characterized both phenotypic and genotypic virulence features, we did not directly correlate gene presence with enzymatic activity. This is a limitation of the current study and should be addressed in future investigations using larger datasets and transcriptomic validation to determine whether gene expression consistently translates into functional protein activity.
Genotypic profiling indicated a high expression of adhesion-related genes such as clfA and clfB (85.7%) and fib (~33%), while extracellular virulence genes, including hlg and bbp, were rarely identified. Notably, ebps, fnbB, and lpv were absent across all isolates. The dominance of cell wall-associated virulence genes may play a significant role in prolonging colonization and contributing to resistance against therapeutic interventions.
Protein A and the fibronectin-binding proteins A and B (encoded by fnbA/fnbB) facilitate the adherence to fibronectin in fibrin clots or extracellular matrices of the host and have been associated with the pathogenesis of endocarditis [19]. Clumping factors A and B (clfA, clfB) promote the binding of fibrinogen—where clfA specifically interacts with the γ-chain and clfB with the α- and β-chains—thereby contributing to immune evasion and the persistence of chronic infections [19,47,48]. Additionally, Protein A exhibits affinity for the Fc region of immunoglobulin G and von Willebrand factor, thereby further compromising host immune defenses [49]. Strains that express bbp, as well as collagen- and fibronectin-binding proteins, have been correlated with the pathogenesis of osteomyelitis [50].
S. aureus augments tissue invasiveness and immune evasion through the secretion of α-, β-, and γ-hemolysins, along with Panton–Valentine leukocidin, which collectively form pores in host cell membranes and instigate cellular lysis [51,52]. While α-hemolysin specifically targets platelets and monocytes, PVL—encoded by lpv—selectively affects leukocytes and has been implicated in necrotizing skin infections and methicillin-resistant S. aureus pneumonia [19,53,54]. Although γ-hemolysin, encoded by hlg, was found to be expressed in less than 20% of our isolates, it is noteworthy that all strains demonstrated some degree of hemolytic activity [19,55].
Coagulase plays a significant role in immune evasion by forming staphylothrombin complexes with prothrombin, which facilitates localized fibrin clot formation [19]. Lecithinase and lipase contribute to the degradation of phosphatidylcholine, thereby enhancing tissue invasion, while hemolysins promote iron acquisition through the breakdown of hemoglobin [56,57,58]. Esculinase catalyzes the hydrolysis of esculin, resulting in the production of esculetol that chelates iron, a critical factor for the expression of virulence determinants [56,57]. Caseinase and gelatinase compromise the integrity of connective tissue, thereby enhancing the organism’s invasiveness, while DNase and amylase facilitate immune evasion and metabolic processes [56,57,58,59].

4. Materials and Methods

4.1. Patient Selection and Sample Processing

Fifty-five adult oncology patients who developed EGFR inhibitor–associated CARs were enrolled in our study. S. aureus identification was based on colony morphology, Gram staining, catalase and coagulase positivity, and confirmation via the VITEK® 2 Compact system (bioMérieux, Marcy-l’Étoile, France).
Only those with microbiologically confirmed S. aureus colonization or infection were selected for microbiological and molecular analysis. A total of 42 S. aureus strains were isolated from skin lesions and underwent phenotypic and genotypic characterization for antibiotic resistance and virulence.

4.2. Antibiotic Susceptibility Testing

Phenotypic antibiotic susceptibility was assessed using the Kirby–Bauer disk diffusion methodology on Mueller–Hinton agar in accordance with the established guidelines of the 2014 Clinical and Laboratory Standards Institute (CLSI) and subsequently verified through the automated VITEK 2 Compact system [60,61,62]. The resistance profiles were classified within the framework of multidrug-resistant (MDR), extensively drug-resistant (XDR), and pandrug-resistant (PDR) bacteria, as delineated by Magiorakos et al. (2012) [63].
Nevertheless, it is important to note that the classification was contingent upon the spectrum of antibiotics encompassed within the local testing panel available at the time of the investigation. Not all antimicrobial categories listed by Magiorakos et al. (2012) [63] were subjected to testing; consequently, the MDR/XDR/PDR classification was employed within a constrained context and should be interpreted accordingly. This limitation has been acknowledged, and the terminology used is primarily intended to facilitate a comparative discourse regarding resistance patterns.

4.3. Biofilm Formation Assay

The biofilm-producing ability of S. aureus isolates was evaluated using the standard microtiter plate assay. The isolates were cultivated in Tryptic Soy Broth (TSB) without glucose supplementation, adjusted to a turbidity equivalent to 0.5 McFarland standard (approximately 1.5 × 108 CFU/mL). A volume of 10 µL of this standardized inoculum was added to each well of a 96-well microtiter plate containing fresh TSB and incubated at 37 °C for 24, 48, and 72 h [64,65]. After incubation, wells were gently washed, stained with 0.1% crystal violet, and the dye retained by the adherent biofilm was solubilized using 33% acetic acid. The optical density was measured at 492 nm to quantify biofilm biomass [22,65].

4.4. Phenotypic Detection of Soluble Virulence Factors

Phenotypic identification of soluble virulence determinants in S. aureus was conducted through spot inoculation on nutrient agar media augmented with enzyme-specific substrates. The enzymatic virulence determinants subjected to evaluation included: hemolysins (α and β), amylase, caseinase, gelatinase, esculinase, DNase, lipase, and lecithinase. Reactions were interpreted based on the appearance of characteristic halos or precipitates as described in previous literature [19,54,60].
Hemolysins were examined on 7% sheep blood agar, incubated at 37 °C for a duration of 24 h. Hemolysis was categorized into β-hemolysis (complete, transparent halo), α-hemolysis (partial, greenish halo), or γ-hemolysis (absence of hemolysis). In certain instances, plates were stored at 4 °C for a period of 30 min prior to analysis to augment visualization.
Lecithinase activity was evaluated on agar enriched with 2.5% egg yolk and incubated at 37 °C for a maximum of 7 days. A positive response was signified by an opaque zone (precipitation) resulting from diglyceride formation or a transparent halo due to lipid complex hydrolysis.
Lipase was assessed utilizing agar fortified with 1% sorbitol monooleate and incubated at 37 °C for a maximum of 7 days. The presence of a white, opaque precipitation zone signaled enzymatic degradation of monooleate and the subsequent formation of insoluble calcium oleate crystals.
DNase activity was identified on DNase agar augmented with methyl green, incubated at 37 °C for 24 h. The presence of a clear zone surrounding the colony indicated DNA hydrolysis.
Esculinase activity was evaluated using agar composed of 1% esculin and 1% ferric ammonium citrate. Following 24 h of incubation at 37 °C, the darkening of the medium indicated the production of esculetol and subsequent chelation of iron.
Caseinase activity was examined on agar containing 15% casein and incubated at 37 °C for 24 h. The manifestation of a precipitation zone indicated proteolytic breakdown of casein and the formation of insoluble paracaseinate.
Gelatinase was assessed on agar containing 3% gelatin. Plates were incubated at 37 °C for 24 h, and the emergence of a clear halo post-refrigeration confirmed enzymatic activity.
Amylase was evaluated on starch agar incubated at 37 °C for 24 h, followed by staining with Lugol’s iodine. A yellow halo surrounding colonies on a blue background indicated the hydrolysis of starch.
Each strain was evaluated in duplicate. Only consistently positive results were documented, and all assays were interpreted visually by trained personnel utilizing standardized criteria.

4.5. Genotypic Characterization of Virulence and Resistance Markers

Genomic DNA was extracted using an alkaline lysis method, and its concentration and purity were verified by agarose gel electrophoresis [19]. Virulence genes—bbp, clfA, clfB, ebps, fnbB, fib, lpv, and hlg—were detected using multiplex polymerase chain reaction (PCR) based on the protocol by Cotar et al. [19] (Table 10, Table 11 and Table 12, Supplementary Table S2). enotypic methicillin resistance profiling was performed through multiplex PCR targeting S. aureus SCCmec cassette types I–V, using primer sets and amplification protocols described by Milheiriço et al. and Zhang et al. [66,67] (Table 10, Table 11 and Table 12). PCR amplification was performed with GoTaq® Green Master Mix (Jena Bioscience, Jena, Germany), and reactions were carried out on a Corbett Thermal Cycler with specific cycling conditions for each gene group.
PCR amplicons were visualized by 1.5% agarose gel electrophoresis stained with ethidium bromide (10 µg/mL) under ultraviolet (UV) light and compared with 100 bp molecular weight markers (M-Bench Top 100 bp DNA Ladder, Promega, Madison, WI, USA).

4.6. Clinical Correlation

Clinical severity of skin reactions was graded using the common terminology criteria for adverse events CTCAE v4.03 scale and correlated with bacterial genotypic profiles, biofilm-forming ability, and expression of soluble virulence factors.

4.7. Statistical Analysis

Patient data were entered into an OpenOffice Calc database (version 4.1.1, Apache Software Foundation). Statistical analyses were conducted using SAS University Edition (SAS Institute Inc., Cary, NC, USA) and R version 3.3.0 (R Foundation for Statistical Computing, Vienna, Austria), with supplementary analyses performed in RStudio version 0.99.902. Several R packages were used, including asbio, boot, bootstrap, and arm.
Descriptive statistics included the calculation of absolute and relative frequencies for categorical variables. For continuous variables, central tendency and variability were assessed using the mean, median, standard deviation, variance, and interquartile range (IQR). Distribution characteristics such as skewness and kurtosis were also computed. The Shapiro–Wilk test was applied to evaluate normality, and graphical representations included histograms, density plots, normal probability plots, and boxplots.
Inferential analyses were selected based on the distribution of the data. For variables approximating a normal distribution, Welch’s two-sample t-test was used to compare groups. For variables deviating from Gaussian distribution, a bootstrap resampling approach was employed to assess differences in medians. Comparisons involving more than two patient groups were conducted using analysis of variance (ANOVA). Associations between continuous variables were examined using Spearman’s rank correlation coefficient (ρ). A p-value below 0.05 was considered statistically significant.

5. Conclusions

S. aureus was identified in 90% of papulopustular and paronychia lesions associated with EGFR inhibitor therapy, with numerous strains demonstrating multidrug resistance (MDR)—particularly to β-lactams and tetracyclines—and a pronounced capacity for biofilm formation, especially in lesions exhibiting chronic progression. Virulence profiling revealed the frequent expression of pore-forming enzymes, esculinase, and caseinase, while DNase and esculinase expression showed a significant correlation with clinical severity.
From a genotypic standpoint, adhesion-related virulence genes (clfA, clfB, fib) were frequently expressed, whereas genes encoding exotoxins (hlg, lpv) were less commonly detected, suggesting a virulence profile that favors colonization and persistence over acute toxicity.
Notably, approximately one-third of patients harbored nasal strains that were both genetically and phenotypically identical to those isolated from skin lesions, suggesting that nasal colonization may serve as a reservoir for autoinoculation and recurrence. This finding underscores the need for routine nasal screening and decolonization strategies in patients initiating EGFR inhibitor therapy, particularly those with recurrent or severe cutaneous adverse reactions (CARs).
The enzymatic score—especially when based on DNase and esculinase expression levels—showed strong predictive value for CAR severity and may serve as a promising clinical biomarker. Its simplicity and accessibility support further validation in prospective clinical trials.
Collectively, these findings highlight the pivotal role of S. aureus in the pathogenesis of CARs and support the integration of routine microbial sampling and antibiogram-guided therapy into standard management. Future research should explore molecular distinctions between early- and late-onset eruptions and validate enzymatic scoring as a tool for risk stratification and personalized therapeutic interventions.

Supplementary Materials

The following supporting information can be downloaded at: https://www.mdpi.com/article/10.3390/ijms26146595/s1.

Author Contributions

Conceptualization, M.-M.M., I.A., A.M.H., I.G.-B., M.-C.C., L.-M.D., C.-I.I., D.A. and B.B.-G.; methodology, M.-M.M., I.A., A.M.H., I.G.-B., M.-C.C., L.-M.D., C.-I.I., D.A. and B.B.-G.; software, M.-M.M., I.A., A.M.H., I.G.-B., M.-C.C., L.-M.D., C.-I.I., D.A. and B.B.-G.; validation, M.-M.M., I.A., A.M.H., I.G.-B., M.-C.C., L.-M.D., C.-I.I., D.A. and B.B.-G.; formal analysis, M.-M.M., I.A., A.M.H., I.G.-B., M.-C.C., L.-M.D., C.-I.I., D.A. and B.B.-G.; investigation, M.-M.M., I.A., A.M.H., I.G.-B., M.-C.C., L.-M.D., C.-I.I., D.A. and B.B.-G.; resources, M.-M.M., I.A., A.M.H., I.G.-B., M.-C.C., L.-M.D., C.-I.I., D.A. and B.B.-G.; data curation, M.-M.M., I.A., A.M.H., I.G.-B., M.-C.C., L.-M.D., C.-I.I., D.A. and B.B.-G.; writing—original draft preparation, M.-M.M., I.A., A.M.H., I.G.-B., M.-C.C., L.-M.D., C.-I.I., D.A. and B.B.-G.; writing—review and editing, M.-M.M., I.A., A.M.H., I.G.-B., M.-C.C., L.-M.D., C.-I.I., D.A. and B.B.-G.; visualization, M.-M.M. and I.A.; supervision, M.-M.M. and B.B.-G.; project administration, M.-M.M. and A.M.H.; funding acquisition, A.M.H. All authors have read and agreed to the published version of the manuscript.

Funding

This research received no external funding.

Institutional Review Board Statement

The study was conducted in accordance with the Declaration of Helsinki, and approved by the Ethics Committee of Bucharest University Emergency Hospital (1 July 2015).

Informed Consent Statement

Informed consent was obtained from all subjects involved in the study. Written informed consent has been obtained from the patients to publish this paper.

Data Availability Statement

Data are contained within the article and Supplementary Materials.

Acknowledgments

Alina-Maria Holban acknowledges the financial support of the French Institute in Romania through the Programme de Bourses France Excellence Roumanie.

Conflicts of Interest

The authors declare no conflicts of interest.

Abbreviations

The following abbreviations are used in this manuscript:
CTCAECommon Terminology Criteria for Adverse Events
EGFREpidermal Growth Factor Receptor
95% CI95% Confidence Interval (calculated using the Student’s t distribution)
IQRInterquartile Range (difference between the 75th and 25th percentiles)
MDRMultidrug-Resistant
PDRPandrug-Resistant
PCRPolymerase Chain Reaction
S. aureusStaphylococcus aureus
XDRExtensively Drug-Resistant

References

  1. Hu, J.C.; Sadeghi, P.; Pinter-Brown, L.C.; Yashar, S.; Chiu, M.W. Cutaneous side effects of epidermal growth factor receptor inhibitors: Clinical presentation, pathogenesis, and management. J. Am. Acad. Dermatol. 2007, 56, 317–326. [Google Scholar] [CrossRef] [PubMed]
  2. Lacouture, M.E.; Lai, S.E. The PRIDE (Papulopustules and/or paronychia, Regulatory abnormalities of hair growth, Itching, and Dryness due to Epidermal growth factor receptor inhibitors) syndrome. Br. J. Dermatol. 2006, 155, 852–854. [Google Scholar] [CrossRef] [PubMed]
  3. Perez-Soler, R. Rash as a surrogate marker for efficacy of epidermal growth factor receptor inhibitors in lung cancer. Clin. Lung Cancer 2006, 8 (Suppl. 1), S7–S14. [Google Scholar] [CrossRef] [PubMed]
  4. Wacker, B.; Nagrani, T.; Weinberg, J.; Witt, K.; Clark, G.; Cagnoni, P.J. Correlation between development of rash and efficacy in patients treated with the epidermal growth factor receptor tyrosine kinase inhibitor erlotinib in two large phase III studies. Clin. Cancer Res. 2007, 13, 3913–3921. [Google Scholar] [CrossRef]
  5. Pérez-Soler, R.; Chachoua, A.; Hammond, L.A.; Rowinsky, E.K.; Huberman, M.; Karp, D.; Rigas, J.; Clark, G.M.; Santabárbara, P.; Bonomi, P. Determinants of tumor response and survival with erlotinib in patients with non-small-cell lung cancer. J. Clin. Oncol. 2004, 22, 3238–3247. [Google Scholar] [CrossRef]
  6. Van Cutsem, E.; Tejpar, S.; Vanbeckevoort, D.; Peeters, M.; Humblet, Y.; Gelderblom, H.; Vermorken, J.B.; Viret, F.; Glimelius, B.; Gallerani, E.; et al. Intrapatient cetuximab dose escalation in metastatic colorectal cancer according to the grade of early skin reactions: The randomized EVEREST study. J. Clin. Oncol. 2012, 30, 2861–2868. [Google Scholar] [CrossRef]
  7. Chanprapaph, K.; Vachiramon, V.; Rattanakaemakorn, P. Epidermal growth factor receptor inhibitors: A review of cutaneous adverse events and management. Dermatol. Res. Pract. 2014, 2014, 734249. [Google Scholar] [CrossRef]
  8. Reyes-Habito, C.M.; Roh, E.K. Cutaneous reactions to chemotherapeutic drugs and targeted therapy for cancer: Part II. Targeted therapy. J. Am. Acad. Dermatol. 2014, 71, 217.e1–217.e11. [Google Scholar] [CrossRef]
  9. Jatoi, A.; Green, E.M.; Rowland, K.M., Jr.; Sargent, D.J.; Alberts, S.R. Clinical predictors of severe cetuximab-induced rash: Observations from 933 patients enrolled in North Central Cancer Treatment Group Study N0147. Oncology 2009, 77, 120–123. [Google Scholar] [CrossRef]
  10. Roé, E.; García Muret, M.P.; Marcuello, E.; Capdevila, J.; Pallarés, C.; Alomar, A. Description and management of cutaneous side effects during cetuximab or erlotinib treatments: A prospective study of 30 patients. J. Am. Acad. Dermatol. 2006, 55, 429–437. [Google Scholar] [CrossRef]
  11. Lichtenberger, B.M.; Gerber, P.A.; Holcmann, M.; Buhren, B.A.; Amberg, N.; Smolle, V.; Schrumpf, H.; Boelke, E.; Ansari, P.; Mackenzie, C.; et al. Epidermal EGFR controls cutaneous host defense and prevents inflammation. Sci. Transl. Med. 2013, 5, 199ra111. [Google Scholar] [CrossRef] [PubMed]
  12. Davis, K.A.; Stewart, J.J.; Crouch, H.K.; Florez, C.E.; Hospenthal, D.R. Methicillin-resistant Staphylococcus aureus (MRSA) nares colonization at hospital admission and its effect on subsequent MRSA infection. Clin. Infect. Dis. 2004, 39, 776–782. [Google Scholar] [CrossRef] [PubMed]
  13. Tomi, N.S.; Kränke, B.; Aberer, E. Staphylococcal toxins in patients with psoriasis, atopic dermatitis, and erythroderma, and in healthy control subjects. J. Am. Acad. Dermatol. 2005, 53, 67–72. [Google Scholar] [CrossRef] [PubMed]
  14. Bunikowski, R.; Mielke, M.E.; Skarabis, H.; Worm, M.; Anagnostopoulos, I.; Kolde, G.; Wahn, U.; Renz, H. Evidence for a disease-promoting effect of Staphylococcus aureus-derived exotoxins in atopic dermatitis. J. Allergy Clin. Immunol. 2000, 105, 814–819. [Google Scholar] [CrossRef]
  15. Jackow, C.M.; Cather, J.C.; Hearne, V.; Asano, A.T.; Musser, J.M.; Duvic, M. Association of erythrodermic cutaneous T-cell lymphoma, superantigen-positive Staphylococcus aureus, and oligoclonal T-cell receptor V beta gene expansion. Blood 1997, 89, 32–40, Erratum in Blood 1997, 89, 3496. [Google Scholar] [PubMed]
  16. Yokote, R.; Tokura, Y.; Furukawa, F.; Takigawa, M. Decreased responsiveness of T cells to toxic shock syndrome toxin-1 in patients with severe psoriasis at active stage. Arch. Dermatol. Res. 1997, 289, 547–550. [Google Scholar] [CrossRef]
  17. Schito, G.C. The importance of the development of antibiotic resistance in Staphylococcus aureus. Clin. Microbiol. Infect. 2006, 12 (Suppl. 1), 3–8. [Google Scholar] [CrossRef]
  18. Jarraud, S.; Mougel, C.; Thioulouse, J.; Lina, G.; Meugnier, H.; Forey, F.; Nesme, X.; Etienne, J.; Vandenesch, F. Relationships between Staphylococcus aureus genetic background, virulence factors, agr groups (alleles), and human disease. Infect. Immun. 2002, 70, 631–641. [Google Scholar] [CrossRef]
  19. Cotar, A.I.; Chifiriuc, M.C.; Dinu, S.; Bucur, M.; Iordache, C.; Banu, O.; Dracea, O.; Larion, C.; Lazar, V. Screening of molecular virulence markers in Staphylococcus aureus and Pseudomonas aeruginosa strains isolated from clinical infections. Int. J. Mol. Sci. 2010, 11, 5273–5291. [Google Scholar] [CrossRef]
  20. Gordon, R.J.; Lowy, F.D. Pathogenesis of methicillin-resistant Staphylococcus aureus infection. Clin. Infect. Dis. 2008, 46 (Suppl. 5), S350–S359. [Google Scholar] [CrossRef]
  21. Hall-Stoodley, L.; Costerton, J.W.; Stoodley, P. Bacterial biofilms: From the natural environment to infectious diseases. Nat. Rev. Microbiol. 2004, 2, 95–108. [Google Scholar] [CrossRef] [PubMed]
  22. Mihai, M.M.; Holban, A.M.; Giurcăneanu, C.; Popa, L.G.; Buzea, M.; Filipov, M.; Lazăr, V.; Chifiriuc, M.C.; Popa, M.I. Identification and phenotypic characterization of the most frequent bacterial etiologies in chronic skin ulcers. Rom. J. Morphol. Embryol. 2014, 55, 1401–1408. [Google Scholar] [PubMed]
  23. Flemming, H.C.; Wingender, J. The biofilm matrix. Nat. Rev. Microbiol. 2010, 8, 623–633. [Google Scholar] [CrossRef] [PubMed]
  24. Mihai, M.M.; Holban, A.M.; Giurcaneanu, C.; Popa, L.G.; Oanea, R.M.; Lazar, V.; Chifiriuc, M.C.; Popa, M.; Popa, M.I. Microbial biofilms: Impact on the pathogenesis of periodontitis, cystic fibrosis, chronic wounds and medical device-related infections. Curr. Top. Med. Chem. 2015, 15, 1552–1576. [Google Scholar] [CrossRef]
  25. Mihai, M.M.; Giurcăneanu, C.; Popa, L.G.; Nițipir, C.; Popa, M.I. Controversies and challenges of chronic wound infection diagnosis and treatment. Mod. Med. 2015, 22, 375–381. [Google Scholar]
  26. Donlan, R.M.; Costerton, J.W. Biofilms: Survival mechanisms of clinically relevant microorganisms. Clin. Microbiol. Rev. 2002, 15, 167–193. [Google Scholar] [CrossRef]
  27. Anderson, G.G.; O’Toole, G.A. Innate and induced resistance mechanisms of bacterial biofilms. Curr. Top. Microbiol. Immunol. 2008, 322, 85–105. [Google Scholar] [CrossRef]
  28. Thurlow, L.R.; Hanke, M.L.; Fritz, T.; Angle, A.; Aldrich, A.; Williams, S.H.; Engebretsen, I.L.; Bayles, K.W.; Horswill, A.R.; Kielian, T. Staphylococcus aureus biofilms prevent macrophage phagocytosis and attenuate inflammation in vivo. J. Immunol. 2011, 186, 6585–6596. [Google Scholar] [CrossRef]
  29. Molin, S.; Tolker-Nielsen, T. Gene transfer occurs with enhanced efficiency in biofilms and induces enhanced stabilisation of the biofilm structure. Curr. Opin. Biotechnol. 2003, 14, 255–261. [Google Scholar] [CrossRef]
  30. Percival, S.L.; Hill, K.E.; Williams, D.W.; Hooper, S.J.; Thomas, D.W.; Costerton, J.W. A review of the scientific evidence for biofilms in wounds. Wound Repair Regen. 2012, 20, 647–657. [Google Scholar] [CrossRef]
  31. Thomson, C.H. Biofilms: Do they affect wound healing? Int. Wound J. 2011, 8, 63–67. [Google Scholar] [CrossRef] [PubMed]
  32. Høiby, N.; Bjarnsholt, T.; Givskov, M.; Molin, S.; Ciofu, O. Antibiotic resistance of bacterial biofilms. Int. J. Antimicrob. Agents 2010, 35, 322–332. [Google Scholar] [CrossRef] [PubMed]
  33. Lynch, T.J., Jr.; Kim, E.S.; Eaby, B.; Garey, J.; West, D.P.; Lacouture, M.E. Epidermal growth factor receptor inhibitor-associated cutaneous toxicities: An evolving paradigm in clinical management. Oncologist 2007, 12, 610–621. [Google Scholar] [CrossRef] [PubMed]
  34. Lacouture, M.E.; Mitchell, E.P.; Shearer, H.; Iannotti, N.; Piperdi, B.; Pillai, M.V.; Xu, F.; Yassine, M. Impact of Pre-Emptive Skin Toxicity (ST) Treatment on Panitumumab (pmab)-Related Skin Toxicities and Quality of Life in Patients with Metastatic Colorectal Cancer: Results from STEPP. In Proceedings of the ASCO 2009 Gastrointestinal Cancers Symposium, San Francisco, CA, USA, 15–17 January 2009. Abstract 291. [Google Scholar]
  35. Han, L.L.; McDougal, L.K.; Gorwitz, R.J.; Mayer, K.H.; Patel, J.B.; Sennott, J.M.; Fontana, J.L. High frequencies of clindamycin and tetracycline resistance in methicillin-resistant Staphylococcus aureus pulsed-field type USA300 isolates collected at a Boston ambulatory health center. J. Clin. Microbiol. 2007, 45, 1350–1352. [Google Scholar] [CrossRef]
  36. Gridelli, C.; Maione, P.; Amoroso, D.; Baldari, M.; Bearz, A.; Bettoli, V.; Cammilluzzi, E.; Crinò, L.; De Marinis, F.; Di Pietro, F.A.; et al. Clinical significance and treatment of skin rash from erlotinib in non-small cell lung cancer patients: Results of an Experts Panel Meeting. Crit. Rev. Oncol. Hematol. 2008, 66, 155–162. [Google Scholar] [CrossRef]
  37. Scope, A.; Agero, A.L.; Dusza, S.W.; Myskowski, P.L.; Lieb, J.A.; Saltz, L.; Kemeny, N.E.; Halpern, A.C. Randomized double-blind trial of prophylactic oral minocycline and topical tazarotene for cetuximab-associated acne-like eruption. J. Clin. Oncol. 2007, 25, 5390–5396. [Google Scholar] [CrossRef]
  38. Boyce, J.M. MRSA patients: Proven methods to treat colonization and infection. J. Hosp. Infect. 2001, 48 (Suppl. A), S9–S14. [Google Scholar] [CrossRef]
  39. Mihai, M.M.; Popa, M.I.; Holban, A.M.; Gheorghe-Barbu, I.; Popa, L.G.; Chifiriuc, M.-C.; Giurcăneanu, C.; Bleotu, C.; Cucu, C.I.; Lazăr, V.; et al. Clinical and microbiological features of host-bacterial interplay in chronic venous ulcers versus other types of chronic skin ulcers. Front. Microbiol. 2024, 14, 1326904. [Google Scholar] [CrossRef]
  40. Stojanov, M.; Blanc, D.S. Characterization of the staphylococcal cassette chromosome mec insertion site in 108 isolates lacking the mecA gene and identified as methicillin-resistant Staphylococcus aureus by the Xpert MRSA assay. Eur. J. Clin. Microbiol. Infect. Dis. 2014, 33, 1967–1971. [Google Scholar] [CrossRef]
  41. Nitipir, C.; Barbu, M.A.; Popa, L.G.; Mihai, M.M.; Radu, I.; Mirea, D.; Giurcaneanu, C.; Scăunașu, R.V. Management of papulo-pustular rash induced by epidermal growth factor receptor inhibitors. Farmacia 2015, 63, 875–881. [Google Scholar]
  42. Ito, T.; Katayama, Y.; Hiramatsu, K. Cloning and nucleotide sequence determination of the entire mec DNA of pre-methicillin-resistant Staphylococcus aureus N315. Antimicrob. Agents Chemother. 1999, 43, 1449–1458. [Google Scholar] [CrossRef] [PubMed]
  43. Elhassan, M.M.; Ozbak, H.A.; Hemeg, H.A.; Elmekki, M.A.; Ahmed, L.M. Absence of the mecA Gene in Methicillin Resistant Staphylococcus aureus Isolated from Different Clinical Specimens in Shendi City, Sudan. Biomed. Res. Int. 2015, 2015, 895860. [Google Scholar] [CrossRef]
  44. van Griethuysen, A.; van Loo, I.; van Belkum, A.; Vandenbroucke-Grauls, C.; Wannet, W.; van Keulen, P.; Kluytmans, J. Loss of the mecA gene during storage of methicillin-resistant Staphylococcus aureus strains. J. Clin. Microbiol. 2005, 43, 1361–1365. [Google Scholar] [CrossRef] [PubMed]
  45. Mihai, M.M.; Holban, A.; Călugăreanu, A.; Orzan, O.A. Recent advances in diagnosis and therapy of skin cancers through nanotechnological approaches. In Nanostructures for Cancer Therapy; Ficai, A., Grumezescu, A.M., Eds.; Elsevier: Cambridge, UK, 2017; pp. 285–306. [Google Scholar] [CrossRef]
  46. Mihai, M.M.; Bălăceanu-Gurău, B.; Ion, A.; Holban, A.M.; Gurău, C.-D.; Popescu, M.N.; Beiu, C.; Popa, L.G.; Popa, M.I.; Dragomirescu, C.C.; et al. Host-Microbiome Crosstalk in Chronic Wound Healing. Int. J. Mol. Sci. 2024, 25, 4629. [Google Scholar] [CrossRef]
  47. Plata, K.; Rosato, A.E.; Wegrzyn, G. Staphylococcus aureus as an infectious agent: Overview of biochemistry and molecular genetics of its pathogenicity. Acta Biochim. Pol. 2009, 56, 597–612. [Google Scholar]
  48. Entenza, J.M.; Foster, T.J.; Ni Eidhin, D.; Vaudaux, P.; Francioli, P.; Moreillon, P. Contribution of clumping factor B to pathogenesis of experimental endocarditis due to Staphylococcus aureus. Infect. Immun. 2000, 68, 5443–5446. [Google Scholar] [CrossRef]
  49. Hartleib, J.; Köhler, N.; Dickinson, R.B.; Chhatwal, G.S.; Sixma, J.J.; Hartford, O.M.; Foster, T.J.; Peters, G.; Kehrel, B.E.; Herrmann, M. Protein A is the von Willebrand factor binding protein on Staphylococcus aureus. Blood 2000, 96, 2149–2156. [Google Scholar]
  50. Tristan, A.; Ying, L.; Bes, M.; Etienne, J.; Vandenesch, F.; Lina, G. Use of multiplex PCR to identify Staphylococcus aureus adhesins involved in human hematogenous infections. J. Clin. Microbiol. 2003, 41, 4465–4467. [Google Scholar] [CrossRef]
  51. Kaneko, J.; Kamio, Y. Bacterial two-component and hetero-heptameric pore-forming cytolytic toxins: Structures, pore-forming mechanism, and organization of the genes. Biosci. Biotechnol. Biochem. 2004, 68, 981–1003. [Google Scholar] [CrossRef]
  52. Foster, T.J. Immune evasion by staphylococci. Nat. Rev. Microbiol. 2005, 3, 948–958. [Google Scholar] [CrossRef]
  53. Menestrina, G.; Serra, M.D.; Prévost, G. Mode of action of beta-barrel pore-forming toxins of the staphylococcal alpha-hemolysin family. Toxicon 2001, 39, 1661–1672. [Google Scholar] [CrossRef]
  54. Popa, L.G.; Giurcaneanu, C.; Mihai, M.M.; Beiu, C.; Orzan, O.A.; Negoita, S.; Burcea, M.; Turlea, R.I.; Enachescu, C.I. The use of cadaveric skin allografts in the management of extensive wounds. Rom. J. Leg. Med. 2021, 29, 37–44. [Google Scholar] [CrossRef]
  55. Lina, G.; Piémont, Y.; Godail-Gamot, F.; Bes, M.; Peter, M.O.; Gauduchon, V.; Vandenesch, F.; Etienne, J. Involvement of Panton-Valentine leukocidin-producing Staphylococcus aureus in primary skin infections and pneumonia. Clin. Infect. Dis. 1999, 29, 1128–1132. [Google Scholar] [CrossRef]
  56. Chifiriuc, M.C.; Mihai, M.G.; Lazăr, V. Microbiologie și Virologie Medicală; Editura EUd: București, Romania, 2011. (In Romanian) [Google Scholar]
  57. Holban, A.M.; Cotar, A.I.; Chifiriuc, M.C.; Bleotu, C.; Banu, O.; Lazar, V. Variation of virulence profiles in some Staphylococcus aureus and Pseudomonas aeruginosa strains isolated from different clinical patients. Afr. J. Microbiol. Res. 2013, 7, 3453–3460. [Google Scholar]
  58. Savulescu, S.E.; Berteanu, M.; Filipescu, I.; Beiu, C.; Mihai, M.M.; Popa, L.G.; Popescu, S.I.; Balescu, I.; Bacalbasa, N.; Popescu, M.N. Repetitive Peripheral Magnetic Stimulation (rPMS) in Subjects with Lumbar Radiculopathy: An Electromyography-guided Prospective, Randomized Study. In Vivo 2021, 35, 623–627. [Google Scholar] [CrossRef]
  59. Beiu, C.; Giurcaneanu, C.; Mihai, M.; Popa, L.; Hage, R. Darier Disease—A Clinical Illustration of Its High Variable Expressivity. Cureus 2019, 11, e6292. [Google Scholar] [CrossRef]
  60. Lazăr, V.; Crăciun, R.; Balotescu, M.C. Microbiologie Generală; Editura EU: București, Romania, 2004. [Google Scholar]
  61. Popa, M. Diagnosticul de Laborator în Microbiologie; Editura Renaissance: București, Romania, 2014. [Google Scholar]
  62. CLSI M100-S24; Performance Standards for Antimicrobial Susceptibility Testing; Twenty-Fourth Informational Supplement. Clinical and Laboratory Standards Institute (CLSI): Wayne, PA, USA, 2014.
  63. Magiorakos, A.P.; Srinivasan, A.; Carey, R.B.; Carmeli, Y.; Falagas, M.E.; Giske, C.G.; Harbarth, S.; Hindler, J.F.; Kahlmeter, G.; Olsson-Liljequist, B.; et al. Multidrug-resistant, extensively drug-resistant and pandrug-resistant bacteria: An international expert proposal for interim standard definitions for acquired resistance. Clin. Microbiol. Infect. 2012, 18, 268–281. [Google Scholar] [CrossRef]
  64. Kwasny, S.M.; Opperman, T.J. Static biofilm cultures of Gram-positive pathogens grown in a microtiter format used for anti-biofilm drug discovery. Curr. Protoc. Pharmacol. 2010, 50, 13A.8.1–13A.8.23. [Google Scholar] [CrossRef]
  65. Coffey, B.M.; Anderson, G.G. Biofilm formation in the 96-well microtiter plate. In Methods in Molecular Biology; Donelli, G., Ed.; Humana Press: New York, NY, USA, 2014; Volume 1149, pp. 631–641. [Google Scholar] [CrossRef]
  66. Milheiriço, C.; Oliveira, D.C.; de Lencastre, H. Update to the multiplex PCR strategy for assignment of mec element types in Staphylococcus aureus. Antimicrob. Agents Chemother. 2007, 51, 3374–3377. [Google Scholar] [CrossRef]
  67. Zhang, K.; McClure, J.A.; Elsayed, S.; Louie, T.; Conly, J.M. Novel multiplex PCR assay for characterization and concomitant subtyping of staphylococcal cassette chromosome mec types I to V in methicillin-resistant Staphylococcus aureus. J. Clin. Microbiol. 2005, 43, 5026–5033. [Google Scholar] [CrossRef]
Figure 1. Biofilm formation of 42 S. aureus strains over 24, 48, and 72 h, measured by absorbance at 620 nm. All isolates demonstrate biofilm production, with increasing intensity over time. Strains a 25, a26, a30, a31, a36, a38 and a40 exhibited the strongest biofilm formation, while others showed moderate to low levels. Overall, biofilm-forming capacity is variable and strain-dependent.
Figure 1. Biofilm formation of 42 S. aureus strains over 24, 48, and 72 h, measured by absorbance at 620 nm. All isolates demonstrate biofilm production, with increasing intensity over time. Strains a 25, a26, a30, a31, a36, a38 and a40 exhibited the strongest biofilm formation, while others showed moderate to low levels. Overall, biofilm-forming capacity is variable and strain-dependent.
Ijms 26 06595 g001
Figure 2. Biofilm-forming capacity of S. aureus strains isolated from paronychia; (A) mean absorbance at 72 h shows enhanced biofilm formation in strains a25, a26, a30, a31, a36, and a38; (B) time-course analysis (24 h—purple, 48 h—green, 72 h—red) demonstrates consistent biofilm development, with the highest levels observed at 72 h.
Figure 2. Biofilm-forming capacity of S. aureus strains isolated from paronychia; (A) mean absorbance at 72 h shows enhanced biofilm formation in strains a25, a26, a30, a31, a36, and a38; (B) time-course analysis (24 h—purple, 48 h—green, 72 h—red) demonstrates consistent biofilm development, with the highest levels observed at 72 h.
Ijms 26 06595 g002
Figure 3. Expression of soluble virulence factors in S. aureus strains. Pore-forming toxins (haemolysins, lecithinase, lipase) were frequently expressed, indicating strong potential for tissue invasion. Among exotoxins, esculinase and caseinase were most prevalent, suggesting roles in iron acquisition and extracellular matrix degradation. Gelatinase and DNase were less commonly detected, while amylase was absent in all strains.
Figure 3. Expression of soluble virulence factors in S. aureus strains. Pore-forming toxins (haemolysins, lecithinase, lipase) were frequently expressed, indicating strong potential for tissue invasion. Among exotoxins, esculinase and caseinase were most prevalent, suggesting roles in iron acquisition and extracellular matrix degradation. Gelatinase and DNase were less commonly detected, while amylase was absent in all strains.
Ijms 26 06595 g003
Figure 4. Phenotypic detection of soluble virulence factors produced by S. aureus isolates. Representative images of enzymatic activity are shown for: (A) esculinase (esculin hydrolysis on bile-esculin agar), (B) DNase (DNA hydrolysis with methyl green), (C) lipase (lipid degradation on spirit blue agar), (D) caseinase (casein hydrolysis), (E) gelatinase (gelatin liquefaction), (F) lecithinase (lecithin degradation on egg-yolk agar), and (G) hemolysins (hemolysis on blood agar). White numeric labels indicate the strain identifiers corresponding to individual S. aureus isolates. Numbers refer to strain IDs. Petri dish diameter = 90 mm. Scale bar = 10 mm.
Figure 4. Phenotypic detection of soluble virulence factors produced by S. aureus isolates. Representative images of enzymatic activity are shown for: (A) esculinase (esculin hydrolysis on bile-esculin agar), (B) DNase (DNA hydrolysis with methyl green), (C) lipase (lipid degradation on spirit blue agar), (D) caseinase (casein hydrolysis), (E) gelatinase (gelatin liquefaction), (F) lecithinase (lecithin degradation on egg-yolk agar), and (G) hemolysins (hemolysis on blood agar). White numeric labels indicate the strain identifiers corresponding to individual S. aureus isolates. Numbers refer to strain IDs. Petri dish diameter = 90 mm. Scale bar = 10 mm.
Ijms 26 06595 g004
Figure 5. Distribution of soluble virulence factors in S. aureus strains. The stacked bar chart displays the number and variety of enzymatic virulence factors expressed by each of the 42 S. aureus isolates. Most strains produced multiple enzymes, including combinations of exotoxins (e.g., DNase, esculinase, gelatinase, caseinase, amylase) and pore-forming toxins (e.g., lecithinase, lipase, α- and β-haemolysins). Strains such as a15, a18, a21, a22, a36 and a41 demonstrated the highest cumulative enzymatic activity, reflecting a potentially greater pathogenic capacity.
Figure 5. Distribution of soluble virulence factors in S. aureus strains. The stacked bar chart displays the number and variety of enzymatic virulence factors expressed by each of the 42 S. aureus isolates. Most strains produced multiple enzymes, including combinations of exotoxins (e.g., DNase, esculinase, gelatinase, caseinase, amylase) and pore-forming toxins (e.g., lecithinase, lipase, α- and β-haemolysins). Strains such as a15, a18, a21, a22, a36 and a41 demonstrated the highest cumulative enzymatic activity, reflecting a potentially greater pathogenic capacity.
Ijms 26 06595 g005
Figure 6. Soluble virulence factor profiles in S. aureus strains isolated from paronychia; (A) overall presence or absence of nine enzymatic virulence factors among six selected strains; (B) stacked bar representation of individual virulence profiles for strains a25, a26, a30, a31, a36, and a38. Most strains exhibited multiple enzymatic activities, with a36 and a38 expressing the broadest range of virulence factors. These profiles reflect a heightened pathogenic potential among S. aureus isolates from paronychia.
Figure 6. Soluble virulence factor profiles in S. aureus strains isolated from paronychia; (A) overall presence or absence of nine enzymatic virulence factors among six selected strains; (B) stacked bar representation of individual virulence profiles for strains a25, a26, a30, a31, a36, and a38. Most strains exhibited multiple enzymatic activities, with a36 and a38 expressing the broadest range of virulence factors. These profiles reflect a heightened pathogenic potential among S. aureus isolates from paronychia.
Ijms 26 06595 g006
Figure 7. Adhesion gene profiles in S. aureus strains. (A) Frequency of five adhesion-related genes (clfA, clfB, fib, bbp, hlg) across the analyzed S. aureus isolates; (B) distribution of adhesion genes among S. aureus strains isolated from paronychia (a25, a26, a30, a31, a36, a38). The fib gene was expressed in 50% of these strains, while bbp was detected in one third. None of these isolates expressed the hlg gene. All strains from acneiform eruptions expressed clfA and clfB, while bbp was absent.
Figure 7. Adhesion gene profiles in S. aureus strains. (A) Frequency of five adhesion-related genes (clfA, clfB, fib, bbp, hlg) across the analyzed S. aureus isolates; (B) distribution of adhesion genes among S. aureus strains isolated from paronychia (a25, a26, a30, a31, a36, a38). The fib gene was expressed in 50% of these strains, while bbp was detected in one third. None of these isolates expressed the hlg gene. All strains from acneiform eruptions expressed clfA and clfB, while bbp was absent.
Ijms 26 06595 g007
Figure 8. (A) Presence or absence of five adhesion genes (hlg, fib, clfA, clfB, bbp) in strains isolated from acneiform lesions. The y-axis represents the number of strains in which each gene was detected (present) or not detected (absent). (B) Stacked representation showing gene distribution in selected acneiform isolates (a4, a9, a17, a18, a27, a34, a41). Each colored segment corresponds to a detected gene, with a maximum of five genes per strain. The y-axis indicates the number of adhesion-related genes expressed per strain. All strains expressed clfA and clfB, while bbp was entirely absent. This uniform profile contrasts with the more heterogeneous gene patterns observed in strains from paronychia.
Figure 8. (A) Presence or absence of five adhesion genes (hlg, fib, clfA, clfB, bbp) in strains isolated from acneiform lesions. The y-axis represents the number of strains in which each gene was detected (present) or not detected (absent). (B) Stacked representation showing gene distribution in selected acneiform isolates (a4, a9, a17, a18, a27, a34, a41). Each colored segment corresponds to a detected gene, with a maximum of five genes per strain. The y-axis indicates the number of adhesion-related genes expressed per strain. All strains expressed clfA and clfB, while bbp was entirely absent. This uniform profile contrasts with the more heterogeneous gene patterns observed in strains from paronychia.
Ijms 26 06595 g008
Table 1. Spearman correlation—biofilm vs. CTCAE 4.03 severity.
Table 1. Spearman correlation—biofilm vs. CTCAE 4.03 severity.
Spearman CorrelationCTCAE 4.03 Severity
Biofilm 24 h ρ Spearman (p-value)0.0910 (0.5665)
Biofilm 48 h ρ Spearman (p-value)0.1849 (0.2409)
Biofilm 72 h ρ Spearman (p-value)0.1783 (0.2584)
Table 2. Spearman correlation—virulence enzymes vs. Common Terminology Criteria for Adverse Events (CTCAE v4.0) severity.
Table 2. Spearman correlation—virulence enzymes vs. Common Terminology Criteria for Adverse Events (CTCAE v4.0) severity.
Virulence FactorsCTCAE 4.0 Severity
Esculinase ρ Spearman (p-value)0.23954 (0.1265)
DNase ρ Spearman (p-value)0.30797 (0.04723)
Lipase ρ Spearman (p-value)0.0979 (0.5374)
Caseinase ρ Spearman (p-value)−0.01885 (0.9057)
Gelatinase ρ Spearman (p-value)0.1430 (0.3663)
Lecithinase ρ Spearman (p-value)0.10351 (0.5142)
Hemolysin ρ Spearman (p-value)0.09876 (0.5338)
Table 3. Principal component analysis—virulence markers.
Table 3. Principal component analysis—virulence markers.
Principal Component (PC)Explained Variance ProportionCumulative Explained Variance
PC10.27690.2769
PC20.25500.5319
PC30.15660.6885
PC40.12560.8142
PC50.08590.9001
PC60.06180.9620
PC70.03791.0000
Table 4. Enzymatic score distribution.
Table 4. Enzymatic score distribution.
Enzymatic ScoreAbsolute Frequency (Relative Frequency %)
09/42 (21.42)
114/42 (33.33)
214/42 (33.33)
35/42 (11.90)
Table 5. Multinomial logistic regression—enzymatic score and Common Terminology Criteria for Adverse Events (CTCAE v4.0) severity.
Table 5. Multinomial logistic regression—enzymatic score and Common Terminology Criteria for Adverse Events (CTCAE v4.0) severity.
VariableβS.E.p-ValueExp(β) (Odds Ratio)95% CI for Exp(β)
Intercept 1−0.85360.39920.9625--
Intercept 22.04870.4934<0.0001--
Enzymatic Score 0REFERENCE----
Enzymatic Score 1−0.41250.51710.42512.0510.40 to 10.36
Enzymatic Score 2−0.23350.57000.65152.4530.48 to 12.50
Enzymatic Score 31.77670.88780.045418.3101.37 to 244.15
Table 6. Frequency of adhesion and toxin genes in S. aureus strains.
Table 6. Frequency of adhesion and toxin genes in S. aureus strains.
GeneAbsolute/Relative Frequency
hlg7/42 (16.66)
fib15/42 (35.71)
clfA36/42 (85.71)
clfB36/42 (85.71)
bbp6/42 (14.28)
Table 7. Frequency of antibiotic resistance in S. aureus strains.
Table 7. Frequency of antibiotic resistance in S. aureus strains.
Antibiotic ResistanceAbsolute/Relative Frequency
Penicillin35/42 (83.33)
Methicilin (Cefoxitin)7/42 (16.66)
Erythromycin19/42 (45.23)
Clindamycin18/42 (42.85)
Biseptol2/42 (4.76)
Tetracycline24/42 (57.14)
Doxycycline24/42 (57.14)
Kanamycin5/42 (11.90)
Table 8. CTCAE severity scores in patients with MRSA infected cutaneous adverse reactions.
Table 8. CTCAE severity scores in patients with MRSA infected cutaneous adverse reactions.
Isolate IDCTCAE Severity Score
a41Grade 3
a8Grade 1
a2Grade 3
a18Grade 3
a16Grade 3
a15Grade 1
a9Grade 3
Table 9. Frequency of SCCmec and resistance genes in S. aureus strains.
Table 9. Frequency of SCCmec and resistance genes in S. aureus strains.
GeneAbsolute/Relative Frequency
type I2/42 (4.76)
type IV a2/42 (4.76)
type IV c2/42 (4.76)
type IV d5/42 (11.90)
kdp1/42 (2.38)
mec A3/42 (7.14)
mec I4/42 (9.52)
ccr B23/42 (7.14)
SCCmec III J12/42 (4.76)
Table 10. Primer sequences, amplicon sizes, and specificities used for the detection of virulence and antibiotic resistance genes in S. aureus isolates based on the protocols of Cotar et al. (2010), Milheiriço et al. (2007), and Zhang et al. (2005) [19,66,67].
Table 10. Primer sequences, amplicon sizes, and specificities used for the detection of virulence and antibiotic resistance genes in S. aureus isolates based on the protocols of Cotar et al. (2010), Milheiriço et al. (2007), and Zhang et al. (2005) [19,66,67].
Target Gene/SCCmec TypeAmplicon Size (bp)PrimersNucleotide SequencesTarget Specificity/SCCmec Region
bbp575BBP-1/BBP-25′–AACTACATCTAGTACTCAACAACAG–3′/5′–ATGTGCTTGAATAACACACTACTCT–3′Virulence
ebpS186EBP-1/EBP-25′–CATCCAGAACCAATCGAAGAC–3′/5′–CTTAACAGTTACATCATCATGTTTTACTTTG–3′Virulence
clfA292CLFA-1/CLFA-25′–ATTGGCGTGGCTTCAGTGCT–3′/5′–CGTTTCTTCCGTAGTTGCATTTG–3′Virulence
clfB205CLFB-1/CLFB-25′–ACATCAGTAATAGTAGGGGGCAAC–3′/5′–TTCGCACTGTTTGTGTTTGCAC–3′Virulence
fnbB524FNBB-1/FNBB-25′–GTAACAGCTAATGGTGCGAATTGATACT–3′/5′–CAAGTTCGATAGGAGTACTAGTTTC–3′Virulence
fib404FIB-1/FIB-25′–CTACAACTACAATTGCCGTCAACAG–3′/5′–GCTCTTGTAAAGCCATTTTCTTCAC–3′Virulence
lpv443luk-PV-1/luk-PV-25′–ATCATTAGGTAAAATGTCTGGACATGATCCA–3′/5′–GCATCAASTGTATTGGATAGCAAAAGC–3′Virulence
hlg937HLG-1/HLG-25′–GCCAATCCGTTATTAGAAATGC–3′/5′–CCATAGACGTAGCAACGGAT–3′Virulence
SCCmec I (J1)495CIF2 F2/CIF2 R25′–TTC GAG TTG CTG ATG AAG AAG G–3′/5′–ATT TAC CAC AAG GAC TAC CAG C–3′SCCmec I, region J1
SCCmec III (J3)414RIF5 F10/RIF5 R135′–TTC TTA AGT ACA CGC TGA ATC G–3′/5′–GTC ACA GTA ATT CCA TCA ATG C–3′SCCmec III, region J3
ccr complex311ccrB2 F2/ccrB2 R25′–AGT TTC TCA GAA TTC GAA CG–3′/5′–CCG ATA TAG AAW GGG TTA GC–3′SCCmec II & IV, ccr
mec complex209mecI P2/mecI P35′–ATC AAG ACT TGC ATT CAG GC–3′/5′–GCG GTT TCA ATT CAC TTG TC–3′SCCmec II & III, mecI
mecA gene162mecA P4/mecA P75′–TCC AGA TTA CAA CTT CAC CAG G–3′/5′–CCA CTT CAT ATC TTG TAA CG–3′mecA gene
SCCmec V (J1)377SCCmecV J1 F/SCCmecV J1 R5′–TTC TCC ATT CTT GTT CAT CC–3′/5′–AGA GAC TAC TGA CTT AAG TGG–3′SCCmec V, region J1
Regions I–VI (J3)342dcs F2/dcs R15′–CAT CCT ATG ATA GCT TGG TC–3′/5′–CTA AAT CAT AGC CAT GAC CG–3′Regions I–VI, J3
SCCmec II (J1)284kdp F1/kdp R15′–AAT CAT CTG CCA TTG GTG ATG C–3′/5′–CGA ATG AAG TGA AAG AAA GTG G–3′SCCmec II, region J1
SCCmec III (J1)243SCCmec III J1 F/SCCmec III J1 R5′–CAT TTG TGA AAC ACA GTA CG–3′/5′–GTT ATT GAG ACT CCT AAA GC–3′SCCmec III, region J1
SCCmec I613Type I-F/Type I-R5′–GCT TTA AAG AGT GTC GTT ACA GG–3′/5′–GTT CTC TCA TAG TAT GAC GTC C–3′SCCmec I
SCCmec II398Type II-F/Type II-R5′–CGT TGA AGA TGA TGA AGC G–3′/5′–CGA AAT CAA TGG TTA ATG GAC C–3′SCCmec II
SCCmec III280Type III-F/Type III-R5′–CCA TAT TGT GTA CGA TGC G–3′/5′–CCT TAG TTG TCG TAA CAG ATC G–3′SCCmec III
SCCmec IVa776Type IVa-F/Type IVa-R5′–GCC TTA TTC GAA GAA ACC G–3′/5′–CTA CTC TTC TGA AAA GCG TCG–3′SCCmec IVa
SCCmec IVb493Type IVb-F/Type IVb-R5′–TCT GGA ATT ACT TCA GCT GC–3′/5′–AAA CAA TAT TGC TCT CCC TC–3′SCCmec IVb
SCCmec IVc200Type IVc1-F/Type IVc1-R5′–TCT ATT CAA TCG TTC TCG TAT T–3′/5′–TCG TTG TCA TTT AAT TCT GAA CT–3′SCCmec IVc
SCCmec IVd881Type IVd1-F/Type IVd1-R5′–AAT TCA CCC GTA CCT GAG AA–3′/5′–AGA ATG TGG TTA TAA GAT AGC TA–3′SCCmec IVd
SCCmec V325Type V-F/Type V-R5′–GAA CAT TGT TAC TTA AAT GAG CG–3′/5′–TGA AAG TTG TAC CCT TGA CAC C–3′SCCmec V
ccr Type 5495ccrC-F/ccrC-R5′–CGT CTA TTA CAA GAT GTT AAG GAT AAT–3′/5′–CCT TTA TAG ACT GGA TTA TTC AAA ATA T–3′ccr Type 5
Table 11. PCR conditions used for amplification of virulence genes in isolated S. aureus strains, according to Cotar et al. (2010) [19].
Table 11. PCR conditions used for amplification of virulence genes in isolated S. aureus strains, according to Cotar et al. (2010) [19].
GeneInitial
Denaturation
Number of CyclesDenaturation Per CyclePrimer
Annealing
Primer
Extension
Final
Extension
Lpv94 °C, 5 min3094 °C, 30 s55 °C, 30 s72 °C, 1 min72 °C, 10 min
hlg94 °C, 5 min3094 °C, 30 s55 °C, 30 s72 °C, 1 min72 °C, 10 min
bbp94 °C, 5 min3094 °C, 30 s55 °C, 30 s72 °C, 1 min72 °C, 10 min
ebpS94 °C, 5 min3094 °C, 30 s55 °C, 30 s72 °C, 1 min72 °C, 10 min
clfA94 °C, 5 min2594 °C, 1 min55 °C, 1 min72 °C, 1 min72 °C, 10 min
clfB94 °C, 5 min2594 °C, 1 min55 °C, 1 min72 °C, 1 min72 °C, 10 min
fnbB94 °C, 5 min2594 °C, 1 min55 °C, 1 min72 °C, 1 min72 °C, 10 min
fib94 °C, 5 min2594 °C, 1 min55 °C, 1 min72 °C, 1 min72 °C, 10 min
Table 12. PCR reaction volumes of different reagents (after Milheiriço et al., 2007) [66].
Table 12. PCR reaction volumes of different reagents (after Milheiriço et al., 2007) [66].
Primer VolumeMaster Mix PCR Volume DreamTaq Green (Thermo Scientific, SUA, Waltham, MA, USA)Ultrapure Water VolumeDNA VolumeTotal Reaction Volume
0.3 µL10 µL6.5 µL0.5 µL20 µL
Disclaimer/Publisher’s Note: The statements, opinions and data contained in all publications are solely those of the individual author(s) and contributor(s) and not of MDPI and/or the editor(s). MDPI and/or the editor(s) disclaim responsibility for any injury to people or property resulting from any ideas, methods, instructions or products referred to in the content.

Share and Cite

MDPI and ACS Style

Mihai, M.-M.; Anghelescu, I.; Holban, A.M.; Gheorghe-Barbu, I.; Chifiriuc, M.-C.; Dițu, L.-M.; Ilie, C.-I.; Anghelescu, D.; Bălăceanu-Gurău, B. Virulence and Antibiotic Resistance Profiles of Staphylococcus aureus Isolated from Epidermal Growth Factor Receptor Inhibitors-Associated Skin Lesions. Int. J. Mol. Sci. 2025, 26, 6595. https://doi.org/10.3390/ijms26146595

AMA Style

Mihai M-M, Anghelescu I, Holban AM, Gheorghe-Barbu I, Chifiriuc M-C, Dițu L-M, Ilie C-I, Anghelescu D, Bălăceanu-Gurău B. Virulence and Antibiotic Resistance Profiles of Staphylococcus aureus Isolated from Epidermal Growth Factor Receptor Inhibitors-Associated Skin Lesions. International Journal of Molecular Sciences. 2025; 26(14):6595. https://doi.org/10.3390/ijms26146595

Chicago/Turabian Style

Mihai, Mara-Mădălina, Iuliana Anghelescu, Alina Maria Holban, Irina Gheorghe-Barbu, Mariana-Carmen Chifiriuc, Lia-Mara Dițu, Cornelia-Ioana Ilie, Dan Anghelescu, and Beatrice Bălăceanu-Gurău. 2025. "Virulence and Antibiotic Resistance Profiles of Staphylococcus aureus Isolated from Epidermal Growth Factor Receptor Inhibitors-Associated Skin Lesions" International Journal of Molecular Sciences 26, no. 14: 6595. https://doi.org/10.3390/ijms26146595

APA Style

Mihai, M.-M., Anghelescu, I., Holban, A. M., Gheorghe-Barbu, I., Chifiriuc, M.-C., Dițu, L.-M., Ilie, C.-I., Anghelescu, D., & Bălăceanu-Gurău, B. (2025). Virulence and Antibiotic Resistance Profiles of Staphylococcus aureus Isolated from Epidermal Growth Factor Receptor Inhibitors-Associated Skin Lesions. International Journal of Molecular Sciences, 26(14), 6595. https://doi.org/10.3390/ijms26146595

Note that from the first issue of 2016, this journal uses article numbers instead of page numbers. See further details here.

Article Metrics

Back to TopTop