Complexes of Gold(III) with Hydrazones Derived from Pyridoxal: Stability, Structure, and Nature of UV-Vis Spectra
Abstract
1. Introduction
2. Results and Discussion
2.1. Stability of Gold(III) Complexes with Hydrazones
2.2. Geometry of Gold(III) Complexes
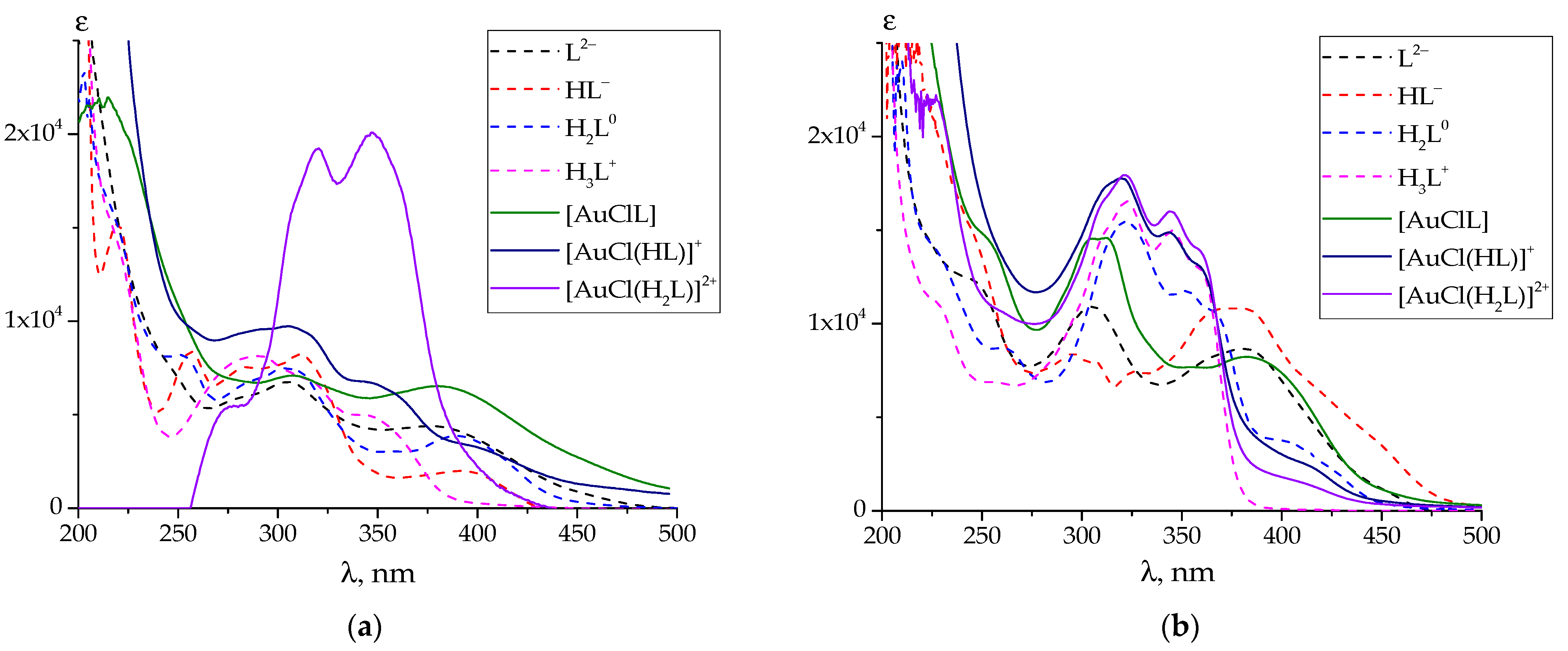
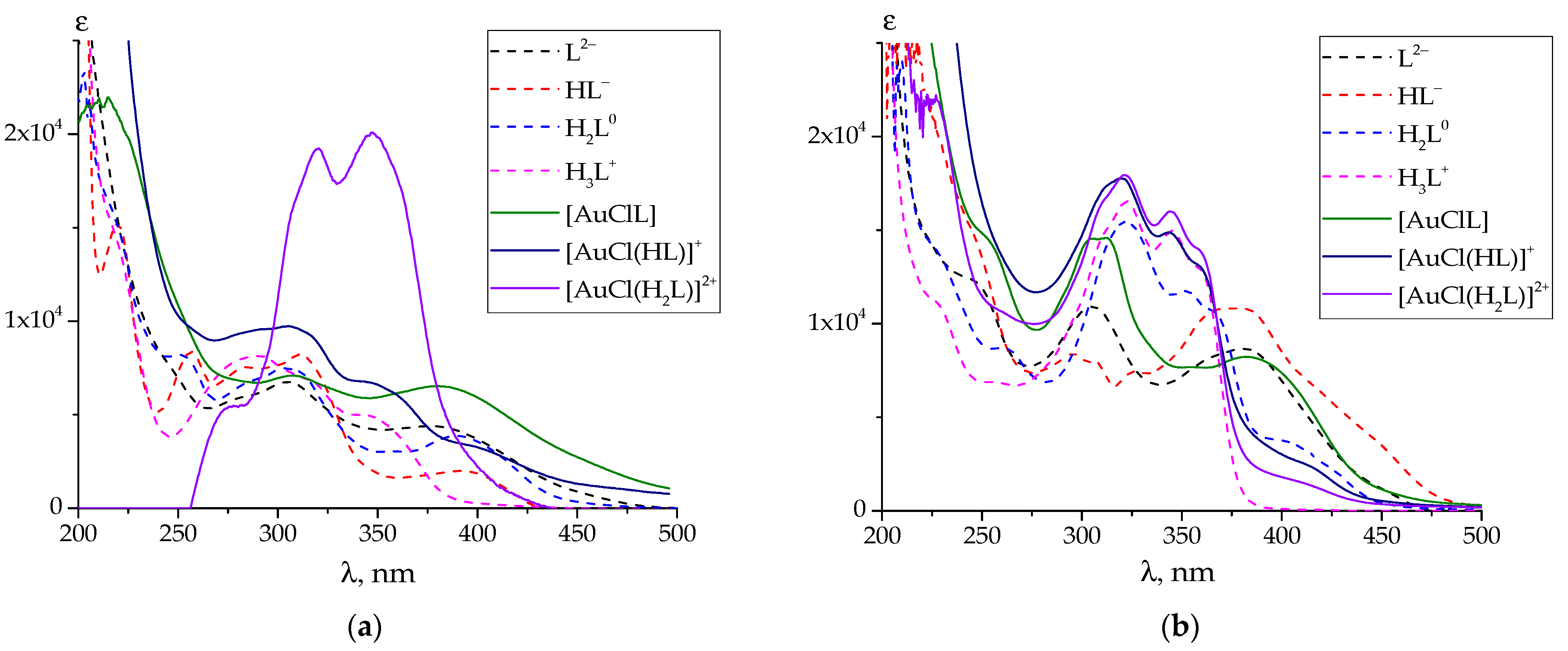
2.3. The Nature of UV-Vis Absorption Spectra
3. Materials and Methods
3.1. Chemicals
3.2. UV-Vis Titration
3.3. Quantum Chemical Calculation Details
4. Conclusions
- -
- The phosphate group does not participate in the complex formation; however, the electron-withdrawing effect may decrease the complex stability, where the derivatives of pyridoxal 5′-phosphate are involved;
- -
- During the first protonation stage, a proton may bind to different proton-accepting groups. In the case of pyridoxal hydrazones, these groups are the hydrazide nitrogen and heterocyclic nitrogen of pyridoxal residue. The derivatives of PLP have an additional protonation site, the phosphate group. The best agreement between the experimental and calculated UV-Vis spectra was achieved for both PL- and PLP-derived complexes if the first proton was considered to be bound with the nitrogen of the hydrazide group. The total energy value is misleading; based only on this value, the wrong choice of molecular model can be made;
- -
- The spectra of single- and double-protonated complexes of gold(III) are sophisticated. The transition between lone pairs of chlorine and LUMO consisting of both d-orbitals of gold(III) and p-orbitals of donor atoms contribute heavily to the observed peaks. On the contrary, the absorption bands in the spectra of deprotonated complexes are of π→π* character and involve mostly the ligand MO, with a negligible participation of metal orbitals.
Supplementary Materials
Author Contributions
Funding
Institutional Review Board Statement
Informed Consent Statement
Data Availability Statement
Acknowledgments
Conflicts of Interest
References
- Bonetti, F.; Brombo, G.; Zuliani, G. The Role of B Group Vitamins and Choline in Cognition and Brain Aging. In Nutrition and Functional Foods for Healthy Aging; Elsevier: Amsterdam, The Netherlands, 2017; pp. 139–158. ISBN 978-0-12-805376-8. [Google Scholar]
- Liang, J.; Han, Q.; Tan, Y.; Ding, H.; Li, J. Current Advances on Structure-Function Relationships of Pyridoxal 5′-Phosphate-Dependent Enzymes. Front. Mol. Biosci. 2019, 6, 4. [Google Scholar] [CrossRef] [PubMed]
- Hoy, T.; Humphrys, J.; Jacobs, A.; Williams, A.; Ponka, P. Effective Iron Chelation Following Oral Administration of an Isoniazid-Pyridoxal Hydrazone. Br. J. Haematol. 1979, 43, 443–449. [Google Scholar] [CrossRef] [PubMed]
- Ponka, P.; Borova, J.; Neuwirt, J.; Fuchs, O. Mobilization of Iron from Reticulocytes: Identification of Pyridoxal Isonicotinoyl Hydrazone as a New Iron Chelating Agent. FEBS Lett. 1979, 97, 317–321. [Google Scholar] [CrossRef] [PubMed]
- Ponka, P.; Richardson, D.R.; Edward, J.T.; Chubb, F.L. Iron Chelators of the Pyridoxal Isonicotinoyl Hydrazone Class. Relationship of the Lipophilicity of the Apochelator to Its Ability to Mobilise Iron from Reticulocytes in Vitro. Can. J. Physiol. Pharmacol. 1994, 72, 659–666. [Google Scholar] [CrossRef] [PubMed]
- Chen, Y.-L.; Kong, X.; Xie, Y.; Hider, R.C. The Interaction of Pyridoxal Isonicotinoyl Hydrazone (PIH) and Salicylaldehyde Isonicotinoyl Hydrazone (SIH) with Iron. J. Inorg. Biochem. 2018, 180, 194–203. [Google Scholar] [CrossRef] [PubMed]
- Baker, E.; Richardson, D.; Gross, S.; Ponka, P. Evaluation of the Iron Chelation Potential of Hydrazones of Pyridoxal, Salicylaldehyde and 2-Hydroxy-1-Naphthylaldehyde Using the Hepatocyte in Culture. Hepatology 1992, 15, 492–501. [Google Scholar] [CrossRef] [PubMed]
- Richardson, D.; Tran, E.; Ponka, P. The Potential of Iron Chelators of the Pyridoxal Isonicotinoyl Hydrazone Class as Effective Antiproliferative Agents. Blood 1995, 86, 4295–4306. [Google Scholar] [CrossRef] [PubMed]
- Szuber, N.; Buss, J.L.; Soe-Lin, S.; Felfly, H.; Trudel, M.; Ponka, P. Alternative Treatment Paradigm for Thalassemia Using Iron Chelators. Exp. Hematol. 2008, 36, 773–785. [Google Scholar] [CrossRef]
- Ponka, P.; Schulman, H.M.; Wilczynska, A. Ferric Pyridoxal Isonicotinol Hydrazone Can Provide Iron for Heme Synthesis in Reticulocytes. Biochim. Biophys. Acta BBA-Gen. Subj. 1982, 718, 151–156. [Google Scholar] [CrossRef]
- Huang, A.; Ponka, P. A Study of the Mechanism of Action of Pyridoxal Isonicotinoyl Hydrazone at the Cellular Level Using Reticulocytes Loaded with Non-Heme 59Fe. Biochim. Biophys. Acta BBA-Gen. Subj. 1983, 757, 306–315. [Google Scholar] [CrossRef]
- Hermes-Lima, M.; Nagy, E.; Ponka, P.; Schulman, H.M. The Iron Chelator Pyridoxal Isonicotinoyl Hydrazone (PIH) Protects Plasmid pUC-18 DNA against OH-Mediated Strand Breaks. Free Radic. Biol. Med. 1998, 25, 875–880. [Google Scholar] [CrossRef] [PubMed]
- Bhattacharya, M.; Ponka, P.; Hardy, P.; Hanna, N.; Varma, D.R.; Lachapelle, P.; Chemtob, S. Prevention of Postasphyxia Electroretinal Dysfunction with a Pyridoxal Hydrazone. Free Radic. Biol. Med. 1997, 22, 11–16. [Google Scholar] [CrossRef] [PubMed]
- Hermes-Lima, M. EPR Spin Trapping and 2-Deoxyribose Degradation Studies of the Effect of Pyridoxal Isonicotinoyl Hydrazone (PIH) on ∙OH Formation by the Fenton Reaction. Biochim. Biophys. Acta BBA-Gen. Subj. 1999, 1426, 475–482. [Google Scholar] [CrossRef] [PubMed]
- Horackova, M. The Antioxidant Effects of a Novel Iron Chelator Salicylaldehyde Isonicotinoyl Hydrazone in the Prevention of H2O2 Injury in Adult Cardiomyocytes. Cardiovasc. Res. 2000, 47, 529–536. [Google Scholar] [CrossRef] [PubMed][Green Version]
- Hermes-Lima, M.; Ponka, P.; Schulman, H.M. The Iron Chelator Pyridoxal Isonicotinoyl Hydrazone (PIH) and Its Analogues Prevent Damage to 2-Deoxyribose Mediated by Ferric Iron plus Ascorbate. Biochim. Biophys. Acta BBA-Gen. Subj. 2000, 1523, 154–160. [Google Scholar] [CrossRef] [PubMed]
- Buss, J.L.; Neuzil, J.; Ponka, P. The Role of Oxidative Stress in the Toxicity of Pyridoxal Isonicotinoyl Hydrazone (PIH) Analogues. Biochem. Soc. Trans. 2002, 30, 755–758. [Google Scholar] [CrossRef] [PubMed]
- Buss, J.L.; Neuzil, J.; Gellert, N.; Weber, C.; Ponka, P. Pyridoxal Isonicotinoyl Hydrazone Analogs Induce Apoptosis in Hematopoietic Cells Due to Their Iron-Chelating Properties. Biochem. Pharmacol. 2003, 65, 161–172. [Google Scholar] [CrossRef] [PubMed]
- Laurinaviciute, R.; Ostrauskaite, J.; Skuodis, E.; Grazulevicius, J.V.; Jankauskas, V. Hole-Transporting Phenothiazine-Based Hydrazones with Reactive Vinylbenzyl Groups. Synth. Met. 2014, 192, 50–55. [Google Scholar] [CrossRef]
- Laurinaviciute, R.; Mimaite, V.; Ostrauskaite, J.; Grazulevicius, J.V.; Jankauskas, V. Hole-Transporting Thiophene-Based Hydrazones with Reactive Vinyl Groups. Synth. Met. 2014, 197, 1–7. [Google Scholar] [CrossRef]
- Laurinaviciute, R.; Ostrauskaite, J.; Grazulevicius, J.V.; Jankauskas, V. Synthesis, Properties, and Self-Polymerization of Hole-Transporting Carbazole- and Triphenylamine-Based Hydrazone Monomers. Des. Monomers Polym. 2014, 17, 255–265. [Google Scholar] [CrossRef][Green Version]
- Astashkin, A.V.; Utterback, R.D.; Sung, Y.-S.; Tomat, E. Iron Complexes of an Antiproliferative Aroyl Hydrazone: Characterization of Three Protonation States by Electron Paramagnetic Resonance Methods. Inorg. Chem. 2020, 59, 11377–11384. [Google Scholar] [CrossRef] [PubMed]
- Martins, F.M.; Siqueira, J.D.; Iglesias, B.A.; Chaves, O.A.; Back, D.F. Pyridoxal Water-Soluble Cobalt(II) Helicates: Synthesis, Structural Analysis, and Interactions with Biomacromolecules. J. Inorg. Biochem. 2022, 233, 111854. [Google Scholar] [CrossRef]
- Qi, J.; Zheng, Y.; Li, B.; Ai, Y.; Chen, M.; Zheng, X. Pyridoxal Hydrochloride Thiosemicarbazones with Copper Ions Inhibit Cell Division via Topo-I and Topo-IIɑ. J. Inorg. Biochem. 2022, 232, 111816. [Google Scholar] [CrossRef] [PubMed]
- Shtyrlin, N.V.; Khaziev, R.M.; Shtyrlin, V.G.; Gilyazetdinov, E.M.; Agafonova, M.N.; Usachev, K.S.; Islamov, D.R.; Klimovitskii, A.E.; Vinogradova, T.I.; Dogonadze, M.Z.; et al. Isonicotinoyl Hydrazones of Pyridoxine Derivatives: Synthesis and Antimycobacterial Activity. Med. Chem. Res. 2021, 30, 952–963. [Google Scholar] [CrossRef]
- Ahmed, M.A.; Zhernakov, M.A.; Gilyazetdinov, E.M.; Bukharov, M.S.; Islamov, D.R.; Usachev, K.S.; Klimovitskii, A.E.; Serov, N.Y.; Burilov, V.A.; Shtyrlin, V.G. Complexes of NiII, CoII, ZnII, and CuII with Promising Anti-Tuberculosis Drug: Solid-State Structures and DFT Calculations. Inorganics 2023, 11, 167. [Google Scholar] [CrossRef]
- Gamov, G.A.; Zavalishin, M.N.; Khokhlova, A.Y.; Gashnikova, A.V.; Sharnin, V.A. Stability of Cu(II) and Zn(II) Complexes with Pyridinecarbohydrazones of Pyridoxal-5-Phosphate in Aqueous Solution. Russ. J. Gen. Chem. 2018, 88, 1436–1440. [Google Scholar] [CrossRef]
- Gamov, G.A.; Zavalishin, M.N.; Khokhlova, A.Y.; Gashnikova, A.V.; Aleksandriiskii, V.V.; Sharnin, V.A. Complexation between Nickel(II), Cobalt(III) and Hydrazones Derived from Pyridoxal 5′-Phosphate and Hydrazides of 2-,3-,4-Pyridinecarboxylic Acids in Aqueous Solution. J. Coord. Chem. 2018, 71, 3304–3314. [Google Scholar] [CrossRef]
- Gamov, G.A.; Zavalishin, M.N.; Petrova, M.V.; Khokhlova, A.; Gashnikova, A.V.; Kiselev, A.N.; Sharnin, V.A. Interaction of Pyridoxal-Derived Hydrazones with Anions and Co2+, Co3+, Ni2+, Zn2+ Cations. Phys. Chem. Liq. 2021, 59, 666–678. [Google Scholar] [CrossRef]
- Gamov, G.; Murekhina, A.; Aleksandriiskii, V. Dephosphorylation of Pyridoxal 5′-Phosphate-Derived Schiff Bases in the Presence of Bovine Alkaline Phosphatase. Int. J. Chem. Kinet. 2022, 54, 58–67. [Google Scholar] [CrossRef]
- Brittenham, G.M. Pyridoxal Isonicotinoyl Hydrazone: Effective Iron Chelation after Oral Administration a. Ann. N. Y. Acad. Sci. 1990, 612, 315–326. [Google Scholar] [CrossRef]
- Edward, J.T.; Ponka, P.; Richardson, D.R. Partition Coefficients of the Iron(III) Complexes of Pyridoxal Isonicotinoyl Hydrazone and Its Analogs and the Correlation to Iron Chelation Efficacy. Biometals 1995, 8, 209–217. [Google Scholar] [CrossRef]
- Buss, J.L.; Arduini, E.; Ponka, P. Mobilization of Intracellular Iron by Analogs of Pyridoxal Isonicotinoyl Hydrazone (PIH) Is Determined by the Membrane Permeability of the Iron–Chelator Complexes. Biochem. Pharmacol. 2002, 64, 1689–1701. [Google Scholar] [CrossRef] [PubMed]
- Patanjali, P.; Kumar, R.; Sourabh; Kumar, A.; Chaudhary, P.; Singh, R. Reviewing Gold(III) Complexes as Effective Biological Operators. Main Group Chem. 2018, 17, 35–52. [Google Scholar] [CrossRef]
- Bertrand, B.; Williams, M.R.M.; Bochmann, M. Gold(III) Complexes for Antitumor Applications: An Overview. Chem.-Eur. J. 2018, 24, 11840–11851. [Google Scholar] [CrossRef] [PubMed]
- Gurba, A.; Taciak, P.; Sacharczuk, M.; Młynarczuk-Biały, I.; Bujalska-Zadrożny, M.; Fichna, J. Gold (III) Derivatives in Colon Cancer Treatment. Int. J. Mol. Sci. 2022, 23, 724. [Google Scholar] [CrossRef] [PubMed]
- Ratia, C.; Sueiro, S.; Soengas, R.G.; Iglesias, M.J.; López-Ortiz, F.; Soto, S.M. Gold(III) Complexes Activity against Multidrug-Resistant Bacteria of Veterinary Significance. Antibiotics 2022, 11, 1728. [Google Scholar] [CrossRef] [PubMed]
- Bakhromi, D.; Safarmamadzoda, S.M.; Fritskii, I.O.; Muborakkadamov, D.A. Complex formation of gold (i) with 2-methylimidazole. ChemChemTech 2023, 66, 27–34. [Google Scholar] [CrossRef]
- Kuranova, N.N.; Yarullin, D.N.; Zavalishin, M.N.; Gamov, G.A. Complexation of Gold(III) with Pyridoxal 5′-Phosphate-Derived Hydrazones in Aqueous Solution. Molecules 2022, 27, 7346. [Google Scholar] [CrossRef] [PubMed]
- Pimenov, O.A.; Grazhdan, K.V.; Zavalishin, M.N.; Gamov, G.A. Geometry and UV-Vis Spectra of Au3+ Complexes with Hydrazones Derived from Pyridoxal 5′-Phosphate: A DFT Study. Int. J. Mol. Sci. 2023, 24, 8412. [Google Scholar] [CrossRef]
- Panagiotidis, K.; Glaum, R.; Der Günne, J.S.A.; Hoffbauer, W. Pd2P2O7 AND AuPO4-NEW ANHYDROUS PHOSPHATES OF NOBLE METALS. Phosphorus Res. Bull. 2005, 19, 77–82. [Google Scholar] [CrossRef][Green Version]
- Adam, A.M.A.; Refat, M.S.; Ismail, L.A.; Naglah, A.M.; Al-Omar, M.A.; Al-Wasidi, A.S. Insights into the Complexation of Glucose-6-Phosphate (G6P) with V(III), Ru(III), Au(III), and Se(IV) Ions in Binary Solvent System. J. Mol. Liq. 2019, 296, 111999. [Google Scholar] [CrossRef]
- Schmued, L.C. Histochemical Labeling Stain for Myelin in Brain Tissue. U.S. Patent No. 6,372,451, 16 April 2002. [Google Scholar]
- Schmued, L.; Slikker, W. Black-Gold: A Simple, High-Resolution Histochemical Label for Normal and Pathological Myelin in Brain Tissue Sections. Brain Res. 1999, 837, 289–297. [Google Scholar] [CrossRef] [PubMed]
- Schmued, L.; Bowyer, J.; Cozart, M.; Heard, D.; Binienda, Z.; Paule, M. Introducing Black-Gold II, a Highly Soluble Gold Phosphate Complex with Several Unique Advantages for the Histochemical Localization of Myelin. Brain Res. 2008, 1229, 210–217. [Google Scholar] [CrossRef] [PubMed]
- Meshkov, A.N.; Gamov, G.A. KEV: A Free Software for Calculating the Equilibrium Composition and Determining the Equilibrium Constants Using UV–Vis and Potentiometric Data. Talanta 2019, 198, 200–205. [Google Scholar] [CrossRef]
- Kuranova, N.N.; Petrova, D.V.; Zavalishin, M.N.; Kiselev, A.N.; Gamov, G.A. Prediction of Protonation Constants of Hydrazones and Schiff Bases Derived from Pyridoxal 5′-Phosphate, Pyridoxal, 3-Hydroxyisonicotinaldehyde and Salicylic Aldehyde. J. Mol. Liq. 2023, 390, 123049. [Google Scholar] [CrossRef]
- Mironov, I.V.; Tsvelodub, L.D. Chlorohydroxide Complexes of Gold(III) in Aqueous Alkali Solutions. Zhurnal Neorganicheskoi Khimii 2000, 45, 706–711. [Google Scholar]
- Bandura, A.V.; Lvov, S.N. The Ionization Constant of Water over Wide Ranges of Temperature and Density. J. Phys. Chem. Ref. Data 2006, 35, 15–30. [Google Scholar] [CrossRef]
- Wis Vitolo, L.M.; Hefter, G.T.; Clare, B.W.; Webb, J. Iron Chelators of the Pyridoxal Isonicotinoyl Hydrazone Class Part II. Formation Constants with Iron(III) and Iron(II). Inorganica Chim. Acta 1990, 170, 171–176. [Google Scholar] [CrossRef]
- Sánchez-Ruiz, J.M.; Llor, J.; Cortijo, M. Thermodynamic Constants for Tautomerism and Ionization of Pyridoxine and 3-Hydroxypyridine in Water–Dioxane. J. Chem. Soc. Perkin Trans. 1984, 2, 2047–2051. [Google Scholar] [CrossRef]
- Llor, J.; Asensio, S.B. Thermodynamics of the Solution Equilibria of 3-Hydroxypyridine and Pyridoxine in Water-Dioxane Mixtures. J. Solut. Chem. 1995, 24, 1293–1305. [Google Scholar] [CrossRef]
- Llor, J.; Muñoz, L. Tautomeric Equilibrium of Pyridoxine in Water. Thermodynamic Characterization by 13 C and 15 N Nuclear Magnetic Resonance. J. Org. Chem. 2000, 65, 2716–2722. [Google Scholar] [CrossRef] [PubMed]
- Chan-Huot, M.; Niether, C.; Sharif, S.; Tolstoy, P.M.; Toney, M.D.; Limbach, H.-H. NMR Studies of the Protonation States of Pyridoxal-5′-Phosphate in Water. J. Mol. Struct. 2010, 976, 282–289. [Google Scholar] [CrossRef]
- Limbach, H.-H.; Chan-Huot, M.; Sharif, S.; Tolstoy, P.M.; Shenderovich, I.G.; Denisov, G.S.; Toney, M.D. Critical Hydrogen Bonds and Protonation States of Pyridoxal 5′-Phosphate Revealed by NMR. Biochim. Biophys. Acta BBA-Proteins Proteom. 2011, 1814, 1426–1437. [Google Scholar] [CrossRef] [PubMed]
- Frisch, M.J.; Trucks, G.W.; Schlegel, H.B.; Scuseria, G.E.; Robb, M.A.; Cheeseman, J.R.; Scalmani, G.; Barone, V.; Petersson, G.A.; Nakatsuji, H.; et al. Gaussian 09, Revision A.02; Gaussian Inc.: Wallingford, CT, USA, 2016. [Google Scholar]
- Stephens, P.J.; Devlin, F.J.; Chabalowski, C.F.; Frisch, M.J. Ab Initio Calculation of Vibrational Absorption and Circular Dichroism Spectra Using Density Functional Force Fields. J. Phys. Chem. 1994, 98, 11623–11627. [Google Scholar] [CrossRef]
- Scalmani, G.; Frisch, M.J.; Mennucci, B.; Tomasi, J.; Cammi, R.; Barone, V. Geometries and Properties of Excited States in the Gas Phase and in Solution: Theory and Application of a Time-Dependent Density Functional Theory Polarizable Continuum Model. J. Chem. Phys. 2006, 124, 094107. [Google Scholar] [CrossRef] [PubMed]
- Yanai, T.; Tew, D.P.; Handy, N.C. A New Hybrid Exchange–Correlation Functional Using the Coulomb-Attenuating Method (CAM-B3LYP). Chem. Phys. Lett. 2004, 393, 51–57. [Google Scholar] [CrossRef]
- Figgen, D.; Rauhut, G.; Dolg, M.; Stoll, H. Energy-Consistent Pseudopotentials for Group 11 and 12 Atoms: Adjustment to Multi-Configuration Dirac–Hartree–Fock Data. Chem. Phys. 2005, 311, 227–244. [Google Scholar] [CrossRef]
- Peterson, K.A.; Puzzarini, C. Systematically Convergent Basis Sets for Transition Metals. II. Pseudopotential-Based Correlation Consistent Basis Sets for the Group 11 (Cu, Ag, Au) and 12 (Zn, Cd, Hg) Elements. Theor. Chem. Acc. 2005, 114, 283–296. [Google Scholar] [CrossRef]
- Kendall, R.A.; Dunning, T.H.; Harrison, R.J. Electron Affinities of the First-row Atoms Revisited. Systematic Basis Sets and Wave Functions. J. Chem. Phys. 1992, 96, 6796–6806. [Google Scholar] [CrossRef]
- Caricato, M. Absorption and Emission Spectra of Solvated Molecules with the EOM–CCSD–PCM Method. J. Chem. Theory Comput. 2012, 8, 4494–4502. [Google Scholar] [CrossRef]
- Chemcraft-Graphical Program for Visualization of Quantum Chemistry Computations. Available online: https://www.chemcraftprog.com/ (accessed on 18 April 2023).







| Hydrazone | PL-INH | PL-F2H | PL-F3H | PL-T2H | PL-T3H |
|---|---|---|---|---|---|
| log β ([AuClL]) 1 | 13.3 ± 0.7 | 12.0 ± 1.2 | 12.9 ± 0.6 | 12.3 ± 0.9 | 12.5 ± 0.8 |
| log β ([AuCl(HL)]+) 1 | 21.5 ± 0.8 | 19.3 ± 0.8 | 20.2 ± 0.4 | 20.0 ± 0.6 | 18.8 ± 0.3 |
| log β ([AuCl(H2L)]2+) 1 | 25.9 ± 1.4 | 26 ± 2 | 25.6 ± 0.1 | 25.5 ± 1.1 | 24.3 ± 0.3 |
| log Ka1 2 | 8.2 ± 1.1 | 7.3 ± 1.4 | 7.3 ± 0.7 | 7.7 ± 1.1 | 6.3 ± 0.9 |
| log Ka2 2 | 4.4 ± 1.6 | 7 ± 2 | 5.4 ± 0.4 | 5.5 ± 1.3 | 5.5 ± 0.4 |
| log Kf1 3 | 10.5 ± 0.7 | 7.9 ± 0.8 | 8.2 ± 0.6 | 8.2 ± 0.6 | 6.8 ± 1.0 |
| logKf2 3 | 6.6 ± 1.4 | 8 ± 2 | 8.2 ± 0.3 | 7.9 ± 1.3 | 6.0 ± 0.8 |
| Hydrazone [39] | PLP-INH | PLP-F2H | PLP-F3H | PLP-T2H | PLP-T3H |
| log β ([AuClL]−) | 11.2 ± 0.5 | 12.4 ± 0.9 | 12.0 ± 0.5 | 13.1 ± 0.8 | 12.5 ± 1.0 |
| log β ([AuCl(HL)]) | 17.8 ± 0.8 | 18.5 ± 0.6 | 18.6 ± 0.6 | 20.3 ± 0.6 | 18.4 ± 0.3 |
| log β ([AuCl(H2L)]+) | 23.7 ± 0.9 | 24.1 ± 0.7 | 24.7 ± 0.7 | 26.0 ± 0.5 | 24.2 ± 0.2 |
| log Ka1 | 6.6 ± 0.9 | 6.1 ± 1.1 | 6.6 ± 0.8 | 7.2 ± 1.0 | 5.9 ± 1.0 |
| log Ka2 | 5.9 ± 1.2 | 5.6 ± 0.9 | 6.1 ± 0.9 | 5.7 ± 0.8 | 5.8 ± 0.4 |
| log Kf1 | 6.4 ± 0.9 | 7.1 ± 0.6 | 7.2 ± 0.6 | 8.8 ± 0.6 | 6.9 ± 1.0 |
| logKf2 | 4.1 ± 0.9 | 4.4 ± 0.7 | 5.0 ± 0.8 | 6.2 ± 0.7 | 4.9 ± 0.4 |
| Distance | PL-F3H | PL-F2H | PL-T3H | PL-T2H | PL-INH |
|---|---|---|---|---|---|
| r(Au–Cl) | 2.333 * | 2.332 | 2.332 | 2.332 | 2.330 |
| 2.302 | 2.301 | 2.302 | 2.302 | 2.300 | |
| 2.293 | 2.292 | 2.293 | 2.292 | 2.291 | |
| r(Au–N) | 1.987 | 1.989 | 1.988 | 1.989 | 1.987 |
| 1.994 | 1.996 | 1.994 | 1.995 | 1.995 | |
| 1.999 | 2.001 | 1.999 | 2.000 | 2.000 | |
| r(Au–Op) ** | 1.980 | 1.978 | 1.980 | 1.978 | 1.979 |
| 1.969 | 1.968 | 1.969 | 1.968 | 1.967 | |
| 1.971 | 1.969 | 1.971 | 1.969 | 1.968 | |
| r(Au–Oc) ** | 2.002 | 2.005 | 2.002 | 2.004 | 2.004 |
| 2.030 | 2.032 | 2.030 | 2.030 | 2.038 | |
| 2.013 | 2.015 | 2.014 | 2.013 | 2.021 | |
| r(Op…Oc) | 3.979 | 3.980 | 3.979 | 3.978 | 3.979 |
| 3.996 | 3.996 | 3.995 | 3.994 | 4.001 | |
| 3.980 | 3.981 | 3.980 | 3.979 | 3.985 |
| Distance | PL-F3H | PLP-F3H [40] | ∆r ***, Å |
|---|---|---|---|
| r(Au–Cl) | 2.333 * | 2.334 * | 0.001 |
| 2.302 | 2.304 | 0.002 | |
| 2.293 | 2.294 | 0.001 | |
| r(Au–N) | 1.987 | 1.987 | 0.000 |
| 1.994 | 1.995 | 0.001 | |
| 1.999 | 2.000 | 0.001 | |
| r(Au–Op) ** | 1.980 | 1.981 | 0.001 |
| 1.969 | 1.970 | 0.001 | |
| 1.971 | 1.971 | 0.000 | |
| r(Au–Oc) ** | 2.002 | 2.003 | 0.001 |
| 2.030 | 2.032 | 0.002 | |
| 2.013 | 2.015 | 0.002 | |
| r(Op…Oc) | 3.979 | 3.980 | 0.001 |
| 3.996 | 3.998 | 0.002 | |
| 3.980 | 3.983 | 0.003 |
| Hydrazone | Protonated Form | Excited State | λcal (nm) | Oscillator Strength(f) | Composition * | Character |
|---|---|---|---|---|---|---|
| PL-F3H | [AuClL] | S3 | 365.97 | 0.2165 | 93 ** → 95 (79%), 92 → 95 (11%) | π→π* |
| S6 | 301.06 | 0.5301 | 92 → 95 (56%), 91 → 95 (30%) | π→π* | ||
| [AuCl(HL)]+ 2 | S2 | 374.6 | 0.0819 | 93 → 95 (79%), 88 → 94 (12%) | π→π* | |
| S4 | 349.85 | 0.0642 | 88 → 94 (85%), 93 → 95 (15%) | np→ σ*p-d | ||
| S9 | 287.64 | 0.6095 | 92 → 95 (31%), 91 → 94 (27%) | π→π* | ||
| [AuCl(H2L)]2+ | S4 | 359.37 | 0.1719 | 90 → 94 (43%), 92 → 95 (25%) | np→ σ*p-d | |
| S6 | 311.17 | 0.342 | 93 → 95 (46%), 92 → 95 (37%) | π→π* | ||
| PL-F2H | [AuClL] | S3 | 371.51 | 0.2062 | 89 → 91 (61%), 88 → 90 (24%) | π→π* |
| S6 | 308.44 | 0.5742 | 88 → 91 (81%) | π→π* | ||
| [AuCl(HL)]+ 2 | S2 | 377.82 | 0.117 | 89 → 91 (77%), 84 → 90 (11%) | π→π* | |
| S4 | 352.67 | 0.0803 | 84 → 90 (87%), 89 → 91 (13%) | np→ σ*p-d | ||
| S9 | 290.76 | 0.7339 | 87 → 90 (39%), 88 → 91 (17%) | σ p→ σ*p-d /π→π* | ||
| [AuCl(H2L)]2+ | S4 | 362.1 | 0.2309 | 86 → 90 (42%), 89 → 91 (37%) | np→ σ*p-d /π→π* | |
| S6 | 305.19 | 0.7245 | 88 → 91 (67%), 89 → 92 (14%) | π→π* | ||
| PL-T3H | [AuClL] | S3 | 366.64 | 0.2199 | 93 → 95 (92%) | π→π* |
| S6 | 300.26 | 0.5547 | 92 → 95 (83%) | π→π* | ||
| [AuCl(HL)]+ 2 | S2 | 377.02 | 0.0906 | 93 → 95 (79%), 87 → 94 (11%) | π→π* | |
| S4 | 351.09 | 0.0639 | 87 → 94 (86%), 93 → 95 (14%) | np→ σ*p-d | ||
| S9 | 284.03 | 0.7723 | 92 → 95 (31%), 91 → 94 (27%) | π→π* | ||
| [AuCl(H2L)]2+ | S4 | 359.82 | 0.1824 | 89 → 94 (42%), 93 → 95 (37%) | np→ σ*p-d /π→π* | |
| S7 | 297.69 | 0.4448 | 92 → 95 (36%), 91 → 95 (25%) | π→π* | ||
| PL-T2H | [AuClL] | S2 | 371.3 | 0.2387 | 93 → 95 (74%), 92 → 94 (15%) | π→π* |
| S6 | 308.01 | 0.5862 | 92 → 95 (87%) | π→π* | ||
| [AuCl(HL)]+ 2 | S2 | 377.64 | 0.1172 | 93 → 95 (76%), 87 → 94 (10%) | π→π* | |
| S4 | 351.66 | 0.0801 | 87 → 94 (88%), 93 → 95 (12%) | np→ σ*p-d | ||
| S9 | 292.24 | 0.5032 | 91 → 94 (40%), 84 → 94 (13%) | σ p→ σ*p-d | ||
| [AuCl(H2L)]2+ | S4 | 361.32 | 0.2194 | 89 → 94 (48%), 93 → 95 (36%) | np→ σ*p-d /π→π* | |
| S6 | 307.83 | 0.6715 | 92 → 95 (53%), 93 → 96 (19%) | π→π* | ||
| PL-INH | [AuClL] | S2 | 368.06 | 0.1511 | 92 → 94 (79%), 91 → 93 (10%) | π→π* |
| S6 | 299.08 | 0.3955 | 91 → 94 (85%) | π→π* | ||
| [AuCl(HL)]+ 2 | S2 | 381.75 | 0.0681 | 92 → 94 (72%), 86 → 93 (13%) | π→π* | |
| S4 | 357.25 | 0.0524 | 86 → 93 (81%), 92 → 94 (16%) | np→ σ*p-d | ||
| S11 | 272.04 | 0.4007 | 91 → 93 (31%), 90 → 94 (17%) | σ p→ σ*p-d /π→π* | ||
| [AuCl(H2L)]2+ | S4 | 361.84 | 0.1542 | 92 → 94 (74%), 88 → 93 (16%) | π→π* | |
| S12 | 260.17 | 0.3955 | 89 → 93 (22%), 86 → 94 (18%) | π→π* |
Disclaimer/Publisher’s Note: The statements, opinions and data contained in all publications are solely those of the individual author(s) and contributor(s) and not of MDPI and/or the editor(s). MDPI and/or the editor(s) disclaim responsibility for any injury to people or property resulting from any ideas, methods, instructions or products referred to in the content. |
© 2024 by the authors. Licensee MDPI, Basel, Switzerland. This article is an open access article distributed under the terms and conditions of the Creative Commons Attribution (CC BY) license (https://creativecommons.org/licenses/by/4.0/).
Share and Cite
Kuranova, N.N.; Pimenov, O.A.; Zavalishin, M.N.; Gamov, G.A. Complexes of Gold(III) with Hydrazones Derived from Pyridoxal: Stability, Structure, and Nature of UV-Vis Spectra. Int. J. Mol. Sci. 2024, 25, 5046. https://doi.org/10.3390/ijms25095046
Kuranova NN, Pimenov OA, Zavalishin MN, Gamov GA. Complexes of Gold(III) with Hydrazones Derived from Pyridoxal: Stability, Structure, and Nature of UV-Vis Spectra. International Journal of Molecular Sciences. 2024; 25(9):5046. https://doi.org/10.3390/ijms25095046
Chicago/Turabian StyleKuranova, Natalia N., Oleg A. Pimenov, Maksim N. Zavalishin, and George A. Gamov. 2024. "Complexes of Gold(III) with Hydrazones Derived from Pyridoxal: Stability, Structure, and Nature of UV-Vis Spectra" International Journal of Molecular Sciences 25, no. 9: 5046. https://doi.org/10.3390/ijms25095046
APA StyleKuranova, N. N., Pimenov, O. A., Zavalishin, M. N., & Gamov, G. A. (2024). Complexes of Gold(III) with Hydrazones Derived from Pyridoxal: Stability, Structure, and Nature of UV-Vis Spectra. International Journal of Molecular Sciences, 25(9), 5046. https://doi.org/10.3390/ijms25095046

