Evaluating the Diagnostic Potential of Combined Salivary and Skin Biomarkers in Parkinson’s Disease
Abstract
1. Introduction
2. Results
2.1. Demographic and Clinical Characteristics of PD Patients and Healthy Subjects
2.2. Salivary Oligomeric α-Synuclein
2.3. Skin Biopsy Detection of p-S129 α-syn Deposits and Intraepidermal Nerve Fiber Density
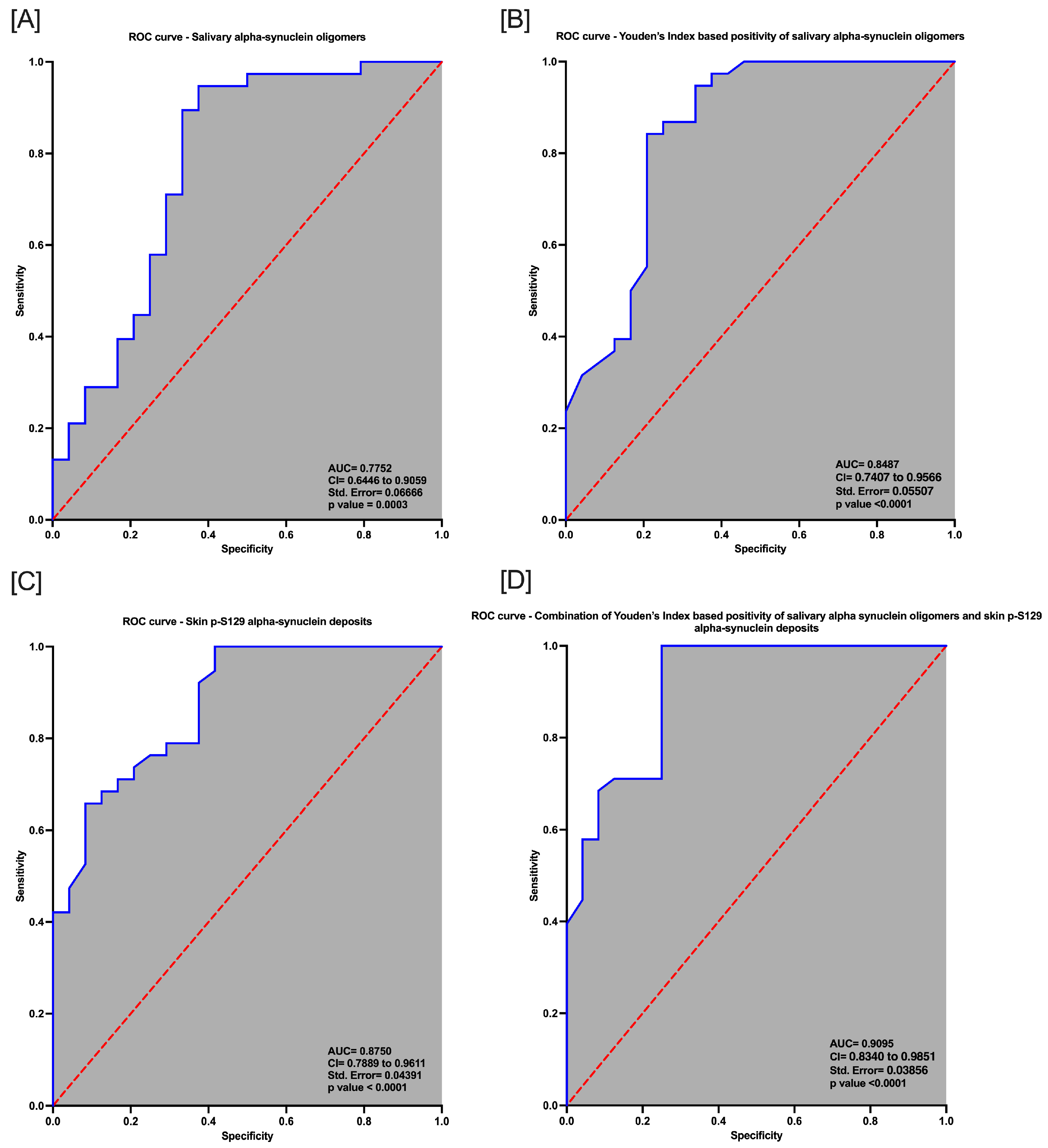
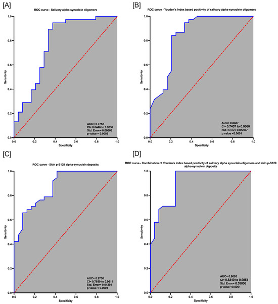
2.4. Comparison between Skin-and Saliva-Based Biomarkers and Diagnostic Accuracy of Combined Detection of Salivary Alpha-Synuclein Oligomers and p-S129 α-syn Aggregates in Skin Biopsy
3. Discussion
3.1. Salivary Oligomeric α-syn in PD Patients
3.2. Skin Biopsy-Based Biomarkers in PD Patients
3.3. Diagnostic Accuracy of the Combination of Salivary and Skin-Based Biomarkers
3.4. Limitations
4. Materials and Methods
4.1. Subjects
4.2. Clinical Assessment
4.3. Salivary Sample Collection
4.4. Competitive ELISA Analysis for Alpha-Synuclein Oligomers
4.5. Skin Biopsy Sample Collection
4.6. Intraepidermal Nerve Fiber Density Assessment
4.7. P-S129 Alpha-Synuclein Deposits Evaluation and Quantification
4.8. Statistical Analysis
5. Conclusions
Supplementary Materials
Author Contributions
Funding
Institutional Review Board Statement
Informed Consent Statement
Data Availability Statement
Acknowledgments
Conflicts of Interest
References
- Adler, C.H.; Beach, T.G.; Hentz, J.G.; Shill, H.A.; Caviness, J.N.; Driver-Dunckley, E.; Sabbagh, M.N.; Sue, L.I.; Jacobson, S.A.; Belden, C.M.; et al. Low Clinical Diagnostic Accuracy of Early vs Advanced Parkinson Disease: Clinicopathologic Study. Neurology 2014, 83, 406–412. [Google Scholar] [CrossRef] [PubMed]
- Virameteekul, S.; Revesz, T.; Jaunmuktane, Z.; Warner, T.T.; De Pablo-Fernández, E. Clinical Diagnostic Accuracy of Parkinson’s Disease: Where Do We Stand? Mov. Disord. 2023, 38, 558–566. [Google Scholar] [CrossRef] [PubMed]
- Calabresi, P.; Mechelli, A.; Natale, G.; Volpicelli-Daley, L.; Di Lazzaro, G.; Ghiglieri, V. Alpha-Synuclein in Parkinson’s Disease and Other Synucleinopathies: From Overt Neurodegeneration Back to Early Synaptic Dysfunction. Cell Death Dis. 2023, 14, 176. [Google Scholar] [CrossRef] [PubMed]
- Volpicelli-Daley, L.A. Effects of α-Synuclein on Axonal Transport. Neurobiol. Dis. 2017, 105, 321–327. [Google Scholar] [CrossRef] [PubMed]
- Chu, Y.; Morfini, G.A.; Langhamer, L.B.; He, Y.; Brady, S.T.; Kordower, J.H. Alterations in Axonal Transport Motor Proteins in Sporadic and Experimental Parkinson’s Disease. Brain 2012, 135, 2058–2073. [Google Scholar] [CrossRef] [PubMed]
- Garcia-Reitböck, P.; Anichtchik, O.; Bellucci, A.; Iovino, M.; Ballini, C.; Fineberg, E.; Ghetti, B.; Della Corte, L.; Spano, P.; Tofaris, G.K.; et al. SNARE Protein Redistribution and Synaptic Failure in a Transgenic Mouse Model of Parkinson’s Disease. Brain 2010, 133, 2032–2044. [Google Scholar] [CrossRef] [PubMed]
- Winner, B.; Jappelli, R.; Maji, S.K.; Desplats, P.A.; Boyer, L.; Aigner, S.; Hetzer, C.; Loher, T.; Vilar, M.; Campioni, S.; et al. In Vivo Demonstration That α-Synuclein Oligomers Are Toxic. Proc. Natl. Acad. Sci. USA 2011, 108, 4194–4199. [Google Scholar] [CrossRef] [PubMed]
- Xu, J.; Kao, S.-Y.; Lee, F.J.S.; Song, W.; Jin, L.-W.; Yankner, B.A. Dopamine-Dependent Neurotoxicity of α-Synuclein: A Mechanism for Selective Neurodegeneration in Parkinson Disease. Nat. Med. 2002, 8, 600–606. [Google Scholar] [CrossRef]
- Vivacqua, G.; Latorre, A.; Suppa, A.; Nardi, M.; Pietracupa, S.; Mancinelli, R.; Fabbrini, G.; Colosimo, C.; Gaudio, E.; Berardelli, A. Abnormal Salivary Total and Oligomeric Alpha-Synuclein in Parkinson’s Disease. PLoS ONE 2016, 11, e0151156. [Google Scholar] [CrossRef]
- Vivacqua, G.; Mason, M.; De Bartolo, M.I.; Węgrzynowicz, M.; Calò, L.; Belvisi, D.; Suppa, A.; Fabbrini, G.; Berardelli, A.; Spillantini, M. Salivary α-Synuclein RT-QuIC Correlates with Disease Severity in de Novo Parkinson’s Disease. Mov. Disord. 2023, 38, 153–155. [Google Scholar] [CrossRef]
- Vivacqua, G.; Suppa, A.; Mancinelli, R.; Belvisi, D.; Fabbrini, A.; Costanzo, M.; Formica, A.; Onori, P.; Fabbrini, G.; Berardelli, A. Salivary Alpha-Synuclein in the Diagnosis of Parkinson’s Disease and Progressive Supranuclear Palsy. Park. Relat. Disord. 2019, 63, 143–148. [Google Scholar] [CrossRef] [PubMed]
- De Bartolo, M.I.; Vivacqua, G.; Belvisi, D.; Mancinelli, R.; Fabbrini, A.; Manzo, N.; Costanzo, M.; Leodori, G.; Conte, A.; Fabbrini, G.; et al. A Combined Panel of Salivary Biomarkers in de Novo Parkinson’s Disease. Ann. Neurol. 2023, 93, 446–459. [Google Scholar] [CrossRef] [PubMed]
- Parnetti, L.; Gaetani, L.; Eusebi, P.; Paciotti, S.; Hansson, O.; El-Agnaf, O.; Mollenhauer, B.; Blennow, K.; Calabresi, P. CSF and Blood Biomarkers for Parkinson’s Disease. Lancet Neurol. 2019, 18, 573–586. [Google Scholar] [CrossRef] [PubMed]
- Tokuda, T.; Qureshi, M.M.; Ardah, M.T.; Varghese, S.; Shehab, S.A.S.; Kasai, T.; Ishigami, N.; Tamaoka, A.; Nakagawa, M.; El-Agnaf, O.M.A. Detection of Elevated Levels of α-Synuclein Oligomers in CSF from Patients with Parkinson Disease. Neurology 2010, 75, 1766–1770. [Google Scholar] [CrossRef] [PubMed]
- Magalhães, P.; Lashuel, H.A. Opportunities and Challenges of Alpha-Synuclein as a Potential Biomarker for Parkinson’s Disease and Other Synucleinopathies. NPJ Park. Dis. 2022, 8, 93. [Google Scholar] [CrossRef] [PubMed]
- Majbour, N.K.; Vaikath, N.N.; Van Dijk, K.D.; Ardah, M.T.; Varghese, S.; Vesterager, L.B.; Montezinho, L.P.; Poole, S.; Safieh-Garabedian, B.; Tokuda, T.; et al. Oligomeric and Phosphorylated Alpha-Synuclein as Potential CSF Biomarkers for Parkinson’s Disease. Mol. Neurodegener. 2016, 11, 7. [Google Scholar] [CrossRef] [PubMed]
- Compta, Y.; Valente, T.; Saura, J.; Segura, B.; Iranzo, Á.; Serradell, M.; Junqué, C.; Tolosa, E.; Valldeoriola, F.; Muñoz, E.; et al. Correlates of Cerebrospinal Fluid Levels of Oligomeric- and Total-α-Synuclein in Premotor, Motor and Dementia Stages of Parkinson’s Disease. J. Neurol. 2015, 262, 294–306. [Google Scholar] [CrossRef] [PubMed]
- Aasly, J.O.; Johansen, K.K.; Brønstad, G.; Warø, B.J.; Majbour, N.K.; Varghese, S.; Alzahmi, F.; Paleologou, K.E.; Amer, D.A.M.; Al-Hayani, A.; et al. Elevated Levels of Cerebrospinal Fluid α-Synuclein Oligomers in Healthy Asymptomatic LRRK2 Mutation Carriers. Front. Aging Neurosci. 2014, 6, 248. [Google Scholar] [CrossRef] [PubMed]
- Williams, S.M.; Schulz, P.; Sierks, M.R. Oligomeric A-synuclein and Β-amyloid Variants as Potential Biomarkers for Parkinson’s and Alzheimer’s Diseases. Eur. J. Neurosci. 2016, 43, 3–16. [Google Scholar] [CrossRef]
- Parnetti, L.; Castrioto, A.; Chiasserini, D.; Persichetti, E.; Tambasco, N.; El-Agnaf, O.; Calabresi, P. Cerebrospinal Fluid Biomarkers in Parkinson Disease. Nat. Rev. Neurol. 2013, 9, 131–140. [Google Scholar] [CrossRef]
- El-Agnaf, O.M.A.; Salem, S.A.; Paleologou, K.E.; Curran, M.D.; Gibson, M.J.; Court, J.A.; Schlossmacher, M.G.; Allsop, D. Detection of Oligomeric Forms of A-synuclein Protein in Human Plasma as a Potential Biomarker for Parkinson’s Disease. FASEB J. 2006, 20, 419–425. [Google Scholar] [CrossRef] [PubMed]
- Wang, Z.-Y.; Han, Z.-M.; Liu, Q.-F.; Tang, W.; Ye, K.; Yao, Y.-Y. Use of CSF α-Synuclein in the Differential Diagnosis between Alzheimer’s Disease and Other Neurodegenerative Disorders. Int. Psychogeriatr. 2015, 27, 1429–1438. [Google Scholar] [CrossRef]
- Shaheen, H.; Sobhy, S.; El Mously, S.; Abuomira, M.; Mansour, M. Salivary Alpha-Synuclein (Total and Oligomeric Form): Potential Biomarkers in Parkinson’s Disease. Egypt. J. Neurol. Psychiatry Neurosurg. 2020, 56, 22. [Google Scholar] [CrossRef]
- Angius, F.; Mocci, I.; Ercoli, T.; Loy, F.; Fadda, L.; Palmas, M.F.; Cannas, G.; Manzin, A.; Defazio, G.; Carta, A.R. Combined Measure of Salivary Alpha-Synuclein Species as Diagnostic Biomarker for Parkinson’s Disease. J. Neurol. 2023, 270, 5613–5621. [Google Scholar] [CrossRef] [PubMed]
- Donadio, V.; Incensi, A.; Leta, V.; Giannoccaro, M.P.; Scaglione, C.; Martinelli, P.; Capellari, S.; Avoni, P.; Baruzzi, A.; Liguori, R. Skin Nerve α-Synuclein Deposits: A Biomarker for Idiopathic Parkinson Disease. Neurology 2014, 82, 1362–1369. [Google Scholar] [CrossRef]
- Donadio, V.; Incensi, A.; Rizzo, G.; Scaglione, C.; Capellari, S.; Fileccia, E.; Avoni, P.; Liguori, R. Spine Topographical Distribution of Skin α-Synuclein Deposits in Idiopathic Parkinson Disease. J. Neuropathol. Exp. Neurol. 2017, 76, 384–389. [Google Scholar] [CrossRef]
- Donadio, V.; Incensi, A.; El-Agnaf, O.; Rizzo, G.; Vaikath, N.; Del Sorbo, F.; Scaglione, C.; Capellari, S.; Elia, A.; Stanzani Maserati, M.; et al. Skin α-Synuclein Deposits Differ in Clinical Variants of Synucleinopathy: An In Vivo Study. Sci. Rep. 2018, 8, 14246. [Google Scholar] [CrossRef] [PubMed]
- Doppler, K.; Jentschke, H.-M.; Schulmeyer, L.; Vadasz, D.; Janzen, A.; Luster, M.; Höffken, H.; Mayer, G.; Brumberg, J.; Booij, J.; et al. Dermal Phospho-Alpha-Synuclein Deposits Confirm REM Sleep Behaviour Disorder as Prodromal Parkinson’s Disease. Acta Neuropathol. 2017, 133, 535–545. [Google Scholar] [CrossRef]
- Poggiolini, I.; Gupta, V.; Lawton, M.; Lee, S.; El-Turabi, A.; Querejeta-Coma, A.; Trenkwalder, C.; Sixel-Döring, F.; Foubert-Samier, A.; Pavy-Le Traon, A.; et al. Diagnostic Value of Cerebrospinal Fluid Alpha-Synuclein Seed Quantification in Synucleinopathies. Brain 2022, 145, 584–595. [Google Scholar] [CrossRef]
- Bargar, C.; Wang, W.; Gunzler, S.A.; LeFevre, A.; Wang, Z.; Lerner, A.J.; Singh, N.; Tatsuoka, C.; Appleby, B.; Zhu, X.; et al. Streamlined Alpha-Synuclein RT-QuIC Assay for Various Biospecimens in Parkinson’s Disease and Dementia with Lewy Bodies. Acta Neuropathol. Commun. 2021, 9, 62. [Google Scholar] [CrossRef]
- Quadalti, C.; Calandra-Buonaura, G.; Baiardi, S.; Mastrangelo, A.; Rossi, M.; Zenesini, C.; Giannini, G.; Candelise, N.; Sambati, L.; Polischi, B.; et al. Neurofilament Light Chain and α-Synuclein RT-QuIC as Differential Diagnostic Biomarkers in Parkinsonisms and Related Syndromes. NPJ Park. Dis. 2021, 7, 93. [Google Scholar] [CrossRef] [PubMed]
- Okuzumi, A.; Hatano, T.; Matsumoto, G.; Nojiri, S.; Ueno, S.I.; Imamichi-Tatano, Y.; Kimura, H.; Kakuta, S.; Kondo, A.; Fukuhara, T.; et al. Propagative α-Synuclein Seeds as Serum Biomarkers for Synucleinopathies. Nat. Med. 2023, 29, 1448–1455. [Google Scholar] [CrossRef] [PubMed]
- Kuzkina, A.; Rößle, J.; Seger, A.; Panzer, C.; Kohl, A.; Maltese, V.; Musacchio, T.; Blaschke, S.J.; Tamgüney, G.; Kaulitz, S.; et al. Combining Skin and Olfactory α-Synuclein Seed Amplification Assays (SAA)-towards Biomarker-Driven Phenotyping in Synucleinopathies. NPJ Park. Dis. 2023, 9, 79. [Google Scholar] [CrossRef] [PubMed]
- Gunzler, S.; Tatsuoka, C.; Elkasaby, M.; Wang, A.; Chen, S.; Wang, Z.; Zou, W. Real Time Quaking Induced Conversion (RT-QuIC) for Skin Alpha-Synuclein Seeding Activity in Parkinson Disease Versus Controls (P1-1.Virtual). Neurology 2022, 98, 1907. [Google Scholar] [CrossRef]
- Luan, M.; Sun, Y.; Chen, J.; Jiang, Y.; Li, F.; Wei, L.; Sun, W.; Ma, J.; Song, L.; Liu, J.; et al. Diagnostic Value of Salivary Real-Time Quaking-Induced Conversion in Parkinson’s Disease and Multiple System Atrophy. Mov. Disord. 2022, 37, 1059–1063. [Google Scholar] [CrossRef] [PubMed]
- Goldman, J.G.; Andrews, H.; Amara, A.; Naito, A.; Alcalay, R.N.; Shaw, L.M.; Taylor, P.; Xie, T.; Tuite, P.; Henchcliffe, C.; et al. Cerebrospinal Fluid, Plasma, and Saliva in the BioFIND Study: Relationships among Biomarkers and Parkinson’s Disease Features. Mov. Disord. 2018, 33, 282–288. [Google Scholar] [CrossRef] [PubMed]
- Chahine, L.M.; Beach, T.G.; Brumm, M.C.; Adler, C.H.; Coffey, C.S.; Mosovsky, S.; Caspell-Garcia, C.; Serrano, G.E.; Munoz, D.G.; White, C.L.; et al. In Vivo Distribution of α-Synuclein in Multiple Tissues and Biofluids in Parkinson Disease. Neurology 2020, 95, e1267–e1284. [Google Scholar] [CrossRef] [PubMed]
- Postuma, R.B.; Berg, D.; Stern, M.; Poewe, W.; Olanow, C.W.; Oertel, W.; Obeso, J.; Marek, K.; Litvan, I.; Lang, A.E.; et al. MDS Clinical Diagnostic Criteria for Parkinson’s Disease: MDS-PD Clinical Diagnostic Criteria. Mov. Disord. 2015, 30, 1591–1601. [Google Scholar] [CrossRef]
- Park, M.J.; Cheon, S.-M.; Bae, H.-R.; Kim, S.-H.; Kim, J.W. Elevated Levels of α-Synuclein Oligomer in the Cerebrospinal Fluid of Drug-Naïve Patients with Parkinson’s Disease. J. Clin. Neurol. 2011, 7, 215. [Google Scholar] [CrossRef]
- Spillantini, M.G.; Schmidt, M.L.; Lee, V.M.-Y.; Trojanowski, J.Q.; Jakes, R.; Goedert, M. α-Synuclein in Lewy Bodies. Nature 1997, 388, 839–840. [Google Scholar] [CrossRef]
- Cremades, N.; Cohen, S.I.A.; Deas, E.; Abramov, A.Y.; Chen, A.Y.; Orte, A.; Sandal, M.; Clarke, R.W.; Dunne, P.; Aprile, F.A.; et al. Direct Observation of the Interconversion of Normal and Toxic Forms of α-Synuclein. Cell 2012, 149, 1048–1059. [Google Scholar] [CrossRef] [PubMed]
- Du, X.; Xie, X.; Liu, R. The Role of α-Synuclein Oligomers in Parkinson’s Disease. Int. J. Mol. Sci. 2020, 21, 8645. [Google Scholar] [CrossRef]
- Han, Y.; He, Z. Concomitant Protein Pathogenesis in Parkinson’s Disease and Perspective Mechanisms. Front. Aging Neurosci. 2023, 15, 1189809. [Google Scholar] [CrossRef]
- Nolano, M.; Provitera, V.; Manganelli, F.; Iodice, R.; Stancanelli, A.; Caporaso, G.; Saltalamacchia, A.; Califano, F.; Lanzillo, B.; Picillo, M.; et al. Loss of Cutaneous Large and Small Fibers in Naive and l -Dopa–Treated PD Patients. Neurology 2017, 89, 776–784. [Google Scholar] [CrossRef] [PubMed]
- Del Tredici, K.; Hawkes, C.H.; Ghebremedhin, E.; Braak, H. Lewy Pathology in the Submandibular Gland of Individuals with Incidental Lewy Body Disease and Sporadic Parkinson’s Disease. Acta Neuropathol. 2010, 119, 703–713. [Google Scholar] [CrossRef] [PubMed]
- Vacchi, E.; Senese, C.; Chiaro, G.; Disanto, G.; Pinton, S.; Morandi, S.; Bertaina, I.; Bianco, G.; Staedler, C.; Galati, S.; et al. Alpha-Synuclein Oligomers and Small Nerve Fiber Pathology in Skin Are Potential Biomarkers of Parkinson’s Disease. NPJ Park. Dis. 2021, 7, 119. [Google Scholar] [CrossRef] [PubMed]
- Yoo, J.M.; Lin, Y.; Heo, Y.; Lee, Y.-H. Polymorphism in Alpha-Synuclein Oligomers and Its Implications in Toxicity under Disease Conditions. Front. Mol. Biosci. 2022, 9, 959425. [Google Scholar] [CrossRef] [PubMed]
- Fujiwara, H.; Hasegawa, M.; Dohmae, N.; Kawashima, A.; Masliah, E.; Goldberg, M.S.; Shen, J.; Takio, K.; Iwatsubo, T. α-Synuclein Is Phosphorylated in Synucleinopathy Lesions. Nat. Cell Biol. 2002, 4, 160–164. [Google Scholar] [CrossRef]
- Anderson, J.P.; Walker, D.E.; Goldstein, J.M.; De Laat, R.; Banducci, K.; Caccavello, R.J.; Barbour, R.; Huang, J.; Kling, K.; Lee, M.; et al. Phosphorylation of Ser-129 Is the Dominant Pathological Modification of α-Synuclein in Familial and Sporadic Lewy Body Disease. J. Biol. Chem. 2006, 281, 29739–29752. [Google Scholar] [CrossRef]
- Kahle, P.J.; Neumann, M.; Ozmen, L.; Müller, V.; Jacobsen, H.; Spooren, W.; Fuss, B.; Mallon, B.; Macklin, W.B.; Fujiwara, H.; et al. Hyperphosphorylation and Insolubility of A-synuclein in Transgenic Mouse Oligodendrocytes. EMBO Rep. 2002, 3, 583–588. [Google Scholar] [CrossRef]
- Semenyuk, P.I. Alpha-Synuclein Phosphorylation Induces Amyloid Conversion via Enhanced Electrostatic Bridging: Insights from Molecular Modeling of the Full-Length Protein. Biophys. Chem. 2024, 307, 107196. [Google Scholar] [CrossRef] [PubMed]
- Miglis, M.G.; Zitser, J.; Schneider, L.; During, E.; Jaradeh, S.; Freeman, R.; Gibbons, C.H. Cutaneous α-Synuclein Is Correlated with Autonomic Impairment in Isolated Rapid Eye Movement Sleep Behavior Disorder. Sleep 2021, 44, zsab172. [Google Scholar] [CrossRef]
- Fereshtehnejad, S.-M.; Romenets, S.R.; Anang, J.B.M.; Latreille, V.; Gagnon, J.-F.; Postuma, R.B. New Clinical Subtypes of Parkinson Disease and Their Longitudinal Progression: A Prospective Cohort Comparison With Other Phenotypes. JAMA Neurol. 2015, 72, 863. [Google Scholar] [CrossRef]
- Merola, A.; Romagnolo, A.; Dwivedi, A.K.; Padovani, A.; Berg, D.; Garcia-Ruiz, P.J.; Fabbri, M.; Artusi, C.A.; Zibetti, M.; Lopiano, L.; et al. Benign versus Malignant Parkinson Disease: The Unexpected Silver Lining of Motor Complications. J. Neurol. 2020, 267, 2949–2960. [Google Scholar] [CrossRef] [PubMed]
- Hoehn, M.M.; Yahr, M.D. Parkinsonism: Onset, Progression, and Mortality. Neurology 1998, 50, 318. [Google Scholar] [CrossRef]
- Antonini, A.; Abbruzzese, G.; Ferini-Strambi, L.; Tilley, B.; Huang, J.; Stebbins, G.T.; Goetz, C.G.; Barone, P.; MDS-UPDRS Italian Validation Study Group; Bandettini di Poggio, M.; et al. Validation of the Italian Version of the Movement Disorder Society--Unified Parkinson’s Disease Rating Scale. Neurol. Sci. 2013, 34, 683–687. [Google Scholar] [CrossRef] [PubMed]
- Cova, I.; Di Battista, M.E.; Vanacore, N.; Papi, C.P.; Alampi, G.; Rubino, A.; Valente, M.; Meco, G.; Contri, P.; Di Pucchio, A.; et al. Validation of the Italian Version of the Non Motor Symptoms Scale for Parkinson’s Disease. Park. Relat. Disord. 2017, 34, 38–42. [Google Scholar] [CrossRef]
- Nasreddine, Z.S.; Phillips, N.A.; Bédirian, V.; Charbonneau, S.; Whitehead, V.; Collin, I.; Cummings, J.L.; Chertkow, H. The Montreal Cognitive Assessment, MoCA: A Brief Screening Tool For Mild Cognitive Impairment. J. Am. Geriatr. Soc. 2005, 53, 695–699. [Google Scholar] [CrossRef]
- Lauria, G.; Hsieh, S.T.; Johansson, O.; Kennedy, W.R.; Leger, J.M.; Mellgren, S.I.; Nolano, M.; Merkies, I.S.J.; Polydefkis, M.; Smith, A.G.; et al. European Federation of Neurological Societies/Peripheral Nerve Society Guideline on the Use of Skin Biopsy in the Diagnosis of Small Fiber Neuropathy. Report of a Joint Task Force of the European Fe-deration of Neurological Societies and the Peripheral Nerve Society. Eur. J. Neurol. 2010, 17, 903. [Google Scholar] [CrossRef]
- Donadio, V. Skin Nerve α-Synuclein Deposits in Parkinson’s Disease and Other Synucleinopathies: A Review. Clin. Auton. Res. 2019, 29, 577–585. [Google Scholar] [CrossRef]
- Wang, N.; Garcia, J.; Freeman, R.; Gibbons, C.H. Phosphorylated Alpha-Synuclein Within Cutaneous Autonomic Nerves of Patients With Parkinson’s Disease: The Implications of Sample Thickness on Results. J. Histochem. Cytochem. 2020, 68, 669–678. [Google Scholar] [CrossRef] [PubMed]




| Variable | PD Patients (n = 38) | Healthy Subjects (n = 24) |
|---|---|---|
| Age (mean ± SD) | 72.1 ± 8.4 | 59.5 ± 16.9 |
| Sex | 11 F, 27 M | 12 F, 12 M |
| Age at onset (mean ± SD) | 66.9 ± 8.7 | - |
| Disease duration (mean ± SD) | 5.2 years ± 4.4 | - |
| MDS-UPDRS Part I (mean ± SD) | 8.7 ± 6.48 | - |
| MDS-UPDRS Part II (mean ± SD) | 7.7 ± 7.99 | - |
| MDS-UPDRS Part III (mean ± SD) | 22.6 ± 13.7 | - |
| MDS-UPDRS Part IV (mean ± SD) | 1.66 ± 3.7 | - |
| NMSS total score (mean ± SD) | 45.16 ± 35.87 | - |
| MoCA (mean ± SD) | 24.59 ± 3.83 | - |
| H&Y (mean ± SD) | 1.78 ± 0.66 | - |
| LEDDs (mean ± SD) | 427.3 ± 247.4 | - |
| Dyskinesias | 7/38 (18.4%) | - |
| Motor fluctuations | 7/38 (18.4%) | - |
| PD Patients (38) | Healthy Subjects (24) | p-Value | |
|---|---|---|---|
| IENFD, n fibers/mm, mean ± SD | 20.2 ± 7.8 | 28.7 ± 10.6 | p = 0.0008 |
| Autonomic structures p-S129-syn positivity, mean % ± SD | 4 ± 10 | 0 ± 0 | p < 0.0001 |
| Dermal nerve bundles p-S129-syn positivity, % ±SD | 9 ± 14 | 0.5 ± 2 | p < 0.0001 |
| p-S129-syn positivity, n (%) | 26 (68%) | 2 (8%) | p < 0.0001 |
| p-S129-syn positivity on 50 µ thick sections, n (%) | 22 (58%) | 2 (8%) | p < 0.0001 |
| p-S129-syn positivity on 10 µ thick sections, n (%) | 17 (45%) | 1 (4%) | p < 0.0001 |
| Salivary oligomeric α-syn, mean ± SD (ng/mL) | 1.17 ± 0.90 | 0.7 ± 0.6 | p = 0.003 |
Disclaimer/Publisher’s Note: The statements, opinions and data contained in all publications are solely those of the individual author(s) and contributor(s) and not of MDPI and/or the editor(s). MDPI and/or the editor(s) disclaim responsibility for any injury to people or property resulting from any ideas, methods, instructions or products referred to in the content. |
© 2024 by the authors. Licensee MDPI, Basel, Switzerland. This article is an open access article distributed under the terms and conditions of the Creative Commons Attribution (CC BY) license (https://creativecommons.org/licenses/by/4.0/).
Share and Cite
Costanzo, M.; Galosi, E.; De Bartolo, M.I.; Gallo, G.; Leodori, G.; Belvisi, D.; Conte, A.; Fabbrini, G.; Truini, A.; Berardelli, A.; et al. Evaluating the Diagnostic Potential of Combined Salivary and Skin Biomarkers in Parkinson’s Disease. Int. J. Mol. Sci. 2024, 25, 4823. https://doi.org/10.3390/ijms25094823
Costanzo M, Galosi E, De Bartolo MI, Gallo G, Leodori G, Belvisi D, Conte A, Fabbrini G, Truini A, Berardelli A, et al. Evaluating the Diagnostic Potential of Combined Salivary and Skin Biomarkers in Parkinson’s Disease. International Journal of Molecular Sciences. 2024; 25(9):4823. https://doi.org/10.3390/ijms25094823
Chicago/Turabian StyleCostanzo, Matteo, Eleonora Galosi, Maria Ilenia De Bartolo, Gaetano Gallo, Giorgio Leodori, Daniele Belvisi, Antonella Conte, Giovanni Fabbrini, Andrea Truini, Alfredo Berardelli, and et al. 2024. "Evaluating the Diagnostic Potential of Combined Salivary and Skin Biomarkers in Parkinson’s Disease" International Journal of Molecular Sciences 25, no. 9: 4823. https://doi.org/10.3390/ijms25094823
APA StyleCostanzo, M., Galosi, E., De Bartolo, M. I., Gallo, G., Leodori, G., Belvisi, D., Conte, A., Fabbrini, G., Truini, A., Berardelli, A., & Vivacqua, G. (2024). Evaluating the Diagnostic Potential of Combined Salivary and Skin Biomarkers in Parkinson’s Disease. International Journal of Molecular Sciences, 25(9), 4823. https://doi.org/10.3390/ijms25094823

