Quantifying the Dynamics of Bacterial Biofilm Formation on the Surface of Soft Contact Lens Materials Using Digital Holographic Tomography to Advance Biofilm Research
Abstract
1. Introduction
2. Results and Discussion
2.1. Species- and Time-Dependent Changes in the Average RI of Bacterial Biofilms Formed on the Surface of Soft Contact Lens Materials
2.2. RI-Based Quantitative Study of the Dynamics of Biofilm Formation on the Surface of Soft Contact Lens Materials
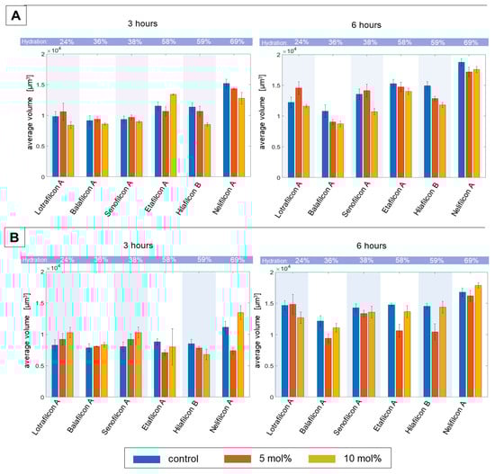
2.3. RI-Based Characterisation of Bacterial Biofilm Formation on the Surface of Soft Contact Lens Materials, Both Untreated and Treated with Selected Pharmaceutical Agents
3. Materials and Methods
3.1. Contact Lens Samples
3.2. Pharmacutical Agent
3.3. Bacteria Samples Preparation
3.4. Biofilm Examination by DHT
4. Conclusions
5. Patents
Supplementary Materials
Author Contributions
Funding
Institutional Review Board Statement
Informed Consent Statement
Data Availability Statement
Acknowledgments
Conflicts of Interest
References
- López, D.; Vlamakis, H.; Kolter, R. Biofilms. Cold Spring Harb. Perspect. Biol. 2010, 2, a000398. [Google Scholar] [CrossRef] [PubMed]
- Petrova, O.E.; Sauer, K. A Novel Signaling Network Essential for Regulating Pseudomonas aeruginosa Biofilm Development. PLoS Pathog. 2009, 5, e1000668. [Google Scholar] [CrossRef] [PubMed]
- Lai, H.; Tang, Y.; Ren, F.; Li, Z.; Li, F.; Cui, C.; Jiao, X.; Huang, J. An Investigation into the Critical Factors Influencing the Spread of Campylobacter during Chicken Handling in Commercial Kitchens in China. Microorganisms 2021, 9, 1164. [Google Scholar] [CrossRef] [PubMed]
- Srey, S.; Jahid, I.K.; Ha, S.-D. Biofilm formation in food industries: A food safety concern. Food Control 2013, 31, 572–585. [Google Scholar] [CrossRef]
- Rather, M.A.; Gupta, K.; Bardhan, P.; Borah, M.; Sarkar, A.; Eldiehy, K.S.H.; Bhuyan, S.; Mandal, M. Microbial biofilm: A matter of grave concern for human health and food industry. J. Basic Microbiol. 2021, 61, 380–395. [Google Scholar] [CrossRef] [PubMed]
- Learbuch, K.; Smidt, H.; van der Wielen, P. Influence of pipe materials on the microbial community in unchlorinated drinking water and biofilm. Water Res. 2021, 194, 116922. [Google Scholar] [CrossRef] [PubMed]
- Hemdan, B.A.; El-Taweel, G.E.; Goswami, P.; Pant, D.; Sevda, S. The role of biofilm in the development and dissemination of ubiquitous pathogens in drinking water distribution systems: An overview of surveillance, outbreaks, and prevention. World J. Microbiol. Biotechnol. 2021, 37, 36. [Google Scholar] [CrossRef] [PubMed]
- Lopes, L.; Costa, D.; Tipple, A.; Watanabe, E.; Castillo, R.; Hu, H.; Deva, A.; Vickery, K. Complex design of surgical instruments as barrier for cleaning effectiveness, favouring biofilm formation. J. Hosp. Infect. 2018, 103, e53–e60. [Google Scholar] [CrossRef]
- Veerachamy, S.; Yarlagadda, T.; Manivasagam, G.; Yarlagadda, P.K.D.V. Bacterial adherence and biofilm formation on medical implants: A review. Proc. Inst. Mech. Eng. Part H J. Eng. Med. 2014, 228, 1083–1099. [Google Scholar] [CrossRef]
- Zegans, M.E.; Becker, H.I.; Budzik, J.; O’Toole, G. The Role of Bacterial Biofilms in Ocular Infections. DNA Cell Biol. 2002, 21, 415–420. [Google Scholar] [CrossRef]
- Zegans, M.E.; Shanks, R.M.; O’Toole, G.A. Bacterial Biofilms and Ocular Infections. Ocul. Surf. 2005, 3, 73–80. [Google Scholar] [CrossRef] [PubMed]
- Bispo, P.J.M.; Haas, W.; Gilmore, M.S. Biofilms in Infections of the Eye. Pathogens 2015, 4, 111–136. [Google Scholar] [CrossRef]
- Panthi, S.; Paudel, P.; Chaudhary, M.; Sapkota, K.; Shah, D.N. Microbial contamination of contact lens care accessories and compliance with care regimens in Nepal. Contact Lens Anterior Eye 2014, 37, 2–10. [Google Scholar] [CrossRef]
- Cope, J.R.; Collier, S.A.; Rao, M.M.; Chalmers, R.; Mitchell, G.L.; Richdale, K.; Wagner, H.; Kinoshita, B.T.; Lam, D.Y.; Sorbara, L.; et al. Contact Lens Wearer Demographics and Risk Behaviors for Contact Lens-Related Eye Infections—United States, 2014. Morb. Mortal. Wkly. Rep. 2015, 64, 865–870. [Google Scholar] [CrossRef] [PubMed]
- Charrière, F.; Marian, A.; Montfort, F.; Kuehn, J.; Colomb, T.; Cuche, E.; Marquet, P.; Depeursinge, C. Cell refractive index tomography by digital holographic microscopy. Opt. Lett. 2006, 31, 178–180. [Google Scholar] [CrossRef]
- Kim, D.; Lee, S.; Lee, M.; Oh, J.; Yang, S.A.; Park, Y.K. Holotomography: Refractive Index as an Intrinsic Imaging Contrast for 3-D Label-Free Live Cell Imaging. Adv. Exp. Med. Biol. 2021, 1310, 211–238. [Google Scholar] [CrossRef] [PubMed]
- Balasubramani, V.; Kujawińska, M.; Allier, C.; Anand, V.; Cheng, C.-J.; Depeursinge, C.; Hai, N.; Juodkazis, S.; Kalkman, J.; Kuś, A.; et al. Roadmap on Digital Holography-Based Quantitative Phase Imaging. J. Imaging 2021, 7, 252. [Google Scholar] [CrossRef]
- Sung, Y.; Choi, W.; Fang-Yen, C.; Badizadegan, K.; Dasari, R.R.; Feld, M.S. Optical diffraction tomography for high resolution live cell imaging. Opt. Express 2009, 17, 266–277. [Google Scholar] [CrossRef]
- Buzalewicz, I.; Ulatowska-Jarża, A.; Kaczorowska, A.; Gąsior-Głogowska, M.; Podbielska, H.; Karwańska, M.; Wieliczko, A.; Matczuk, A.K.; Kowal, K.; Kopaczyńska, M. Bacteria Single-Cell and Photosensitizer Interaction Revealed by Quantitative Phase Imaging. Int. J. Mol. Sci. 2021, 22, 5068. [Google Scholar] [CrossRef]
- Pietrowska, A.; Hołowacz, I.; Ulatowska-Jarża, A.; Guźniczak, M.; Matczuk, A.K.; Wieliczko, A.; Wolf-Baca, M.; Buzalewicz, I. The Enhancement of Antimicrobial Photodynamic Therapy of Escherichia Coli by a Functionalized Combination of Photosensitizers: In Vitro Examination of Single Cells by Quantitative Phase Imaging. Int. J. Mol. Sci. 2022, 23, 6137. [Google Scholar] [CrossRef]
- Ng, G.; Judzewitsch, P.; Li, M.; Pester, C.W.; Jung, K.; Boyer, C. Synthesis of Polymer Brushes Via SI-PET-RAFT for Photodynamic Inactivation of Bacteria. Macromol. Rapid Commun. 2021, 42, 2100106. [Google Scholar] [CrossRef]
- Oh, J.; Ryu, J.S.; Lee, M.; Jung, J.-H.; Han, S.; Chung, H.J.; Park, Y. Three-dimensional label-free observation of individual bacteria upon antibiotic treatment using optical diffraction tomography. Biomed. Opt. Express 2020, 11, 1257–1267. [Google Scholar] [CrossRef] [PubMed]
- Buzalewicz, I.; Ulatowska-Jarża, A.; Gąsior-Głogowska, M.; Wolf-Baca, M.; Żyłka, P. New measurements modalities for multi-parametric, label-free and non-contact detection of biofilm formation on stainless steel and glass surfaces. Measurement 2023, 210, 112588. [Google Scholar] [CrossRef]
- O’Toole, G.A. Microtiter Dish Biofilm Formation Assay. J. Vis. Exp. 2011, 47, e2437. [Google Scholar] [CrossRef]
- Wilson, C.; Lukowicz, R.; Merchant, S.; Valquier-Flynn, H.; Caballero, J.; Sandoval, J.; Okuom, M.; Huber, C.; Brooks, T.D.; Wilson, E.; et al. Quantitative and Qualitative Assessment Methods for Biofilm Growth: A Mini-review. Res. Reviews. J. Eng. Technol. 2017, 6. Available online: http://www.rroij.com/open-access/quantitative-and-qualitative-assessment-methods-for-biofilm-growth-a-minireview-.pdf (accessed on 19 February 2024).
- Shimoda, T.; Yano, R.; Nakamura, S.; Yoshida, M.; Matsuo, J.; Yoshimura, S.; Yamaguchi, H. ATP Bioluminescence Values Are Significantly Different Depending upon Material Surface Properties of the Sampling Location in Hospitals Health Services Research. BMC Res. Notes 2015, 8, 807. [Google Scholar] [CrossRef] [PubMed]
- Neu, T.R.; Lawrence, J.R. Development and structure of microbial biofilms in river water studied by confocal laser scanning microscopy. FEMS Microbiol. Ecol. 1997, 24, 11–25. [Google Scholar] [CrossRef]
- Shin, J.; Kim, G.; Park, J.; Lee, M.; Park, Y. Long-term label-free assessments of individual bacteria using three-dimensional quantitative phase imaging and hydrogel-based immobilization. Sci. Rep. 2023, 13, 46. [Google Scholar] [CrossRef]
- Nelson, A.; Hultenby, K.; Hell, E.; Riedel, H.M.; Brismar, H.; Flock, J.-I.; Lundahl, J.; Giske, C.G.; Marchini, G. Staphylococcus epidermidis Isolated From Newborn Infants Express Pilus-Like Structures and Are Inhibited by the Cathelicidin-Derived Antimicrobial Peptide LL37. Pediatr. Res. 2009, 66, 174–178. [Google Scholar] [CrossRef]
- Childs, A.; Li, H.; Lewittes, D.M.; Dong, B.; Liu, W.; Shu, X.; Sun, C.; Zhang, H.F. Fabricating customized hydrogel contact lens. Sci. Rep. 2016, 6, 34905. [Google Scholar] [CrossRef]
- Tighe, B.J. Physicochemical Properties of Hydrogels for Use in Ophthalmology. In Biomaterials and Regenerative Medicine in Ophthalmology; Woodhead Publishing: Sawston, UK, 2010; pp. 496–523. [Google Scholar] [CrossRef]
- Castro-Muñoz, R. A critical review on electrospun membranes containing 2D materials for seawater desalination. Desalination 2023, 555, 116528. [Google Scholar] [CrossRef]
- Gontarek-Castro, E.; Castro-Muñoz, R.; Lieder, M. New insights of nanomaterials usage toward superhydrophobic membranes for water desalination via membrane distillation: A review. Crit. Rev. Environ. Sci. Technol. 2021, 52, 2104–2149. [Google Scholar] [CrossRef]
- Haworth, K.; Travis, D.; Abariga, S.A.; Fuller, D.; Pucker, A.D. Silicone Hydrogel versus Hydrogel Soft Contact Lenses for Differences in Patient-Reported Eye Comfort and Safety. Cochrane Database Syst. Rev. 2021, 2021, CD014791. [Google Scholar] [CrossRef]
- Mordmuang, A.; Udomwech, L.; Karnjana, K. Influence of Contact Lens Materials and Cleaning Procedures on Bacterial Adhesion and Biofilm Formation. Clin. Ophthalmol. 2021, 15, 2391–2402. [Google Scholar] [CrossRef] [PubMed]
- Dosler, S.; Hacioglu, M.; Yilmaz, F.N.; Oyardi, O. Biofilm Modelling on the Contact Lenses and Comparison of the In Vitro Activities of Multipurpose Lens Solutions and Antibiotics. PeerJ 2020, 2020, e9419. [Google Scholar] [CrossRef]
- Selan, L.; Palma, S.; Scoarughi, G.L.; Papa, R.; Veeh, R.; Di Clemente, D.; Artini, M. Phosphorylcholine Impairs Susceptibility to Biofilm Formation of Hydrogel Contact Lenses. Arch. Ophthalmol. 2009, 147, 134–139. [Google Scholar] [CrossRef]
- Perilli, R.; Marziano, M.L.; Formisano, G.; Caiazza, S.; Scorcia, G.; Baldassarri, L. Alteration of organized structure of biofilm formed byStaphylococcus epidermidis on soft contact lenses. J. Biomed. Mater. Res. 1999, 49, 53–57. [Google Scholar] [CrossRef]
- Ali, A.; Zahra, A.; Kamthan, M.; Husain, F.M.; Albalawi, T.; Zubair, M.; Alatawy, R.; Abid, M.; Noorani, S. Microbial Biofilms: Applications, Clinical Consequences, and Alternative Therapies. Microorganisms 2023, 11, 1934. [Google Scholar] [CrossRef]
- US11759424B2—High-Efficiency Encapsulation of Hydrophilic Compounds in Unilamellar Liposomes—Google Patents. Available online: https://patents.google.com/patent/US11759424B2/en (accessed on 28 December 2023).
- Chelu, M.; Musuc, A.M. Advanced Biomedical Applications of Multifunctional Natural and Synthetic Biomaterials. Processes 2023, 11, 2696. [Google Scholar] [CrossRef]
- Bligh, E.G.; Dyer, W.J. A Rapid Method of Total Lipid Extraction and Purification. Can. J. Biochem. Physiol. 1959, 37, 911–917. [Google Scholar] [CrossRef] [PubMed]




| Pseudomonas aeruginosa | Staphylococcus epidermidis | |||
|---|---|---|---|---|
| Material 1 | ΔRI (stdRI) × 10−3 [a.u.] | ΔRI (stdRI) × 10−3 [a.u.] | ||
| 3 h | 6 h | 3 h | 6 h | |
| Lotrafilcon A + 5 mol% | +0.01 (1.37) | −0.71 (2.57) | −0.38 (3.72) | −0.35 (1.72) |
| Lotrafilcon A + 10 mol% | +0.01 (1.37) | −0.71 (2.56) | −1.22 (3.26) | −0.44 (2.54) |
| Senofilcon A + 5 mol% | +0.57 (2.76) | −0.51 (2.91) | −0.41 (4.78) | −1.86 (6.64) |
| Senofilcon A + 10 mol% | +0.77 (2.66) | −0.84 (3.14) | −0.63 (4.60) | −0.52 (5.92) |
| Balafilcon A + 5 mol% | +0.12 (2.19) | −0.25 (2.39) | +0.11 (5.13) | −0.69 (2.87) |
| Balafilcon A + 10 mol% | +0.12 (2.39) | −0.38 (2.22) | −1.87 (5.66) | −1.07 (2.49) |
| Etafilcon A + 5 mol% | −0.05 (3.12) | +0.06 (2.33) | +3.54 (6.93) | −0.73 (4.28) |
| Etafilcon A + 10 mol% | +0.30 (2.82) | +0.07 (2.44) | +1.76 (7.97) | −0.62 (2.89) |
| Hilafilcon B + 5 mol% | −0.72 (3.82) | −0.06 (2.86) | −0.09 (7.26) | −1.34 (6.45) |
| Hilafilcon B + 10 mol% | −0.78 (3.43) | −0.09 (2.39) | +1.63 (7.35) | −0.41 (3.72) |
| Nelifilcon A + 5 mol% | −0.38 (1.57) | +0.10 (2.04) | −1.12 (2.83) | −2.41 (4.32) |
| Nelifilcon A + 10 mol% | −0.35 (1.52) | −0.17 (2.35) | −1.68 (2.80) | −0.92 (2.85) |
| Material | Manufacturer | Wear Schedule | Dk 1 (fatt/Iso) | Hydration |
|---|---|---|---|---|
| Lotrafilcon A | Alcon(Geneve, Switzerland) | 30 days | 140 | 24% |
| Senofilcon A | Johnson & Johnson (Irvine, CA, USA) | 14 days | 103 | 38% |
| Balafilcon A | Valeant—Bausch & Lomb (Quebec, QC, Canada) | 30 days | 130 | 36% |
| Etafilcon A | Johnson & Johnson (Irvine, CA, USA) | 1 day | 33 | 58% |
| Hilafilcon B | Valeant—Bausch & Lomb (Quebec, QC, Canada) | 14 days | 19 | 59% |
| Nelifilcon A | Alcon (Geneve, Switzerland) | 1 day | 26 | 69% |
Disclaimer/Publisher’s Note: The statements, opinions and data contained in all publications are solely those of the individual author(s) and contributor(s) and not of MDPI and/or the editor(s). MDPI and/or the editor(s) disclaim responsibility for any injury to people or property resulting from any ideas, methods, instructions or products referred to in the content. |
© 2024 by the authors. Licensee MDPI, Basel, Switzerland. This article is an open access article distributed under the terms and conditions of the Creative Commons Attribution (CC BY) license (https://creativecommons.org/licenses/by/4.0/).
Share and Cite
Buzalewicz, I.; Kaczorowska, A.; Fijałkowski, W.; Pietrowska, A.; Matczuk, A.K.; Podbielska, H.; Wieliczko, A.; Witkiewicz, W.; Jędruchniewicz, N. Quantifying the Dynamics of Bacterial Biofilm Formation on the Surface of Soft Contact Lens Materials Using Digital Holographic Tomography to Advance Biofilm Research. Int. J. Mol. Sci. 2024, 25, 2653. https://doi.org/10.3390/ijms25052653
Buzalewicz I, Kaczorowska A, Fijałkowski W, Pietrowska A, Matczuk AK, Podbielska H, Wieliczko A, Witkiewicz W, Jędruchniewicz N. Quantifying the Dynamics of Bacterial Biofilm Formation on the Surface of Soft Contact Lens Materials Using Digital Holographic Tomography to Advance Biofilm Research. International Journal of Molecular Sciences. 2024; 25(5):2653. https://doi.org/10.3390/ijms25052653
Chicago/Turabian StyleBuzalewicz, Igor, Aleksandra Kaczorowska, Wojciech Fijałkowski, Aleksandra Pietrowska, Anna Karolina Matczuk, Halina Podbielska, Alina Wieliczko, Wojciech Witkiewicz, and Natalia Jędruchniewicz. 2024. "Quantifying the Dynamics of Bacterial Biofilm Formation on the Surface of Soft Contact Lens Materials Using Digital Holographic Tomography to Advance Biofilm Research" International Journal of Molecular Sciences 25, no. 5: 2653. https://doi.org/10.3390/ijms25052653
APA StyleBuzalewicz, I., Kaczorowska, A., Fijałkowski, W., Pietrowska, A., Matczuk, A. K., Podbielska, H., Wieliczko, A., Witkiewicz, W., & Jędruchniewicz, N. (2024). Quantifying the Dynamics of Bacterial Biofilm Formation on the Surface of Soft Contact Lens Materials Using Digital Holographic Tomography to Advance Biofilm Research. International Journal of Molecular Sciences, 25(5), 2653. https://doi.org/10.3390/ijms25052653

