Sign in to use this feature.

Years

Between: -

Subjects

remove_circle_outline
remove_circle_outline
remove_circle_outline
remove_circle_outline
remove_circle_outline
remove_circle_outline
remove_circle_outline
remove_circle_outline
remove_circle_outline

Journals

remove_circle_outline
remove_circle_outline
remove_circle_outline
remove_circle_outline
remove_circle_outline
remove_circle_outline
remove_circle_outline
remove_circle_outline
remove_circle_outline
remove_circle_outline

Article Types

Countries / Regions

remove_circle_outline
remove_circle_outline
remove_circle_outline
remove_circle_outline

Search Results (551)

Search Parameters:
Keywords = quantitative phase imaging

Order results
Result details
Results per page
Select all
Export citation of selected articles as:
19 pages, 2836 KB  
Article
Cine Phase Contrast Magnetic Resonance Imaging of Calf Muscle Contraction in Pediatric Patients with Cerebral Palsy and Healthy Children: Comparison of Voluntary Motion and Electrically Evoked Motion
by Claudia Weidensteiner, Xeni Deligianni, Tanja Haas, Philipp Madoerin, Oliver Bieri, Meritxell Garcia Alzamora, Jacqueline Romkes, Erich Rutz, Francesco Santini and Reinald Brunner
Children 2026, 13(1), 116; https://doi.org/10.3390/children13010116 - 13 Jan 2026
Abstract
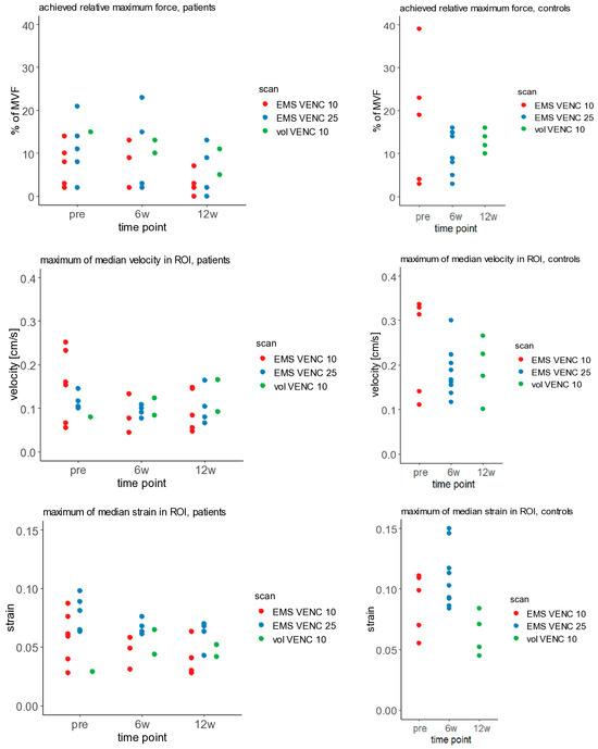
Background/Objectives: Magnetic resonance imaging (MRI) can be used to assess muscle function while performing a motion task within the scanner. Quantitative measures such as contraction velocity and strain can be derived from the images. Cine phase contrast (PC) MRI for time-resolved imaging of [...] Read more.
Background/Objectives: Magnetic resonance imaging (MRI) can be used to assess muscle function while performing a motion task within the scanner. Quantitative measures such as contraction velocity and strain can be derived from the images. Cine phase contrast (PC) MRI for time-resolved imaging of muscle function relies on the consistently repeated execution of the motion task for several minutes until data acquisition is complete. This may be difficult for patients with neuromuscular dysfunctions. To date, this approach has been applied only in adults, but not pediatric populations. The aim of this pilot study was to investigate the feasibility of PC MRI for assessing calf muscle function during electrically evoked and voluntary motion in children with cerebral palsy (CP) using open-source hardware and software. Methods: Cine PC MRI was performed at 3T in ambulatory pediatric patients with CP and typically developing children under electrical muscle stimulation (EMS) (n = 14/13) and during voluntary plantarflexion (n = 4/4) using a home-built pedal with a force sensor. A visual feedback software was developed to enable synchronized imaging of voluntary muscle contractions. Muscle contraction velocity and strain were calculated from the MRI data. Data quality was rated by two readers. Results: During EMS, the velocity data quality was rated as sufficient in 21% of scans in patients compared with 82% of scans in controls. During the voluntary task, all patients demonstrated increased compliance and greater generated force output than during EMS. Voluntary motion imaging was successful in all controls but none of the patients, as motion periodicity in patients was worse during voluntary than during stimulated contraction. Conclusions: Cine phase-contrast MRI combined with EMS or voluntary motion proved challenging in pediatric patients with CP, particularly in those with more severe baseline muscle dysfunction or reduced tolerance to stimulation. In contrast, the approach was successfully implemented in typically developing children. Although the scope of the patient-based findings is limited by data heterogeneity, the method demonstrates considerable potential as a tool for monitoring treatment-related changes in muscle function, particularly in less severely affected patients. Further refinement of the EMS and voluntary motion protocols, together with a reduction in MRI acquisition time, is required to improve motion periodicity, tolerability, and consequently the overall success rate in the intended pediatric patient cohort. Full article
(This article belongs to the Collection Advancements in the Management of Children with Cerebral Palsy)
Show Figures

Figure 1

18 pages, 10421 KB  
Article
A Deep Learning Framework with Multi-Scale Texture Enhancement and Heatmap Fusion for Face Super Resolution
by Bing Xu, Lei Wang, Yanxia Wu, Xiaoming Liu and Lu Gan
AI 2026, 7(1), 20; https://doi.org/10.3390/ai7010020 - 9 Jan 2026
Viewed by 148
Abstract
Face super-resolution (FSR) has made great progress thanks to deep learning and facial priors. However, many existing methods do not fully exploit landmark heatmaps and lack effective multi-scale texture modeling, which often leads to texture loss and artifacts under large upscaling factors. To [...] Read more.
Face super-resolution (FSR) has made great progress thanks to deep learning and facial priors. However, many existing methods do not fully exploit landmark heatmaps and lack effective multi-scale texture modeling, which often leads to texture loss and artifacts under large upscaling factors. To address these problems, we propose a Multi-Scale Residual Stacking Network (MRSNet), which integrates multi-scale texture enhancement with multi-stage heatmap fusion. The MRSNet is built upon Residual Attention-Guided Units (RAGUs) and incorporates a Face Detail Enhancer (FDE), which applies edge, texture, and region branches to achieve differentiated enhancement across facial components. Furthermore, we design a Multi-Scale Texture Enhancement Module (MTEM) that employs progressive average pooling to construct hierarchical receptive fields and employs heatmap-guided attention for adaptive texture refinement. In addition, we introduce a multi-stage heatmap fusion strategy that injects landmark priors into multiple phases of the network, including feature extraction, texture enhancement, and detail reconstruction, enabling deep sharing and progressive integration of prior knowledge. Extensive experiments on CelebA and Helen demonstrate that the proposed method achieves superior detail recovery and generates perceptually realistic high-resolution face images. Both quantitative and qualitative evaluations confirm that our approach outperforms state-of-the-art methods. Full article
Show Figures

Figure 1

19 pages, 5487 KB  
Article
Unsupervised Variational-Autoencoder-Based Analysis of Morphological Representations in Magnetic-Nanoparticle-Treated Macrophages
by Su-Yeon Hwang, Tae-Il Kang, Hyeon-Seo Kim, Seokmin Hong, Jong-Oh Park and Byungjeon Kang
Bioengineering 2026, 13(1), 76; https://doi.org/10.3390/bioengineering13010076 - 9 Jan 2026
Viewed by 136
Abstract
Magnetic nanoparticles (MNPs) are widely applied in biomedicine, including bioimaging, drug delivery, and cell tracking. As central mediators of immune surveillance, macrophages phagocytize foreign substances, rendering their interactions with MNPs particularly consequential. During MNP uptake, macrophages undergo cytoplasmic remodeling that can lead to [...] Read more.
Magnetic nanoparticles (MNPs) are widely applied in biomedicine, including bioimaging, drug delivery, and cell tracking. As central mediators of immune surveillance, macrophages phagocytize foreign substances, rendering their interactions with MNPs particularly consequential. During MNP uptake, macrophages undergo cytoplasmic remodeling that can lead to morphological alterations. Although prior studies have predominantly focused on MNP uptake efficiency and cytotoxicity, systematic quantitative assessments of macrophage morphological alterations following MNP treatment remain scarce. In this study, phase-contrast microscopy images of macrophages before and after MNP treatment were analyzed using unsupervised variational autoencoder (VAE)-based frameworks. Specifically, the β-VAE, β-total correlation VAE, and multi-encoder VAE frameworks were employed to extract latent representations of cellular morphology. The analysis revealed that MNP-treated macrophages exhibited pronounced structural alterations, including membrane expansion, central density shifts, and shape distortions. These findings were further substantiated through quantitative evaluations, including effect size analysis, kernel density estimation, latent traversal, and difference mapping. Collectively, these results demonstrate that VAE-based unsupervised learning provides a robust framework for detecting subtle morphological responses of macrophages to nanoparticle exposure and highlights its broader applicability across varied cell types, treatment conditions, and imaging platforms. Full article
(This article belongs to the Special Issue AI and Data Science in Bioengineering: Innovations and Applications)
Show Figures

Figure 1

9 pages, 1650 KB  
Communication
Comparison of the Radiomics Features of Normal-Appearing White Matter in Persons with High or Low Perivascular Space Scores
by Onural Ozturk, Sibel Balci and Seda Ozturk
J. Imaging 2026, 12(1), 35; https://doi.org/10.3390/jimaging12010035 - 8 Jan 2026
Viewed by 122
Abstract
The clinical significance of perivascular spaces (PVS) remains controversial. Radiomics refers to the extraction of quantitative features from medical images using pixel-based computational approaches. This study aimed to compare the radiomics features of normal-appearing white matter (NAWM) in patients with low and high [...] Read more.
The clinical significance of perivascular spaces (PVS) remains controversial. Radiomics refers to the extraction of quantitative features from medical images using pixel-based computational approaches. This study aimed to compare the radiomics features of normal-appearing white matter (NAWM) in patients with low and high PVS scores to reveal microstructural differences that are not visible macroscopically. Adult patients who underwent cranial MRI over a one-month period were retrospectively screened and divided into two groups according to their global PVS score. Radiomics feature extraction from NAWM was performed at the level of the centrum semiovale on FLAIR and ADC images. Radiomics features were selected using Least Absolute Shrinkage and Selection Operator (LASSO) regression during the initial model development phase, and predefined radiomics scores were evaluated for both sequences. A total of 160 patients were included in the study. Radiomics scores derived from normal-appearing white matter demonstrated good discriminative performance for differentiating high vs. low perivascular space (PVS) burden (AUC = 0.853 for FLAIR and AUC = 0.753 for ADC). In age- and scanner-adjusted multivariable models, radiomics scores remained independently associated with high PVS burden. These findings suggest that radiomics analysis of NAWM can capture subtle white matter alterations associated with PVS burden and may serve as a non-invasive biomarker for early detection of microvascular and inflammatory changes. Full article
(This article belongs to the Special Issue Progress and Challenges in Biomedical Image Analysis—2nd Edition)
Show Figures

Figure 1

18 pages, 1326 KB  
Review
MR-Guided Radiotherapy in Oesophageal Cancer: From Principles to Practice—A Narrative Review
by Su Chen Fong, Eddie Lau, David S. Liu, Niall C. Tebbutt, Richard Khor, Trevor Leong, David Williams, Sergio Uribe and Sweet Ping Ng
Curr. Oncol. 2026, 33(1), 34; https://doi.org/10.3390/curroncol33010034 - 8 Jan 2026
Viewed by 97
Abstract
Oesophageal cancer remains a significant global health burden with poor survival outcomes despite multimodal treatment. Recent advances in magnetic resonance imaging (MRI) have opened opportunities to improve radiotherapy delivery. This review examines the role of MRI and MR-guided radiotherapy (MRgRT) in oesophageal cancer, [...] Read more.
Oesophageal cancer remains a significant global health burden with poor survival outcomes despite multimodal treatment. Recent advances in magnetic resonance imaging (MRI) have opened opportunities to improve radiotherapy delivery. This review examines the role of MRI and MR-guided radiotherapy (MRgRT) in oesophageal cancer, focusing on applications in staging, treatment planning, and response assessment, with particular emphasis on magnetic resonance linear accelerator (MR-Linac)-based delivery. Compared to computed tomography (CT), MRI offers superior soft-tissue contrast, enabling more accurate tumour delineation and the potential for reduced treatment margins. Real-time MR imaging during treatment can facilitate motion management, while daily adaptive planning can accommodate anatomical changes throughout the treatment course. Functional MRI sequences, including diffusion-weighted and dynamic contrast-enhanced imaging, offer quantitative data for treatment response monitoring. Early clinical and dosimetric studies demonstrate that MRgRT can significantly reduce radiation dose to critical organs while maintaining target coverage. However, clinical evidence for MRgRT in oesophageal cancer is limited to small early-phase studies, with no phase II/III trials demonstrating improvements in survival, toxicity, or patient-reported outcomes. Long-term clinical benefits and cost-effectiveness remain unproven, highlighting the need for prospective outcome-focused studies to define the role for MRgRT within multimodality treatment pathways. Full article
(This article belongs to the Special Issue Adaptive Radiotherapy: Advanced Imaging for Personalised Treatment)
Show Figures

Figure 1

19 pages, 5994 KB  
Article
Optimal Ice Particle Models of Different Cloud Types for Radiative Transfer Simulation at 183 GHz Frequency Band
by Zhuoyang Li, Qiang Guo, Xin Wang, Wen Hui, Fangli Dou and Yiyu Chen
Remote Sens. 2026, 18(1), 168; https://doi.org/10.3390/rs18010168 - 4 Jan 2026
Viewed by 159
Abstract
The Fengyun-4 microwave satellite provides high-temporal-frequency observations at the 183 GHz band, providing unprecedented data for all-weather, three-dimensional measurements of atmospheric parameters. It is of importance to establish a simulated brightness temperature (BT) dataset for this band prior to launch, which can support [...] Read more.
The Fengyun-4 microwave satellite provides high-temporal-frequency observations at the 183 GHz band, providing unprecedented data for all-weather, three-dimensional measurements of atmospheric parameters. It is of importance to establish a simulated brightness temperature (BT) dataset for this band prior to launch, which can support the relevant quantitative applications significantly. Compared with clear-sky conditions, the accuracy of BT simulations under cloudy ones is considerably lower, primarily due to the influence of the adopted ice particle models. Up until now, few studies have systematically investigated ice particle model selection for different cloud types at the 183 GHz frequency band. In this paper, multi-sensor observations from Cloud Profiling Radar (CPR), Cloud-Aerosol Lidar with Orthogonal Polarization (CALIOP), and Visible Infrared Imaging Radiometer Suite (VIIRS) were used as realistic atmospheric profiles. Using the high-precision radiative transfer model Atmospheric Radiative Transfer Simulator (ARTS), BT simulations at 183 GHz were performed to explore the optimal ice particle models for seven classical cloud types. The main conclusions are given as follows: (1) The sensitivity of simulated cloud radiances to ice particle habits differs with respect to different cloud phases. For altocumulus (Ac), stratocumulus (Sc), and cumulus (Cu) clouds, the different choices of ice particle model have little impacts on the simulated brightness temperatures (<1 K), with RMSEs below 3 K across multiple models, indicating that various models can be applied directly for such simulations. (2) For some mixed-phase clouds, including altostratus (As), nimbostratus (Ns), and deep convective (Dc) clouds, the Small Block Aggregate (SBA) and Small Plate Aggregate (SPA) models demonstrate good performance for As clouds, with RMSEs below 2.5 K, while the SBA, SPA, and Large Column Aggregate (LCA) models exhibit similarly good performance for Ns clouds, also achieving RMSEs below 2.5 K. For Dc clouds, although the SBA model yields RMSEs of approximately 10 K, it still provides a substantial improvement over the spherical model, whereas for cirrus (Ci) clouds, any non-spherical ice particle models are applicable, with RMSEs below 2 K. (3) Within the 183 GHz frequency band, channels with the higher weighting-function peaks are less sensitive to variable adoptions of ice particle models. These results offer valuable references for accurate radiative transfer simulations on 183 GHz frequency. Full article
Show Figures

Figure 1

23 pages, 1297 KB  
Review
Preclinical PET and SPECT Imaging in Small Animals: Technologies, Challenges and Translational Impact
by Magdalena Bruzgo-Grzybko, Izabela Suwda Kalita, Adam Jan Olichwier, Natalia Bielicka, Ewa Chabielska and Anna Gromotowicz-Poplawska
Cells 2026, 15(1), 73; https://doi.org/10.3390/cells15010073 - 31 Dec 2025
Viewed by 408
Abstract
Molecular imaging in preclinical research using PET and SPECT has become a key component of contemporary biomedicine, enabling noninvasive, quantitative, and longitudinal assessment of biological processes in vivo. Rapid technological progress, including advances in detector design, readout electronics, reconstruction algorithms, and multimodal integration, [...] Read more.
Molecular imaging in preclinical research using PET and SPECT has become a key component of contemporary biomedicine, enabling noninvasive, quantitative, and longitudinal assessment of biological processes in vivo. Rapid technological progress, including advances in detector design, readout electronics, reconstruction algorithms, and multimodal integration, has substantially improved spatial resolution, sensitivity, and quantitative accuracy, thereby enhancing the translational value of animal models. PET and SPECT enable precise characterization of metabolic, molecular, and functional alterations across a wide range of diseases including cancer, cardiovascular disorders, neurodegeneration, and inflammation. Radiopharmaceuticals targeting diverse biological pathways, combined with PET and SPECT systems, allow comprehensive and physiologically relevant evaluation of disease mechanisms and therapeutic responses. Despite these significant advances, important challenges remain, including limitations in quantitative precision, partial-volume effects and inter-laboratory variability in experimental protocols. An additional limitation is the lack of globally standardized quality-control and calibration procedures tailored to preclinical imaging systems. Emerging multimodal imaging platforms and high-fidelity disease models, such as genetically engineered rodents, large animals, and zebrafish, continue to enhance reproducibility, biological relevance, and translational potential. This review summarizes the development, capabilities, and limitations of preclinical PET and SPECT imaging, highlighting their expanding role in advancing molecular diagnostics, radiopharmaceutical development, and translational medicine in both preclinical studies and early-phase clinical research. Full article
Show Figures

Figure 1

16 pages, 7296 KB  
Article
Contemplation of Fluid Behavior and CO2 Concentration According to Vortex Movement of Air–CO2 Mixture Inside a Tube Based on Schlieren Method
by Wonjun Seo, Seokyeon Im and Jinwon Yun
Appl. Sci. 2026, 16(1), 435; https://doi.org/10.3390/app16010435 - 31 Dec 2025
Viewed by 200
Abstract
To address the issue of climate change caused by greenhouse gases, extensive research has been conducted on technologies for separating and capturing carbon dioxide. This study aimed to investigate the internal flow behavior and relative spatial distribution of CO2-related features inside [...] Read more.
To address the issue of climate change caused by greenhouse gases, extensive research has been conducted on technologies for separating and capturing carbon dioxide. This study aimed to investigate the internal flow behavior and relative spatial distribution of CO2-related features inside a vortex tube using the Schlieren method. Due to the presence of numerous components in a typical counter-flow vortex tube that may cause optical refraction along the measurement path, a simplified tube with a single nozzle was designed and manufactured for the experiments. The experiments consisted of CO2 single-phase flow and air–CO2 mixture flow tests. Images captured during the experiments were processed using Gaussian filtering and background correction to enhance the visibility of boundary layers and internal flow structures. Based on the pixel intensity values of the processed Schlieren images, relative intensity distributions associated with CO2-related flow behavior inside the tube were estimated and visualized. The experimental results revealed that, in both CO2 single-phase and air–CO2 mixture flows, regions of relatively high Schlieren intensity consistently appeared at specific locations within the tube. These observations indicate that the internal flow structure and relative distribution patterns are sensitive to the local flow features near the nozzle region under the tested conditions. The temporal evolution of the normalized Schlieren pixel intensity and its standard deviation was quantitatively evaluated, in a relative sense, to characterize the development of vortex flow structures under different operating conditions. The proposed visualization and analysis framework provides a systematic qualitative approach, supported by relative quantitative indicators, for investigating vortex-induced flow behavior. This framework may serve as a foundation for future studies that integrate complementary diagnostics and numerical analyses to further explore the vortex-based gas separation mechanism. Full article
Show Figures

Figure 1

21 pages, 5292 KB  
Article
Multi-Scale Synergistic Mechanism of Damping Performance in Crumb Rubber-Modified Asphalt
by Wenqi Kou, Mingxing Gao, Ting Zhao, Danlan Li and Hangtian Li
Polymers 2026, 18(1), 90; https://doi.org/10.3390/polym18010090 - 28 Dec 2025
Viewed by 243
Abstract
Utilizing waste tire crumb rubber to modify asphalt enhances the damping and noise reduction performance of pavements. This study employs a multi-scale approach to investigate the effect of crumb rubber content (5–25%) on the damping performance of crumb rubber-modified asphalt (CRMA). The results [...] Read more.
Utilizing waste tire crumb rubber to modify asphalt enhances the damping and noise reduction performance of pavements. This study employs a multi-scale approach to investigate the effect of crumb rubber content (5–25%) on the damping performance of crumb rubber-modified asphalt (CRMA). The results show that damping performance improves initially with increasing crumb rubber content, peaking at 20%, and then declines. At this optimal content, the loss modulus increases by 110% and 440% at 46 °C and 82 °C, respectively, compared to base asphalt, with enhanced damping efficiency and damping temperature stability. Fluorescence microscopy (FM) images and quantitative analysis reveal that, at 20%, the crumb rubber forms a moderately connected three-dimensional network. Molecular dynamics (MD) simulations indicate that, at this content, the solubility parameter of the CRMA system is closest to that of the base asphalt, and interfacial binding energy increases, suggesting optimal compatibility. Ridge regression models, with R2 values of 0.903 and 0.876 for the FM and MD scales, respectively, confirm that crumb rubber dispersion is the dominant factor governing damping performance, with moderate phase separation further enhancing performance. This study establishes a quantitative structure–property relationship, providing a framework for understanding the damping performance of rubber-modified asphalt pavements. Full article
Show Figures

Figure 1

17 pages, 1564 KB  
Article
Modeling Phase Transitions in Starling Flocks Using Fractal Dimension of Self-Affine Functions
by Kunyuan Li, Xiongwei Zhang, Kui Yao, Kai Zhang, Meng Sun, Ming He, Kefeng Liu and Yangjun Wang
Fractal Fract. 2026, 10(1), 17; https://doi.org/10.3390/fractalfract10010017 - 27 Dec 2025
Viewed by 341
Abstract
This paper uses the theory of self-affine fractal functions to model the dynamic flight graphs of starling flocks, integrating the fractional calculus of self-affine fractal functions to quantitatively characterize the intrinsic nonlinear dynamics and memory effects within the system, employing statistical inference methods [...] Read more.
This paper uses the theory of self-affine fractal functions to model the dynamic flight graphs of starling flocks, integrating the fractional calculus of self-affine fractal functions to quantitatively characterize the intrinsic nonlinear dynamics and memory effects within the system, employing statistical inference methods to find the fractal fit for the images. The changes in box dimensions over time could characterize the phase transition process of the starling flight flocks. By analyzing the rate of change of fractal dimensions, we identify critical points corresponding to phase transitions during collective flight behavior. During the flight of the starling flocks, a real-time phase transition process for evading attacks and effective advancement has been identified. Experimental data confirms the effectiveness of controlling the phase transition. Full article
Show Figures

Figure 1

13 pages, 311 KB  
Article
Relation Between Neutrophil Count and Left Ventricular Ejection Fraction Following Acute Myocarditis in Adolescents: A Preliminary Study
by Barbara Rabiega, Dominika Wysocka, Tomasz Urbanowicz, Anna Olasińska-Wiśniewska, Marek Jemielity and Waldemar Bobkowski
Children 2026, 13(1), 40; https://doi.org/10.3390/children13010040 - 27 Dec 2025
Viewed by 172
Abstract
(1) Background: The clinical course of acute myocarditis in adolescents is heterogeneous, and reliable predictors of early functional changes remain limited, particularly in patients without severe systolic dysfunction. Routine hematologic parameters may reflect the early inflammatory response, but their prognostic relevance in pediatric [...] Read more.
(1) Background: The clinical course of acute myocarditis in adolescents is heterogeneous, and reliable predictors of early functional changes remain limited, particularly in patients without severe systolic dysfunction. Routine hematologic parameters may reflect the early inflammatory response, but their prognostic relevance in pediatric non-fulminant myocarditis is poorly defined. This exploratory study aimed to assess whether admission inflammatory blood indices are associated with short-term changes in left ventricular systolic function in adolescents with acute myocarditis. (2) Methods: We retrospectively analyzed 44 adolescents (median age 16 years, 84% male) hospitalized with suspected acute non-fulminant myocarditis between 2020 and 2023. All patients had preserved or mildly reduced left ventricular ejection fraction (LVEF) at presentation. Clinical, laboratory, electrocardiographic, and echocardiographic data obtained at admission were analyzed. Changes in LVEF between the acute and post-acute phases during hospitalization were assessed using transthoracic echocardiography. Cardiac magnetic resonance imaging was performed in a subset of patients to support diagnosis but was not uniformly available for quantitative analysis. (3) Results: No in-hospital deaths occurred. A modest positive correlation was observed between neutrophil count at admission and improvement in LVEF during hospitalization (r = 0.348, p = 0.028). No significant associations were found between LVEF change and white blood cell count, lymphocyte count, monocyte count, neutrophil-to-lymphocyte ratio (NLR), troponin I, or NT-proBNP. (4) Conclusions: In adolescents with non-fulminant acute myocarditis and preserved or mildly reduced systolic function, admission neutrophil count was associated with short-term improvement in left ventricular ejection fraction. Given the retrospective design, limited sample size, and absence of mechanistic data, these findings should be interpreted as hypothesis-generating. Further prospective studies incorporating standardized cardiac magnetic resonance imaging and immunologic profiling are needed to clarify the clinical significance of this association. Full article
(This article belongs to the Special Issue Research Progress of the Pediatric Cardiology: 3rd Edition)
Show Figures

Figure 1

21 pages, 5128 KB  
Article
Influence of Vegetation Phenology on Urban Microclimate and Thermal Comfort in Cold Regions: A Case Study of Beiyang Plaza, Tianjin University
by Yaolong Wang, Yueheng Tong, Yi Lei, Rong Chen and Tiantian Huang
Buildings 2026, 16(1), 115; https://doi.org/10.3390/buildings16010115 - 26 Dec 2025
Viewed by 143
Abstract
Vegetation phenology significantly influences urban microclimate and thermal comfort in cold regions, yet its quantitative impact—specifically the potential of deciduous trees to enhance winter solar access—remains underexplored. This study investigates how seasonal vegetation changes affect thermal conditions in an urban plaza. Field measurements [...] Read more.
Vegetation phenology significantly influences urban microclimate and thermal comfort in cold regions, yet its quantitative impact—specifically the potential of deciduous trees to enhance winter solar access—remains underexplored. This study investigates how seasonal vegetation changes affect thermal conditions in an urban plaza. Field measurements were conducted at Beiyang Plaza, Tianjin University, during the autumn–winter transition. High-precision Sky View Factors (SVF) were extracted from panoramic images using a deep learning-based semantic segmentation model (PSPNet), validated against field observations. The Universal Thermal Climate Index (UTCI) was calculated to assess thermal stress. Results indicate that the leaf-off phase significantly increases SVF, shifting the radiative balance. Areas experiencing phenological changes exhibited a marked improvement in UTCI, effectively alleviating cold stress by maximizing solar gain. Advanced statistical models (ARIMAX and GAM) confirmed that, after controlling for background climatic variations, the positive effect of vegetation phenology on thermal comfort is statistically significant. These findings challenge the traditional focus on summer shading, highlighting the “winter-warming” potential of deciduous trees and providing quantitative evidence for climate-responsive urban design. Full article
(This article belongs to the Section Architectural Design, Urban Science, and Real Estate)
Show Figures

Figure 1

20 pages, 360 KB  
Review
Alterations in the Immune Response in Individuals with Latent Tuberculosis Infection
by Anna Starshinova, Adilya Sabirova, Igor Kudryavtsev, Artem Rubinstein, Arthur Aquino, Leonid P. Churilov, Ekaterina Belyaeva, Anastasia Kulpina, Raul A. Sharipov, Ravil K. Tukfatullin, Nikolay Nikolenko and Dmitry Kudlay
Pathogens 2026, 15(1), 14; https://doi.org/10.3390/pathogens15010014 - 22 Dec 2025
Viewed by 339
Abstract
Latent tuberculosis infection (LTBI) represents a biologically active yet clinically asymptomatic stage of Mycobacterium tuberculosis (Mtb) persistence. This condition is characterized by subtle immunometabolic alterations reflecting the host–pathogen equilibrium. Understanding the mechanisms and biomarkers associated with the preclinical phase of LTBI is crucial [...] Read more.
Latent tuberculosis infection (LTBI) represents a biologically active yet clinically asymptomatic stage of Mycobacterium tuberculosis (Mtb) persistence. This condition is characterized by subtle immunometabolic alterations reflecting the host–pathogen equilibrium. Understanding the mechanisms and biomarkers associated with the preclinical phase of LTBI is crucial for preventing progression to active tuberculosis (ATB). Recent advances have identified multiple immunological, transcriptomic, metabolic, and imaging-based approaches that enable stratification of individuals at increased risk of LTBI reactivation. Quantitative assays such as IGRA, multiplex and T-cell activation marker (TAM) tests, as well as interferon-related transcriptional signatures, demonstrate predictive potential when combined with functional assays (MGIA) and metabolic imaging (PET/CT). Experimental primate models faithfully reproduce the spectrum from latency to reactivation, allowing for validation of biomarkers and vaccine or immunomodulatory strategies. The review also highlights the particular challenges of multidrug-resistant LTBI (MDR-LTBI), where standard chemoprophylaxis is less effective and immune control plays a decisive role. The preclinical phase of LTBI constitutes a key point in the TB control cascade. Integrating immunological, transcriptomic, and radiological data into risk-based screening algorithms could substantially improve early detection and targeted prevention. Translating research-derived signatures into clinically applicable, standardized, and cost-effective diagnostic tools requires coordinated international efforts, technological transfer, and policy-level support to reduce TB reactivation and transmission, including MDR-TB. Full article
(This article belongs to the Special Issue Innate Immune Response and Pathogen Dynamics)
17 pages, 4664 KB  
Article
Using Patient-Based Computational Fluid Dynamics for Abdominal Aortic Aneurysm Assessment
by Natthaporn Kaewchoothong, Sorracha Rookkapan, Chayut Nuntadusit and Surapong Chatpun
Bioengineering 2025, 12(12), 1380; https://doi.org/10.3390/bioengineering12121380 - 18 Dec 2025
Viewed by 407
Abstract
Abdominal aortic aneurysm (AAA) is a dangerous disease and can cause sudden death if it ruptures. This study investigated blood flow behaviors and hemodynamic changes in three categories (small, medium and large diameters) of AAAs using computational fluid dynamics (CFD) based on patient [...] Read more.
Abdominal aortic aneurysm (AAA) is a dangerous disease and can cause sudden death if it ruptures. This study investigated blood flow behaviors and hemodynamic changes in three categories (small, medium and large diameters) of AAAs using computational fluid dynamics (CFD) based on patient geometry. Computed tomography images of patients with abdominal aortic aneurysms were used to construct a patient-specific AAA model. This study included one healthy subject and seven patients who had AAAs with a diameter larger than 3 cm. The results showed that the aortic aneurysms were highly turbulent in the diastolic phase, and there was an increase in turbulence as the aneurysm size increased. The time-averaged wall shear stress (TAWSS) in the artery was high at peak systole and decreased during diastole. The oscillating shear index (OSI) was higher at the middle and distal aortic aneurysm sac than in other areas. Low TAWSS and a high OSI in the aneurysm region may indicate a risk of wall rupture in AAA. This study suggests that CFD provides further insights by visualizing blood flow behaviors and quantitatively analyzing hemodynamic parameters. Full article
(This article belongs to the Special Issue Cardiovascular Models and Biomechanics)
Show Figures

Figure 1

14 pages, 596 KB  
Protocol
Medical Physics Adaptive Radiotherapy (MPART) Fellowship: Bridging the Training Gap in Online Adaptive Radiotherapy
by Bin Cai, David Parsons, Mu-Han Lin, Dan Nguyen, Andrew R. Godley, Arnold Pompos, Kajal Desai, Shahed Badiyan, David Sher, Robert Timmerman and Steve Jiang
Healthcare 2025, 13(24), 3315; https://doi.org/10.3390/healthcare13243315 - 18 Dec 2025
Viewed by 237
Abstract
Online adaptive radiotherapy (ART) is rapidly transforming clinical radiation oncology by enabling adaptation of treatment plans based on patient-specific anatomical and biological changes. However, most medical physics training programs lack structured education in ART. To address this critical gap, the Medical Physics Adaptive [...] Read more.
Online adaptive radiotherapy (ART) is rapidly transforming clinical radiation oncology by enabling adaptation of treatment plans based on patient-specific anatomical and biological changes. However, most medical physics training programs lack structured education in ART. To address this critical gap, the Medical Physics Adaptive Radiotherapy (MPART) Fellowship was established at our center to train post-residency or practicing physicists in advanced adaptive technologies and workflows. The MPART Fellowship is a two-year program that provides immersive, platform-specific training in CBCT-guided (Varian Ethos), MR-guided (Elekta Unity), and PET-guided (RefleXion X1) radiotherapy. Fellows undergo modular clinical rotations, hands-on training, and dedicated research projects. The curriculum incorporates competencies in imaging, contouring, online planning, quality assurance, and team-based decision-making. Evaluation is based on the Accreditation Council for Graduate Medical Education competency domains and includes milestone tracking, mentor reviews, and structured presentations. The fellowship attracted applicants from both domestic and international institutions, reflecting strong demand for formal ART training. Out of 22 applications, two fellows have been successfully recruited into the program since 2024. Fellows actively participate in all phases of adaptive workflows and are expected to function at near-attending levels by the second year of their training. Each fellow also leads at least one translational or operational research project aimed at improving ART delivery. Fellows contribute to clinical coverage and lead developmental projects, resulting in presentations and publications at the national and international levels. The MPART Fellowship addresses a vital educational need by equipping medical physicists with the advanced competencies necessary for implementing and leading ART. This program offers a replicable framework for other institutions seeking to advance precision radiation therapy through structured post-residency training in adaptive radiotherapy. As this fellowship program is still in its early phase of establishment, the primary goal of this paper is to introduce the structure, framework, and implementation model of the program. Comprehensive outcome analyses—such as quantitative assessments, fellow feedback, and longitudinal competency evaluations—will be incorporated in future work as additional cohorts complete training. Full article
(This article belongs to the Section Healthcare Quality, Patient Safety, and Self-care Management)
Show Figures

Figure 1

Back to TopTop