Changes in the Expression of Proteins Associated with Neurodegeneration in the Brains of Mice after Infection with Influenza A Virus with Wild Type and Truncated NS1
Abstract
1. Introduction
2. Results
2.1. Impact of Adaptation on Replication of NS1 Deletion Mutant
2.2. Transcriptome Analysis of the Gene Expression in the Lungs Infected with Non-Adapted and Adapted Viruses
2.3. Truncation of NS1 Resulted in Promotion of Expression of Genes Involved in Cell Proliferation
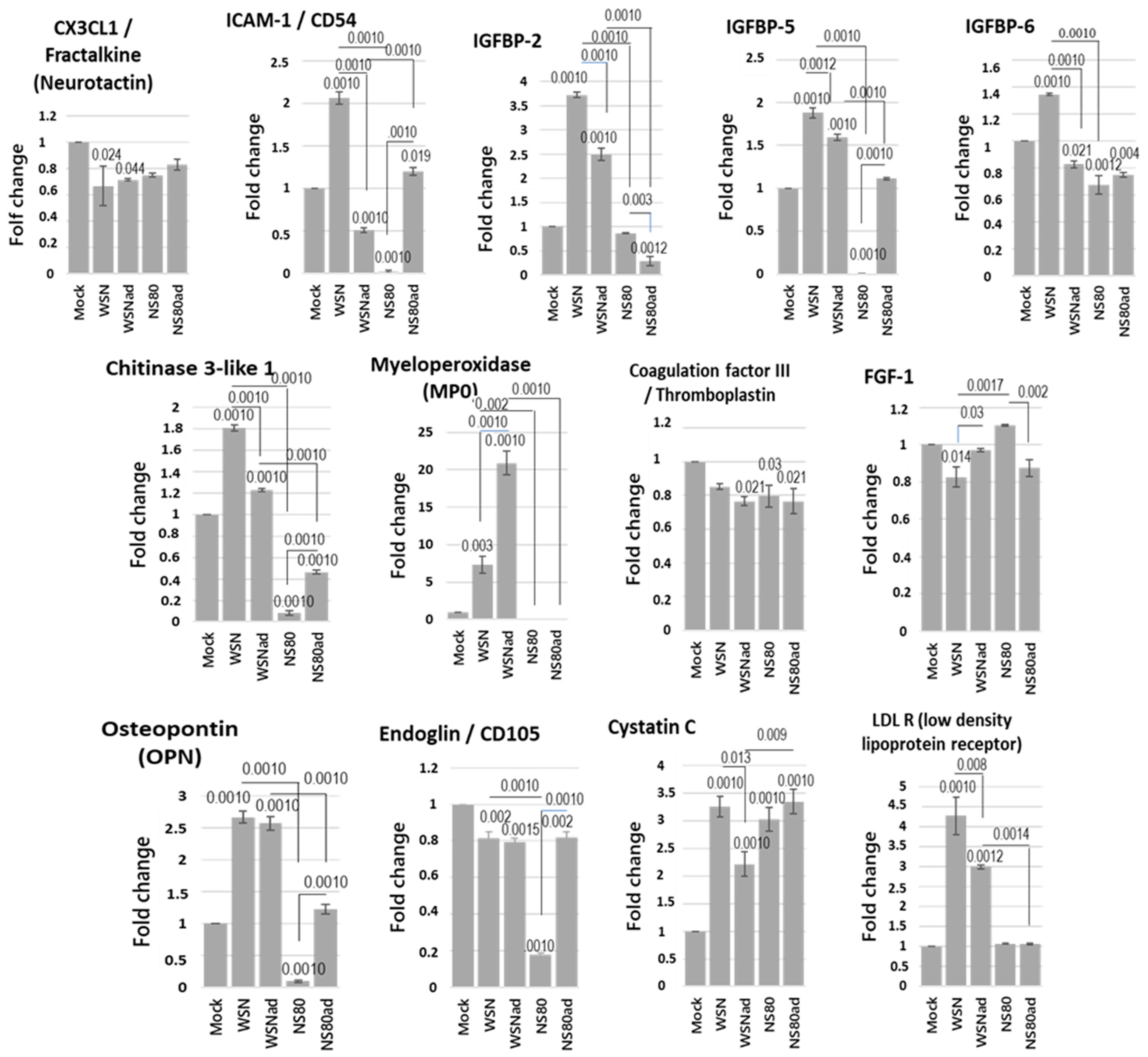
2.4. Influenza Viruses Deregulated Genes Involved in the Development of Neurodegenerative Diseases
2.5. Adaptation of Influenza Viruses with Truncated NS1 Protein Resulted in Induced Expression of Genes Involved in Neuroinflammatory Response in Lungs
2.6. Adaptation of NS80 Virus Increased Pathogenicity of the Virus
2.7. Activation of Genes Involved in RIG-I like Receptor Signaling Pathway Was Not Affected by NS1 Protein
2.8. Transcription of GATA3 mRNA Was Downregulated in the Brains Infected with NS1 Truncated Viruses
2.9. The NS1 Protein Might Regulate Expression of Myeloperoxidase (MPO) Protein in the Brain
3. Discussion
4. Materials and Methods
4.1. Cells and Viruses
4.2. Adaptation of WSN and NS80 Viruses in Mice
4.3. Mouse Experiments
4.4. Histological Analysis
4.5. Viral Growth Kinetics and Determination of the Virus Titer
4.6. Semi-Quantitative Reverse Transcription-Polymerase Chain Reaction (RT-PCR)
4.7. Western Blot
4.8. RNA Sequencing and Gene Expression Analysis
4.9. Identification of Somatic Mutations
4.10. Cytokine Array
4.11. Gene Set Enrichment Analysis (GSEA)
4.12. Statistical Analysis
5. Conclusions
Supplementary Materials
Author Contributions
Funding
Institutional Review Board Statement
Informed Consent Statement
Data Availability Statement
Acknowledgments
Conflicts of Interest
References
- Fislová, T.; Gocník, M.; Sládková, T.; Durmanová, V.; Rajcáni, J.; Varecková, E.; Mucha, V.; Kostolanský, F. Multiorgan distribution of human influenza A virus strains observed in a mouse model. Arch. Virol. 2009, 154, 409–419. [Google Scholar] [CrossRef]
- Atluri, V.S.; Hidalgo, M.; Samikkannu, T.; Kurapati, K.R.; Nair, M. Synaptic Plasticity and Neurological Disorders in Neurotropic Viral Infections. Neural Plast. 2015, 2015, 138979. [Google Scholar] [CrossRef] [PubMed]
- Hosseini, S.; Wilk, E.; Michaelsen-Preusse, K.; Gerhauser, I.; Baumgärtner, W.; Geffers, R.; Schughart, K.; Korte, M. Long-Term Neuroinflammation Induced by Influenza A Virus Infection and the Impact on Hippocampal Neuron Morphology and Function. J. Neurosci. 2018, 38, 3060–3080. [Google Scholar] [CrossRef] [PubMed]
- Barbosa-Silva, M.C.; Santos, L.E.; Rangel, B.J. The Impact of Non-Neurotropic Influenza Strains on the Brain: A Role for Microglial Priming? J. Neurosci. 2018, 38, 7758–7760. [Google Scholar] [CrossRef] [PubMed]
- Kristensson, K. Avian influenza and the brain--comments on the occasion of resurrection of the Spanish flu virus. Brain Res. Bull. 2006, 68, 406–413. [Google Scholar] [CrossRef] [PubMed]
- Jang, H.; Boltz, D.; McClaren, J.; Pani, A.K.; Smeyne, M.; Korff, A.; Webster, R.; Smeyne, R.J. Inflammatory effects of highly pathogenic H5N1 influenza virus infection in the CNS of mice. J. Neurosci. 2012, 32, 1545–1559. [Google Scholar] [CrossRef] [PubMed]
- Koyuncu, O.O.; Hogue, I.B.; Enquist, L.W. Virus infections in the nervous system. Cell Host Microbe 2013, 13, 379–393. [Google Scholar] [CrossRef] [PubMed]
- Wiley, C.A.; Bhardwaj, N.; Ross, T.M.; Bissel, S.J. Emerging Infections of CNS: Avian Influenza A Virus, Rift Valley Fever Virus and Human Parechovirus. Brain Pathol. 2015, 25, 634–650. [Google Scholar] [CrossRef] [PubMed]
- Britton, P.N.; Blyth, C.C.; Macartney, K.; Dale, R.C.; Li-Kim-Moy, J.; Khandaker, G.; Crawford, N.W.; Marshall, H.; Clark, J.E.; Elliott, E.J.; et al. The Spectrum and Burden of Influenza-Associated Neurological Disease in Children: Combined Encephalitis and Influenza Sentinel Site Surveillance From Australia, 2013–2015. Clin. Infect. Dis. 2017, 65, 653–660. [Google Scholar] [CrossRef]
- Ludlow, M.; Kortekaas, J.; Herden, C.; Hoffmann, B.; Tappe, D.; Trebst, C.; Griffin, D.E.; Brindle, H.E.; Solomon, T.; Brown, A.S.; et al. Neurotropic virus infections as the cause of immediate and delayed neuropathology. Acta Neuropathol. 2016, 131, 159–184. [Google Scholar] [CrossRef]
- Smeyne, R.J.; Noyce, A.J.; Byrne, M.; Savica, R.; Marras, C. Infection and Risk of Parkinson’s Disease. J. Park. Dis. 2021, 11, 31–43. [Google Scholar] [CrossRef]
- Tong, Y.; Shen, J. Genetic analysis of Parkinson’s disease-linked leucine-rich repeat kinase 2. Biochem. Soc. Trans. 2012, 40, 1042–1046. [Google Scholar] [CrossRef] [PubMed]
- Kiarash, R.; Galic, M.A.; Kentner, A.C.; Reid, A.Y.; Sharkey, K.A.; Pittman, Q.J. Microglia-dependent alteration of glutamatergic synaptic transmission and plasticity in the hippocampus during peripheral inflammation. J. Neurosci. 2015, 35, 4942–4952. [Google Scholar]
- Wendeln, A.C.; Degenhardt, K.; Kaurani, L.; Gertig, M.; Ulas, T.; Jain, G.; Wagner, J.; Häsler, L.M.; Wild, K.; Skodras, A.; et al. Innate immune memory in the brain shapes neurological disease hallmarks. Nature 2018, 556, 332–338. [Google Scholar] [CrossRef]
- Trapp, S.; Soubieux, D.; Lidove, A.; Esnault, E.; Lion, A.; Guillory, V.; Wacquiez, A.; Kut, E.; Quéré, P.; Larcher, T.; et al. Major contribution of the RNA-binding domain of NS1 in the pathogenicity and replication potential of an avian H7N1 influenza virus in chickens. Virol. J. 2018, 15, 55. [Google Scholar] [CrossRef]
- Nacken, W.; Schreiber, A.; Masemann, D.; Ludwig, S. The Effector Domain of the Influenza A Virus Nonstructural Protein NS1 Triggers Host Shutoff by Mediating Inhibition and Global Deregulation of Host Transcription When Associated with Specific Structures in the Nucleus. mBio 2021, 12, e02196-21. [Google Scholar] [CrossRef]
- Talon, J.; Horvath, C.M.; Polley, R.; Basler, C.F.; Muster, T.; Palese, P.; García-Sastre, A. Activation of interferon regulatory factor 3 is inhibited by the influenza A virus NS1 protein. J. Virol. 2000, 74, 7989–7996. [Google Scholar] [CrossRef]
- Nogales, A.; Martinez-Sobrido, L.; Topham, D.J.; DeDiego, M.L. Modulation of Innate Immune Responses by the Influenza A NS1 and PA-X Proteins. Viruses 2018, 10, 708. [Google Scholar] [CrossRef] [PubMed]
- Turianová, L.; Lachová, V.; Beňová, K.; Kostrábová, A.; Betáková, T. Influenza A virus lacking the effector and C terminal domains of NS1 protein induces cytokines associated with high pathogenicity in mice. Acta Virol. 2020, 64, 78–87. [Google Scholar] [CrossRef] [PubMed]
- Jackson, D.; Hossain, M.J.; Hickman, D.; Perez, D.R.; Lamb, R.A. A new influenza virus virulence determinant: The NS1 protein four C-terminal residues modulate pathogenicity. Proc. Natl. Acad. Sci. USA 2008, 105, 4381–4386. [Google Scholar] [CrossRef]
- Anastasina, M.; Schepens, B.; Söderholm, S.; Nyman, T.A.; Matikainen, S.; Saksela, K.; Saelens, X.; Kainov, D.E. The C terminus of NS1 protein of influenza A/WSN/1933(H1N1) virus modulates antiviral responses in infected human macrophages and mice. J. Gen. Virol. 2015, 96, 2086–2091. [Google Scholar] [CrossRef]
- Long, J.X.; Peng, D.X.; Liu, Y.L.; Wu, Y.T.; Liu, X.F. Virulence of H5N1 avian influenza virus enhanced by a 15-nucleotide deletion in the viral nonstructural gene. Virus Genes 2008, 36, 471–478. [Google Scholar] [CrossRef] [PubMed]
- Hancková, M.; Miháliková, L.; Pastoreková, S.; Betáková, T. Hypoxia alters the immune response in mouse peritoneal macrophages infected with influenza a virus with truncated NS1 protein. Cytokine 2023, 164, 156138. [Google Scholar] [CrossRef] [PubMed]
- Turianová, L.; Lachová, V.; Svetlíkova, D.; Kostrábová, A.; Betáková, T. Comparison of cytokine profiles induced by nonlethal and lethal doses of influenza A virus in mice. Exp. Ther. Med. 2019, 18, 4397–4405. [Google Scholar] [CrossRef]
- Castrucci, M.R.; Kawaoka, Y. Biologic importance of neuraminidase stalk length in influenza A virus. J. Virol. 1993, 67, 759–764. [Google Scholar] [CrossRef] [PubMed]
- Raut, S.; Hurd, J.; Blandford, G.; Heath, R.B.; Cureton, R.J. The pathogenesis of infections of the mouse caused by virulent and avirulent variants of an influenza virus. J. Med. Microbiol. 1975, 8, 127–136. [Google Scholar] [CrossRef]
- Baz, M.; M’hamdi, Z.; Carbonneau, J.; Lavigne, S.; Couture, C.; Abed, Y.; Boivin, G. Synergistic PA and HA mutations confer mouse adaptation of a contemporary A/H3N2 influenza virus. Sci. Rep. 2019, 9, 16616. [Google Scholar] [CrossRef]
- Jiang, W.; Wang, Q.; Chen, S.; Gao, S.; Song, L.; Liu, P.; Huang, W. Influenza A Virus NS1 Induces G0/G1 Cell Cycle Arrest by Inhibiting the Expression and Activity of RhoA Protein. J. Virol. 2013, 87, 3039–3052. [Google Scholar] [CrossRef]
- Ilyushina, N.A.; Ducatez, M.F.; Rehg, J.E.; Marathe, B.M.; Marjuki, H.; Bovin, N.V.; Webster, R.G.; Webby, R.J. Does pandemic A/H1N1 virus have the potential to become more pathogenic? mBio 2010, 16, e00249-10. [Google Scholar] [CrossRef]
- Acharya, R.; Carnevale, V.; Fiorin, G.; Levine, B.G.; Polishchuk, A.L.; Balannik, V.; Samish, I.; Lamb, R.A.; Pinto, L.H.; DeGrado, W.F.; et al. Structure and mechanism of proton transport through the transmembrane tetrameric M2 protein bundle of the influenza A virus. Proc. Natl. Acad. Sci. USA 2010, 107, 15075–15080. [Google Scholar] [CrossRef]
- Khan, M.A. Inflammation signals airway smooth muscle cell proliferation in asthma pathogenesis. Multidiscip. Respir. Med. 2013, 8, 1–5. [Google Scholar] [CrossRef] [PubMed]
- Gao, R.; Dong, L.; Dong, J.; Wen, L.; Zhang, Y.; Yu, H.; Feng, Z.; Minmei, C.; Tan, Y.; Mo, Z.; et al. A systematic molecular pathology study of a laboratory confirmed H5N1 human case. PLoS ONE 2010, 5, e13315. [Google Scholar] [CrossRef] [PubMed]
- Cárdenas, G.; Soto-Hernández, J.L.; Díaz-Alba, A.; Ugalde, Y.; Mérida-Puga, J.; Rosetti, M.; Sciutto, E. Neurological events related to influenza A (H1N1) pdm09. Influenza Other Respir. Viruses 2014, 8, 339–346. [Google Scholar] [CrossRef] [PubMed]
- Sellers, S.A.; Hagan, R.S.; Hayden, F.G.; Fischer, W.A. The hidden burden of influenza: A review of the extra-pulmonary complications of influenza infection. Influenza Other Respir. Viruses 2017, 11, 372–393. [Google Scholar] [CrossRef] [PubMed]
- Hosseini, S.; Michaelsen-Preusse, K.; Schughart, K.; Korte, M. Long-Term Consequence of Non-neurotropic H3N2 Influenza A Virus Infection for the Progression of Alzheimer’s Disease Symptoms. Front. Cell. Neurosci. 2021, 15, 643650. [Google Scholar] [CrossRef]
- Bruno, F.; Abondio, P.; Bruno, R.; Ceraudo, L.; Paparazzo, E.; Citrigno, L.; Luiselli, D.; Bruni, A.C.; Passarino, G.; Colao, R.; et al. Alzheimer’s disease as a viral disease: Revisiting the infectious hypothesis. Ageing Res. Rev. 2023, 91, 102068. [Google Scholar] [CrossRef] [PubMed]
- Chida, J.; Hara, H.; Yano, M.; Uchiyama, K.; Das, N.R.; Takahashi, E.; Miyata, H.; Tomioka, Y.; Ito, T.; Kido, H.; et al. Prion protein protects mice from lethal infection with influenza A viruses. PLoS Pathog. 2018, 14, e1007049. [Google Scholar] [CrossRef]
- Sakaguchi, S.; Hara, H. The first non-prion pathogen identified: Neurotropic influenza virus. Prion 2022, 16, 1–6. [Google Scholar] [CrossRef]
- Barakat, G.M.; Assi, G.; El Khoury, N.B. Mental Health: Pandemics, Epidemics and Tau Protein. Clin. Pract. Epidemiol. Ment. Health 2023, 19, e174501792305020. [Google Scholar] [CrossRef]
- Beňová, K.; Hancková, M.; Koči, K.; Kúdelová, M.; Betáková, T. T cells and their function in the immune response to viruses. Acta Virol. 2020, 64, 131–143. [Google Scholar] [CrossRef]
- Yunna, C.; Mengru, H.; Lei, W.; Weidong, C. Macrophage M1/M2 polarization. Eur. J. Pharmacol. 2020, 877, 173090. [Google Scholar] [CrossRef]
- Maddaluno, L.; Urwyler, C.; Werner, S. Fibroblast growth factors: Key players in regeneration and tissue repair. Development 2017, 144, 4047–4060. [Google Scholar] [CrossRef]
- Gu, L.; Zhou, Y.; Wang, G.; Deng, H.; Song, X.; He, X.; Wang, T.; Chen, X.; Dai, J.; Li, R. Spatial learning and memory impaired after infection of non-neurotropic influenza virus in BALB/c male mice. Biochem. Biophys. Res. Commun. 2021, 540, 29–36. [Google Scholar] [CrossRef]
- Corcelli, M.; Hawkins, K.; Vlahova, F.; Hunjan, A.; Dowding, K.; De Coppi, P.; David, A.L.; Peebles, D.; Gressens, P.; Hagberg, H.; et al. Neuroprotection of the hypoxic-ischemic mouse brain by human CD117+CD90+CD105+ amniotic fluid stem cells. Sci. Rep. 2018, 8, 2425. [Google Scholar] [CrossRef]
- Golanov, E.V.; Bovshik, E.I.; Wong, K.K.; Pautler, R.G.; Foster, C.H.; Federley, R.G.; Zhang, J.Y.; Mancuso, J.; Wong, S.T.; Britz, G.W. Subarachnoid hemorrhage—Induced block of cerebrospinal fluid flow: Role of brain coagulation factor III (tissue factor). J. Cereb. Blood Flow Metab. 2018, 38, 793–808. [Google Scholar] [CrossRef]
- Shi, J.; Zhang, C.; Cao, Y.; Qu, X.; Liu, H.; You, S. Prognostic value of cystatin c in acute ischemic stroke patients with intravenous thrombolysis. Curr. Neurovasc. Res. 2019, 16, 301–309. [Google Scholar] [CrossRef]
- Bhowmick, S.; Malat, A.; Caruso, D.; Ponery, N.; D’Mello, V.; Finn, C.; Abdul-Muneer, P.M. Intercellular Adhesion Molecule-1-Induced Posttraumatic Brain Injury Neuropathology in the Prefrontal Cortex and Hippocampus Leads to Sensorimotor Function Deficits and Psychological Stress. eNeuro 2021, 8, ENEURO.0242-21.2021. [Google Scholar] [CrossRef] [PubMed]
- McGrath, E.R.; Himali, J.J.; Levy, D.; Conner, S.C.; DeCarli, C.S.; Pase, M.P.; Courchesne, P.; Satizabal, C.L.; Vasan, R.S.; Beiser, A.S.; et al. Circulating IGFBP-2: A novel biomarker for incident dementia. Ann. Clin. Transl. Neurol. 2019, 6, 1659–1670. [Google Scholar] [CrossRef]
- Rauskolb, S.; Andreska, T.; Fries, S.; von Collenberg, C.R.; Blum, R.; Monoranu, C.M.; Villmann, C.; Sendtner, M. Insulin-like growth factor 5 associates with human Aß plaques and promotes cognitive impairment. Acta Neuropathol. Commun. 2022, 10, 68. [Google Scholar] [CrossRef] [PubMed]
- Liso, A.; Castellani, S.; Massenzio, F.; Trotta, R.; Pucciarini, A.; Bigerna, B.; De Luca, P.; Zoppoli, P.; Castiglione, F.; Palumbo, M.C.; et al. Human monocyte-derived dendritic cells exposed to hyperthermia show a distinct gene expression profile and selective upregulation of IGFBP6. Oncotarget 2017, 8, 60826–60840. [Google Scholar] [CrossRef] [PubMed]
- Chumakov, A.M.; Chumakova, E.A.; Chih, D.; Koeffler, H.P. Molecular analysis of the human myeloperoxidase promoter region. Int. J. Oncol. 2000, 16, 401–411. [Google Scholar] [CrossRef]
- Gellhaar, S.; Sunnemark, D.; Eriksson, H.; Olson, L.; Galter, D. Myeloperoxidase-immunoreactive cells are significantly increased in brain areas affected by neurodegeneration in Parkinson’s and Alzheimer’s disease. Cell Tissue Res. 2017, 369, 445–454. [Google Scholar] [CrossRef]
- Rajizadeh, M.; Hosseini, M.H.; Bahrami, M.; Hosseini, N.S.; Rostamabadi, F.; Bagheri, F.; Khoramipour, K.; Najafipour, H.; Bejeshk, M.A. Comparison of preventive and therapeutic effects of continuous exercise on acute lung injury induced with methotrexate. Exp. Physiol. 2023, 108, 1215–1227. [Google Scholar] [CrossRef]
- Volkman, R.; Ben-Zur, T.; Kahana, A.; Garty, B.Z.; Offen, D. Myeloperoxidase deficiency inhibits cognitive decline in the 5XFAD mouse model of Alzheimer’s disease. Front. Neurosci. 2019, 13, 990. [Google Scholar] [CrossRef]
- Forghani, R.; Wojtkiewicz, G.R.; Zhang, Y.; Seeburg, D.; Bautz, B.R.; Pulli, B.; Milewski, A.R.; Atkinson, W.L.; Iwamoto, Y.; Zhang, E.R.; et al. Demyelinating diseases: Myeloperoxidase as an imaging biomarker and therapeutic target. Radiology 2012, 263, 451–460. [Google Scholar] [CrossRef]
- Zhang, H.; Ng, K.P.; Therriault, J.; Kang, M.S.; Pascoal, P.A.; Rosa-Neto, P.; Gauthier, S. Cerebrospinal fluid phosphorylated tau, visinin-like protein-1, and chitinase-3-like protein 1 in mild cognitive impairment and Alzheimer’s disease. Transl. Neurodegener. 2018, 7, 23. [Google Scholar] [CrossRef]
- Qiu, Y.; Shen, X.; Ravid, O.; Atrakchi, D.; Rand, D.; Wight, A.E.; Kim, H.J.; Liraz-Zaltsman, S.; Cooper, I.; Beeri, M.S.; et al. Definition of the contribution of an Osteopontin-producing CD11c+ microglial subset to Alzheimer’s disease. Proc. Natl. Acad. Sci. USA 2023, 120, e2218915120. [Google Scholar] [CrossRef]
- Zhang, S.; Sun, Y.; Chen, H.; Dai, Y.; Zhan, Y.; Yu, S.; Qiu, X.; Tan, L.; Song, C.; Ding, C. Activation of the PKR/elF2α signaling cascade inhibits replication of Newcastle disease virus. Virol. J. 2014, 11, 62. [Google Scholar] [CrossRef]
- Švančarová, P.; Svetlíková, D.; Betáková, T. Synergic and antagonistic effect of small hairpin RNAs targeting the NS gene of the influenza A virus in cells and mice. Virus Res. 2015, 195, 100–111. [Google Scholar] [CrossRef]
- Zhu, B.; Dong, J.; Gao, X.; He, Y.; Sun, H. Antiasthmatic Effects of Sanglong Pingchuan Decoction through Inducing a Balanced Th1/Th2 Immune Response. Evid. Based Complement. Alternat. Med. 2018, 2018, 2629565. [Google Scholar] [CrossRef]
- Wu, T.; Hu, E.; Xu, S.; Chen, M.; Guo, P.; Dai, Z.; Feng, T.; Zhou, L.; Tang, W.; Zhan, L.; et al. clusterProfiler 4.0: A universal enrichment tool for interpreting omics data. Innovation 2021, 2, 100141. [Google Scholar] [CrossRef] [PubMed]
- Liao, Y.; Wang, J.; Jaehnig, E.J.; Shi, Z.; Zhang, B. WebGestalt 2019: Gene set analysis toolkit with revamped UIs and APIs. Nucleic Acids Res. 2019, 47, W199–W205. [Google Scholar] [CrossRef]
- de Hoon, M.J.L.; Imoto, S.; Nolan, J.; Miyanom, S. Open source clustering software. Bioinformatics 2004, 20, 1453–1454. [Google Scholar] [CrossRef]
- Saldanha, A.J. Java Treeview—Extensible visualization of microarray data. Bioinformatics 2004, 20, 3246–3248. [Google Scholar] [CrossRef]
- The Galaxy Community. The Galaxy platform for accessible, reproducible and collaborative biomedical analyses: 2022 update. Nucleic Acids Res. 2022, 50, W345–W351. [Google Scholar] [CrossRef] [PubMed]
- Robinson, J.T.; Thorvaldsdóttir, H.; Winckler, W.; Guttman, M.; Lander, E.S.; Getz, G.; Mesirov, J.P. Integrative Genomics Viewer. Nat. Biotechnol. 2011, 29, 24–26. [Google Scholar] [CrossRef] [PubMed]








Disclaimer/Publisher’s Note: The statements, opinions and data contained in all publications are solely those of the individual author(s) and contributor(s) and not of MDPI and/or the editor(s). MDPI and/or the editor(s) disclaim responsibility for any injury to people or property resulting from any ideas, methods, instructions or products referred to in the content. |
© 2024 by the authors. Licensee MDPI, Basel, Switzerland. This article is an open access article distributed under the terms and conditions of the Creative Commons Attribution (CC BY) license (https://creativecommons.org/licenses/by/4.0/).
Share and Cite
Donátová, K.; Mladá, M.; Lopušná, K.; Baran, F.; Betáková, T. Changes in the Expression of Proteins Associated with Neurodegeneration in the Brains of Mice after Infection with Influenza A Virus with Wild Type and Truncated NS1. Int. J. Mol. Sci. 2024, 25, 2460. https://doi.org/10.3390/ijms25052460
Donátová K, Mladá M, Lopušná K, Baran F, Betáková T. Changes in the Expression of Proteins Associated with Neurodegeneration in the Brains of Mice after Infection with Influenza A Virus with Wild Type and Truncated NS1. International Journal of Molecular Sciences. 2024; 25(5):2460. https://doi.org/10.3390/ijms25052460
Chicago/Turabian StyleDonátová, Karin, Miriam Mladá, Katarína Lopušná, Filip Baran, and Tatiana Betáková. 2024. "Changes in the Expression of Proteins Associated with Neurodegeneration in the Brains of Mice after Infection with Influenza A Virus with Wild Type and Truncated NS1" International Journal of Molecular Sciences 25, no. 5: 2460. https://doi.org/10.3390/ijms25052460
APA StyleDonátová, K., Mladá, M., Lopušná, K., Baran, F., & Betáková, T. (2024). Changes in the Expression of Proteins Associated with Neurodegeneration in the Brains of Mice after Infection with Influenza A Virus with Wild Type and Truncated NS1. International Journal of Molecular Sciences, 25(5), 2460. https://doi.org/10.3390/ijms25052460
