Role of Adipose Tissue Hormones in Pathogenesis of Cryptoglandular Anal Fistula
Abstract
1. Introduction
2. Results
2.1. Tissue Adipokines
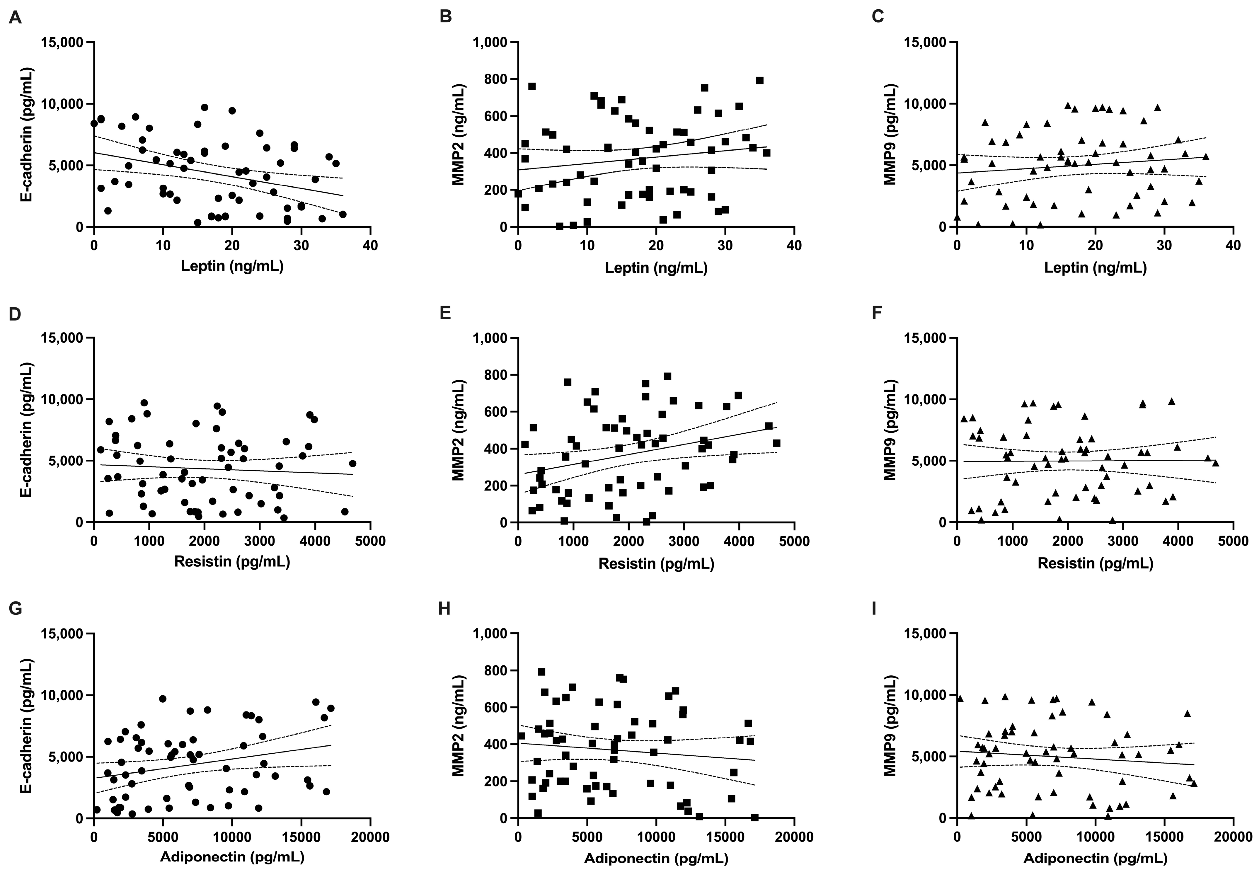
2.2. Integrity of ECM and EMT
3. Discussion
4. Materials and Methods
4.1. Patients
4.2. Exclusion Criteria
4.3. Complexity of Perianal Fistulas
4.4. Collection of Tissue Samples
4.5. Assessment of Tissue Adipokines and the Integrity of the ECM and EMT
4.6. Statistical Analysis
4.7. Study Limitations
5. Conclusions
Author Contributions
Funding
Institutional Review Board Statement
Informed Consent Statement
Data Availability Statement
Conflicts of Interest
References
- Włodarczyk, M.; Włodarczyk, J.; Sobolewska-Włodarczyk, A.; Trzciński, R.; Dziki, Ł.; Fichna, J. Current Concepts in the Pathogenesis of Cryptoglandular Perianal Fistula. J. Int. Med. Res. 2021, 49, 0300060520986669. [Google Scholar] [CrossRef] [PubMed]
- Göttgens, K.W.A.; Smeets, R.R.; Stassen, L.P.S.; Beets, G.; Breukink, S.O. Systematic Review and Meta-Analysis of Surgical Interventions for High Cryptoglandular Perianal Fistula. Int. J. Color. Dis. 2015, 30, 583–593. [Google Scholar] [CrossRef] [PubMed]
- Garg, P. Is Fistulotomy Still the Gold Standard in Present Era and Is It Highly Underutilized? An Audit of 675 Operated Cases. Int. J. Surg. 2018, 56, 26–30. [Google Scholar] [CrossRef] [PubMed]
- Emile, S.H. Recurrent Anal Fistulas: When, Why, and How to Manage? World J. Clin. Cases 2020, 8, 1586. [Google Scholar] [CrossRef] [PubMed]
- Zhou, Z.; Ouboter, L.F.; Peeters, K.C.M.J.; Hawinkels, L.J.A.C.; Holman, F.; Pascutti, M.F.; Barnhoorn, M.C.; van der Meulen-de Jong, A.E. Crohn’s Disease-Associated and Cryptoglandular Fistulas: Differences and Similarities. J. Clin. Med. 2023, 12, 466. [Google Scholar] [CrossRef] [PubMed]
- Paeschke, A.; Erben, U.; Kredel, L.I.; Kühl, A.A.; Siegmund, B. Role of Visceral Fat in Colonic Inflammation: From Crohn’s Disease to Diverticulitis. Curr. Opin. Gastroenterol. 2017, 33, 53–58. [Google Scholar] [CrossRef]
- Ding, Z.; Wu, X.R.; Remer, E.M.; Lian, L.; Stocchi, L.; Li, Y.; Mccullough, A.; Remzi, F.H.; Shen, B. Association between High Visceral Fat Area and Postoperative Complications in Patients with Crohn’s Disease Following Primary Surgery. Color. Dis. 2016, 18, 163–172. [Google Scholar] [CrossRef]
- Sugrue, J.; Nordenstam, J.; Abcarian, H.; Bartholomew, A.; Schwartz, J.L.; Mellgren, A.; Tozer, P.J. Pathogenesis and Persistence of Cryptoglandular Anal Fistula: A Systematic Review. Tech. Coloproctol. 2017, 21, 425–432. [Google Scholar] [CrossRef]
- Litta, F.; Papait, A.; Lucchetti, D.; Farigu, S.; Parello, A.; Tenore, C.R.; Campennì, P.; Silini, A.R.; Giustiniani, M.C.; Parolini, O.; et al. The Pathogenesis of Cryptoglandular Anal Fistula: New Insight into the Immunological Profile. Color. Dis. 2022, 24, 1567–1575. [Google Scholar] [CrossRef]
- Perrotta, F.; Scialò, F.; Mallardo, M.; Signoriello, G.; D’Agnano, V.; Bianco, A.; Daniele, A.; Nigro, E. Adiponectin, Leptin, and Resistin Are Dysregulated in Patients Infected by SARS-CoV-2. Int. J. Mol. Sci. 2023, 24, 1131. [Google Scholar] [CrossRef]
- Mitalas, L.E.; Van Onkelen, R.S.; Monkhorst, K.; Zimmerman, D.D.; Gosselink, M.P.; Schouten, W.R. Identification of Epithelialization in High Transsphincteric Fistulas. Tech. Coloproctol. 2012, 16, 113–117. [Google Scholar] [CrossRef] [PubMed]
- Botaille, F.; Rohrmeier, C.; Bates, R.; Weber, A.; Reider, F.; Brenmoehl, J.; Strauch, U.; Farkas, S.; Fǔrst, A.; Hofstäáter, F.; et al. Evidence for a Role of Epithelial Mesenchymal Transition during Pathogenesis of Fistulae in Crohn’s Disease. Inflamm. Bowel Dis. 2008, 14, 1514–1527. [Google Scholar] [CrossRef] [PubMed]
- Lamouille, S.; Xu, J.; Derynck, R. Molecular Mechanisms of Epithelial–Mesenchymal Transition. Nat. Rev. Mol. Cell Biol. 2014, 15, 178. [Google Scholar] [CrossRef]
- Garg, P.; Yagnik, V.D.; Dawka, S.; Kaur, B.; Menon, G.R. A Novel MRI and Clinical-Based Scoring System to Assess Post-Surgery Healing and to Predict Long-Term Healing in Cryptoglandular Anal Fistulas. Clin. Exp. Gastroenterol. 2022, 15, 27–40. [Google Scholar] [CrossRef] [PubMed]
- Scharl, M.; Rogler, G.; Biedermann, L. Fistulizing Crohn’s Disease. Clin. Transl. Gastroenterol. 2017, 8, e106. [Google Scholar] [CrossRef] [PubMed]
- Osman, N.H.; Jailani, R.F.; Abd Rahman, H.; Hamid, N.A. Gene and Protein Expression of Epithelial to Mesenchymal Transition for Intestinal and Anal Fistula: A Systematic Review. Ann. Coloproctol. 2023, 39, 106. [Google Scholar] [CrossRef] [PubMed]
- Jiang, H.; Shen, J.; Ran, Z. Epithelial–Mesenchymal Transition in Crohn’s Disease. Mucosal Immunol. 2017, 11, 294–303. [Google Scholar] [CrossRef] [PubMed]
- Baugh, M.D.; Perry, M.J.; Hollander, A.P.; Davies, D.R.; Cross, S.S.; Lobo, A.J.; Taylor, C.J.; Evans, G.S. Matrix Metalloproteinase Levels Are Elevated in Inflammatory Bowel Disease. Gastroenterology 1999, 117, 814–822. [Google Scholar] [CrossRef]
- Von Lampe, B.; Barthel, B.; Riecken, E.O.; Coupland, S.E.; Rosewicz, S. Differential Expression of Matrix Metalloproteinases and Their Tissue Inhibitors in Colon Mucosa of Patients with Inflammatory Bowel Disease. Gut 2000, 47, 63–73. [Google Scholar] [CrossRef]
- Stallmach, A.; Chan, C.C.; Ecker, K.W.; Feifel, G.; Herbst, H.; Schuppan, D.; Zeitz, M. Comparable Expression of Matrix Metalloproteinases 1 and 2 in Pouchitis and Ulcerative Colitis. Gut 2000, 47, 415–422. [Google Scholar] [CrossRef]
- Derkacz, A.; Olczyk, P.; Olczyk, K.; Komosinska-Vassev, K. The Role of Extracellular Matrix Components in Inflammatory Bowel Diseases. J. Clin. Med. 2021, 10, 1122. [Google Scholar] [CrossRef] [PubMed]
- Heimesaat, M.M.; Dunay, I.R.; Fuchs, D.; Trautmann, D.; Fischer, A.; Kühl, A.A.; Loddenkemper, C.; Siegmund, B.; Batra, A.; Bereswill, S.; et al. The Distinct Roles of MMP-2 and MMP-9 in Acute DSS. Eur. J. Microbiol. Immunol. 2011, 1, 302. [Google Scholar] [CrossRef] [PubMed]
- O’Shea, N.R.; Smith, A.M. Matrix Metalloproteases Role in Bowel Inflammation and Inflammatory Bowel Disease: An Up to Date Review. Inflamm. Bowel Dis. 2014, 20, 2379–2393. [Google Scholar] [CrossRef] [PubMed]
- Meijer, M.J.W.; Mieremet-Ooms, M.A.C.; van der Zon, A.M.; van Duijn, W.; van Hogezand, R.A.; Sier, C.F.M.; Hommes, D.W.; Lamers, C.B.H.W.; Verspaget, H.W. Increased Mucosal Matrix Metalloproteinase-1, -2, -3 and -9 Activity in Patients with Inflammatory Bowel Disease and the Relation with Crohn’s Disease Phenotype. Dig. Liver Dis. 2007, 39, 733–739. [Google Scholar] [CrossRef] [PubMed]
- Kirkegaard, T.; Hansen, A.; Bruun, E.; Brynskov, J. Expression and Localisation of Matrix Metalloproteinases and Their Natural Inhibitors in Fistulae of Patients with Crohn’s Disease. Gut 2004, 53, 701–709. [Google Scholar] [CrossRef] [PubMed]
- Moore, B.A.; Manthey, C.L.; Johnson, D.L.; Bauer, A.J. Matrix Metalloproteinase-9 Inhibition Reduces Inflammation and Improves Motility in Murine Models of Postoperative Ileus. Gastroenterology 2011, 141, 1283–1292. [Google Scholar] [CrossRef]
- Castaneda, F.E.; Walia, B.; Vijay-Kumar, M.; Patel, N.R.; Roser, S.; Kolachala, V.L.; Rojas, M.; Wang, L.; Oprea, G.; Garg, P.; et al. Targeted Deletion of Metalloproteinase 9 Attenuates Experimental Colitis in Mice: Central Role of Epithelial-Derived MMP. Gastroenterology 2005, 129, 1991–2008. [Google Scholar] [CrossRef]
- Heljasvaara, R.; Nyberg, P.; Luostarinen, J.; Parikka, M.; Heikkilä, P.; Rehn, M.; Sorsa, T.; Salo, T.; Pihlajaniemi, T. Generation of Biologically Active Endostatin Fragments from Human Collagen XVIII by Distinct Matrix Metalloproteases. Exp. Cell Res. 2005, 307, 292–304. [Google Scholar] [CrossRef]
- Zhang, H.J.; Zhang, Y.N.; Zhou, H.; Guan, L.; Li, Y.; Sun, M.J. IL-17A Promotes Initiation and Development of Intestinal Fibrosis Through EMT. Dig. Dis. Sci. 2018, 63, 2898–2909. [Google Scholar] [CrossRef]
- Ratto, C.; Litta, F.; Lucchetti, D.; Parello, A.; Boninsegna, A.; Arena, V.; Donisi, L.; Calapà, F.; Sgambato, A. Immunopathological Characterization of Cryptoglandular Anal Fistula: A Pilot Study Investigating Its Pathogenesis. Color. Dis. 2016, 18, O436–O444. [Google Scholar] [CrossRef]
- Chen, Y.; Xiao, Y.; Ge, W.; Zhou, K.; Wen, J.; Yan, W.; Wang, Y.; Wang, B.; Qu, C.; Wu, J.; et al. MiR-200b Inhibits TGF-Β1-Induced Epithelial-Mesenchymal Transition and Promotes Growth of Intestinal Epithelial Cells. Cell Death Dis. 2013, 4, e541. [Google Scholar] [CrossRef] [PubMed]
- Huber, M.A.; Beug, H.; Wirth, T. Epithelial-Mesenchymal Transition: NF-KappaB Takes Center Stage. Cell Cycle 2004, 3, 1477–1480. [Google Scholar] [CrossRef]
- Amirhosseini, M.; Madsen, R.V.; Escott, K.J.; Bostrom, M.P.; Ross, F.P.; Fahlgren, A. GSK-3β Inhibition Suppresses Instability-Induced Osteolysis by a Dual Action on Osteoblast and Osteoclast Differentiation. J. Cell. Physiol. 2018, 233, 2398–2408. [Google Scholar] [CrossRef] [PubMed]
- Bradford, E.M.; Ryu, S.H.; Singh, A.P.; Lee, G.; Goretsky, T.; Sinh, P.; Williams, D.B.; Cloud, A.L.; Gounaris, E.; Patel, V.; et al. Epithelial TNF Receptor Signaling Promotes Mucosal Repair in Inflammatory Bowel Disease. J. Immunol. 2017, 199, 1886–1897. [Google Scholar] [CrossRef] [PubMed]
- Tian, X.; Liu, Z.; Niu, B.; Zhang, J.; Tan, T.K.; Lee, S.R.; Zhao, Y.; Harris, D.C.H.; Zheng, G. E-Cadherin/β-Catenin Complex and the Epithelial Barrier. J. Biomed. Biotechnol. 2011, 2011, 567305. [Google Scholar] [CrossRef] [PubMed]
- Masszi, A.; Fan, L.; Rosivall, L.; McCulloch, C.A.; Rotstein, O.D.; Mucsi, I.; Kapus, A. Integrity of Cell-Cell Contacts Is a Critical Regulator of TGF-Beta 1-Induced Epithelial-to-Myofibroblast Transition: Role for Beta-Catenin. Am. J. Pathol. 2004, 165, 1955–1967. [Google Scholar] [CrossRef] [PubMed]
- Wen, X.; Zhang, B.; Wu, B.; Xiao, H.; Li, Z.; Li, R.; Xu, X.; Li, T. Signaling Pathways in Obesity: Mechanisms and Therapeutic Interventions. Signal Transduct. Target. Ther. 2022, 7, 298. [Google Scholar] [CrossRef]
- La Cava, A. Leptin in Inflammation and Autoimmunity. Cytokine 2017, 98, 51. [Google Scholar] [CrossRef]
- Matarese, G.; La Cava, A.; Sanna, V.; Lord, G.M.; Lechler, R.I.; Fontana, S.; Zappacosta, S. Balancing Susceptibility to Infection and Autoimmunity: A Role for Leptin? Trends Immunol. 2002, 23, 182–187. [Google Scholar] [CrossRef]
- La Cava, A. Proinflammatory Activities of Leptin in Non-Autoimmune Conditions. Inflamm. Allergy Drug Targets 2012, 11, 298–302. [Google Scholar] [CrossRef]
- Sitaraman, S.; Liu, X.; Charrier, L.; Gu, L.H.; Ziegler, T.R.; Gewirtz, A.; Merlin, D. Colonic Leptin: Source of a Novel Proinflammatory Cytokine Involved in IBD. FASEB J. 2004, 18, 696–698. [Google Scholar] [CrossRef]
- Kreuter, R.; Wankell, M.; Ahlenstiel, G.; Hebbard, L. The Role of Obesity in Inflammatory Bowel Disease. Biochim. Biophys. Acta Mol. Basis Dis. 2019, 1865, 63–72. [Google Scholar] [CrossRef]
- Holcomb, I.N.; Kabakoff, R.C.; Chan, B.; Baker, T.W.; Gurney, A.; Henzel, W.; Nelson, C.; Lowman, H.B.; Wright, B.D.; Skelton, N.J.; et al. FIZZ1, a Novel Cysteine-Rich Secreted Protein Associated with Pulmonary Inflammation, Defines a New Gene Family. EMBO J. 2000, 19, 4046–4055. [Google Scholar] [CrossRef]
- Steppan, C.M.; Brown, E.J.; Wright, C.M.; Bhat, S.; Banerjee, R.R.; Dai, C.Y.; Enders, G.H.; Silberg, D.G.; Wen, X.; Wu, G.D.; et al. A Family of Tissue-Specific Resistin-like Molecules. Proc. Natl. Acad. Sci. USA 2001, 98, 502–506. [Google Scholar] [CrossRef]
- Codoñer-Franch, P.; Alonso-Iglesias, E. Resistin: Insulin Resistance to Malignancy. Clin. Chim. Acta 2015, 438, 46–54. [Google Scholar] [CrossRef]
- Acquarone, E.; Monacelli, F.; Borghi, R.; Nencioni, A.; Odetti, P. Resistin: A Reappraisal. Mech. Ageing Dev. 2019, 178, 46–63. [Google Scholar] [CrossRef]
- Filková, M.; Haluzík, M.; Gay, S.; Šenolt, L. The Role of Resistin as a Regulator of Inflammation: Implications for Various Human Pathologies. Clin. Immunol. 2009, 133, 157–170. [Google Scholar] [CrossRef]
- Tarkowski, A.; Bjersing, J.; Shestakov, A.; Bokarewa, M.I. Resistin Competes with Lipopolysaccharide for Binding to Toll-like Receptor 4. J. Cell. Mol. Med. 2010, 14, 1419–1431. [Google Scholar] [CrossRef]
- Valentini, L.; Wirth, E.K.; Schweizer, U.; Hengstermann, S.; Schaper, L.; Koernicke, T.; Dietz, E.; Norman, K.; Buning, C.; Winklhofer-Roob, B.M.; et al. Circulating Adipokines and the Protective Effects of Hyperinsulinemia in Inflammatory Bowel Disease. Nutrition 2009, 25, 172–181. [Google Scholar] [CrossRef]
- Ohashi, K.; Shibata, R.; Murohara, T.; Ouchi, N. Role of Anti-Inflammatory Adipokines in Obesity-Related Diseases. Trends Endocrinol. Metab. 2014, 25, 348–355. [Google Scholar] [CrossRef]
- Antoniades, C.; Antonopoulos, A.S.; Tousoulis, D.; Stefanadis, C. Adiponectin: From Obesity to Cardiovascular Disease. Obes. Rev. 2009, 10, 269–279. [Google Scholar] [CrossRef] [PubMed]
- Combs, T.P.; Marliss, E.B. Adiponectin Signaling in the Liver. Rev. Endocr. Metab. Disord. 2014, 15, 137. [Google Scholar] [CrossRef]
- Sabio, G.; Davis, R.J. TNF and MAP Kinase Signalling Pathways. Semin. Immunol. 2014, 26, 237–245. [Google Scholar] [CrossRef] [PubMed]
- Rim, E.Y.; Clevers, H.; Nusse, R. The Wnt Pathway: From Signaling Mechanisms to Synthetic Modulators. Annu. Rev. Biochem. 2022, 91, 571–598. [Google Scholar] [CrossRef] [PubMed]
- Nakamura, K.; Sano, S.; Fuster, J.J.; Kikuchi, R.; Shimizu, I.; Ohshima, K.; Katanasaka, Y.; Ouchi, N.; Walsh, K. Secreted Frizzled-Related Protein 5 Diminishes Cardiac Inflammation and Protects the Heart from Ischemia/Reperfusion Injury. J. Biol. Chem. 2016, 291, 2566–2575. [Google Scholar] [CrossRef] [PubMed]
- Kwon, Y.J.; Lee, S.W.; Park, Y.B.; Lee, S.K.; Park, M.C. Secreted Frizzled-Related Protein 5 Suppresses Inflammatory Response in Rheumatoid Arthritis Fibroblast-like Synoviocytes through down-Regulation of c-Jun N-Terminal Kinase. Rheumatology 2014, 53, 1704–1711. [Google Scholar] [CrossRef] [PubMed]
- Ghosh, S.; Iacucci, M. Role of Immunosuppressives in Special Situations: Perianal Disease and Postoperative Period. Dig. Dis. 2014, 32 (Suppl. 1), 92–95. [Google Scholar] [CrossRef] [PubMed]
- Akiba, R.T.; Rodrigues, F.G.; Da Silva, G. Management of Complex Perineal Fistula Disease. Clin. Colon Rectal Surg. 2016, 29, 92–100. [Google Scholar] [CrossRef]
- Van Onkelen, R.S.; Gosselink, M.P.; van Meurs, M.; Melief, M.J.; Schouten, W.R.; Laman, J.D. Pro-Inflammatory Cytokines in Cryptoglandular Anal Fistulas. Tech. Coloproctol. 2016, 20, 619–625. [Google Scholar] [CrossRef]
- Whiteford, M.H.; Kilkenny, J.; Hyman, N.; Buie, W.D.; Cohen, J.; Orsay, C.; Dunn, G.; Perry, W.B.; Ellis, C.N.; Rakinic, J.; et al. Practice Parameters for the Treatment of Perianal Abscess and Fistula-in-Ano (Revised). Dis. Colon Rectum 2005, 48, 1337–1342. [Google Scholar] [CrossRef]



| Sex | Male | N = 31 |
| Female | N = 29 | |
| Age | 43.04 ± 12.5 | |
| Fistula grade according to SPTF | Simple | N = 30 |
| Complex | N = 30 | |
| BMI | Simple | 29.02 ± 2.85 |
| Complex | 30.43 ± 3.71 | |
| Weight [kg] | Simple | 74.14 ± 12.5 |
| Complex | 78.93 ± 14.2 | |
Disclaimer/Publisher’s Note: The statements, opinions and data contained in all publications are solely those of the individual author(s) and contributor(s) and not of MDPI and/or the editor(s). MDPI and/or the editor(s) disclaim responsibility for any injury to people or property resulting from any ideas, methods, instructions or products referred to in the content. |
© 2024 by the authors. Licensee MDPI, Basel, Switzerland. This article is an open access article distributed under the terms and conditions of the Creative Commons Attribution (CC BY) license (https://creativecommons.org/licenses/by/4.0/).
Share and Cite
Włodarczyk, M.; Włodarczyk, J.; Maryńczak, K.; Waśniewska-Włodarczyk, A.; Doboszewska, U.; Wlaź, P.; Dziki, Ł.; Fichna, J. Role of Adipose Tissue Hormones in Pathogenesis of Cryptoglandular Anal Fistula. Int. J. Mol. Sci. 2024, 25, 1501. https://doi.org/10.3390/ijms25031501
Włodarczyk M, Włodarczyk J, Maryńczak K, Waśniewska-Włodarczyk A, Doboszewska U, Wlaź P, Dziki Ł, Fichna J. Role of Adipose Tissue Hormones in Pathogenesis of Cryptoglandular Anal Fistula. International Journal of Molecular Sciences. 2024; 25(3):1501. https://doi.org/10.3390/ijms25031501
Chicago/Turabian StyleWłodarczyk, Marcin, Jakub Włodarczyk, Kasper Maryńczak, Anna Waśniewska-Włodarczyk, Urszula Doboszewska, Piotr Wlaź, Łukasz Dziki, and Jakub Fichna. 2024. "Role of Adipose Tissue Hormones in Pathogenesis of Cryptoglandular Anal Fistula" International Journal of Molecular Sciences 25, no. 3: 1501. https://doi.org/10.3390/ijms25031501
APA StyleWłodarczyk, M., Włodarczyk, J., Maryńczak, K., Waśniewska-Włodarczyk, A., Doboszewska, U., Wlaź, P., Dziki, Ł., & Fichna, J. (2024). Role of Adipose Tissue Hormones in Pathogenesis of Cryptoglandular Anal Fistula. International Journal of Molecular Sciences, 25(3), 1501. https://doi.org/10.3390/ijms25031501

