Investigation of Host–Guest Interactions in 2-Ureido-4-ferrocenylpyrimidine Derivatives
Abstract
1. Introduction
2. Results and Discussion
2.1. Synthesis
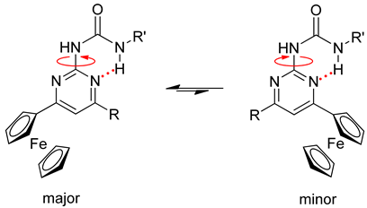
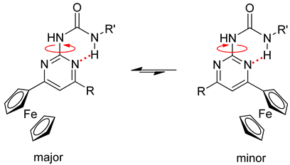
2.2. NMR Studies: Structure of Ureidopyrimidine Hosts
2.3. Complexation Studies: NMR Titration
2.4. Electrochemical Measurements in Solution
2.5. Immobilization of Host Molecules
2.6. Electrochemical Measurements with Immobilized Hosts
2.7. Computational Studies
3. Materials and Methods
3.1. General Comments
3.2. Electrochemistry
3.3. Lineshape Fitting
3.4. Determination of Equilibrium Constants
3.5. Computational Details
3.6. Synthesis and Characterization of Synthesized Compounds
3.6.1. Ferrocenyl-Propenones 5a–c
- (E)-1-(5-Methylfuran-2-yl)-3-ferrocenylprop-2-en-1-one (5a) Yield: 43% (137.6 mg); Rf = 0.42 (toluene/EtOAc 8:1); m.p. 142–146 °C; 1H NMR (400 MHz, CDCl3, 25 °C, TMS, ppm): δ = 7.77 (d, 3JH,H = 15.5 Hz, 1H; Fc–CH=CH–C=O), 7.20–7.18 (m, 1H; Fur–H3), 6.97 (d, 3JH,H = 15.5 Hz, 1H; Fc–CH=CH–C=O), 6.20–6.18 (m, 1H; Fur–H4), 4.59 (t, 3JH,H = 1.9 Hz, 2H; Cp), 4.47 (t, 3JH,H = 1.9 Hz, 2H; Cp), 4.17 (s, 5H; Cp), 2.44–2.42 (m, 3H; CH3); 13C{1H} NMR (101 MHz, CDCl3, 25 °C, TMS, ppm): δ = 177.0, 157.7, 152.8, 145.2, 118.9, 118.5, 109.3, 79.4, 71.4, 69.9, 69.1, 14.4; IR (ATR, cm−1): ṽ = 1654 (s) (C=O), 1600 (s) (C=C); ESI–MS m/z (%): 343 (100) [M + Na]+, 320 (20) [M]+; HRMS (ESI) m/z calcd for C18H16O2Fe+Na+: 343.0397 [M + Na]+; found: 343.0384.
- (E)-1-(Pyridin-2-yl)-3-ferrocenylprop-2-en-1-one (5b) Yield: 67% (212.5 mg); Rf = 0.54 (hexane/EtOAc 4:1); m.p. 156–160 °C; 1H NMR (400 MHz, CDCl3, 25 °C, TMS, ppm): δ = 8.76–8.71 (m, 1H; Py–H6), 8.21–8.16 (m, 1H; Py–H3), 7.91 (d, 3JH,H = 15.8 Hz, 1H; Fc–CH=CH–C=O, overlapped), 7.88–7.83 (m, 1H; Py–H4, overlapped), 7.84 (d, 3JH,H = 15.8 Hz, 1H; Fc–CH=CH–C=O, overlapped), 7.43–7.50 (m, 1H; Py–H5), 4.68 (t, 3JH,H=1.9 Hz, 2H; Cp), 4.50 (t, 3JH,H = 1.9 Hz, 2H; Cp), 4.18 (s, 5H; Cp); 13C{1H} NMR (101 MHz, CDCl3, 25 °C, TMS, ppm): δ = 188.6, 154.9, 148.9, 147.3, 137.1, 126.7, 123.0, 118.0, 79.6, 71.6, 70.0, 69.6; IR (ATR, cm−1): ṽ = 1661 (m) (C=O), 1591 (m) (C=C); ESI–MS m/z (%): 318 (100) [M + H]+, 340 (98) [M + Na]+; HRMS (ESI) m/z calcd for C18H15NOFe+Na+: 340.0401 [M + Na]+; found: 340.0405.
- (E)-1-(Pyridin-4-yl)-3-ferrocenylprop-2-en-1-one (5c) Yield: 65% (206.2 mg); Rf = 0.16 (CHCl3/EtOAc 8:1); m.p. 145–150 °C; 1H NMR (400 MHz, CDCl3, 25 °C, TMS, ppm): δ = 8.89–8.74 (m, 2H; Py–H2,6), 7.79 (d, 3JH,H = 15.4 Hz, 1H; Fc–CH=CH–C=O), 7.76–7.69 (m, 2H; Py–H3,5), 7.01 (d, 3JH,H = 15.4 Hz, 1H; Fc–CH=CH–C=O), 4.61 (t, 3JH,H = 1.9 Hz, 2H; Cp), 4.55 (t, 3JH,H = 1.9 Hz, 2H; Cp), 4.19 (s, 5H; Cp); 13C{1H} NMR (101 MHz, CDCl3, 25 °C, TMS, ppm): δ = 189.0, 150.8, 149.5, 145.1, 121.6, 118.2, 78.7, 72.2, 70.1, 69.5; IR (ATR, cm−1): ṽ = 1655 (s) (C=O), 1578 (s) (C=C); ESI–MS m/z (%): 318 (100) [M + H]+; HRMS (ESI) m/z calcd for C18H16NOFe+: 318.0581 [M + H]+; found: 318.0583.
3.6.2. 2-Amino-6-ferrocenylpyrimidines 6a–c
- 2-Amino-4-ferrocenyl-6-(5-methylfuran-2-yl)-pyrimidine (6a) Yield: 48% (431.0 mg); Rf = 0.43 (toluene/EtOAc 1:1); m.p. decomposed at 200 °C; 1H NMR (400 MHz, CDCl3, 25 °C, TMS, ppm): δ = 7.07–7.04 (m, 1H; Fur–H3), 7.01 (s, 1H; Pyr–H), 6.18–6.15 (m, 1H; Fur–H4), 5.09 (bs, 2H; NH2), 4.97 (t, 3JH,H = 1.9 Hz, 2H; Cp), 4.45 (t, 3JH,H = 1.9 Hz, 2H; Cp), 4.11 (s, 5H; Cp), 2.45 (bs, 3H; CH3); 13C{1H} NMR (101 MHz, CDCl3, 25 °C, TMS, ppm): δ = 169.3, 163.2, 155.8, 155.0, 150.9, 112.6, 108.8, 101.5, 81.2, 70.8, 70.1, 68.1, 14.2; IR (ATR, cm−1): ṽ = 3306 (b) (NH2), 3169 (b) (NH2), 1568 (s) (Pyr); ESI–MS m/z (%): 360 (100) [M + H]+; HRMS (ESI) m/z calcd for C19H18N3OFe+: 360.0799 [M + H]+; found: 360.0795.
- 2-Amino-4-ferrocenyl-6-(pyridin-2-yl)-pyrimidine (6b) Yield: 35% (311.7 mg); Rf = 0.24 (EtOAc); m.p. 166–168 °C; 1H NMR (400 MHz, CDCl3, 25 °C, TMS, ppm): δ = 8.76–8.71 (m, 1H; Py–H6), 8.39–8.34 (m, 1H; Py–H3), 7.86–7.81 (m, 1H; Py–H4), 7.75 (s, 1H; Pyr–H), 7.41–7.35 (m, 1H; Py–H5), 5.11 (bs, 2H; NH2), 5.05 (t, 3JH,H = 1.9 Hz, 2H; Cp), 4.47 (t, 3JH,H = 1.9 Hz, 2H; Cp), 4.11 (s, 5H; Cp); 13C{1H} NMR (101 MHz, CDCl3, 25 °C, TMS, ppm): δ = 170.4, 163.3, 163.2, 155.1, 149.5, 137.1, 124.9, 121.7, 104.4, 81.3, 70.9, 70.1, 68.3; IR (ATR, cm−1): ṽ = 3323 (b) (NH2), 3190 (b) (NH2), 1560 (s) (Pyr); ESI–MS m/z (%): 357 (100) [M + H]+; HRMS (ESI) m/z calcd for C19H17N4Fe+: 357.0803 [M + H]+; found: 357.0799.
- 2-Amino-4-ferrocenyl-6-(pyridin-4-yl)-pyrimidine (6c) Yield: 49% (436.4 mg); Rf = 0.44 (EtOAc); m.p. decomposed at 210 °C; 1H NMR (400 MHz, CDCl3, 25 °C, TMS, ppm): δ = 8.70–8.84 (m, 2H; Py–H3,5), 7.93–7.85 (m, 2H; Py–H2,5), 7.13 (s, 1H; Pyr–H), 5.23 (bs, 2H; NH2), 4.98 (t, 3JH,H = 1.9 Hz, 2H; Cp), 4.49 (t, 3JH,H = 1.9 Hz, 2H; Cp), 4.10 (s, 5H; Cp); 13C{1H} NMR (101 MHz, CDCl3, 25 °C, TMS, ppm): δ=170.7, 163.6, 162.2, 150.6, 145.4, 121.2, 104.2, 80.8, 71.2, 70.2, 68.2; IR (ATR, cm−1): ṽ = 3321 (b) (NH2), 3094 (b) (NH2), 1557 (s) (Pyr); ESI–MS m/z (%): 357 (100) [M + H]+; HRMS (ESI) m/z calcd for C19H17N4Fe+: 357.0803 [M + H]+; found: 357.0805.
3.6.3. 2-Ureido-4-ferrocenylpyrimidines 9a–c, 10
- 1-(4-Ferrocenyl-6-(5-methylfuran-2-yl)-pyrimidin-2-yl)-3-triethoxysilylpropylurea (9a) Yield: 30% (182.0 mg); Rf = 0.33 (CHCl3/EtOAc 4:1); m.p. decomposed at 217 °C; 1H NMR (400 MHz, CDCl3, 25 °C, TMS, ppm): δ = 9.41–9.33 (m, 1H; Si–CH2CH2CH2–NH), 7.22 (bs, 1H; CH2NH–CO–NH); 7.14 (s, 1H; Pyr–H) 7.08–7.04 (m, 1H; Fur–H3), 6.21–6.16 (m, 1H; Fur–H4), 4.94 (t, 3JH,H = 1.8 Hz, 2H; Cp), 4.51 (t, 3JH,H = 1.8 Hz, 2H; Cp), 4.11 (s, 5H; Cp), 3.83 (quart, 3JH,H = 7.0 Hz, 6H; (CH3CH2O)3Si), 3.48–3.40 (m, 2H; Si–CH2CH2CH2–NH), 2.45 (bs, 3H; CH3), 1.87–1.77 (m, 2H; Si–CH2CH2CH2–NH), 1.23 (t, 3JH,H = 7.0 Hz, 9H; (CH3CH2O)3Si), 0.80–0.74 (m, 2H; Si–CH2CH2CH2–NH); 13C{1H} NMR (101 MHz, CDCl3, 25 °C, TMS, ppm): δ = 158.0, 155.8, 154.7, 150.2, 113.7, 109.1, 103.3, 80.2, 71.4, 70.3, 68.2, 58.6, 42.9, 23.9, 18.5, 14.2, 8.2; IR (ATR, cm−1): ṽ = 3233 (b) (NHCONH), 1684 (m) (NHCONH),1576 (s) (Pyr), 1508 (m) (CONH), 1078 (m) (Si–O–C), 789 (b) (Si–CH2); ESI–MS m/z (%): 607 (50) [M + H]+, 629 (100) [M + Na]+; HRMS (ESI) m/z calcd for C29H38N4O5SiFeNa+: 629.1859 [M + Na]+; found: 629.1863.
- 1-(4-Ferrocenyl-6-(pyridin-2-yl)-pyrimidin-2-yl)-3-triethoxysilylpropylurea (9b) Yield: 84% (253.5 mg); Rf = 0.65 (EtOAc); m.p. 67 °C; 1H NMR (400 MHz, CDCl3, 25 °C, TMS, ppm): δ = 9.43–9.32 (m, 1H; (Si–CH2CH2CH2–NH), 8.81–8.66 (m, 1H; Py–H6) 8.35–8.20 (m, 1H; Py–H3), 7.95 (s, 1H; Pyr–H), 7.90–7.82 (m, 1H; Py–H4), 7.47 (bs, 1H; CH2NH–CO–NH), 7.44–7.38 (m, 1H; Py–H5), 5.00 (t, 3JH,H = 1.9 Hz, 2H; Cp), 4.53 (t, 3JH,H = 1.9 Hz, 2H; Cp), 4.10 (s, 5H; Cp), 3.83 (quart, 3JH,H = 7.0 Hz, 6H; (CH3CH2O)3Si), 3.50–3.44 (m, 2H; Si–CH2CH2CH2–NH), 1.88–1.78 (m, 2H; Si–CH2CH2CH2–NH), 1.22 (t, 3JH,H = 7.0 Hz, 9H; (CH3CH2O)3Si), 0.81–0.74 (m, 2H; Si–CH2CH2CH2–NH); 13C{1H} NMR (101 MHz, CDCl3, 25 °C, TMS, ppm): δ = 158.07, 154.66, 153.97, 149.61, 137.28, 125.48, 121.76, 106.57, 80.07, 71.60, 70.30, 68.41, 58.57, 42.97, 23.91, 18.47, 8.24; IR (ATR, cm−1): ṽ = 3250 (b) (NHCONH), 1680 (m) (NHCONH), 1576 (s) (Pyr), 1530 (m) (CONH), 1080 (m) (Si–O–C), 789 (b) (Si–CH2); ESI–MS m/z (%): 604 (82) [M + H]+, 626 (100) [M + Na]+; HRMS (ESI) m/z calcd for C29H37N5O4SiFeNa+: 626.1862 [M + Na]+; found: 626.1863.
- 1-(4-Ferrocenyl-6-(pyridin-4-yl)-pyrimidin-2-yl)-3-triethoxysilylpropylurea (9c) Yield: 63% (190.1 mg); Rf = 0.15 (CHCl3/EtOAc 1:1); m.p. decomposed at 190 °C; 1H NMR (400 MHz, CDCl3, 25 °C, TMS, ppm): δ = 9.27–9.21 (m, 1H; (Si–CH2CH2CH2–NH), 8.85–8.79 (m, 2H; Py–H2,6), 7.88–7.84 (m, 2H, Py–H3,5), 7.36 (bs, 1H; CH2NH–CO–NH); 7.30 (s, 1H; Pyr–H), 4.96 (t, 3JH,H = 1.9 Hz, 2H; Cp), 4.59 (t, 3JH,H = 1.9 Hz, 2H; Cp), 4.13 (s, 5H; Cp), 3.84 (quart, 3JH,H = 7.0 Hz, 6H; (CH3CH2O)3Si), 3.50–3.43 (m, 2H; Si–CH2CH2CH2–NH), 1.88–1.78 (m, 2H; Si–CH2CH2CH2–NH), 1.23 (t, 3JH,H = 7.0 Hz, 9H; (CH3CH2O)3Si), 0.80–0.74 (m, 2H; Si–CH2CH2CH2–NH); 13C{1H} NMR (101 MHz, CDCl3, 25 °C, TMS, ppm): δ=13C NMR (101 MHz, CDCl3) δ 158.49, 154.38, 150.92, 144.26, 121.07, 106.46, 79.49, 71.95, 70.41, 68.35, 58.61, 42.97, 23.87, 18.49; IR (ATR, cm−1): ṽ = 3260 (b) (NHCONH), 1682 (m) (NHCONH), 1584 (s) (Pyr), 1522 (m) (CONH), 1077 (m) (Si–O–C), 752 (b) (Si–CH2); ESI–MS m/z (%): 604 (100) [M + H]+, 626 (55) [M + Na]+; HRMS (ESI) m/z calcd for C29H37N5O4SiFeNa+: 626.1862 [M + Na]+; found: 626.1873.
- 1-Cyclohexyl-3-(4-ferrocenyl-6-(pyridin-2-yl)-pyrimidin-2-ylurea (10) Yield: 97% (292.7 mg); Rf = 0.50 (EtOAc); m.p. 142–146 °C; 1H NMR (400 MHz, 300 mM in CDCl3, 25 °C, TMS, ppm): δ=9.40–9.13 (m, 1H; ((cHex)CH–NH)), 8.82–8.67 (m, 1H; Py–H6), 8.40–8.20 (m, 1H, Py–H3), 7.94 (s, 1H; Pyr–H), 7.91–7.80 (m, 1H; Py–H4), 7.46–7.40 (m, 1H; Py–H5, overlapped), 7.37 (bs, 1H; CH–NH–CO–NH, overlapped), 4.98 (t, 3JH,H = 1.9 Hz, 2H; Cp), 4.53 (t, 3JH,H = 1.9 Hz, 2H; Cp), 4.09 (s, 5H; Cp), 3.96–3.76 (m, 1H; NH–CO–NH–CH(cHex)), 2.24–2.13 (m, 2H; cHex), 1.90–1.79 (m, 2H; cHex), 1.73–1.65 (m, 1H; cHex), 1.54–1.23 (m, 5H; cHex); 13C{1H} NMR (101 MHz, CDCl3, 25 °C, TMS, ppm): δ = 158.1, 154.1, 153.9, 149.6, 137.2, 125.5, 121.8, 106.5, 80.2, 71.6, 70.3, 68.4, 49.2, 34.1, 25.9, 25.3; IR (ATR, cm−1): ṽ = 3254 (b) (NHCONH), 1678 (m) (NHCONH), 1572 (s) (Pyr), 1524 (m) (CONH); ESI–MS m/z (%): 482 (100) [M + H]+, 504 (38) [M + Na]+; HRMS (ESI) m/z calcd for C26H27N5OFeNa+: 504.1463 [M + Na]+; found: 504.1454.
3.7. Immobilization of Ureidopyrimidines 9a and 9b on Electrode Surface, Preparation of Modified Electrodes E9a and E9b
4. Conclusions
Supplementary Materials
Author Contributions
Funding
Data Availability Statement
Conflicts of Interest
References
- Fabbrizzi, L. The ferrocenium/ferrocene couple: A versatile redox switch. ChemTexts 2020, 6, 22. [Google Scholar] [CrossRef]
- Larik, F.A.; Saeed, A.; Fattah, T.A.; Muqadar, U.; Channar, P.A. Recent advances in the synthesis, biological activities and various applications of ferrocene derivatives. Appl. Organomet. Chem. 2017, 31, e3664. [Google Scholar] [CrossRef]
- Rauf, U.; Shabir, G.; Bukhari, S.; Albericio, F.; Saeed, A. Contemporary developments in ferrocene chemistry: Physical, chemical, biological and industrial aspects. Molecules 2023, 28, 5765. [Google Scholar] [CrossRef] [PubMed]
- Sariga; Varghese, A. The renaissance of ferrocene-based electrocatalysts: Properties, synthesis strategies, and applications. Top. Curr. Chem. 2023, 381, 32. [Google Scholar] [CrossRef]
- Wu, J.; Wang, L.; Yu, H.; Zain-ul-Abdin; Khan, R.U.; Haroon, M. Ferrocene-based redox-responsive polymer gels: Synthesis, structures and applications. J. Organomet. Chem. 2017, 828, 38–51. [Google Scholar] [CrossRef]
- Scottwell, S.Ø.; Crowley, J.D. Ferrocene-containing non-interlocked molecular machines. Chem. Comm. 2016, 52, 2451–2464. [Google Scholar] [CrossRef]
- Beitollahi, H.; Khalilzadeh, M.A.; Tajik, S.; Safaei, M.; Zhang, K.; Jang, H.W.; Shokouhimehr, M. Recent advances in applications of voltammetric sensors modified with ferrocene and its derivatives. ACS Omega 2020, 5, 2049–2059. [Google Scholar] [CrossRef]
- Sun, R.; Wang, L.; Yu, H.; Abdin, Z.; Chen, Y.; Huang, J.; Tong, R. Molecular recognition and sensing based on ferrocene derivatives and ferrocene-based polymers. Organometallics 2014, 33, 4560–4573. [Google Scholar] [CrossRef]
- Parkin, G.; Meyer, K.; O’Hare, D.; Holland, P.L.; Boros, E.; Daumann, L.J. Bio-organometallics, metallo-therapy, metallo-diagnostics, medicine and environmentral chemistry. In Comprehensive Organometallic Chemistry IV; Parkin, G., Meyer, K., O’hare, D., Eds.; Elsevier: Amsterdam, The Netherlands, 2023; Volume 15, pp. 418–462. [Google Scholar]
- Guchhait, C.; Suriyaa, V.; Sahu, N.; Sarkar, S.D.; Adhikari, B. Ferrocene: An exotic building block for supramolecular assemblies. Chem. Comm. 2023, 59, 14482–14496. [Google Scholar] [CrossRef]
- Pal, A.; Ranjan Bhatta, S.; Thakur, A. Recent advances in the development of ferrocene based electroactive small molecules for cation recognition: A comprehensive review of the years 2010–2020. Coord. Chem. Rev. 2021, 431, 213685. [Google Scholar] [CrossRef]
- Hein, R.; Beer, P.D.; Davis, J.J. Electrochemical anion sensing: Supramolecular approaches. Chem. Rev. 2020, 120, 1888–1935. [Google Scholar] [CrossRef]
- Karas, L.J.; Wu, C.; Das, R.; Wu, J.I. Hydrogen bond design principles. Wiley Interdiscip. Rev. Comput. Mol. Sci. 2020, 10, e1477. [Google Scholar] [CrossRef] [PubMed]
- Iadevaia, G.; Hunter, C.A. Recognition-encoded synthetic information molecules. Acc. Chem. Res. 2023, 56, 712–727. [Google Scholar] [CrossRef] [PubMed]
- Xie, Z.; Hu, B.-L.; Li, R.-W.; Zhang, Q. Hydrogen bonding in self-healing elastomers. ACS Omega 2021, 6, 9319–9333. [Google Scholar] [CrossRef] [PubMed]
- Zimmerman, S.C.; Corbin, P.S. Heteroaromatic modules for self-assembly using multiple hydrogen bonds. In Molecular Self-Assembly Organic Versus Inorganic Approaches. Structure and Bonding; Fuiita, M., Ed.; Springer: Berlin/Heidelberg, Germany, 2000; Volume 96, pp. 63–94. [Google Scholar] [CrossRef]
- Van Der Lubbe, S.C.C.; Zaccaria, F.; Sun, X.; Fonseca Guerra, C. Secondary electrostatic interaction model revised: Prediction comes mainly from measuring charge accumulation in hydrogen-bonded monomers. J. Am. Chem. Soc. 2019, 141, 4878–4885. [Google Scholar] [CrossRef]
- Beijer, F.H.; Sijbesma, R.P.; Kooijman, H.; Spek, A.L.; Meijer, E.W. Strong dimerization of ureidopyrimidones via quadruple hydrogen bonding. J. Am. Chem. Soc. 1998, 120, 6761–6769. [Google Scholar] [CrossRef]
- Keszei, S.J.; Váradi, M.; Skoda-Földes, R. Urea-functionalized heterocycles: Structure, hydrogen bonding and applications. Molecules 2023, 28, 7757. [Google Scholar] [CrossRef] [PubMed]
- Sun, H.; Steeb, J.; Kaifer, A.E. Efficient electronic communication between two identical ferrocene centers in a hydrogen-bonded dimer. J. Am. Chem. Soc. 2006, 128, 2820–2821. [Google Scholar] [CrossRef]
- Alexander, A.-M.; Bria, M.; Brunklaus, G.; Caldwell, S.; Cooke, G.; Garety, J.F.; Hewage, S.G.; Hocquel, Y.; McDonald, N.; Rabani, G.; et al. Probing the solvent-induced tautomerism of a redox-active ureidopyrimidinone. Chem. Comm. 2007, 43, 2246–2248. [Google Scholar] [CrossRef][Green Version]
- Wang, S.-M.; Zhao, R.-N.; Wang, Q.-G.; Guo, H.; Li, J.-H.; Zhang, W.-H. Ureidopyrimidinone quadruple hydrogen-bonded ferrocene dimer: Control of electronic communication. Acta. Phys. Sin. 2016, 32, 611–616. [Google Scholar] [CrossRef]
- Cedano, M.R.; Smith, D.K. Redox-responsive dimerization in a ferrocene-ureidopyrimidone supramolecular assembly. J. Org. Chem. 2018, 83, 11595–11603. [Google Scholar] [CrossRef] [PubMed]
- Fehér, C.; Papp, M.; Gömöry, Á.; Nagy, L.; Wouters, J.; Lendvay, G.; Skoda-Földes, R. Synthesis of 2-ureido-4-ferrocenyl pyrimidine guests. Investigation of complementary molecular recognition of 2,6-diaminopyridine. Organometallics 2016, 35, 4023–4032. [Google Scholar] [CrossRef]
- Keszei, S.J.; Pekker, P.; Fehér, C.; Balogh, S.; Jakab, M.; Nagy, L.; Skoda-Földes, R. Application of sol-gel methods to obtain silica materials decorated with ferrocenyl-ureidopyrimidine moieties. Preparation of hollow spheres and modification of a carbon electrode. Microporous Mesoporous Mater. 2020, 308, 110380. [Google Scholar] [CrossRef]
- Marvel, C.S.; Coleman, L.E.; Scott, G.P. Pyridine analogs of chalcone and their polymerization reactions. J. Org. Chem. 1955, 20, 1785–1792. [Google Scholar] [CrossRef]
- Han, J.L.; Yu, C.H.; Lin, Y.H.; Hsieh, K.H. Kinetic study of the urethane and urea reactions of isophorone diisocyanate. J. Appl. Polym. Sci. 2008, 107, 3891–3902. [Google Scholar] [CrossRef]
- Terhorst, J.P.; Jorgensen, W.L. E/z energetics for molecular modeling and design. J. Chem. Theory Comput. 2010, 6, 2762–2769. [Google Scholar] [CrossRef] [PubMed]
- Keszei, S.J.; Balogh, S.; Fehér, C.; Nagy, L.; Tumanov, N.; Wouters, J.; Lendvay, G.; Skoda-Földes, R. Molecular recognition of strong acids by using a 2-ureido-4-ferrocenyl pyrimidine receptor. Eur. J. Inorg. Chem. 2019, 2019, 4095–4104. [Google Scholar] [CrossRef]
- Brzeziński, B.; Zundel, G. Proton polarizability of intramolecular hydrogen bonds with molecules non-conjugated and conjugated between donor and acceptor groups. Chem. Phys. Lett. 1980, 75, 500–504. [Google Scholar] [CrossRef]
- Kroon, J.; Kroon-Batenburg, L.M.J.; Leeflang, B.R.; Vliegenthart, J.F.G. Intramolecular versus intermolecular hydrogen bonding in solution. J. Mol. Struct. 1994, 322, 27–31. [Google Scholar] [CrossRef]
- Lessene, G.; Smith, B.J.; Gable, R.W.; Baell, J.B. Characterization of the two fundamental conformations of benzoylureas and elucidation of the factors that facilitate their conformational interchange. J. Org. Chem. 2009, 74, 6511–6525. [Google Scholar] [CrossRef] [PubMed]
- Abraham, M.H.; Abraham, R.J.; Acree, W.E.; Aliev, A.E.; Leo, A.J.; Whaley, W.L. An NMR method for the quantitative assessment of intramolecular hydrogen bonding; application to physicochemical, environmental, and biochemical properties. J. Org. Chem. 2014, 79, 11075–11083. [Google Scholar] [CrossRef]
- Deng, D.S.; Li, H.R.; Liu, D.X.; Han, S.J. Simultaneous correlation of viscosity and 1H NMR chemical shift data for DMF-methanol system. Acta Phys.-Chim. Sin. 2002, 18, 657–660. [Google Scholar] [CrossRef]
- Andersen, N.H.; Neidigh, J.W.; Harris, S.M.; Lee, G.M.; Liu, Z.; Tong, H. Extracting information from the temperature gradients of polypeptide NH chemical shifts. 1. The importance of conformational averaging. J. Am. Chem. Soc. 1997, 119, 8547–8561. [Google Scholar] [CrossRef]
- Vysotsky, M.O.; Thondorf, I.; Böhmer, V. Self-assembled hydrogen-bonded dimeric capsules with high kinetic stability. Angew. Chem. Int. Ed. 2000, 39, 1264–1267. [Google Scholar] [CrossRef]
- Mogck, O.; Pons, M.; Böhmer, V.; Vogt, W. NMR studies of the reversible dimerization and guest exchange processes of tetra urea calix[4]arenes using a derivative with lower symmetry. J. Am. Chem. Soc. 1997, 119, 5706–5712. [Google Scholar] [CrossRef]
- Espinosa, E.; Molins, E.; Lecomte, C. Hydrogen bond strengths revealed by topological analyses of experimentally observed electron densities. Chem. Phys. Lett. 1998, 285, 170–173. [Google Scholar] [CrossRef]
- Neese, F. The ORCA program system. Wiley Interdiscip. Rev. Comput. Mol. Sci. 2012, 2, 73–78. [Google Scholar] [CrossRef]
- Neese, F.; Wennmohs, F.; Becker, U.; Riplinger, C. The ORCA quantum chemistry program package. J. Chem. Phys. 2020, 152, 224108. [Google Scholar] [CrossRef]
- Furness, J.W.; Kaplan, A.D.; Ning, J.; Perdew, J.P.; Sun, J. Accurate and numerically efficient rscan meta-generalized gradient approximation. J. Phys. Chem. Lett. 2020, 11, 8208–8215. [Google Scholar] [CrossRef] [PubMed]
- Ehlert, S.; Huniar, U.; Ning, J.; Furness, J.W.; Sun, J.; Kaplan, A.D.; Perdew, J.P.; Brandenburg, J.G. R2SCAN-d4: Dispersion corrected meta-generalized gradient approximation for general chemical applications. J. Chem. Phys. 2021, 154, 061101. [Google Scholar] [CrossRef]
- Grimme, S.; Hansen, A.; Ehlert, S.; Mewes, J.-M. r2SCAN-3c: A “Swiss army knife” composite electronic-structure method. J. Chem. Phys. 2021, 154, 064103. [Google Scholar] [CrossRef] [PubMed]
- Bader, R. F: W. Atoms in Molecules—A Quantum Theory; Oxford University Press: Oxford, UK, 1990. [Google Scholar]
- Keith, T.A. AIMAll, Version 19.10.12; TK Gristmill Software: Overland Park, KS, USA, 2019; Available online: https://aim.tkgristmill.com (accessed on 15 November 2019).
- Marenich, A.V.; Cramer, C.J.; Truhlar, D.G. Universal solvation model based on solute electron density and on a continuum model of the solvent defined by the bulk dielectric constant and atomic surface tensions. J. Phys. Chem. B 2009, 113, 6378–6396. [Google Scholar] [CrossRef] [PubMed]
























![]() | ||||||
|---|---|---|---|---|---|---|
| Entry | Host | R | R′ | Minor/Major a | k (209 K) (Hz) a | c (mM) b |
| 1 | 9a | 5-methylfuran-2-yl | (CH2)3Si(OEt)3 | 0.70 | 1.01 | 5 |
| 2 | 9b | Pyridin-2-yl | (CH2)3Si(OEt)3 | 0.29 | 0.27 | 173 |
| 3 | 9c | Pyridin-4-yl | (CH2)3Si(OEt)3 | 0.59 | 2.96 | 50 |
| 4 | 10 | Pyridin-2-yl | c-Hex | 0.25 | 0.54 | 10 |
| 5 | 10 | Pyridin-2-yl | c-Hex | 0.26 | 0.47 | 78 |
| 6 | 11 | Ph | c-Hex | 0.59 | 2.38 | 10 |
| 10 | 11 | |
|---|---|---|
| Kconf | 0.253 | 0.591 |
| K″/K′ | 1.91 ± 0.1 | 0.758 ± 0.005 |
| K′ (mM−1) | 0.14 ± 0.03 | 0.16 ± 0.03 |
| K″ (mM−1) | 0.27 ± 0.05 | 0.12 ± 0.03 |
| Kass (mM−1) | 0.17 ± 0.05 | 0.15 ± 0.03 |
Disclaimer/Publisher’s Note: The statements, opinions and data contained in all publications are solely those of the individual author(s) and contributor(s) and not of MDPI and/or the editor(s). MDPI and/or the editor(s) disclaim responsibility for any injury to people or property resulting from any ideas, methods, instructions or products referred to in the content. |
© 2024 by the authors. Licensee MDPI, Basel, Switzerland. This article is an open access article distributed under the terms and conditions of the Creative Commons Attribution (CC BY) license (https://creativecommons.org/licenses/by/4.0/).
Share and Cite
Váradi, M.; Keszei, S.J.; Gömöry, Á.; Kovács, M.; Kégl, T.; Fodor, L.; Skoda-Földes, R. Investigation of Host–Guest Interactions in 2-Ureido-4-ferrocenylpyrimidine Derivatives. Int. J. Mol. Sci. 2024, 25, 13552. https://doi.org/10.3390/ijms252413552
Váradi M, Keszei SJ, Gömöry Á, Kovács M, Kégl T, Fodor L, Skoda-Földes R. Investigation of Host–Guest Interactions in 2-Ureido-4-ferrocenylpyrimidine Derivatives. International Journal of Molecular Sciences. 2024; 25(24):13552. https://doi.org/10.3390/ijms252413552
Chicago/Turabian StyleVáradi, Márk, Soma J. Keszei, Ágnes Gömöry, Margit Kovács, Tamás Kégl, Lajos Fodor, and Rita Skoda-Földes. 2024. "Investigation of Host–Guest Interactions in 2-Ureido-4-ferrocenylpyrimidine Derivatives" International Journal of Molecular Sciences 25, no. 24: 13552. https://doi.org/10.3390/ijms252413552
APA StyleVáradi, M., Keszei, S. J., Gömöry, Á., Kovács, M., Kégl, T., Fodor, L., & Skoda-Földes, R. (2024). Investigation of Host–Guest Interactions in 2-Ureido-4-ferrocenylpyrimidine Derivatives. International Journal of Molecular Sciences, 25(24), 13552. https://doi.org/10.3390/ijms252413552


