Metabolomic and Lipidomic Profiling for Pre-Transplant Assessment of Delayed Graft Function Risk Using Chemical Biopsy with Microextraction Probes
Abstract
1. Introduction
2. Results
2.1. Demographic Characteristics and Clinical Data
2.2. Metabolomic and Lipidomic Analyses
2.3. Assessment of Graft Quality Using Chemical Biopsy
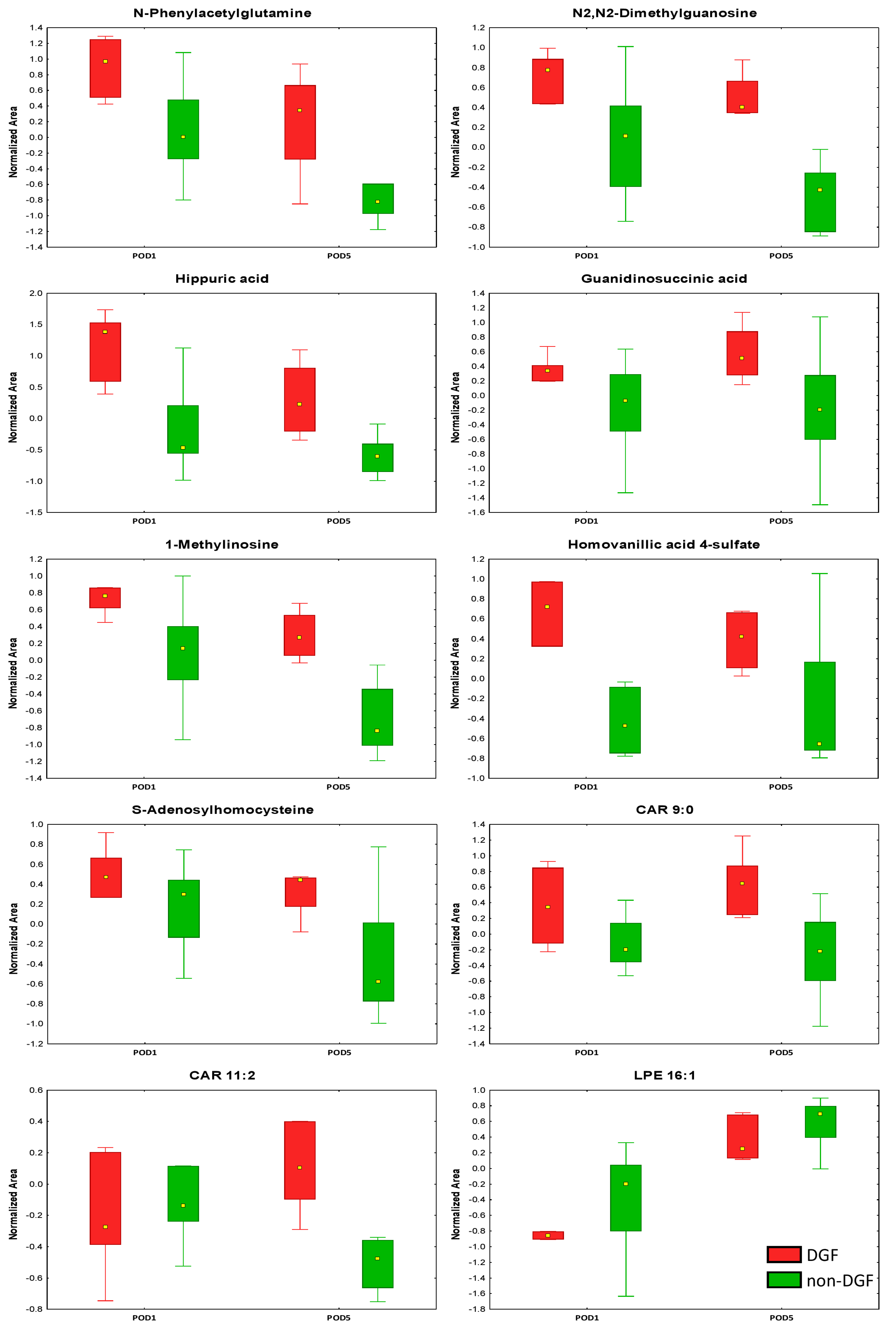
2.4. Analysis of Plasma Samples Collected from Recipients on Days 1 and 5 Post-Operation
3. Discussion
4. Materials and Methods
4.1. Chemicals
4.2. Patients
4.3. Sample Collection
4.4. Sample Preparation
4.5. LC-MS Analysis
4.6. Metabolomics Analysis
4.7. Lipidomics Analysis
4.8. Data Processing and Statistical Analysis
5. Conclusions
Supplementary Materials
Author Contributions
Funding
Institutional Review Board Statement
Informed Consent Statement
Data Availability Statement
Acknowledgments
Conflicts of Interest
Abbreviations
References
- Swanson, K.J.; Aziz, F.; Garg, N.; Mohamed, M.; Mandelbrot, D.; Djamali, A.; Parajuli, S. Role of Novel Biomarkers in Kidney Transplantation. World J. Transplant. 2020, 10, 230–255. [Google Scholar] [CrossRef] [PubMed]
- Warmuzińska, N.; Łuczykowski, K.; Bojko, B. A Review of Current and Emerging Trends in Donor Graft-Quality Assessment Techniques. J. Clin. Med. 2022, 11, 487. [Google Scholar] [CrossRef] [PubMed]
- McGuinness, D.; Mohammed, S.; Monaghan, L.; Wilson, P.A.; Kingsmore, D.B.; Shapter, O.; Stevenson, K.S.; Coley, S.M.; Devey, L.; Kirkpatrick, R.B.; et al. A Molecular Signature for Delayed Graft Function. Aging Cell 2018, 17, e12825. [Google Scholar] [CrossRef] [PubMed]
- Mezzolla, V.; Pontrelli, P.; Fiorentino, M.; Stasi, A.; Franzin, R.; Rascio, F.; Grandaliano, G.; Stallone, G.; Infante, B.; Gesualdo, L.; et al. Emerging Biomarkers of Delayed Graft Function in Kidney Transplantation. Transplant. Rev. 2021, 35, 100629. [Google Scholar] [CrossRef]
- Perico, N.; Cattaneo, D.; Sayegh, M.H.; Remuzzi, G. Delayed Graft Function in Kidney Transplantation. Lancet 2004, 364, 1814–1827. [Google Scholar] [CrossRef]
- Belhaj, M.R.; Lawler, N.G.; Hoffman, N.J. Metabolomics and Lipidomics: Expanding the Molecular Landscape of Exercise Biology. Metabolites 2021, 11, 151. [Google Scholar] [CrossRef]
- Łuczykowski, K.; Warmuzińska, N.; Bojko, B. Solid Phase Microextraction—A Promising Tool for Graft Quality Monitoring in Solid Organ Transplantation. Separations 2023, 10, 153. [Google Scholar] [CrossRef]
- Roszkowska, A.; Miękus, N.; Bączek, T. Application of Solid-Phase Microextraction in Current Biomedical Research. J. Sep. Sci. 2019, 42, 285–302. [Google Scholar] [CrossRef]
- Budhiraja, P.; Reddy, K.S.; Butterfield, R.J.; Jadlowiec, C.C.; Moss, A.A.; Khamash, H.A.; Kodali, L.; Misra, S.S.; Heilman, R.L. Duration of Delayed Graft Function and Its Impact on Graft Outcomes in Deceased Donor Kidney Transplantation. BMC Nephrol. 2022, 23, 154. [Google Scholar] [CrossRef]
- Phillips, B.L.; Ibrahim, M.; Greenhall, G.H.B.; Mumford, L.; Dorling, A.; Callaghan, C.J. Effect of Delayed Graft Function on Longer-Term Outcomes after Kidney Transplantation from Donation after Circulatory Death Donors in the United Kingdom: A National Cohort Study. Am. J. Transplant. 2021, 21, 3346–3355. [Google Scholar] [CrossRef]
- Ansermet, C.; Centeno, G.; Lagarrigue, S.; Nikolaeva, S.; Yoshihara, H.A.; Pradervand, S.; Barras, J.L.; Dattner, N.; Rotman, S.; Amati, F.; et al. Renal Tubular Arginase-2 Participates in the Formation of the Corticomedullary Urea Gradient and Attenuates Kidney Damage in Ischemia-Reperfusion Injury in Mice. Acta Physiol. 2020, 229, e13457. [Google Scholar] [CrossRef] [PubMed]
- Weinberg, J.M.; Venkstachalam, M.A.; Roeser, N.F.; Saikumar, P.; Dong, Z.; Senter, R.A.; Nissim, I. Anaerobic and Aerobic Pathways for Salvage of Proximal Tubules from Hypoxia-Induced Mitochondrial Injury. Am. J. Physiol. Ren. Physiol. 2000, 279, F927–F943. [Google Scholar] [CrossRef] [PubMed]
- Shah, J.A.; Patel, M.S.; Louras, N.; Sachs, D.H.; Vagefi, P.A. Amino Acid and Lipid Profiles Following Pig-to-Primate Liver Xenotransplantation. Xenotransplantation 2019, 26, e12473. [Google Scholar] [CrossRef] [PubMed]
- Stanimirova, I.; Banasik, M.; Ząbek, A.; Dawiskiba, T.; Kościelska-Kasprzak, K.; Wojtowicz, W.; Krajewska, M.; Janczak, D.; Młynarz, P. Serum Metabolomics Approach to Monitor the Changes in Metabolite Profiles Following Renal Transplantation. Sci. Rep. 2020, 10, 17223. [Google Scholar] [CrossRef]
- Bassi, R.; Niewczas, M.A.; Biancone, L.; Bussolino, S.; Merugumala, S.; Tezza, S.; D’Addio, F.; Nasr, M.B.; Valderrama-Vasquez, A.; Usuelli, V.; et al. Metabolomic Profiling in Individuals with a Failing Kidney Allograft. PLoS ONE 2017, 12, e0169077. [Google Scholar] [CrossRef]
- Watanabe, M.; Suliman, M.E.; Qureshi, A.R.; Garcia-Lopez, E.; Bárány, P.; Heimbürger, O.; Stenvinkel, P.; Lindholm, B. Consequences of Low Plasma Histidine in Chronic Kidney Disease Patients: Associations with Inflammation, Oxidative Stress, and Mortality. Am. J. Clin. Nutr. 2008, 87, 1860–1866. [Google Scholar] [CrossRef]
- Kuiper, H.C.; Langsdorf, B.L.; Miranda, C.L.; Joss, J.; Jubert, C.; Mata, J.E.; Stevens, J.F. Quantitation of Mercapturic Acid Conjugates of 4-Hydroxy-2-Nonenal and 4-Oxo-2-Nonenal Metabolites in a Smoking Cessation Study. Free Radic. Biol. Med. 2010, 48, 65–72. [Google Scholar] [CrossRef]
- Kovacevic, S.; Ivanov, M.; Zivotic, M.; Brkic, P.; Miloradovic, Z.; Jeremic, R.; Mihailovic-Stanojevic, N.; Vajic, U.J.; Karanovic, D.; Jovovic, D.; et al. Immunohistochemical Analysis of 4-Hne, Ngal, and Ho-1 Tissue Expression after Apocynin Treatment and Hbo Preconditioning in Postischemic Acute Kidney Injury Induced in Spontaneously Hypertensive Rats. Antioxidants 2021, 10, 1163. [Google Scholar] [CrossRef]
- Kim, J.Y.; Jo, J.; Kim, K.; An, H.J.; Gwon, M.G.; Gu, H.; Kim, H.J.; Yang, A.Y.; Kim, S.W.; Jeon, E.J.; et al. Pharmacological Activation of Sirt1 Ameliorates Cisplatin-Induced Acute Kidney Injury by Suppressing Apoptosis, Oxidative Stress, and Inflammation in Mice. Antioxidants 2019, 8, 322. [Google Scholar] [CrossRef]
- Wang, S.X.; Solin, M.L.; Ahola, H.; Luimula, P.; Holthöfer, H. Interactions between Mitochondrial Proteins and Lipid Peroxidation Products in the Maintenance of the Glomerular Filtration Barrier in the in Vitro Perfused Kidney. Exp. Nephrol. 2001, 9, 14–20. [Google Scholar] [CrossRef]
- Crikis, S.; Lu, B.; Murray-Segal, L.M.; Selan, C.; Robson, S.C.; D’Apice, A.J.F.; Nandurkar, H.H.; Cowan, P.J.; Dwyer, K.M. Transgenic Overexpression of CD39 Protects against Renal Ischemia-Reperfusion and Transplant Vascular Injury. Am. J. Transplant. 2010, 10, 2586–2595. [Google Scholar] [CrossRef] [PubMed]
- Itabashi, Y.; Ravichandran, R.; Bansal, S.; Chin, C.; Poulson, C.; Sureshbabu, A.; Nair, S.S.; Perincheri, S.; Mohanakumar, T. Role for Exosomes with Self-Antigens and Immune Regulatory Molecules in Allo- and Auto-Immunity Leading to Chronic Immune Injury Following Murine Kidney Transplantation. Transpl. Immunol. 2022, 75, 101702. [Google Scholar] [CrossRef] [PubMed]
- Rajakumar, S.V.; Lu, B.; Crikis, S.; Robson, S.C.; D’Apice, A.J.F.; Cowan, P.J.; Dwyer, K.M. Deficiency or Inhibition of CD73 Protects in Mild Kidney Ischemia-Reperfusion Injury. Transplantation 2010, 90, 1260–1264. [Google Scholar] [CrossRef] [PubMed]
- Wang, B.; Zhou, A.; Pan, Q.; Li, Y.; Xi, Z.; He, K.; Li, D.; Li, B.; Liu, Y.; Liu, Y.; et al. Adenosinergic Metabolism Pathway: An Emerging Target for Improving Outcomes of Solid Organ Transplantation. Transl. Res. 2024, 263, 93–101. [Google Scholar] [CrossRef] [PubMed]
- Stryjak, I.; Warmuzińska, N.; Łuczykowski, K.; Jaroch, K.; Urbanellis, P.; Selzner, M.; Bojko, B. Metabolomic and Lipidomic Landscape of Porcine Kidney Associated with Kidney Perfusion in Heart Beating Donors and Donors after Cardiac Death. Transl. Res. 2024, 267, 79–90. [Google Scholar] [CrossRef]
- Warmuzińska, N.; Łuczykowski, K.; Stryjak, I.; Rosales-Solano, H.; Urbanellis, P.; Pawliszyn, J.; Selzner, M.; Bojko, B. The Impact of Normothermic and Hypothermic Preservation Methods on Kidney Lipidome—Comparative Study Using Chemical Biopsy with Microextraction Probes. Front. Mol. Biosci. 2024, 11, 1341108. [Google Scholar] [CrossRef]
- Afshinnia, F.; Rajendiran, T.M.; Soni, T.; Byun, J.; Wernisch, S.; Sas, K.M.; Hawkins, J.; Bellovich, K.; Gipson, D. Impaired B-Oxidation and Altered Complex Lipid Fatty Acid Partitioning with Advancing CKD. J. Am. Soc. Nephrol. 2018, 29, 295–306. [Google Scholar] [CrossRef]
- Jang, H.S.; Noh, M.R.; Kim, J.; Padanilam, B.J. Defective Mitochondrial Fatty Acid Oxidation and Lipotoxicity in Kidney Diseases. Front. Med. 2020, 7, 65. [Google Scholar] [CrossRef]
- Afshinnia, F.; Kretzler, M.; Afshinnia, F.; Nair, V.; Lin, J.; Rajendiran, T.M.; Soni, T.; Byun, J.; Sharma, K.; Fort, P.E.; et al. Increased Lipogenesis and Impaired b -Oxidation Predict Type 2 Diabetic Kidney Disease Progression in American Indians. JCI Insight 2019, 4, e130317. [Google Scholar] [CrossRef]
- Weinberg, J.M. Lipotoxicity. Kidney Int. 2006, 70, 1560–1566. [Google Scholar] [CrossRef]
- Erpicum, P.; Rowart, P.; Defraigne, J.O.; Krzesinski, J.M.; Jouret, F. What We Need to Know about Lipid-Associated Injury in Case of Renal Ischemia-Reperfusion. Am. J. Physiol.-Ren. Physiol. 2018, 315, F1714–F1719. [Google Scholar] [CrossRef] [PubMed]
- van der Veen, J.N.; Kennelly, J.P.; Wan, S.; Vance, J.E.; Vance, D.E.; Jacobs, R.L. The Critical Role of Phosphatidylcholine and Phosphatidylethanolamine Metabolism in Health and Disease. Biochim. Biophys. Acta-Biomembr. 2017, 1859, 1558–1572. [Google Scholar] [CrossRef] [PubMed]
- Rao, S.; Walters, K.B.; Wilson, L.; Chen, B.; Bolisetty, S.; Graves, D.; Barnes, S.; Agarwal, A.; Kabarowski, J.H. Early Lipid Changes in Acute Kidney Injury Using SWATH Lipidomics Coupled with MALDI Tissue Imaging. Am. J. Physiol.-Ren. Physiol. 2016, 310, F1136–F1147. [Google Scholar] [CrossRef] [PubMed]
- Solati, Z.; Edel, A.L.; Shang, Y.; Karmin, O.; Ravandi, A. Oxidized Phosphatidylcholines Are Produced in Renal Ischemia Reperfusion Injury. PLoS ONE 2018, 13, e0195172. [Google Scholar] [CrossRef]
- Tofte, N.; Suvitaival, T.; Ahonen, L.; Winther, S.A.; Theilade, S.; Frimodt-Møller, M.; Ahluwalia, T.S.; Rossing, P. Lipidomic Analysis Reveals Sphingomyelin and Phosphatidylcholine Species Associated with Renal Impairment and All-Cause Mortality in Type 1 Diabetes. Sci. Rep. 2019, 9, 16398. [Google Scholar] [CrossRef]
- Zhao, X.; Chen, J.; Ye, L.; Xu, G. Serum Metabolomics Study of the Acute Graft Rejection in Human Renal Transplantation Based on Liquid Chromatography-Mass Spectrometry. J. Proteome Res. 2014, 13, 2659–2667. [Google Scholar] [CrossRef]
- Hou, B.; He, P.; Ma, P.; Yang, X.; Xu, C.; Lam, S.M.; Shui, G.; Yang, X.; Zhang, L.; Qiang, G.; et al. Comprehensive Lipidome Profiling of the Kidney in Early-Stage Diabetic Nephropathy. Front. Endocrinol. 2020, 11, 359. [Google Scholar] [CrossRef]
- Łuczykowski, K.; Warmuzińska, N.; Operacz, S.; Stryjak, I.; Bogusiewicz, J.; Jacyna, J.; Wawrzyniak, R.; Struck-Lewicka, W.; Markuszewski, M.J.; Bojko, B. Metabolic Evaluation of Urine from Patients Diagnosed with High Grade (Hg) Bladder Cancer by Spme-Lc-Ms Method. Molecules 2021, 26, 2194. [Google Scholar] [CrossRef]
- Łuczykowski, K.; Warmuzińska, N.; Kollmann, D.; Selzner, M.; Bojko, B. Biliary Metabolome Profiling for Evaluation of Liver Metabolism and Biliary Tract Function Related to Organ Preservation Method and Degree of Ischemia in a Porcine Model. Int. J. Mol. Sci. 2023, 24, 2127. [Google Scholar] [CrossRef]
- Sato, E.; Kohno, M.; Yamamoto, M.; Fujisawa, T.; Fujiwara, K.; Tanaka, N. Metabolomic Analysis of Human Plasma from Haemodialysis Patients. Eur. J. Clin. Investig. 2011, 41, 241–255. [Google Scholar] [CrossRef]
- Grams, M.E.; Tin, A.; Rebholz, C.M.; Shafi, T.; Köttgen, A.; Perrone, R.D.; Sarnak, M.J.; Inker, L.A.; Levey, A.S.; Coresh, J. Metabolomic Alterations Associated with Cause of CKD. Clin. J. Am. Soc. Nephrol. 2017, 12, 1787–1794. [Google Scholar] [CrossRef] [PubMed]
- Pieniazek, A.; Bernasinska-slomczewska, J.; Gwozdzinski, L. Uremic Toxins and Their Relation with Oxidative Stress Induced in Patients with Ckd. Int. J. Mol. Sci. 2021, 22, 6196. [Google Scholar] [CrossRef] [PubMed]
- Sun, B.; Wang, X.; Liu, X.; Wang, L.; Ren, F.; Wang, X.; Leng, X. Hippuric Acid Promotes Renal Fibrosis by Disrupting Redox Homeostasis via Facilitation of NRF2–KEAP1–CUL3 Interactions in Chronic Kidney Disease. Antioxidants 2020, 9, 783. [Google Scholar] [CrossRef] [PubMed]
- Zhang, M.; Jia, S.; Liu, Y.; Liu, Y.; Li, S.; Bo, L.; Zhao, X.; Sun, C. Metabonomics Analysis of Kidneys in Rats Administered with Chronic Low-Dose Cadmium by Ultra-Performance Liquid Chromatography-Mass Spectrometry. J. Appl. Toxicol. 2019, 39, 441–450. [Google Scholar] [CrossRef] [PubMed]
- Gu, L.; Wang, X.; Zhang, Y.; Jiang, Y.; Lu, H.; Bi, K.; Chen, X. Determination of 12 Potential Nephrotoxicity Biomarkers in Rat Serum and Urine by Liquid Chromatography with Mass Spectrometry and Its Application to Renal Failure Induced by Semen Strychni. J. Sep. Sci. 2014, 37, 1058–1066. [Google Scholar] [CrossRef]
- Herrmann, W.; Schorr, H.; Obeid, R.; Makowski, J.; Fowler, B.; Kuhlmann, M.K. Disturbed Homocysteine and Methionine Cycle Intermediates S-Adenosylhomocysteine and S-Adenosylmethionine Are Related to Degree of Renal Insufficiency in Type 2 Diabetes. Clin. Chem. 2005, 51, 891–897. [Google Scholar] [CrossRef]
- Valli, A.; Carrero, J.J.; Qureshi, A.R.; Garibotto, G.; Bárány, P.; Axelsson, J.; Lindholm, B.; Stenvinkel, P.; Anderstam, B.; Suliman, M.E. Elevated Serum Levels of S-Adenosylhomocysteine, but Not Homocysteine, Are Associated with Cardiovascular Disease in Stage 5 Chronic Kidney Disease Patients. Clin. Chim. Acta 2008, 395, 106–110. [Google Scholar] [CrossRef]
- Zhu, S.; Zhang, F.; Shen, A.W.; Sun, B.; Xia, T.Y.; Chen, W.S.; Tao, X.; Yu, S.Q. Metabolomics Evaluation of Patients With Stage 5 Chronic Kidney Disease Before Dialysis, Maintenance Hemodialysis, and Peritoneal Dialysis. Front. Physiol. 2021, 11, 630646. [Google Scholar] [CrossRef]
- Chen, T.H.; Liu, C.W.; Ho, Y.H.; Huang, C.K.; Hung, C.S.; Smith, B.H.; Lin, J.C. Gut Microbiota Composition and Its Metabolites in Different Stages of Chronic Kidney Disease. J. Clin. Med. 2021, 10, 3881. [Google Scholar] [CrossRef]
- Yang, J.; Fang, P.; Yu, D.; Zhang, L.; Zhang, D.; Jiang, X.; Yang, W.Y.; Bottiglieri, T.; Kunapuli, S.P.; Yu, J.; et al. Chronic Kidney Disease Induces Inflammatory CD40+ Monocyte Differentiation via Homocysteine Elevation and DNA Hypomethylation. Circ. Res. 2016, 119, 1226–1241. [Google Scholar] [CrossRef]
- Klepacki, J.; Brunner, N.; Schmitz, V.; Klawitter, J.; Christians, U.; Klawitter, J. Development and Validation of an LC-MS/MS Assay for the Quantification of the Trans-Methylation Pathway Intermediates S-Adenosylmethionine and S-Adenosylhomocysteine in Human Plasma. Clin. Chim. Acta 2013, 421, 91–97. [Google Scholar] [CrossRef] [PubMed]
- Kordalewska, M.; Macioszek, S.; Wawrzyniak, R.; Sikorska-Wiśniewska, M.; Śledziński, T.; Chmielewski, M.; Mika, A.; Markuszewski, M.J. Multiplatform Metabolomics Provides Insight into the Molecular Basis of Chronic Kidney Disease. J. Chromatogr. B Anal. Technol. Biomed. Life Sci. 2019, 1117, 49–57. [Google Scholar] [CrossRef] [PubMed]
- Andrianova, N.V.; Popkov, V.A.; Klimenko, N.S.; Tyakht, A.V.; Baydakova, G.V.; Frolova, O.Y.; Zorova, L.D.; Pevzner, I.B.; Zorov, D.B.; Plotnikov, E.Y. Microbiome-Metabolome Signature of Acute Kidney Injury. Metabolites 2020, 10, 142. [Google Scholar] [CrossRef]
- Breit, M.; Weinberger, K.M. Metabolic Biomarkers for Chronic Kidney Disease. Arch. Biochem. Biophys. 2016, 589, 62–80. [Google Scholar] [CrossRef] [PubMed]
- Hocher, B.; Adamski, J. Metabolomics for Clinical Use and Research in Chronic Kidney Disease. Nat. Rev. Nephrol. 2017, 13, 269–284. [Google Scholar] [CrossRef] [PubMed]
- Goek, O.N.; Döring, A.; Gieger, C.; Heier, M.; Koenig, W.; Prehn, C.; Römisch-Margl, W.; Wang-Sattler, R.; Illig, T.; Suhre, K.; et al. Serum Metabolite Concentrations and Decreased GFR in the General Population. Am. J. Kidney Dis. 2012, 60, 197–206. [Google Scholar] [CrossRef]
- Dare, A.J.; Pettigrew, G.J.; Saeb-Parsy, K. Preoperative Assessment of the Deceased-Donor Kidney: From Macroscopic Appearance to Molecular Biomarkers. Transplantation 2014, 97, 797–807. [Google Scholar] [CrossRef]
- Traynor, C.; Saeed, A.; O’Ceallaigh, E.; Elbadri, A.; O’Kelly, P.; de Freitas, D.G.; Dorman, A.M.; Conlon, P.J.; O’Seaghdha, C.M. Pre-Transplant Histology Does Not Improve Prediction of 5-Year Kidney Allograft Outcomes above and beyond Clinical Parameters. Ren. Fail. 2017, 39, 671–677. [Google Scholar] [CrossRef]
- Yap, Y.T.; Ho, Q.Y.; Kee, T.; Ng, C.Y.; Chionh, C.Y. Impact of Pre-Transplant Biopsy on 5-Year Outcomes of Expanded Criteria Donor Kidney Transplantation. Nephrology 2021, 26, 70–77. [Google Scholar] [CrossRef]
- De Vusser, K.; Lerut, E.; Kuypers, D.; Vanrenterghem, Y.; Jochmans, I.; Monbaliu, D.; Pirenne, J.; Naesens, M. The Predictive Value of Kidney Allograft Baseline Biopsies for Long-Term Graft Survival. J. Am. Soc. Nephrol. 2013, 24, 1913–1923. [Google Scholar] [CrossRef]
- Phillips, B.L.; Kassimatis, T.; Atalar, K.; Wilkinson, H.; Kessaris, N.; Simmonds, N.; Hilton, R.; Horsfield, C.; Callaghan, C.J. Chronic Histological Changes in Deceased Donor Kidneys at Implantation Do Not Predict Graft Survival: A Single-Centre Retrospective Analysis. Transpl. Int. 2019, 32, 523–534. [Google Scholar] [CrossRef] [PubMed]
- Azancot, M.A.; Moreso, F.; Salcedo, M.; Cantarell, C.; Perello, M.; Torres, I.B.; Montero, A.; Trilla, E.; Sellarés, J.; Morote, J.; et al. The Reproducibility and Predictive Value on Outcome of Renal Biopsies from Expanded Criteria Donors. Kidney Int. 2014, 85, 1161–1168. [Google Scholar] [CrossRef] [PubMed]
- Mirnaghi, F.S.; Chen, Y.; Sidisky, L.M.; Pawliszyn, J. Optimization of the Coating Procedure for a High-Throughput 96-Blade Solid Phase Microextraction System Coupled with LC-MS/MS for Analysis of Complex Samples. Anal. Chem. 2011, 83, 6018–6025. [Google Scholar] [CrossRef] [PubMed]





| Characteristic | Total (n = 24) | SCD (n = 19) | ECD (n = 5) | p-Value |
|---|---|---|---|---|
| Age, year | 44.5 [41.5–47.5] | 44 [41–46] | 60 [60–66] | 0.02980 |
| Sex | ||||
| Male | 17 (71%) | 12 (63%) | 5 (100%) | >0.05 |
| Hypertension | 3 (13%) | 3 (16%) | 0 | >0.05 |
| Cause of death | ||||
| Trauma | 9 (38%) | 7 (37%) | 2 (40%) | >0.05 |
| Vascular | 12 (50%) | 9 (47%) | 3 (60%) | >0.05 |
| Others | 3 (13%) | 3 (16%) | 0 | |
| Creatinine, mg/dL | 1.27 [0.98–2.13] | 1.40 [1.05–2.39] | 1.20 [0.60–1.24] | >0.05 |
| Urea, mg/dL | 45.64 [37.20–62.00] | 44.00 [34.10–51.80] | 62.00 [48.00–100.00] | >0.05 |
| Procalcitonin, ng/mL | 1.37 [0.57–8.18] | 1.11 [0.57–7.96] | 2.05 [1.37–13.35] | >0.05 |
| CRP, mg/L | 246.60 (135.13) | 226.29 (126.44) | 323.81 (153.78) | >0.05 |
| WBC, 103/µL | 12.98 [11.05–17.40] | 13.00 [11.78–16.70] | 10.40 [10.20–18.70] | >0.05 |
| HGB, g/dL | 11.11 (2.64) | 11.54 (2.64) | 9.46 (2.11) | >0.05 |
| PLT, 103/µL | 142.88 (57.46) | 130.37 (46.54) | 190.40 (75.31) | 0.03436 |
| AST, IU/L | 52.00 [29.00–95.00] | 37.00 [26.00–98.00] | 74.50 [52.00–88.00] | >0.05 |
| ALT, IU/L | 50.00 [23.00–90.00] | 46.00 [23.00–90.00] | 55.50 [45.5–81.50] | >0.05 |
| K, mmol/L | 4.40 [3.70–4.68] | 4.40 [3.80–4.66] | 4.07 [3.00–4.90] | >0.05 |
| Na, mmol/L | 155.91 (11.04) | 157.26 (11.23) | 150.78 (9.59) | >0.05 |
| Cl, mmol/L | 117.17 (10.91) | 119.60 (10.35) | 109.38 (9.72) | >0.05 |
| Characteristic | Total (n = 32) | Non DGF (n = 22) | DGF (n = 10) | p-Value |
|---|---|---|---|---|
| Age, year | 57.5 [43.5–64] | 57.50 [48–64] | 55 [41–63] | >0.05 |
| Sex | ||||
| Male | 25 (78%) | 17 (77%) | 8 (80%) | >0.05 |
| Hypertension | 27 (84%) | 18 (82%) | 9 (90%) | >0.05 |
| Donor criteria | >0.05 | |||
| SCD | 26 (81%) | 20 (91%) | 6 (60%) | >0.05 |
| ECD | 6 (19%) | 2 (9%) | 4 (40%) | >0.05 |
| Preservation method | ||||
| HMP | 11 (34%) | 8 (36%) | 3 (30%) | >0.05 |
| SCS | 21 (66%) | 14 (64%) | 7 (70%) | >0.05 |
| Recipients requiring dialysis | 13 (40%) | 5 (23%) | 8 (80%) | 0.00506 |
| Bacteria in preservative fluid | 12 (37.5%) | 9 (41%) | 3 (30%) | >0.05 |
| Ischemia time | 17 h 26 min (7 h 16 min) | 16 h 03 min (7 h 06 min) | 20 h 47 min (6 h 54 min) | >0.05 |
| Creatinine, mg/dL | 1.59 (0.58) | 1.34 (0.41) | 2.14 (0.54) | 0.00006 |
| GFR, mL/min/1.73 m2 | 50.49 (15.96) | 57.77 (13.13) | 34.46 (7.72) | 0.00001 |
| BUN, mg/dL | 31.80 [21.80–38.40] | 24.70 [21.40–33.80] | 45.00 [35.60–56.50] | 0.00098 |
| CRP, mg/L | 3.62 [2.48–6.06] | 4.98 [3.02–6.23] | 2.43 [0.68–3.48] | >0.05 |
| WBC, 103/µL | 8.32 (3.05) | 8.62 (3.38) | 7.66 (2.15) | >0.05 |
| HGB, g/dL | 10.37 (0.91) | 10.27 (0.83) | 10.60 (1.07) | >0.05 |
| PLT, 103/µL | 229.97 (77.25) | 228.41 (76.74) | 233.40 (82.41) | >0.05 |
| AST, IU/L | 14.00 [11.00–17.00] | 14.50 [11.00–19.50] | 13.00 [10.50–15.00] | >0.05 |
| ALT, IU/L | 15.50 [13.00–29.50] | 16.50 [13.00–32.00] | 14.50 [11.00–27.00] | >0.05 |
| K, mmol/L | 4.42 (0.46) | 4.41 (0.52) | 4.44 (0.31) | >0.05 |
| Na, mmol/L | 141.87 (2.95) | 141.78 (3.21) | 142.06 (2.41) | >0.05 |
| Cl, mmol/L | 110.10 [107.00–112.10] | 110.60 [107.30–112.20] | 109.90 [107.00–111.00] | >0.05 |
| Ca, mmol/L | 2.23 (0.22) | 2.26 (0.21) | 2.18 (0.25) | >0.05 |
| Name | MW | RT | Mean Decrease Accuracy | Mean Decrease Gini | p-Value | AUC | Fold Change |
|---|---|---|---|---|---|---|---|
| Metabolomics | |||||||
| Time point 1 | |||||||
| Pyroglutamic acid | 129.04 | 1.75 | 8.752 | 1.551 | 0.002 | 0.803 | 4.478 |
| 4-oxo-2-nonenal | 154.10 | 10.09 | 6.484 | 0.917 | 0.053 | 0.692 | 0.471 |
| N-Butyryl-L-homoserine lactone | 171.09 | 1.74 | 5.937 | 0.859 | 0.013 | 0.746 | 0.419 |
| Ornithine | 132.09 | 1.88 | 5.731 | 0.889 | 0.003 | 0.787 | 2.735 |
| Glutaric acid | 132.04 | 1.32 | 4.705 | 0.474 | 0.026 | 0.721 | 0.375 |
| Tetramethylpyrazine | 136.10 | 8.95 | 3.819 | 0.601 | 0.039 | 0.704 | 1.613 |
| Heptylic acid | 130.10 | 1.69 | 3.305 | 0.506 | >0.05 | 0.651 | 0.983 |
| Time point 2 | |||||||
| Phosphoethanolamine | 141.01 | 11.70 | 5.746 | 0.613 | 0.029 | 0.715 | 0.385 |
| Glutamic acid | 147.05 | 1.53 | 5.577 | 0.683 | 0.011 | 0.748 | 0.219 |
| Glyceraldehyde 3-phosphate | 170.00 | 2.11 | 5.243 | 0.913 | 0.005 | 0.779 | 2.387 |
| Histidine | 155.07 | 1.90 | 5.065 | 0.644 | >0.05 | 0.624 | 1.677 |
| 1-Nitronaphthalene-5,6-oxide | 189.04 | 24.76 | 4.992 | 0.581 | 0.019 | 0.73 | 1.843 |
| Adenosine | 267.10 | 7.28 | 4.805 | 0.643 | >0.05 | 0.645 | 0.776 |
| Carnitine | 161.11 | 3.35 | 4.369 | 0.852 | 0.006 | 0.767 | 0.201 |
| Time point 3 | |||||||
| Phosphoethanolamine | 141.01 | 11.70 | 9.547 | 1.966 | 0.0003 | 0.852 | 0.029 |
| 3-Indolebutyric acid | 203.10 | 13.52 | 6.979 | 1.343 | 0.0009 | 0.824 | 3.763 |
| NA-Val 18:0 | 383.34 | 22.19 | 6.040 | 0.896 | 0.026 | 0.718 | 1.596 |
| 4-Hydroxynonenal | 156.12 | 11.86 | 5.431 | 0.606 | >0.05 | 0.552 | 1.533 |
| Creatine | 131.07 | 1.98 | 4.971 | 0.735 | 0.011 | 0.748 | 0.016 |
| Adenosine | 267.10 | 7.28 | 4.912 | 0.806 | >0.05 | 0.561 | 15.12 |
| Arginine | 174.11 | 2.012 | 4.456 | 0.636 | >0.05 | 0.679 | 0.34 |
| Lipidomics HILIC | |||||||
| Time point 1 | |||||||
| SM 42:1;O2 | 814.69 | 7.78 | 6.180 | 1.053 | 0.003 | 0.79 | 2.326 |
| PC 38:5 | 807.58 | 6.48 | 5.532 | 0.638 | 0.028 | 0.717 | 0.091 |
| PC 34:1 | 759.58 | 6.53 | 5.511 | 0.813 | 0.001 | 0.784 | 0.07 |
| SM 40:2;O2 | 784.65 | 7.94 | 5.046 | 0.536 | >0.05 | 0.66 | 0.616 |
| PC 38:6 | 805.56 | 6.49 | 4.820 | 0.459 | >0.05 | 0.663 | 4.379 |
| LPC 18:0 | 523.36 | 8.84 | 4.474 | 0.467 | >0.05 | 0.657 | 0.621 |
| SM 34:1;O2 | 702.57 | 8.16 | 4.317 | 0.483 | >0.05 | 0.625 | 0.954 |
| PE 38:5 | 765.53 | 7.42 | 4.289 | 0.549 | >0.05 | 0.673 | 1.471 |
| Time point 2 | |||||||
| PE 38:5 | 765.53 | 7.56 | 7.547 | 0.981 | >0.05 | 0.578 | 1.371 |
| PC 34:1 | 759.58 | 6.62 | 6.284 | 0.636 | >0.05 | 0.681 | 2.574 |
| PC P-34:2 | 741.57 | 6.58 | 4.900 | 0.514 | 0.02 | 0.727 | 4.991 |
| PE 38:6 | 763.52 | 7.45 | 4.734 | 0.673 | >0.05 | 0.654 | 1.912 |
| SM 40:1;O2 | 786.66 | 7.91 | 4.687 | 0.567 | >0.05 | 0.678 | 0.434 |
| PE 36:3 | 741.53 | 7.45 | 4.670 | 0.495 | >0.05 | 0.596 | 1.823 |
| PC 38:5 | 807.58 | 6.48 | 4.280 | 0.468 | >0.05 | 0.668 | 0.28 |
| LPE 18:0 | 481.32 | 10.34 | 4.040 | 0.519 | >0.05 | 0.681 | 0.644 |
| Time point 3 | |||||||
| PE 38:6 | 763.52 | 7.45 | 6.126 | 0.854 | >0.05 | 0.591 | 1.313 |
| PE 36:3 | 741.53 | 7.45 | 5.718 | 0.716 | >0.05 | 0.591 | 1.231 |
| PC 36:4 | 781.56 | 6.52 | 5.468 | 0.756 | >0.05 | 0.652 | 1.029 |
| PE 36:2 | 743.55 | 7.56 | 5.324 | 0.660 | 0.024 | 0.721 | 2.392 |
| PE 36:4 | 739.52 | 7.46 | 4.985 | 0.655 | >0.05 | 0.657 | 0.982 |
| PC 36:3 | 783.58 | 6.49 | 4.715 | 0.589 | >0.05 | 0.506 | 0.887 |
| PC 34:2 | 757.56 | 6.69 | 4.289 | 0.493 | >0.05 | 0.648 | 0.29 |
| Lipidomics RP | |||||||
| Time point 1 | |||||||
| TG 56:0 | 918.86 | 14.63 | 4.684 | 0.500 | 0.003 | 0.79 | 2.087 |
| TG 48:5 | 796.66 | 12.52 | 4.027 | 0.456 | 0.014 | 0.743 | 1.401 |
| TG P-52:1 | 846.80 | 14.11 | 3.750 | 0.295 | >0.05 | 0.502 | 1.486 |
| Cer 34:0;O2 | 539.53 | 10.70 | 3.701 | 0.249 | >0.05 | 0.575 | 0.537 |
| TG 50:1 | 832.75 | 13.77 | 3.282 | 0.247 | >0.05 | 0.571 | 0.704 |
| Cer 32:0;O2 | 511.50 | 9.99 | 3.247 | 0.293 | >0.05 | 0.581 | 0.653 |
| Time point 2 | |||||||
| TG 56:0 | 918.86 | 14.63 | 5.891 | 0.650 | 0.0007 | 0.833 | 3.7405 |
| DG 36:4 | 616.51 | 10.03 | 5.395 | 0.654 | >0.05 | 0.606 | 1.6009 |
| DG 36:3 | 618.52 | 10.46 | 4.257 | 0.376 | >0.05 | 0.627 | 1.201 |
| TG O-52:1 | 846.80 | 14.35 | 4.099 | 0.274 | >0.05 | 0.603 | 3.0758 |
| TG 44:3 | 744.63 | 12.81 | 3.955 | 0.252 | >0.05 | 0.675 | 1.993 |
| TG 42:0 | 722.64 | 12.81 | 3.807 | 0.269 | 0.0268 | 0.718 | 2.675 |
| TG 50:0 | 834.77 | 13.99 | 3.676 | 0.266 | >0.05 | 0.518 | 2.397 |
| TG 54:2 | 886.80 | 14.08 | 3.258 | 0.287 | >0.05 | 0.666 | 3.003 |
| Time point 3 | |||||||
| DG 34:1 | 594.52 | 10.73 | 5.148 | 0.642 | >0.05 | 0.645 | 0.5487 |
| TG 56:2 | 914.83 | 14.30 | 4.383 | 0.378 | >0.05 | 0.645 | 1.334 |
| TG 54:1 | 888.81 | 14.24 | 4.256 | 0.404 | >0.05 | 0.524 | 0.2857 |
| TG 52:0 | 862.80 | 14.23 | 4.221 | 0.388 | >0.05 | 0.603 | 0.0913 |
| TG 55:2 | 900.81 | 14.13 | 4.041 | 0.326 | 0.042 | 0.7 | 0.4624 |
| TG 54:6 | 878.74 | 13.94 | 3.921 | 0.261 | >0.05 | 0.615 | 0.7927 |
| TG 50:2 | 830.74 | 13.57 | 3.615 | 0.236 | >0.05 | 0.533 | 2.1772 |
| TG 56:3 | 912.81 | 14.08 | 3.608 | 0.238 | >0.05 | 0.612 | 0.8343 |
| Metabolomics | |||
|---|---|---|---|
| Time Point 1 | Time Point 2 | Time Point 3 | |
| Accuracy | 0.83 | 0.86 | 0.78 |
| Kappa | 0.66 | 0.72 | 0.55 |
| Sensitivity | 0.80 | 0.87 | 0.73 |
| Specificity | 0.86 | 0.86 | 0.82 |
| Precision | 0.80 | 0.81 | 0.73 |
| F1-Score | 0.80 | 0.84 | 0.73 |
| Lipidomics HILIC | |||
| Time Point 1 | Time Point 2 | Time Point 3 | |
| Accuracy | 0.89 | 0.89 | 0.89 |
| Kappa | 0.77 | 0.78 | 0.78 |
| Sensitivity | 0.87 | 0.93 | 0.87 |
| Specificity | 0.90 | 0.86 | 0.91 |
| Precision | 0.87 | 0.82 | 0.87 |
| F1-Score | 0.87 | 0.88 | 0.87 |
| Lipidomics RP | |||
| Time Point 1 | Time Point 2 | Time Point 3 | |
| Accuracy | 0.92 | 0.84 | 0.86 |
| Kappa | 0.82 | 0.68 | 0.72 |
| Sensitivity | 0.80 | 0.93 | 0.87 |
| Specificity | 1.00 | 0.77 | 0.86 |
| Precision | 1.00 | 0.74 | 0.81 |
| F1-Score | 0.89 | 0.82 | 0.84 |
| Name | MW | RT | DGF vs. Non-DGF Patients | |||
|---|---|---|---|---|---|---|
| POD1 | POD5 | |||||
| FC | p-Value | FC | p-Value | |||
| Metabolomics—RP positive ionization mode | ||||||
| Indole-3-acryloylglycine | 244.08 | 11.70 | 8.20 | 0.001 | 19.32 | 0.040 |
| 4-Hydroxyprolylisoleucine | 244.14 | 9.09 | 2.92 | 0.001 | n.a | n.a |
| N-Phenylacetylglutamic acid | 265.09 | 9.90 | 6.40 | 0.003 | 12.94 | 0.010 |
| 3-hydroxydecanoyl carnitine | 331.24 | 18.08 | 3.22 | 0.003 | 2.13 | 0.026 |
| N-Nonanoylglycine | 215.15 | 9.29 | 2.98 | 0.003 | 4.92 | 0.018 |
| 1-Methylinosine | 282.10 | 6.94 | 2.97 | 0.003 | 2.66 | 0.018 |
| 1-Methylhypoxanthine | 150.05 | 6.94 | 2.62 | 0.003 | 2.95 | 0.018 |
| Hippuric acid | 179.06 | 8.96 | 3.95 | 0.005 | 9.22 | 0.006 |
| 5-Hydroxyindole | 133.05 | 9.72 | 3.84 | 0.005 | n.a | n.a |
| Phenylacetamide | 135.07 | 8.84 | 3.73 | 0.005 | 4.63 | 0.022 |
| N-Phenylacetylglutamine | 264.11 | 8.85 | 3.05 | 0.007 | 5.72 | 0.022 |
| Tyramine | 137.08 | 2.13 | 2.02 | 0.007 | n.a | n.a |
| Indoleacetyl glutamine | 303.12 | 9.74 | 2.94 | 0.013 | 11.95 | 0.003 |
| Cinnamoylglycine | 205.07 | 11.48 | 2.79 | 0.018 | 14.38 | 0.040 |
| N-Phenylacetylaspartic acid | 251.08 | 9.77 | 2.70 | 0.018 | 2.61 | 0.040 |
| L-Urobilin | 590.31 | 15.71 | 3.82 | 0.024 | n.a | n.a |
| alpha-Aminoadipic acid | 161.07 | 1.58 | n.a | n.a | 2.77 | 0.010 |
| 3-Methylxanthine | 166.05 | 6.66 | n.a | n.a | 8.09 | 0.006 |
| 1-Methyluric acid | 182.04 | 6.68 | n.a | n.a | 4.96 | 0.010 |
| 2-Keto-glutaramic acid | 145.04 | 1.56 | n.a | n.a | 2.95 | 0.010 |
| N2,N2-Dimethylguanosine | 311.12 | 7.31 | n.a | n.a | 3.12 | 0.010 |
| Leu-Leu | 244.18 | 14.54 | n.a | n.a | 0.28 | 0.018 |
| Pro-Leu | 228.15 | 8.54 | n.a | n.a | 3.06 | 0.018 |
| Ala-Leu | 202.13 | 7.32 | n.a | n.a | 3.33 | 0.018 |
| 9,11alpha-epoxypregn-4-ene-3,20-dione | 328.20 | 11.31 | n.a | n.a | 2.51 | 0.018 |
| Cys-Trp | 307.10 | 11.42 | n.a | n.a | 2.43 | 0.018 |
| Formiminoglutamic acid | 174.06 | 2.019 | n.a | n.a | 2.09 | 0.026 |
| Trp-Phe | 351.16 | 19.58 | n.a | n.a | 0.43 | 0.040 |
| Guanidinosuccinic acid | 175.06 | 1.65 | n.a | n.a | 2.21 | 0.040 |
| Metabolomics—RP negative ionization mode | ||||||
| Indole-3-acryloylglycine | 244.08 | 11.70 | 5.21 | 0.002 | 17.05 | 0.006 |
| N-Phenylacetylglutamic acid | 265.09 | 9.90 | 4.54 | 0.007 | 13.14 | 0.040 |
| 4-Hydroxyprolylleucine | 244.14 | 9.18 | 2.82 | 0.009 | n.a | n.a |
| Homovanillic acid 4-sulfate | 262.01 | 7.85 | 4.09 | 0.046 | n.a | n.a |
| Gluconic acid | 196.06 | 7.76 | 2.78 | 0.046 | n.a | n.a |
| Indoleacetyl glutamine | 303.12 | 9.74 | 2.77 | 0.046 | 10.16 | 0.003 |
| 3-indole carboxylic acid glucuronide | 337.08 | 10.00 | n.a | n.a | 4.95 | 0.003 |
| Indoxyl glucuronide | 309.08 | 8.97 | n.a | n.a | 6.90 | 0.010 |
| Trp-Phe | 351.16 | 19.58 | n.a | n.a | 0.43 | 0.010 |
| 11beta-Hydroxyandrosterone-3-glucuronide | 482.25 | 12.12 | n.a | n.a | 5.97 | 0.018 |
| Tetrahydroaldosterone-3-glucuronide | 540.26 | 11.42 | n.a | n.a | 3.00 | 0.018 |
| Asp-Phe | 280.11 | 9.88 | n.a | n.a | 7.12 | 0.026 |
| Deoxycholic Acid | 392.29 | 16.47 | n.a | n.a | 0.16 | 0.026 |
| 3,17-Androstanediol glucuronide | 468.27 | 14.35 | n.a | n.a | 3.90 | 0.040 |
| LPE 18:0 | 481.32 | 18.60 | n.a | n.a | 0.39 | 0.040 |
| S-Adenosylhomocysteine | 384.12 | 7.52 | n.a | n.a | 2.22 | 0.040 |
| Lipidomics—RP positive ionization mode | ||||||
| CAR 9:0 | 301.23 | 1.53 | 2.20 | 0.019 | 3.05 | 0.001 |
| Lipidomics—HILIC positive ionization mode | ||||||
| CAR 17:1 | 411.33 | 7.45 | 0.38 | 0.019 | n.a | n.a |
| LPE 16:1 | 451.27 | 10.50 | 0.38 | 0.035 | n.a | n.a |
| CAR 9:0 | 301.23 | 8.07 | n.a | n.a | 3.11 | 0.001 |
| CAR 11:2 | 325.23 | 8.22 | n.a | n.a | 4.45 | 0.004 |
| CAR 16:0 | 399.33 | 7.50 | n.a | n.a | 2.54 | 0.037 |
| SPB 18:0;O2 | 301.3 | 10.23 | n.a | n.a | 2.65 | 0.048 |
| CAR 14:0 | 371.30 | 7.65 | n.a | n.a | 2.13 | 0.048 |
Disclaimer/Publisher’s Note: The statements, opinions and data contained in all publications are solely those of the individual author(s) and contributor(s) and not of MDPI and/or the editor(s). MDPI and/or the editor(s) disclaim responsibility for any injury to people or property resulting from any ideas, methods, instructions or products referred to in the content. |
© 2024 by the authors. Licensee MDPI, Basel, Switzerland. This article is an open access article distributed under the terms and conditions of the Creative Commons Attribution (CC BY) license (https://creativecommons.org/licenses/by/4.0/).
Share and Cite
Warmuzińska, N.; Łuczykowski, K.; Stryjak, I.; Wojtal, E.; Woderska-Jasińska, A.; Masztalerz, M.; Włodarczyk, Z.; Bojko, B. Metabolomic and Lipidomic Profiling for Pre-Transplant Assessment of Delayed Graft Function Risk Using Chemical Biopsy with Microextraction Probes. Int. J. Mol. Sci. 2024, 25, 13502. https://doi.org/10.3390/ijms252413502
Warmuzińska N, Łuczykowski K, Stryjak I, Wojtal E, Woderska-Jasińska A, Masztalerz M, Włodarczyk Z, Bojko B. Metabolomic and Lipidomic Profiling for Pre-Transplant Assessment of Delayed Graft Function Risk Using Chemical Biopsy with Microextraction Probes. International Journal of Molecular Sciences. 2024; 25(24):13502. https://doi.org/10.3390/ijms252413502
Chicago/Turabian StyleWarmuzińska, Natalia, Kamil Łuczykowski, Iga Stryjak, Emilia Wojtal, Aleksandra Woderska-Jasińska, Marek Masztalerz, Zbigniew Włodarczyk, and Barbara Bojko. 2024. "Metabolomic and Lipidomic Profiling for Pre-Transplant Assessment of Delayed Graft Function Risk Using Chemical Biopsy with Microextraction Probes" International Journal of Molecular Sciences 25, no. 24: 13502. https://doi.org/10.3390/ijms252413502
APA StyleWarmuzińska, N., Łuczykowski, K., Stryjak, I., Wojtal, E., Woderska-Jasińska, A., Masztalerz, M., Włodarczyk, Z., & Bojko, B. (2024). Metabolomic and Lipidomic Profiling for Pre-Transplant Assessment of Delayed Graft Function Risk Using Chemical Biopsy with Microextraction Probes. International Journal of Molecular Sciences, 25(24), 13502. https://doi.org/10.3390/ijms252413502

