Exploring the Interplay of Gut Microbiota and Systemic Inflammation in Pediatric Obstructive Sleep Apnea Syndrome and Its Impact on Blood Pressure Status: A Cross-Sectional Study
Abstract
1. Introduction
2. Results
2.1. Participant Characteristics
2.2. Differences in Participant Characteristics and Polysomnography Parameters Across Three BP Groups
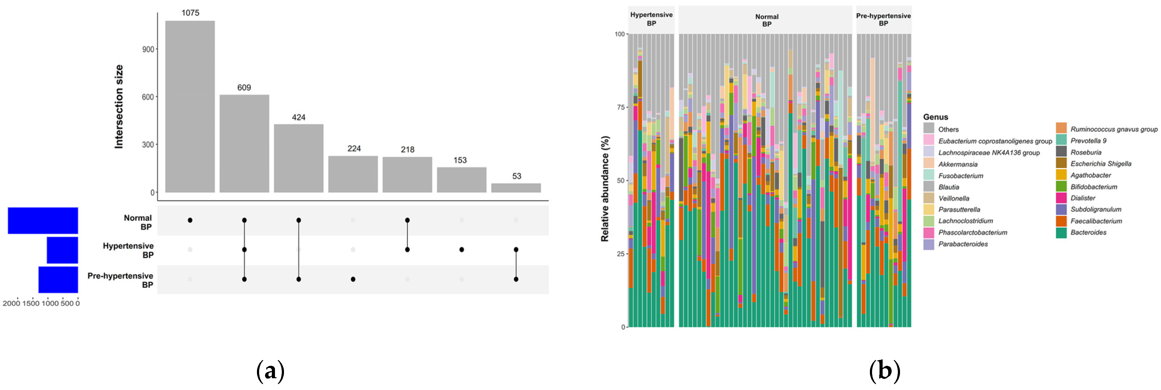
2.3. Differences in Gut Microbiota Across Three BP Groups
2.4. Associations of Specific Gut Microbial Species with Participant Characteristics and Polysomnography Parameters
2.5. Differences in Serum Inflammation Biomarkers Across Three BP Groups
2.6. Associations Between Specific Gut Microbial Species and Serum Inflammation Biomarkers
3. Discussion
3.1. Acinetobacter and Hypertension: The Role of IL-17 and TNF-α
3.2. Gut Microbiota and Their Hypertension-Related Metabolites
| Gut Microbiota | Classification | Possible Mechanism | Effect on BP in Human |
|---|---|---|---|
| Prehypertensive BP | |||
| Genus | |||
| Coprococcus 1 | Gram-positive anaerobes | SCFA butyrate-related BP regulation [49] | Elevation in collegiate athletes with hypertension [44] |
| Erysipelotrichaceae UCG-003 | Gram-positive anaerobes | Modulation of lipid metabolism and immune–inflammatory response [52] | Elevation in patients with hypertension [45] |
| Roseburia | Gram-positive anaerobes | SCFA butyrate-related BP regulation [50] | Elevation in patients with hypertension [46] |
| Johnsonella | Gram-negative anaerobes | Modulation of high salt diet response and immune–inflammatory response [53] | Reduction in humans with high salt intake induced high BP [53] |
| Lactobacillus | Gram-positive, aerotolerant anaerobes | Modulation of lipid cholesterol metabolism, immune–inflammatory response, oxidative stress response, GM-derived metabolites such as TMAO and SCFAs [55] | Reduction in patients with borderline hypertension [54] |
| Species | |||
| Bacteroides coprocola DSM 17136 | Gram-negative anaerobes | SCFA-related BP regulation [56] | Elevation in patients with hypertension [56] |
| Streptococcus gallolyticus subsp. macedonicus | Gram-positive facultative anaerobes | SCFA butyrate-related BP regulation [71] | Unknown |
| Prevotella pallens | Gram-negative anaerobes | Modulation of immune–inflammatory response [72] | Unknown |
| Bacteroides coprocola DSM 17136 | Gram-negative anaerobes | SCFA-related BP regulation [56] | Elevation in patients with hypertension [56] |
| Streptococcus gallolyticus subsp. macedonicus | Gram-positive facultative anaerobes | SCFA butyrate-related BP regulation [71] | Unknown |
| Hypertensive BP | |||
| Genus | |||
| Eubacterium ruminantium group | Gram-positive anaerobes | SCFA butyrate-related BP regulation [51] | Elevation in patients with hypertensive disorder in pregnancy [47] |
| Enterococcus | Gram-positive facultative anaerobes | SCFA butyrate-related BP regulation, modulation of oxalate metabolism [51] | Elevation in patients with hypertension [48] |
| Acinetobacter | Gram-negative anaerobes | Modulation of immune–inflammatory response, GM-derived LPS [34] | Elevation in peripheral blood in patients with hypertension [36] |
| Klebsiella | Gram-negative facultative anaerobes | Modulation of immune–inflammatory response, GM-derived stearoyl ethanolamide [57] | Elevation in patients with hypertension [62] |
| Paraprevotella | Gram-negative anaerobes | Modulation of high salt diet response and immune–inflammatory response [58] | Elevation in patients with hypertension [63] |
| Serratia | Gram-negative facultative anaerobes | Modulation of immune–inflammatory response, GM-derived LPS and toxins [59] | Elevation in peripheral blood in patients with hypertension [64] |
| Aeromonas | Gram-negative facultative anaerobes | Modulation of immune–inflammatory response, GM-derived LPS and toxins [65] | Unknown; pathogens in human [68] |
| Bombella | Gram-negative aerobes | Modulation of immune–inflammatory response and oxidative stress response [60] | Unknown |
| Gilliamella | Gram-negative microaerophilic genus | Modulation of oxidative stress response [61] | Unknown |
| Snodgrassella | Gram-negative microaerophilic genus | Modulation of immune–inflammatory response and oxidative stress response [61] | Unknown |
| Species | |||
| Lactobacillus aviarius | Gram-positive, aerotolerant anaerobes | Modulation of lipid cholesterol metabolism, immune–inflammatory response, oxidative stress response, GM-derived metabolites such as TMAO and SCFAs [55] | Unknown |
| Lactobacillus salivarius | Gram-positive, aerotolerant anaerobes | Modulation of lipid cholesterol metabolism, immune–inflammatory response, oxidative stress response, GM-derived metabolites such as TMAO and SCFAs [55] | Unknown |
| Aeromonas veronii | Gram-negative facultative anaerobes | Modulation of immune–inflammatory response, GM-derived LPS and toxins [65] | Unknown; pathogens in human [69] |
| Klebsiella variicola | Gram-negative facultative anaerobes | Modulation of immune–inflammatory response [66] | Unknown |
| Serratia marcescens | Gram-negative facultative anaerobes | Modulation of immune–inflammatory response, GM-derived LPS and toxins [67] | Unknown; pathogens in human [70] |
3.3. Study Limitations
4. Materials and Methods
4.1. Study Design and Participants
4.2. BP Measurement and Categorization
4.3. Polysomnography
4.4. Fecal and Serum Sample Collection
4.5. Fecal 16S rRNA Sequencing and Gut Microbiota Species Analysis
4.6. Hypertension-Related Serum Inflammation Biomarker Measurement
4.7. Outcome Variables
4.8. Statistical Analysis
5. Conclusions
Author Contributions
Funding
Institutional Review Board Statement
Informed Consent Statement
Data Availability Statement
Acknowledgments
Conflicts of Interest
Abbreviations
| AHI | Apnea–hypopnea index |
| AI | Apnea index |
| ANR | Adenoidal–nasopharyngeal ratio |
| ArI | Arousal index |
| BMI | Body mass index |
| BP | Blood pressure |
| IQR | Interquartile ranges |
| IL | Interleukin |
| LDA | Linear discriminant analysis |
| LEfSe | Linear discriminant analysis effect size |
| LPS | Lipopolysaccharides |
| MANOVA | Multivariate analysis of variance |
| OSAS | Obstructive sleep apnea syndrome |
| OTU | Operational taxonomic unit |
| SpO2 | Peripheral oxygen saturation |
| TNF-α | Tumor necrosis factor-α |
References
- Marcus, C.L.; Brooks, L.J.; Draper, K.A.; Gozal, D.; Halbower, A.C.; Jones, J.; Schechter, M.S.; Sheldon, S.H.; Spruyt, K.; Ward, S.D.; et al. Diagnosis and management of childhood obstructive sleep apnea syndrome. Pediatrics 2012, 130, 576–584. [Google Scholar] [CrossRef] [PubMed]
- Li, Z.; Celestin, J.; Lockey, R.F. Pediatric sleep apnea syndrome: An update. J. Allergy Clin. Immunol. Pract. 2016, 4, 852–861. [Google Scholar] [CrossRef]
- Lu, C.T.; Li, H.Y.; Lee, G.S.; Huang, Y.S.; Huang, C.G.; Chen, N.H.; Lee, L.A. Snoring sound energy as a potential biomarker for disease severity and surgical response in childhood obstructive sleep apnoea: A pilot study. Clin. Otolaryngol. 2019, 44, 47–52. [Google Scholar] [CrossRef] [PubMed]
- Mehdipour, A.; Fateh, R.; Fuladvand, F.; Aghaali, M.; Keykha, E.; Hadilou, M. Association between sleep pattern, salivary cariogenic bacteria and fungi populations, pH and buffering capacity in children: A comparative study. Dent. Med. Probl. 2024, 61, 217–224. [Google Scholar] [CrossRef] [PubMed]
- Solano-Perez, E.; Coso, C.; Castillo-Garcia, M.; Romero-Peralta, S.; Lopez-Monzoni, S.; Lavina, E.; Cano-Pumarega, I.; Sanchez-de-la-Torre, M.; Garcia-Rio, F.; Mediano, O. Diagnosis and Treatment of Sleep Apnea in Children: A Future Perspective Is Needed. Biomedicines 2023, 11, 1708. [Google Scholar] [CrossRef]
- Bitners, A.C.; Arens, R. Evaluation and management of children with obstructive sleep apnea syndrome. Lung 2020, 198, 257–270. [Google Scholar] [CrossRef]
- Chuang, H.H.; Lin, R.H.; Hsu, J.F.; Chuang, L.P.; Li, H.Y.; Fang, T.J.; Huang, Y.S.; Yang, A.C.; Lee, G.S.; Kuo, T.B.J.; et al. Dietary profile of pediatric obstructive sleep apnea patients, effects of routine educational counseling, and predictors for outcomes. Front. Public Health 2023, 11, 1160647. [Google Scholar] [CrossRef]
- Flynn, J.T.; Kaelber, D.C.; Baker-Smith, C.M.; Blowey, D.; Carroll, A.E.; Daniels, S.R.; de Ferranti, S.D.; Dionne, J.M.; Falkner, B.; Flinn, S.K.; et al. Clinical practice guideline for screening and management of high blood pressure in children and adolescents. Pediatrics 2017, 140, e20171904. [Google Scholar] [CrossRef]
- Falla, C.; Young, A.; Pope, A.; O’Driscoll, D.M. Obstructive sleep apnea during REM sleep: Effects on morning and evening blood pressure. Sleep 2023, 46, zsac259. [Google Scholar] [CrossRef]
- Ai, S.; Li, Z.; Wang, S.; Chen, S.; Chan, J.W.; Au, C.T.; Bao, Y.; Li, A.M.; Zhang, J.; Chan, K.C.; et al. Blood pressure and childhood obstructive sleep apnea: A systematic review and meta-analysis. Sleep Med. Rev. 2022, 65, 101663. [Google Scholar] [CrossRef]
- Chuang, H.H.; Hsu, J.F.; Wang, C.Y.; Chuang, L.P.; Chen, M.C.; Chen, N.H.; Huang, Y.S.; Li, H.Y.; Lee, L.A. Hypertension in children with obstructive sleep apnea syndrome-age, weight status, and disease severity. Int. J. Environ. Res. Public Health 2021, 18, 9602. [Google Scholar] [CrossRef] [PubMed]
- Reboussin, D.M.; Allen, N.B.; Griswold, M.E.; Guallar, E.; Hong, Y.; Lackland, D.T.; Miller, E.P.R., 3rd; Polonsky, T.; Thompson-Paul, A.M.; Vupputuri, S. Systematic review for the 2017 ACC/AHA/AAPA/ABC/ACPM/AGS/APhA/ASH/ASPC/NMA/PCNA guideline for the prevention, detection, evaluation, and management of high blood pressure in adults: A report of the American College of Cardiology/American Heart Association Task Force on clinical practice guidelines. Circulation 2018, 138, e595–e616. [Google Scholar] [CrossRef] [PubMed]
- Hsieh, H.S.; Chuang, H.H.; Hsin, L.J.; Lin, W.N.; Kang, C.J.; Zhuo, M.Y.; Chuang, L.P.; Huang, Y.S.; Li, H.Y.; Fang, T.J.; et al. Effect of preoperative weight status and disease presentation on postoperative elevated blood pressure after childhood adenotonsillectomy. Otolaryngol. Head Neck Surg. 2023, 168, 1197–1208. [Google Scholar] [CrossRef]
- Nocera, E.; Connolly, H. Pediatric obstructive sleep apnea syndrome and hypertension. Prog. Pediatr. Cardiol. 2023, 68, 101619. [Google Scholar] [CrossRef]
- Hsu, C.N.; Lu, P.C.; Hou, C.Y.; Tain, Y.L. Blood pressure abnormalities associated with gut microbiota-derived short chain fatty acids in children with congenital anomalies of the kidney and urinary tract. J. Clin. Med. 2019, 8, 1090. [Google Scholar] [CrossRef] [PubMed]
- da Silva, L.; Assuncao, W.G.; Bento, V.A.A.; Sachi, V.P.; Colombo, F.E.; Ique, M.M.A.; Faria, B.M.A.; Bertoz, A.P.M. Assessment of the gut microbiota of children with obstructive sleep apnea syndrome: A systematic review. Sleep Med. 2024, 120, 56–64. [Google Scholar] [CrossRef]
- Schloss, P.D.; Gevers, D.; Westcott, S.L. Reducing the effects of PCR amplification and sequencing artifacts on 16S rRNA-based studies. PLoS ONE 2011, 6, e27310. [Google Scholar] [CrossRef]
- Mumby, P.J. Beta and habitat diversity in marine systems: A new approach to measurement, scaling and interpretation. Oecologia 2001, 128, 274–280. [Google Scholar] [CrossRef]
- Li, J.; Zhao, F.; Wang, Y.; Chen, J.; Tao, J.; Tian, G.; Wu, S.; Liu, W.; Cui, Q.; Geng, B.; et al. Gut microbiota dysbiosis contributes to the development of hypertension. Microbiome 2017, 5, 14. [Google Scholar] [CrossRef]
- Lin, Y.; Wu, S.H.; Wang, X.H.; Zhang, W.; Li, B.G.; Liu, W.S. Associations of imbalance of intestinal flora with severity of disease, inflammatory factors, adiponectin, and vascular endothelial function of hypertension patients. Kaohsiung J. Med. Sci. 2022, 38, 165–173. [Google Scholar] [CrossRef]
- Zhang, X.; Zhang, H.; Li, S.; Fang, F.; Yin, Y.; Wang, Q. Recent progresses in gut microbiome mediates obstructive sleep apnea-induced cardiovascular diseases. FASEB Bioadv. 2024, 6, 118–130. [Google Scholar] [CrossRef] [PubMed]
- Zhao, M.; Chu, J.; Feng, S.; Guo, C.; Xue, B.; He, K.; Li, L. Immunological mechanisms of inflammatory diseases caused by gut microbiota dysbiosis: A review. Biomed. Pharmacother. 2023, 164, 114985. [Google Scholar] [CrossRef] [PubMed]
- Schupack, D.A.; Mars, R.A.T.; Voelker, D.H.; Abeykoon, J.P.; Kashyap, P.C. The promise of the gut microbiome as part of individualized treatment strategies. Nat. Rev. Gastroenterol. Hepatol. 2022, 19, 7–25. [Google Scholar] [CrossRef] [PubMed]
- Blaak, E.E.; Canfora, E.E.; Theis, S.; Frost, G.; Groen, A.K.; Mithieux, G.; Nauta, A.; Scott, K.; Stahl, B.; van Harsselaar, J.; et al. Short chain fatty acids in human gut and metabolic health. Benef. Microbes 2020, 11, 411–455. [Google Scholar] [CrossRef]
- Wen, Y.; Crowley, S.D. Renal effects of cytokines in hypertension. Curr. Opin. Nephrol. Hypertens. 2018, 27, 70–76. [Google Scholar] [CrossRef]
- Deussen, A.; Kopaliani, I. Targeting inflammation in hypertension. Curr. Opin. Nephrol. Hypertens. 2023, 32, 111–117. [Google Scholar] [CrossRef]
- Guzik, T.J.; Nosalski, R.; Maffia, P.; Drummond, G.R. Immune and inflammatory mechanisms in hypertension. Nat. Rev. Cardiol. 2024, 21, 396–416. [Google Scholar] [CrossRef]
- Chuang, H.H.; Huang, C.G.; Hsu, J.F.; Chuang, L.P.; Huang, Y.S.; Li, H.Y.; Lee, L.A. Weight Status, Autonomic Function, and Systemic Inflammation in Children with Obstructive Sleep Apnea. Int. J. Mol. Sci. 2024, 25, 8951. [Google Scholar] [CrossRef]
- Kanclerska, J.; Wieckiewicz, M.; Nowacki, D.; Szymanska-Chabowska, A.; Poreba, R.; Mazur, G.; Martynowicz, H. Sleep architecture and vitamin D in hypertensives with obstructive sleep apnea: A polysomnographic study. Dent. Med. Probl. 2024, 61, 43–52. [Google Scholar] [CrossRef]
- Gao, B.; Chi, L.; Zhu, Y.; Shi, X.; Tu, P.; Li, B.; Yin, J.; Gao, N.; Shen, W.; Schnabl, B. An introduction to next generation sequencing bioinformatic analysis in gut microbiome studies. Biomolecules 2021, 11, 530. [Google Scholar] [CrossRef]
- Chuang, H.-H.; Huang, C.-G.; Chou, S.-H.; Li, H.-Y.; Lee, C.-C.; Lee, L.-A. Comparative analysis of gut microbiota in children with obstructive sleep apnea: Assessing the efficacy of 16S rRNA gene sequencing in metabolic function prediction based on weight status. Front. Endocrinol. 2024, 15, 1344152. [Google Scholar] [CrossRef] [PubMed]
- Parte, A.C.; Sarda Carbasse, J.; Meier-Kolthoff, J.P.; Reimer, L.C.; Goker, M. List of Prokaryotic names with Standing in Nomenclature (LPSN) moves to the DSMZ. Int. J. Syst. Evol. Microbiol. 2020, 70, 5607–5612. [Google Scholar] [CrossRef] [PubMed]
- Brady, M.F.; Jamal, Z.; Pervin, N. Acinetobacter. In StatPearls; Treasure Island (FL) Ineligible Companies; Disclosure: Zohaib Jamal Declares no Relevant Financial Relationships with Ineligible Companies; Disclosure: Najwa Pervin Declares no Relevant Financial Relationships with Ineligible Companies; StatPearls Publishing: St. Petersburg, FL, USA, 2024. [Google Scholar]
- Lee, C.R.; Lee, J.H.; Park, M.; Park, K.S.; Bae, I.K.; Kim, Y.B.; Cha, C.J.; Jeong, B.C.; Lee, S.H. Biology of Acinetobacter baumannii: Pathogenesis, antibiotic resistance mechanisms, and prospective treatment options. Front. Cell Infect. Microbiol. 2017, 7, 55. [Google Scholar] [CrossRef] [PubMed]
- Cui, X.; Ye, L.; Li, J.; Jin, L.; Wang, W.; Li, S.; Bao, M.; Wu, S.; Li, L.; Geng, B.; et al. Metagenomic and metabolomic analyses unveil dysbiosis of gut microbiota in chronic heart failure patients. Sci. Rep. 2018, 8, 635. [Google Scholar] [CrossRef] [PubMed]
- Jing, Y.; Zhou, H.; Lu, H.; Chen, X.; Zhou, L.; Zhang, J.; Wu, J.; Dong, C. Associations between peripheral blood microbiome and the risk of hypertension. Am. J. Hypertens. 2021, 34, 1064–1070. [Google Scholar] [CrossRef] [PubMed]
- Yan, Z.; Yang, J.; Hu, R.; Hu, X.; Chen, K. Acinetobacter baumannii infection and IL-17 mediated immunity. Mediat. Inflamm. 2016, 2016, 9834020. [Google Scholar] [CrossRef] [PubMed]
- Kikuchi-Ueda, T.; Kamoshida, G.; Ubagai, T.; Nakano, R.; Nakano, A.; Akuta, T.; Hikosaka, K.; Tansho-Nagakawa, S.; Kikuchi, H.; Ono, Y. The TNF-alpha of mast cells induces pro-inflammatory responses during infection with Acinetobacter baumannii. Immunobiology 2017, 222, 1025–1034. [Google Scholar] [CrossRef]
- Davis, G.K.; Fehrenbach, D.J.; Madhur, M.S. Interleukin 17A: Key player in the pathogenesis of hypertension and a potential therapeutic target. Curr. Hypertens. Rep. 2021, 23, 13. [Google Scholar] [CrossRef]
- Crorkin, P.; Hao, S.; Ferreri, N.R. Responses to Ang II (Angiotensin II), Salt Intake, and Lipopolysaccharide Reveal the Diverse Actions of TNF-alpha (Tumor Necrosis Factor-alpha) on Blood Pressure and Renal Function. Hypertension 2022, 79, 2656–2670. [Google Scholar] [CrossRef] [PubMed]
- Yang, Z.; Wang, Q.; Liu, Y.; Wang, L.; Ge, Z.; Li, Z.; Feng, S.; Wu, C. Gut microbiota and hypertension: Association, mechanisms and treatment. Clin. Exp. Hypertens. 2023, 45, 2195135. [Google Scholar] [CrossRef]
- Santisteban, M.M.; Qi, Y.; Zubcevic, J.; Kim, S.; Yang, T.; Shenoy, V.; Cole-Jeffrey, C.T.; Lobaton, G.O.; Stewart, D.C.; Rubiano, A.; et al. Hypertension-Linked Pathophysiological Alterations in the Gut. Circ. Res. 2017, 120, 312–323. [Google Scholar] [CrossRef] [PubMed]
- Verhaar, B.J.H.; Prodan, A.; Nieuwdorp, M.; Muller, M. Gut microbiota in hypertension and atherosclerosis: A review. Nutrients 2020, 12, 2982. [Google Scholar] [CrossRef] [PubMed]
- Hogue, T.; Hampton-Marcell, J.; Carroll, I.M.; Purdom, T.; Colleran, H.; Exford, T.J.; Brown, M.; Cook, M.D. Gut microbiota are differentially correlated with blood pressure status in African American collegiate athletes: A pilot study. Physiol. Rep. 2024, 12, e15982. [Google Scholar] [CrossRef] [PubMed]
- Louca, P.; Nogal, A.; Wells, P.M.; Asnicar, F.; Wolf, J.; Steves, C.J.; Spector, T.D.; Segata, N.; Berry, S.E.; Valdes, A.M.; et al. Gut microbiome diversity and composition is associated with hypertension in women. J. Hypertens. 2021, 39, 1810–1816. [Google Scholar] [CrossRef]
- Verhaar, B.J.H.; Wijdeveld, M.; Wortelboer, K.; Rampanelli, E.; Levels, J.H.M.; Collard, D.; Cammenga, M.; Nageswaran, V.; Haghikia, A.; Landmesser, U.; et al. Effects of Oral Butyrate on Blood Pressure in Patients With Hypertension: A Randomized, Placebo-Controlled Trial. Hypertension 2024, 81, 2124–2136. [Google Scholar] [CrossRef]
- Wu, X.; Li, Q.; Lin, D.; Cai, J.; Huang, H.; Tan, H. Gut microbiota and hypertensive disorders in pregnancy: Evidence from the Mendelian randomization study. Aging 2023, 15, 9105–9127. [Google Scholar] [CrossRef]
- Cai, M.; Lin, L.; Jiang, F.; Peng, Y.; Li, S.; Chen, L.; Lin, Y. Gut microbiota changes in patients with hypertension: A systematic review and meta-analysis. J. Clin. Hypertens. 2023, 25, 1053–1068. [Google Scholar] [CrossRef]
- Yan, D.; Sun, Y.; Zhou, X.; Si, W.; Liu, J.; Li, M.; Wu, M. Regulatory effect of gut microbes on blood pressure. Anim. Models Exp. Med. 2022, 5, 513–531. [Google Scholar] [CrossRef]
- Tamanai-Shacoori, Z.; Smida, I.; Bousarghin, L.; Loreal, O.; Meuric, V.; Fong, S.B.; Bonnaure-Mallet, M.; Jolivet-Gougeon, A. Roseburia spp.: A marker of health? Future Microbiol. 2017, 12, 157–170. [Google Scholar] [CrossRef]
- Cookson, T.A. Bacterial-induced blood pressure reduction: Mechanisms for the treatment of hypertension via the gut. Front. Cardiovasc. Med. 2021, 8, 721393. [Google Scholar] [CrossRef]
- Kaakoush, N.O. Insights into the role of Erysipelotrichaceae in the human host. Front. Cell Infect. Microbiol. 2015, 5, 84. [Google Scholar] [CrossRef] [PubMed]
- Wilck, N.; Matus, M.G.; Kearney, S.M.; Olesen, S.W.; Forslund, K.; Bartolomaeus, H.; Haase, S.; Mahler, A.; Balogh, A.; Marko, L.; et al. Salt-responsive gut commensal modulates T(H)17 axis and disease. Nature 2017, 551, 585–589. [Google Scholar] [CrossRef] [PubMed]
- Liu, J.; Zhang, D.; Guo, Y.; Cai, H.; Liu, K.; He, Y.; Liu, Y.; Guo, L. The effect of Lactobacillus consumption on human blood pressure: A systematic review and meta-analysis of randomized controlled trials. Complement. Ther. Med. 2020, 54, 102547. [Google Scholar] [CrossRef] [PubMed]
- Zhao, X.; Zhong, X.; Liu, X.; Wang, X.; Gao, X. Therapeutic and improving function of Lactobacilli in the prevention and treatment of cardiovascular-related diseases: A novel perspective from gut microbiota. Front. Nutr. 2021, 8, 693412. [Google Scholar] [CrossRef] [PubMed]
- Calderon-Perez, L.; Gosalbes, M.J.; Yuste, S.; Valls, R.M.; Pedret, A.; Llaurado, E.; Jimenez-Hernandez, N.; Artacho, A.; Pla-Paga, L.; Companys, J.; et al. Gut metagenomic and short chain fatty acids signature in hypertension: A cross-sectional study. Sci. Rep. 2020, 10, 6436. [Google Scholar] [CrossRef]
- Li, J.; Gao, Q.; Ma, Y.; Deng, Y.; Li, S.; Shi, N.; Niu, H.; Liu, X.Y.; Cai, J. Causality of opportunistic pathogen Klebsiella pneumoniae to hypertension development. Hypertension 2022, 79, 2743–2754. [Google Scholar] [CrossRef]
- Ou-Yang, Y.N.; Yuan, M.D.; Yang, Z.M.; Min, Z.; Jin, Y.X.; Tian, Z.M. Revealing the pathogenesis of salt-sensitive hypertension in Dahl salt-sensitive rats through integrated multi-omics analysis. Metabolites 2022, 12, 1076. [Google Scholar] [CrossRef]
- Ishii, K.; Adachi, T.; Imamura, K.; Takano, S.; Usui, K.; Suzuki, K.; Hamamoto, H.; Watanabe, T.; Sekimizu, K. Serratia marcescens induces apoptotic cell death in host immune cells via a lipopolysaccharide- and flagella-dependent mechanism. J. Biol. Chem. 2012, 287, 36582–36592. [Google Scholar] [CrossRef]
- Wang, H.; Lei, L.; Chen, W.; Chi, X.; Han, K.; Wang, Y.; Ma, L.; Liu, Z.; Xu, B. The comparison of antioxidant performance, immune performance, IIS activity and gut Mmcrobiota composition between queen and worker bees revealed the mechanism of different lifespan of female casts in the honeybee. Insects 2022, 13, 772. [Google Scholar] [CrossRef]
- Zhang, Z.; Guo, Y.; Yang, F.; Li, J. Pan-Genome Analysis Reveals Functional Divergences in Gut-Restricted Gilliamella and Snodgrassella. Bioengineering 2022, 9, 544. [Google Scholar] [CrossRef]
- Yan, Q.; Gu, Y.; Li, X.; Yang, W.; Jia, L.; Chen, C.; Han, X.; Huang, Y.; Zhao, L.; Li, P.; et al. Alterations of the gut microbiome in hypertension. Front. Cell Infect. Microbiol. 2017, 7, 381. [Google Scholar] [CrossRef] [PubMed]
- Kang, G.; He, H.; Miao, H.; Zhang, T.; Meng, Z.; Li, X. Predictive value of gut microbiota in long-term blood pressure control: A cross-sectional study. Eur. J. Med. Res. 2023, 28, 115. [Google Scholar] [CrossRef] [PubMed]
- Wang, Y.; Wang, H.; Howard, A.G.; Tsilimigras, M.C.B.; Avery, C.L.; Meyer, K.A.; Sha, W.; Sun, S.; Zhang, J.; Su, C.; et al. Gut microbiota and host plasma metabolites in association with blood pressure in Chinese adults. Hypertension 2021, 77, 706–717. [Google Scholar] [CrossRef] [PubMed]
- Goncalves Pessoa, R.B.; de Oliveira, W.F.; Marques, D.S.C.; Dos Santos Correia, M.T.; de Carvalho, E.; Coelho, L. The genus Aeromonas: A general approach. Microb. Pathog. 2019, 130, 81–94. [Google Scholar] [CrossRef]
- Gong, J.; Yu, J.; Yin, S.; Ke, J.; Wu, J.; Liu, C.; Luo, Z.; Cheng, W.M.; Xie, Y.; Chen, Y.; et al. Mesenteric adipose tissue-derived Klebsiella variicola disrupts intestinal barrier and promotes colitis by type VI secretion system. Adv. Sci. 2023, 10, e2205272. [Google Scholar] [CrossRef]
- Kida, Y.; Inoue, H.; Shimizu, T.; Kuwano, K. Serratia marcescens serralysin induces inflammatory responses through protease-activated receptor 2. Infect. Immun. 2007, 75, 164–174. [Google Scholar] [CrossRef]
- Janda, J.M.; Abbott, S.L. The genus Aeromonas: Taxonomy, pathogenicity, and infection. Clin. Microbiol. Rev. 2010, 23, 35–73. [Google Scholar] [CrossRef]
- Lin, J.; Zhong, H.; Chen, Q.; Cui, L.; Xu, F.; Tang, F. Aeromonas veronii-associated endogenous endophthalmitis: A case report. J. Med. Case Rep. 2024, 18, 171. [Google Scholar] [CrossRef]
- Luttmann, K.; Starnes, V.R.; Haddad, M.; Duggan, J. Serratia marcescens, a rare and devastating cause of endocarditis: A case report and review of the literature. Cureus 2022, 14, e25572. [Google Scholar] [CrossRef]
- De Vuyst, L.; Tsakalidou, E. Streptococcus macedonicus, a multi-functional and promising species for dairy fermentations. Int. Dairy J. 2008, 18, 476–485. [Google Scholar] [CrossRef]
- Larsen, J.M. The immune response to Prevotella bacteria in chronic inflammatory disease. Immunology 2017, 151, 363–374. [Google Scholar] [CrossRef] [PubMed]
- Chuang, H.H.; Lee, L.A.; Chuang, L.P.; Li, H.Y.; Huang, Y.S.; Chou, S.H.; Lee, G.S.; Kuo, T.B.J.; Yang, C.C.H.; Huang, C.G. Alterations of Gut Microbiome Composition and Function Pre- and Post-Adenotonsillectomy in Children with Obstructive Sleep Apnea. J. Otolaryngol. Head Neck Surg. 2024, 53, 19160216241293070. [Google Scholar] [CrossRef] [PubMed]
- World Medical Association. World Medical Association Declaration of Helsinki: Ethical principles for medical research involving human subjects. JAMA 2013, 310, 2191–2194. [Google Scholar] [CrossRef] [PubMed]
- von Elm, E.; Altman, D.G.; Egger, M.; Pocock, S.J.; Gotzsche, P.C.; Vandenbroucke, J.P.; Initiative, S. The Strengthening the Reporting of Observational Studies in Epidemiology (STROBE) statement: Guidelines for reporting observational studies. PLoS Med. 2007, 4, e296. [Google Scholar] [CrossRef]
- Chuang, H.H.; Hsu, J.F.; Chuang, L.P.; Chiu, C.H.; Huang, Y.L.; Li, H.Y.; Chen, N.H.; Huang, Y.S.; Chuang, C.W.; Huang, C.G.; et al. Different associations between tonsil microbiome, chronic tonsillitis, and intermittent hypoxemia among obstructive sleep apnea children of different weight status: A pilot case-control Study. J. Pers. Med. 2021, 11, 486. [Google Scholar] [CrossRef]
- Kaditis, A.; Kheirandish-Gozal, L.; Gozal, D. Algorithm for the diagnosis and treatment of pediatric OSA: A proposal of two pediatric sleep centers. Sleep Med. 2012, 13, 217–227. [Google Scholar] [CrossRef]
- Chuang, H.H.; Huang, C.G.; Chuang, L.P.; Huang, Y.S.; Chen, N.H.; Li, H.Y.; Fang, T.J.; Hsu, J.F.; Lai, H.C.; Chen, J.Y.; et al. Relationships among and predictive values of obesity, inflammation markers, and disease severity in pediatric patients with obstructive sleepapnea before and after adenotonsillectomy. J. Clin. Med. 2020, 9, 579. [Google Scholar] [CrossRef]
- Huang, C.G.; Hsu, J.F.; Chuang, L.P.; Li, H.Y.; Fang, T.J.; Huang, Y.S.; Yang, A.C.; Lee, G.S.; Kuo, T.B.J.; Yang, C.C.H.; et al. Adenotonsillectomy-related changes in systemic inflammation among children with obstructive sleep apnea. J. Chin. Med. Assoc. 2023, 86, 596–605. [Google Scholar] [CrossRef]
- National High Blood Pressure Education Program Working Group on High Blood Pressure in Children and Adolescents. The fourth report on the diagnosis, evaluation, and treatment of high blood pressure in children and adolescents. Pediatrics 2004, 114, 555–576. [Google Scholar] [CrossRef]
- Chuang, H.H.; Cherng, W.J.; Lin, C.H.; Lee, L.A.; Hsu, K.H.; Lin, R.H. Physical fitness mediates and predicts for high blood pressure among children in relation to weight status. Front. Public Health 2023, 11, 1157351. [Google Scholar] [CrossRef]
- Brodsky, L. Modern assessment of tonsils and adenoids. Pediatr. Clin. N. Am. 1989, 36, 1551–1569. [Google Scholar] [CrossRef] [PubMed]
- Flynn, J.T.; Urbina, E.M.; Brady, T.M.; Baker-Smith, C.; Daniels, S.R.; Hayman, L.L.; Mitsnefes, M.; Tran, A.; Zachariah, J.P.; Atherosclerosis, H.; et al. Ambulatory blood pressure monitoring in children and adolescents: 2022 update: A scientific statement from the American Heart Association. Hypertension 2022, 79, e114–e124. [Google Scholar] [CrossRef] [PubMed]
- Berry, R.B.; Budhiraja, R.; Gottlieb, D.J.; Gozal, D.; Iber, C.; Kapur, V.K.; Marcus, C.L.; Mehra, R.; Parthasarathy, S.; Quan, S.F.; et al. Rules for scoring respiratory events in sleep: Update of the 2007 AASM Manual for the Scoring of Sleep and Associated Events. Deliberations of the Sleep Apnea Definitions Task Force of the American Academy of Sleep Medicine. J. Clin. Sleep Med. 2012, 8, 597–619. [Google Scholar] [CrossRef] [PubMed]
- Lee, L.A.; Chuang, H.H.; Hsieh, H.S.; Wang, C.Y.; Chuang, L.P.; Li, H.Y.; Fang, T.J.; Huang, Y.S.; Lee, G.S.; Yang, A.C.; et al. Using sleep heart rate variability to investigate the sleep quality in children with obstructive sleep apnea. Front. Public Health 2023, 11, 1103085. [Google Scholar] [CrossRef] [PubMed]
- Mukherjee, C.; Beall, C.J.; Griffen, A.L.; Leys, E.J. High-resolution ISR amplicon sequencing reveals personalized oral microbiome. Microbiome 2018, 6, 153. [Google Scholar] [CrossRef]
- Magoc, T.; Salzberg, S.L. FLASH: Fast length adjustment of short reads to improve genome assemblies. Bioinformatics 2011, 27, 2957–2963. [Google Scholar] [CrossRef]
- Caporaso, J.G.; Kuczynski, J.; Stombaugh, J.; Bittinger, K.; Bushman, F.D.; Costello, E.K.; Fierer, N.; Pena, A.G.; Goodrich, J.K.; Gordon, J.I.; et al. QIIME allows analysis of high-throughput community sequencing data. Nat. Methods 2010, 7, 335–336. [Google Scholar] [CrossRef]
- Edgar, R.C.; Haas, B.J.; Clemente, J.C.; Quince, C.; Knight, R. UCHIME improves sensitivity and speed of chimera detection. Bioinformatics 2011, 27, 2194–2200. [Google Scholar] [CrossRef]
- Edgar, R.C. UPARSE: Highly accurate OTU sequences from microbial amplicon reads. Nat. Methods 2013, 10, 996–998. [Google Scholar] [CrossRef]
- Glöckner, F.O. The SILVA Database Project: An ELIXIR core data resource for high-quality ribosomal RNA sequences. Biodivers. Inf. Sci. Stand. 2019, 3, e36125. [Google Scholar] [CrossRef]
- Caporaso, J.G.; Bittinger, K.; Bushman, F.D.; DeSantis, T.Z.; Andersen, G.L.; Knight, R. PyNAST: A flexible tool for aligning sequences to a template alignment. Bioinformatics 2010, 26, 266–267. [Google Scholar] [CrossRef] [PubMed]
- Liu, C.; Cui, Y.; Li, X.; Yao, M. Microeco: An R package for data mining in microbial community ecology. FEMS Microbiol. Ecol. 2021, 97, fiaa255. [Google Scholar] [CrossRef] [PubMed]
- Lee, L.A.; Chuang, H.H.; Chuang, L.P.; Li, H.Y.; Huang, Y.S.; Chou, S.H.; Lee, G.S.; Kuo, T.B.J.; Yang, C.C.H.; Huang, C.G. 16S rRNA-Based Gut Microbiome Data of Children with Obstructive Sleep Apnea from Taiwan. 2023. Available online: https://figshare.com/articles/dataset/16S_rRNA-based_gut_microbiome_data_of_children_with_obstructive_sleep_apnea_from_Taiwan/22775159 (accessed on 8 December 2024).







| Variables | Normotensive BP Group | Pre-Hypertensive BP Group | Hypertensive BP Group | p-Value a |
|---|---|---|---|---|
| Clinical characteristics | ||||
| Subjects (girls/boys) | 38 (12/26) | 12 (1/11) | 10 (0/10) | 0.045 |
| Age, years | 6 (6–9) | 8 (6–10) | 8 (5–11) | 0.42 |
| Body weight, kg | 24.4 (19.9–39.3) | 28.5 (22.0–42.1) | 32.5 (23.0–71.9) | 0.30 |
| Body height, cm | 123 (110–131) | 124 (113–140) | 134 (113–155) | 0.35 |
| Body mass index, kg/m2 | 16.0 (15.2–21.9) | 18.2 (16.2–22.9) | 20.9 (15.0–30.2) | 0.39 |
| Systolic BP, mmHg | 99 (89–106) b | 111 (105–115) b | 131 (117–138) b | <0.001 |
| Diastolic BP, mmHg | 61 (58–65) b | 70 (64–75) b | 78 (74–88) b | <0.001 |
| Polysomnographic measures | ||||
| Apnea–hypopnea index, events/h | 8.5 (4.0–17.7) | 6.4 (4.1–16.9) | 20.1 (4.4–26.1) | 0.38 |
| Apnea index, events/h | 2.9 (1.3–5.3) | 1.2 (0.5–2.9) | 1.6 (0.9–2.3) | 0.07 |
| Arousal index, events/h | 9.0 (7.1–16.6) | 14.1 (7.6–17.3) | 13.3 (9.4–23.6) | 0.20 |
| Mean SpO2, % | 97 (97–98) | 98 (97–98) | 97 (96–98) | 0.10 |
| Minimum, SpO2, % | 90 (86–92) | 90 (83–92) | 87 (83–91) | 0.61 |
| Variables | Normotensive BP Group | Pre-Hypertensive BP Group | Hypertensive BP Group | p-Value a |
|---|---|---|---|---|
| Chao1 index, mean (median) | 378 (286–680) | 400 (301–443) | 378 (238–461) | 0.85 |
| ACE index, mean (median) | 366 (267–732) | 404 (308–453) | 372 (246–461) | 0.75 |
| Shannon index, mean (median) | 3.56 (2.89–3.62) | 3.48 (3.00–3.87) | 3.42 (2.94–3.92) | 0.43 |
| Simpson index, mean (median) | 0.91 (0.86–0.93) | 0.91 (0.87–0.95) | 0.92 (0.89–0.95) | 0.55 |
| Good’s coverage index, %, mean (median) | 0.99 (0.98–0.99) | 0.99 (0.99–0.99) | 0.99 (0.99–0.99) | 0.87 |
| Variables | Normotensive BP Group | Pre-Hypertensive BP Group | Hypertensive BP Group | p-Value a |
|---|---|---|---|---|
| IL-1β, pg/mL | 0.72 (0.27–1.46) | 0.22 (0.06–1.26) | 0.29 (0.14–0.42) | 0.09 |
| IL-6, pg/mL | 1.45 (0.68–2.36) | 0.92 (0.17–1.58) | 1.27 (0.87–4.42) | 0.17 |
| IL-7, pg/mL | 7.55 (4.21–10.23) | 5.56(1.72–9.64) | 3.49 (1.72–9.64) | 0.33 |
| IL-10, pg/mL | 0.39 (0.30–0.51) | 0.51 (0.39–0.51) | 0.39 (0.39–0.53) | 0.72 |
| IL-15, pg/mL | 33.78 (7.79–66.01) | 33.78 (15.97–33.78) | 20.79 (7.79–40.48) | 0.73 |
| IL-17, pg/mL | 18.40 (9.97–26.97) b | 5.20 (2.06–20.17) b | 11.88 (3.84–15.53) | 0.01 |
| Interferon-γ, pg/mL | 3.45 (1.93–10.09) | 2.46 (0.90–6.95) | 2.32 (0.55–6.19) | 0.24 |
| TNF-α, pg/mL | 41.65 (33.70–62.59) | 30.68 (20.85–59.98) | 34.50 (30.20–38.22) | 0.04 |
Disclaimer/Publisher’s Note: The statements, opinions and data contained in all publications are solely those of the individual author(s) and contributor(s) and not of MDPI and/or the editor(s). MDPI and/or the editor(s) disclaim responsibility for any injury to people or property resulting from any ideas, methods, instructions or products referred to in the content. |
© 2024 by the authors. Licensee MDPI, Basel, Switzerland. This article is an open access article distributed under the terms and conditions of the Creative Commons Attribution (CC BY) license (https://creativecommons.org/licenses/by/4.0/).
Share and Cite
Huang, C.-G.; Lin, W.-N.; Hsin, L.-J.; Fang, T.-J.; Li, H.-Y.; Lee, C.-C.; Lee, L.-A. Exploring the Interplay of Gut Microbiota and Systemic Inflammation in Pediatric Obstructive Sleep Apnea Syndrome and Its Impact on Blood Pressure Status: A Cross-Sectional Study. Int. J. Mol. Sci. 2024, 25, 13344. https://doi.org/10.3390/ijms252413344
Huang C-G, Lin W-N, Hsin L-J, Fang T-J, Li H-Y, Lee C-C, Lee L-A. Exploring the Interplay of Gut Microbiota and Systemic Inflammation in Pediatric Obstructive Sleep Apnea Syndrome and Its Impact on Blood Pressure Status: A Cross-Sectional Study. International Journal of Molecular Sciences. 2024; 25(24):13344. https://doi.org/10.3390/ijms252413344
Chicago/Turabian StyleHuang, Chung-Guei, Wan-Ni Lin, Li-Jen Hsin, Tuan-Jen Fang, Hsueh-Yu Li, Chin-Chia Lee, and Li-Ang Lee. 2024. "Exploring the Interplay of Gut Microbiota and Systemic Inflammation in Pediatric Obstructive Sleep Apnea Syndrome and Its Impact on Blood Pressure Status: A Cross-Sectional Study" International Journal of Molecular Sciences 25, no. 24: 13344. https://doi.org/10.3390/ijms252413344
APA StyleHuang, C.-G., Lin, W.-N., Hsin, L.-J., Fang, T.-J., Li, H.-Y., Lee, C.-C., & Lee, L.-A. (2024). Exploring the Interplay of Gut Microbiota and Systemic Inflammation in Pediatric Obstructive Sleep Apnea Syndrome and Its Impact on Blood Pressure Status: A Cross-Sectional Study. International Journal of Molecular Sciences, 25(24), 13344. https://doi.org/10.3390/ijms252413344

