Mitochondrial Function and Oxidative Stress Biomarkers in Diabetic Retinopathy Development: An Analytical Cross-Sectional Study
Abstract
1. Introduction
2. Results
2.1. Clinical Parameters
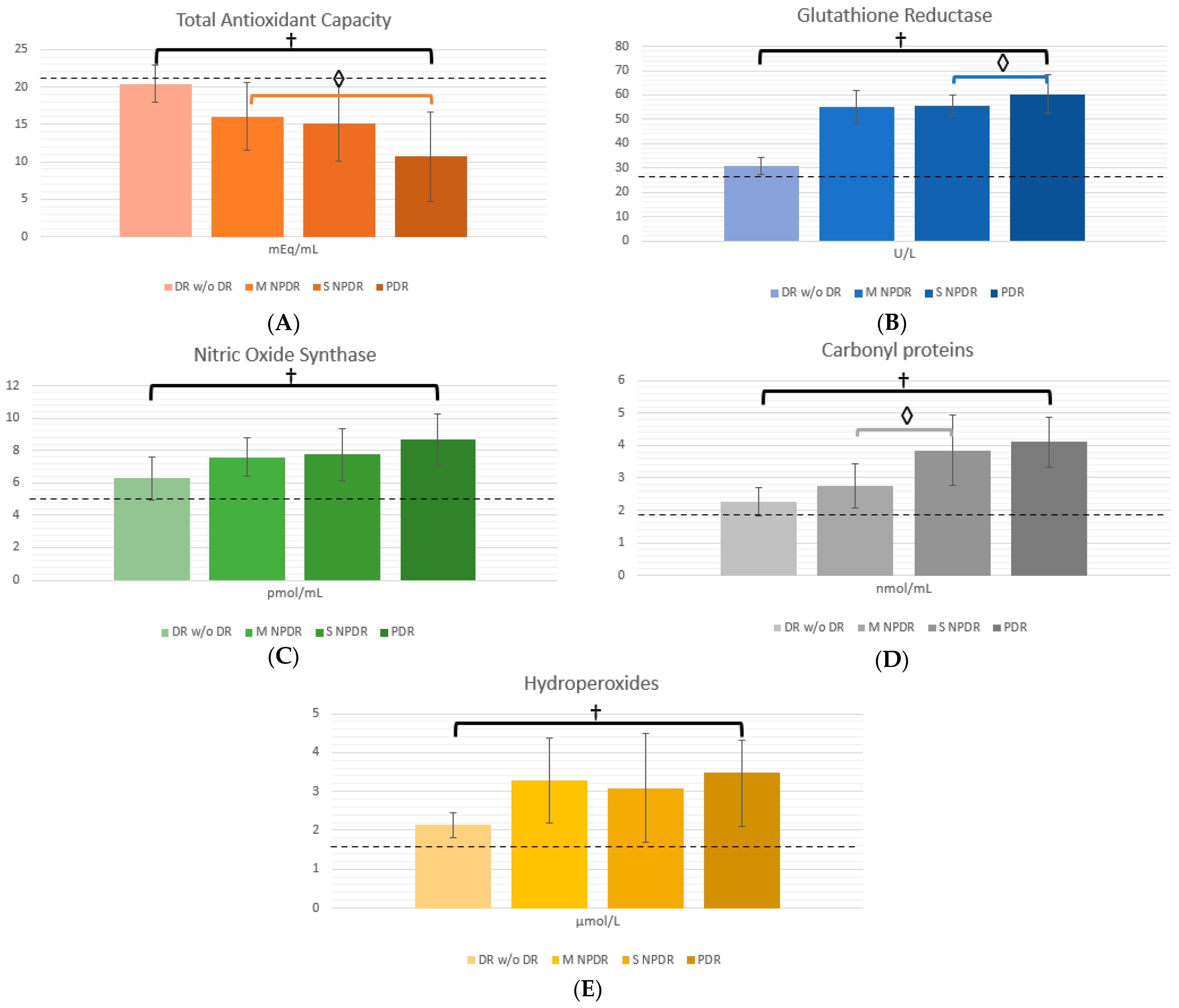
2.2. Oxidative Stress and Mitochondrial Function Biomarkers
3. Discussion
3.1. Clinical and Ophthalmological Parameters
3.2. Oxidative Stress Biomarkers
3.2.1. Antioxidant Biomarkers
3.2.2. Oxidant Biomarkers: OS in DR Can Be Evaluated Though Several Approaches and Metabolic Pathways, Affecting Lipids and Cellular Membranes, Vasculature, and Proteins, to Name a Few
3.3. Mitochondrial Function Biomarkers
4. Materials and Methods
4.1. Study Population
- -
- Signed informed consent;
- -
- 18–75 years of age;
- -
- Men or women with Moderate or Severe NPDR, without clinically significant macular edema;
- -
- Men or women with PDR, without clinically significant macular edema.
- -
- Consumption of antioxidant supplements within 6 months of prior enrollment;
- -
- History of severe cardiovascular disease;
- -
- History of blood dyscrasias;
- -
- History of cancer or neoplasia;
- -
- History of liver or kidney disease;
- -
- Pregnancy or lactation;
- -
- Other ocular disease (glaucoma, cataract, corneal dystrophy, or macular degeneration);
- -
- Participation in another clinical trial.
4.2. Sample Size Calculation
4.3. Data Collection
4.3.1. Basic Information
4.3.2. Physical and Ophthalmological Examination
4.4. Laboratory Tests
4.4.1. Biochemical Parameters
- -
- Metabolic parameters: Glycated hemoglobin (HbA1c), fasting blood glucose, Total Cholesterol (CT), High-Density Lipoprotein Cholesterol (HDL), Low-Density Lipoprotein Cholesterol (LDL), and Triglycerides.
- -
- Kidney health: Creatinine (Cr), Urea, Uric Acid, and estimated Glomerular Filtration Rate (eGFR).
- -
- Liver health: Aspartate transaminase (AST), Alanine transaminase (ALT), and Total Bilirubin (TB).
4.4.2. Mitochondrial Function Biomarkers Methodology
4.4.3. Oxidative Stress Biomarkers
4.5. Statistical Analysis
5. Conclusions
Author Contributions
Funding
Institutional Review Board Statement
Informed Consent Statement
Data Availability Statement
Conflicts of Interest
References
- Sun, H.; Saeedi, P.; Karuranga, S.; Pinkepank, M.; Ogurtsova, K.; Duncan, B.B.; Stein, C.; Basit, A.; Chan, J.C.; Mbanya, J.C.; et al. IDF Diabetes Atlas: Global, regional and country-level diabetes prevalence estimates for 2021 and projections for 2045. Diabetes Res. Clin. Pract. 2022, 183, 109119. [Google Scholar] [CrossRef] [PubMed]
- Kowluru, R.A.; Chan, P.S. Oxidative stress and diabetic retinopathy. Exp. Diabetes Res. 2007, 2007, 43603. [Google Scholar] [CrossRef] [PubMed]
- Teo, Z.L.; Tham, Y.-C.; Yu, M.; Chee, M.L.; Rim, T.H.; Cheung, N.; Bikbov, M.M.; Wang, Y.X.; Tang, Y.; Lu, Y.; et al. Global Prevalence of Diabetic Retinopathy and Projection of Burden through 2045: Systematic Review and Meta-analysis. Ophthalmology 2021, 128, 1580–1591. [Google Scholar] [CrossRef] [PubMed]
- Rector, D.M.; Yao, X.; Harper, R.M.; George, J.S. Frontiers in Neuroscience In Vivo Observations of Rapid Scattered Light Changes Associated with Neurophysiological Activity. In In Vivo Optical Imaging of Brain Function; Frostig, R.D., Ed.; CRC Press/Taylor & Francis Group, LLC.: Boca Raton, FL, USA, 2009. [Google Scholar]
- Cecilia, O.-M.; Alberto, C.-G.J.; José, N.-P.; Germán, C.-M.E.; Karen, L.-C.A.; Miguel, R.-P.L.; Raúl, R.-R.R.; Daniel, R.-C.A. Oxidative Stress as the Main Target in Diabetic Retinopathy Pathophysiology. J. Diabetes Res. 2019, 2019, 8562408. [Google Scholar] [CrossRef] [PubMed]
- Heng, L.Z.; Comyn, O.; Peto, T.; Tadros, C.; Ng, E.; Sivaprasad, S.; Hykin, P.G. Diabetic retinopathy: Pathogenesis, clinical grading, management and future developments. Diabet. Med. 2013, 30, 640–650. [Google Scholar] [CrossRef]
- Fraser, C.E.; D’Amico, D.J. Diabetic retinopathy: Classification and clinical features. J. Clin. Anal. 2020, 3, 242–256. [Google Scholar]
- Wu, M.-Y.; Yiang, G.-T.; Lai, T.-T.; Li, C.-J. The Oxidative Stress and Mitochondrial Dysfunction during the Pathogenesis of Diabetic Retinopathy. Oxidative Med. Cell. Longev. 2018, 2018, 3420187. [Google Scholar] [CrossRef]
- Sivitz, W.I.; Yorek, M.A. Mitochondrial dysfunction in diabetes: From molecular mechanisms to functional significance and therapeutic opportunities. Antioxid. Redox Signal. 2010, 12, 537–577. [Google Scholar] [CrossRef]
- Rovira-Llopis, S.; Bañuls, C.; Diaz-Morales, N.; Hernandez-Mijares, A.; Rocha, M.; Victor, V.M. Mitochondrial dynamics in type 2 diabetes: Pathophysiological implications. Redox Biol. 2017, 11, 637–645. [Google Scholar] [CrossRef]
- Kowluru, R.A.; Mishra, M. Therapeutic targets for altering mitochondrial dysfunction associated with diabetic retinopathy. Expert Opin. Ther. Targets 2018, 22, 233–245. [Google Scholar] [CrossRef]
- Chiu, Y.-H.; Lin, S.-C.A.; Kuo, C.-H.; Li, C.-J. Molecular Machinery and Pathophysiology of Mitochondrial Dynamics. Front. Cell Dev. Biol. 2021, 9, 743892. [Google Scholar] [CrossRef] [PubMed]
- Holzerová, E.; Prokisch, H. Mitochondria: Much ado about nothing? How dangerous is reactive oxygen species production? Int. J. Biochem. Cell. Biol. 2015, 63, 16–20. [Google Scholar] [CrossRef] [PubMed]
- Prasun, P. Mitochondrial dysfunction in metabolic syndrome. Biochim. Biophys. Acta Mol. Basis Dis. 2020, 1866, 165838. [Google Scholar] [CrossRef] [PubMed]
- Bhatti, J.S.; Bhatti, G.K.; Reddy, P.H. Mitochondrial dysfunction and oxidative stress in metabolic disorders—A step towards mitochondria based therapeutic strategies. Biochim. Biophys. Acta Mol. Basis Dis. 2017, 1863, 1066–1077. [Google Scholar] [CrossRef] [PubMed]
- Amorim, J.A.; Coppotelli, G.; Rolo, A.P.; Palmeira, C.M.; Ross, J.M.; Sinclair, D.A. Mitochondrial and metabolic dysfunction in ageing and age-related diseases. Nat. Rev. Endocrinol. 2022, 18, 243–258. [Google Scholar] [CrossRef]
- Kern, T.S.; Barber, A.J. Retinal ganglion cells in diabetes. J. Physiol. 2008, 586, 4401–4408. [Google Scholar] [CrossRef]
- Smith, R.L.; Sivaprasad, S.; Chong, V. Retinal Biochemistry, Physiology and Cell Biology. Dev. Ophthalmol. 2016, 55, 18–27. [Google Scholar]
- Ruan, Y.; Jiang, S.; Musayeva, A.; Gericke, A. Oxidative Stress and Vascular Dysfunction in the Retina: Therapeutic Strategies. Antioxidants 2020, 9, 761. [Google Scholar] [CrossRef]
- Rodríguez, M.L.; Pérez, S.; Mena-Mollá, S.; Desco, M.C.; Ortega, Á.L. Oxidative Stress and Microvascular Alterations in Diabetic Retinopathy: Future Therapies. Oxid. Med. Cell Longev. 2019, 2019, 4940825. [Google Scholar] [CrossRef]
- Altomare, E.; Grattagliano, I.; Vendemaile, G.; Micelli-Ferrari, T.; Signorile, A.; Cardia, L. Oxidative protein damage in human diabetic eye: Evidence of a retinal participation. Eur. J. Clin. Investig. 1997, 27, 141–147. [Google Scholar] [CrossRef]
- Sies, H. (Ed.) 1-Oxidative Stress: Introductory Remarks. In Oxidative Stress; Academic Press: London, UK, 1985; pp. 1–8. [Google Scholar]
- Sies, H. Oxidative stress: A concept in redox biology and medicine. Redox Biol. 2015, 4, 180–183. [Google Scholar] [CrossRef] [PubMed]
- Sahajpal, N.S.; Goel, R.K.; Chaubey, A.; Aurora, R.; Jain, S.K. Pathological Perturbations in Diabetic Retinopathy: Hyperglycemia, AGEs, Oxidative Stress and Inflammatory Pathways. Curr. Protein Pept. Sci. 2019, 20, 92–110. [Google Scholar] [CrossRef] [PubMed]
- Cai, J.; Boulton, M. The pathogenesis of diabetic retinopathy: Old concepts and new questions. Eye 2002, 16, 242–260. [Google Scholar] [CrossRef] [PubMed]
- Jomova, K.; Raptova, R.; Alomar, S.Y.; Alwasel, S.H.; Nepovimova, E.; Kuca, K.; Valko, M. Reactive oxygen species, toxicity, oxidative stress, and antioxidants: Chronic diseases and aging. Arch. Toxicol. 2023, 97, 2499–2574. [Google Scholar] [CrossRef] [PubMed]
- Li, C.; Miao, X.; Li, F.; Wang, S.; Liu, Q.; Wang, Y.; Sun, J. Oxidative Stress-Related Mechanisms and Antioxidant Therapy in Diabetic Retinopathy. Oxid. Med. Cell Longev. 2017, 2017, 9702820. [Google Scholar] [CrossRef]
- Tangvarasittichai, O.; Tangvarasittichai, S. Oxidative Stress, Ocular Disease and Diabetes Retinopathy. Curr. Pharm. Des. 2018, 24, 4726–4741. [Google Scholar] [CrossRef]
- Kowluru, R.A.; Mishra, M. Oxidative stress, mitochondrial damage and diabetic retinopathy. Biochim. Biophys. Acta 2015, 1852, 2474–2483. [Google Scholar] [CrossRef]
- Amoaku, W.M.; Ghanchi, F.; Bailey, C.; Banerjee, S.; Banerjee, S.; Downey, L.; Gale, R.; Hamilton, R.; Khunti, K.; Posner, E.; et al. Diabetic retinopathy and diabetic macular oedema pathways and management: UK Consensus Working Group. Eye 2020, 34 (Suppl. 1), 1–51. [Google Scholar] [CrossRef]
- Al-Shabrawey, M.; Smith, S. Prediction of diabetic retinopathy: Role of oxidative stress and relevance of apoptotic biomarkers. EPMA J. 2010, 1, 56–72. [Google Scholar] [CrossRef]
- Marrocco, I.; Altieri, F.; Peluso, I. Measurement and Clinical Significance of Biomarkers of Oxidative Stress in Humans. Oxidative Med. Cell. Longev. 2017, 2017, 6501046. [Google Scholar] [CrossRef]
- López-Contreras, A.K.; Martínez-Ruiz, M.G.; Olvera-Montaño, C.; Robles-Rivera, R.R.; Arévalo-Simental, D.E.; Castellanos-González, J.A.; Hernández-Chávez, A.; Huerta-Olvera, S.G.; Cardona-Muñoz, E.G.; Rodríguez-Carrizalez, A.D. Importance of the Use of Oxidative Stress Biomarkers and Inflammatory Profile in Aqueous and Vitreous Humor in Diabetic Retinopathy. Antioxidants 2020, 9, 891. [Google Scholar] [CrossRef] [PubMed]
- Roig-Revert, M.J.; Lleó-Pérez, A.; Zanón-Moreno, V.; Vivar-Llopis, B.; Marín-Montiel, J.; Dolz-Marco, R.; Alonso-Muñoz, L.; Albert-Fort, M.; López-Gálvez, M.I.; Galarreta-Mira, D.; et al. Enhanced Oxidative Stress and Other Potential Biomarkers for Retinopathy in Type 2 Diabetics: Beneficial Effects of the Nutraceutic Supplements. Biomed. Res. Int. 2015, 2015, 408180. [Google Scholar] [CrossRef] [PubMed]
- Bigagli, E.; Lodovici, M. Circulating Oxidative Stress. Biomarkers in Clinical Studies on Type 2 Diabetes and Its Complications. Oxidative Med. Cell. Longev. 2019, 2019, 5953685. [Google Scholar]
- Jenkins, A.J.; Joglekar, M.V.; Hardikar, A.A.; Keech, A.C.; O’Neal, D.N.; Januszewski, A.S. Biomarkers in Diabetic Retinopathy. Rev. Diabet. Stud. 2015, 12, 159–195. [Google Scholar] [CrossRef]
- American Diabetes Association. 11. Microvascular Complications and Foot Care: Standards of Medical Care in Diabetes—2021. Diabetes Care 2021, 44 (Suppl. 1), S151. [Google Scholar] [CrossRef] [PubMed]
- Lem, D.W.; Gierhart, D.L.; Davey, P.G. A Systematic Review of Carotenoids in the Management of Diabetic Retinopathy. Nutrients 2021, 13, 2441. [Google Scholar] [CrossRef] [PubMed]
- Sadikan, M.Z.; Nasir, N.A.A. Diabetic retinopathy: Emerging concepts of current and potential therapy. Naunyn Schmiedebergs Arch. Pharmacol. 2023, 396, 3395–3406. [Google Scholar] [CrossRef]
- Robles-Rivera, R.R.; Castellanos-González, J.A.; Olvera-Montaño, C.; Flores-Martin, R.A.; López-Contrer, A.K.; Arevalo-Simental, D.E.; Cardona-Muñoz, E.G.; Roman-Pintos, L.M.; Rodríguez-Carrizalez, A.D. Adjuvant Therapies in Diabetic Retinopathy as an Early Approach to Delay Its Progression: The Importance of Oxidative Stress and Inflammation. Oxidative Med. Cell. Longev. 2020, 2020, 3096470. [Google Scholar] [CrossRef]
- Yin, L.; Zhang, D.; Ren, Q.; Su, X.; Sun, Z. Prevalence and risk factors of diabetic retinopathy in diabetic patients: A community based cross-sectional study. Medicine 2020, 99, e19236. [Google Scholar] [CrossRef]
- Chew, E.Y. Persistent Effects of Intensive Glycemic Control on Retinopathy in Type 2 Diabetes in the Action to Control Cardiovascular Risk in Diabetes (ACCORD) Follow-On Study. Diabetes Care 2016, 39, 1089–1100. [Google Scholar]
- Eid, S.; Sas, K.M.; Abcouwer, S.F.; Feldman, E.L.; Gardner, T.W.; Pennathur, S.; Fort, P.E. New insights into the mechanisms of diabetic complications: Role of lipids and lipid metabolism. Diabetologia 2019, 62, 1539–1549. [Google Scholar] [CrossRef] [PubMed]
- Lupión Durán, T.; García-Ben, A.; Méndez, V.R.; Alcázar, L.G.; García-Ben, E.; García-Campos, J.M. Study of visual acuity and contrast sensitivity in diabetic patients with and without non-proliferative diabetic retinopathy. Int. Ophthalmol. 2021, 41, 3587–3592. [Google Scholar] [CrossRef] [PubMed]
- Liu, L.; Quang, N.D.; Banu, R.; Kumar, H.; Tham, Y.-C.; Cheng, C.-Y.; Wong, T.Y.; Sabanayagam, C. Hypertension, blood pressure control and diabetic retinopathy in a large population-based study. PLoS ONE 2020, 15, e0229665. [Google Scholar] [CrossRef] [PubMed]
- Saini, D.C.; Kochar, A.; Poonia, R. Clinical correlation of diabetic retinopathy with nephropathy and neuropathy. Indian. J. Ophthalmol. 2021, 69, 3364–3368. [Google Scholar] [CrossRef]
- Yao, X.; Pei, X.; Fan, S.; Yang, X.; Yang, Y.; Li, Z. Relationship between renal and liver function with diabetic retinopathy in patients with type 2 diabetes mellitus: A study based on cross-sectional data. Sci. Rep. 2022, 12, 9363. [Google Scholar] [CrossRef]
- Geng, T.; Zhu, K.; Lu, Q.; Wan, Z.; Chen, X.; Liu, L.; Pan, A.; Liu, G. Healthy lifestyle behaviors, mediating biomarkers, and risk of microvascular complications among individuals with type 2 diabetes: A cohort study. PLoS Med. 2023, 20, e1004135. [Google Scholar] [CrossRef]
- Cunha-Vaz, J.; Ribeiro, L.; Lobo, C. Phenotypes and biomarkers of diabetic retinopathy. Prog. Retin. Eye Res. 2014, 41, 90–111. [Google Scholar] [CrossRef]
- Fickweiler, W.; Mitzner, M.; Jacoba, C.M.P.; Sun, J.K. Circulatory Biomarkers and Diabetic Retinopathy in Racial and Ethnic Populations. Semin. Ophthalmol. 2023, 38, 446–456. [Google Scholar] [CrossRef]
- Apak, R.; Güçlü, K.; Özyürek, M.; Karademi˙r, S.E.; Altun, M. Total antioxidant capacity assay of human serum using copper(II)-neocuproine as chromogenic oxidant: The CUPRAC method. Free Radic. Res. 2005, 39, 949–961. [Google Scholar] [CrossRef]
- Andrés-Blasco, I.; Gallego-Martínez, A.; Machado, X.; Cruz-Espinosa, J.; Di Lauro, S.; Casaroli-Marano, R.; Alegre-Ituarte, V.; Arévalo, J.F.; Pinazo-Durán, M.D. Oxidative Stress, Inflammatory, Angiogenic, and Apoptotic molecules in Proliferative Diabetic Retinopathy and Diabetic Macular Edema Patients. Int. J. Mol. Sci. 2023, 24, 8227. [Google Scholar] [CrossRef]
- Rodríguez-Carrizalez, A.D.; Castellanos-González, J.A.; Martínez-Romero, E.C.; Miller-Arrevillaga, G.; Villa-Hernández, D.; Hernández-Godínez, P.P.; Ortiz, G.G.; Pacheco-Moisés, F.P.; Cardona-Muñoz, E.G.; Miranda-Díaz, A.G. Oxidants, antioxidants and mitochondrial function in non-proliferative diabetic retinopathy. J. Diabetes 2014, 6, 167–175. [Google Scholar] [CrossRef] [PubMed]
- Maritim, A.C.; Sanders, R.A.; Watkins, J.B., 3rd. Diabetes, oxidative stress and antioxidants: A review. J. Biochem. Mol. Toxicol. 2003, 17, 24–38. [Google Scholar] [CrossRef] [PubMed]
- Couto, N.; Wood, J.; Barber, J. The role of glutathione reductase and related enzymes on cellular redox homoeostasis network. Free Radic. Biol. Med. 2016, 95, 27–42. [Google Scholar] [CrossRef] [PubMed]
- Choudhuri, S.; Dutta, D.; Chowdhury, I.H.; Mitra, B.; Sen, A.; Mandal, L.K.; Mukhopadhyay, S.; Bhattacharya, B. Association of hyperglycemia mediated increased advanced glycation and erythrocyte antioxidant enzyme activity in different stages of diabetic retinopathy. Diabetes Res. Clin. Pract. 2013, 100, 376–384. [Google Scholar] [CrossRef]
- Kumawat, M.; Kharb, S.; Singh, V.; Singh, N.; Singh, S.K.; Nada, M. Plasma malondialdehyde (MDA) and anti-oxidant status in diabetic retinopathy. J. Indian. Med. Assoc. 2014, 112, 29–32. [Google Scholar]
- Alderton, W.K.; Cooper, C.E.; Knowles, R.G. Nitric oxide synthases: Structure, function and inhibition. Biochem. J. 2001, 357 Pt 3, 593–615. [Google Scholar] [CrossRef]
- Bahadoran, Z.; Mirmiran, P.; Ghasemi, A. Role of Nitric Oxide in Insulin Secretion and Glucose Metabolism. Trends Endocrinol. Metab. 2020, 31, 118–130. [Google Scholar] [CrossRef]
- Opatrilova, R.; Kubatka, P.; Caprnda, M.; Büsselberg, D.; Krasnik, V.; Vesely, P.; Saxena, S.; Ruia, S.; Mozos, I.; Rodrigo, L.; et al. Nitric oxide in the pathophysiology of retinopathy: Evidences from preclinical and clinical researches. Acta Ophthalmol. 2018, 96, 222–231. [Google Scholar] [CrossRef]
- Valko, M.; Morris, H.; Cronin, M.T. Metals, toxicity and oxidative stress. Curr. Med. Chem. 2005, 12, 1161–1208. [Google Scholar] [CrossRef]
- Zheng, L.; Kern, T.S. Role of nitric oxide, superoxide, peroxynitrite and PARP in diabetic retinopathy. Front. Biosci. 2009, 14, 3974–3987. [Google Scholar] [CrossRef]
- Gericke, A.; Buonfiglio, F. Physiological and Pathophysiological Relevance of Nitric Oxide Synthases (NOS) in Retinal Blood Vessels. Front. Biosci. 2024, 29, 190. [Google Scholar] [CrossRef] [PubMed]
- Brillante, D.G.; O’Sullivan, A.J.; Brillante, R.E.; Howes, L.G. Effects of cardiovascular angiotensin II type 1 receptor blockade on nitric oxide synthase inhibition in patients with insulin resistance syndrome. Blood Press. 2009, 18, 142–148. [Google Scholar] [CrossRef] [PubMed]
- Woodman, R.J.; Playford, D.A.; Watts, G.F. Basal production of nitric oxide (NO) and non-NO vasodilators in the forearm microcirculation in Type 2 diabetes: Associations with blood pressure and HDL cholesterol. Diabetes Res. Clin. Pract. 2006, 71, 59–67. [Google Scholar] [CrossRef] [PubMed]
- Farkas, K.; Sármán, B.; Jermendy, G.; Somogyi, A. Endothelial nitric oxide in diabetes mellitus: Too much or not enough? Diabetes Nutr. Metab. 2000, 13, 287–297. [Google Scholar] [PubMed]
- Twarda-Clapa, A.; Olczak, A.; Białkowska, A.M.; Koziołkiewicz, M. Advanced Glycation End-Products (AGEs): Formation, Chemistry, Classification, Receptors, and Diseases Related to AGEs. Cells 2022, 11, 1312. [Google Scholar] [CrossRef]
- Khalid, M.; Petroianu, G.; Adem, A. Advanced Glycation End Products and Diabetes Mellitus: Mechanisms and Perspectives. Biomolecules 2022, 12, 542. [Google Scholar] [CrossRef]
- Hecker, M.; Wagner, A.H. Role of protein carbonylation in diabetes. J. Inherit. Metab. Dis. 2018, 41, 29–38. [Google Scholar] [CrossRef]
- Konukoğlu, D.; Kemerli, G.D.; Sabuncu, T.; Hatemi, H.H. Protein carbonyl content in erythrocyte membranes in type 2 diabetic patients. Horm. Metab. Res. 2002, 34, 367–370. [Google Scholar] [CrossRef]
- Cakatay, U. Protein oxidation parameters in type 2 diabetic patients with good and poor glycaemic control. Diabetes Metab. 2005, 31, 551–557. [Google Scholar] [CrossRef]
- Rajendran, P.; Nandakumar, N.; Rengarajan, T.; Palaniswami, R.; Gnanadhas, E.N.; Lakshminarasaiah, U.; Gopas, J.; Nishigaki, I. Antioxidants and human diseases. Clin. Chim. Acta 2014, 436, 332–347. [Google Scholar] [CrossRef]
- Singh, A.; Kukreti, R.; Saso, L.; Kukreti, S. Mechanistic Insight into Oxidative Stress-Triggered Signaling Pathways and Type 2 Diabetes. Molecules 2022, 27, 950. [Google Scholar] [CrossRef] [PubMed]
- Hubens, W.H.G.; Vallbona-Garcia, A.; de Coo, I.; van Tienen, F.; Webers, C.; Smeets, H.; Gorgels, T. Blood biomarkers for assessment of mitochondrial dysfunction: An expert review. Mitochondrion 2022, 62, 187–204. [Google Scholar] [CrossRef]
- Wimalawansa, S.J. Vitamin D Deficiency: Effects on Oxidative Stress, Epigenetics, Gene Regulation, and Aging. Biology 2019, 8, 30. [Google Scholar] [CrossRef]
- Kowluru, R.A. Mitochondrial Stability in Diabetic Retinopathy: Lessons Learned From Epigenetics. Diabetes 2019, 68, 241–247. [Google Scholar] [CrossRef]
- Duraisamy, A.J.; Mohammad, G.; Kowluru, R.A. Mitochondrial fusion and maintenance of mitochondrial homeostasis in diabetic retinopathy. Biochim. Biophys. Acta Mol. Basis Dis. 2019, 1865, 1617–1626. [Google Scholar] [CrossRef]
- Miller, D.J.; Cascio, M.A.; Rosca, M.G. Diabetic Retinopathy: The Role of Mitochondria in the Neural Retina and Microvascular Disease. Antioxidants 2020, 9, 905. [Google Scholar] [CrossRef]
- Ofori, E.K.; Dziedzorm, W.; Buabeng, A.; Dogodzi, F.K.; Adusu-Donkor, L.X.; Bernard, S.K.; Amponsah, S.K.; Asare-Anane, H. Comparative Determination of Mitochondrial Biomarkers and Their Relationship With Insulin Resistance in Type 2 Diabetic Patients: An Observational Cross-Sectional Study. Endocrinol. Diabetes Metab. 2024, 7, e507. [Google Scholar] [CrossRef]
- Petersen, K.F.; Dufour, S.; Shulman, G.I. Decreased insulin-stimulated ATP synthesis and phosphate transport in muscle of insulin-resistant offspring of type 2 diabetic parents. PLoS Med. 2005, 2, e233. [Google Scholar] [CrossRef]
- Rabøl, R.; Boushel, R.; Dela, F. Mitochondrial oxidative function and type 2 diabetes. Appl. Physiol. Nutr. Metab. 2006, 31, 675–683. [Google Scholar] [CrossRef]
- Wilkinson, C.P.; Ferris, F.L.; E Klein, R.; Lee, P.P.; Agardh, C.D.; Davis, M.; Dills, D.; Kampik, A.; Pararajasegaram, R.; Verdaguer, J.T. Proposed international clinical diabetic retinopathy anddiabetic macular edema disease severity scales. Ophthalmology 2003, 110, 1677–1682. [Google Scholar] [CrossRef]
- Pourhoseingholi, M.A.; Vahedi, M.; Rahimzadeh, M. Sample size calculation in medical studies. Gastroenterol. Hepatol. Bed Bench 2013, 6, 14–17. [Google Scholar]
- Rottenberg, H.; Moreno-Sanchez, R. The proton pumping activity of H(+)-ATPases: An improved fluorescence assay. Biochim. Biophys. Acta 1993, 1183, 161–170. [Google Scholar] [CrossRef]
- Durak, I.; Oztürk, H.S.; Elgün, S.; Cimen, M.Y.; Yalcin, S. Erythrocyte nitric oxide metabolism in patients withchronic renal failure. Clin. Nephrol. 2001, 55, 460–464. [Google Scholar]
- Banerjee, D.; Madhusoodanan, U.K.; Sharanabasappa, M.; Ghosh, S.; Jacob, J. Measurement of plasma hydroperoxide concentration by FOX-1 assay in conjunction with triphenylphosphine. Clin. Chim. Acta 2003, 337, 147–152. [Google Scholar] [CrossRef]



| DM w/o DR n = 10 | M NPDR n = 12 | S NPDR n = 11 | PDR n = 9 | p | ||||
|---|---|---|---|---|---|---|---|---|
| KW * or X2 † | M NPDR vs. S NPDR | M NPDR vs. PDR | S NPDR vs. PDR | |||||
| Male n (%) | 5 (50%) | 3 (25) | 7 (63.63) | 8 (88.88) | 0.020 †◊ | 0.083 | 0.021 ◊ | 0.366 |
| Female n (%) | 5 (50%) | 9 (75) | 4 (36.36) | 1 (11.11) | ||||
| Age years ± SD | 41.2 ± 8.52 | 60.58 ± 5.35 | 66.09 ± 9.45 | 61.33 ± 7.59 | <0.001 *◊ | 0.174 | 0.643 | 0.238 |
| Smoking history n (%) | 0 (0%) | 4 (33.37) | 3 (27.28) | 2 (22.22) | 0.096 † | 0.933 | 0.86 | 0.83 |
| Hypertension n (%) | 0 (0%) | 7 (58.33) | 6 (54.54) | 8 (88.89) | 0.007 †◊ | 0.333 | 0.091 | 0.763 |
| Dyslipidemia n (%) | 0 (0%) | 3 (25) | 1 (9.09) | 1 (11.11) | 0.091 † | 0.736 | 0.763 | 0.564 |
| DM duration years ± SD | 7.55 ± 3.80 | 18.25 ± 4.11 | 21.45 ± 8.95 | 18.89 ± 12.70 | <0.001 *◊ | 0.174 | 0.887 | 0.492 |
| DR duration years ± SD | NA | 0.71 ± 1.76 | 3.00 ± 3.41 | 2 ± 2.60 | <0.001 *◊ | 0.093 | 0.289 | 0.488 |
| DM w/o DR n = 10 | M NPDR n = 12 | S NPDR n = 11 | PDR n = 9 | p | ||||
|---|---|---|---|---|---|---|---|---|
| KW | M NPDR vs. S NPDR | M NPDR vs. PDR | S NPDR vs. PDR | |||||
| Weight (kg) | 65.7 ± 13.49 | 69.39 ± 11.41 | 71.39 ± 8.39 | 78.04 ± 8.13 | 0.049 ◊ | 0.517 | 0.055 | 0.128 |
| BMI (kg/m2) | 22.34 ± 1.94 | 26.29 ± 2.27 | 27.23 ± 2.23 | 27.17 ± 1.97 | <0.001 ◊ | 0.156 | 0.200 | 0.676 |
| SBP (mmHg) | 118 ± 8.33 | 129.17 ± 10.03 | 129.36 ± 4.5 | 134.22 ± 4.99 | <0.001 ◊ | 0.403 | 0.116 | 0.033 ◊ |
| DBP (mmHg) | 74 ± 6.50 | 76.83 ± 4.90 | 77.82 ± 4.53 | 80.44 ± 3.81 | <0.001 ◊ | 0.578 | 0.114 | 0.420 |
| IOP (mmHg) OD | 15.7 ± 2.31 | 14.17 ± 1.85 | 14.67 ± 4.03 | 13.89 ± 1.36 | 0.208 | 0.998 | 0.942 | 0.964 |
| IOP (mmHg) OS | 15.1 ± 1.79 | 14.5 ± 1.98 | 14.89 ± 3.52 | 13.56 ± 1.51 | 0.054 | 0.855 | 0.315 | 0.445 |
| BCVA (LogMar) OD | 0.05 ± 0.11 | 0.20 ± 0.17 | 0.27 ± 0.23 | 0.68 ± 0.44 | <0.001 ◊ | 0.471 | 0.005 ◊ | 0.024 ◊ |
| BCVA (LogMar) OS | 0.07 ± 0.11 | 0.16 ± 0.11 | 0.28 ± 0.21 | 0.53 ± 0.29 | 0.006 ◊ | 0.133 | 0.006 ◊ | 0.032 ◊ |
| DM w/o DR n = 10 | M NPDR n = 12 | S NPDR n = 11 | PDR n = 9 | p | ||||
|---|---|---|---|---|---|---|---|---|
| KW | M NPDR vs. S NPDR | M NPDR vs. PDR | S NPDR vs. PDR | |||||
| HbA1c (%) | 5.37 ± 0.44 | 7.86 ± 0.41 | 8.04 ± 0.65 | 8.46 ± 0.38 | <0.001 ◊ | 0.205 | 0.005 ◊ | 0.136 |
| Glycemia (mg/dL) | 92.5 ± 4.74 | 147.92 ± 37.25 | 168.55 ± 68.01 | 123.22 ± 45.07 | <0.001 ◊ | 0.498 | 0.166 | 0.138 |
| Cr (mg/dL) | 0.78 ± 0.10 | 0.8 ± 0.13 | 0.89 ± 0.15 | 0.96 ± 0.08 | 0.011 ◊ | 0.109 | 0.004 ◊ | 0.238 |
| eGFR (mL/min/1.73 m2) | 104.87 ± 12.82 | 85.86 ± 15.78 | 78.85 ± 11.62 | 87.22 ± 12.63 | 0.002 ◊ | 0.268 | 0.434 | 0.102 |
| Urea (mg/dL) | 15.6 ± 6.22 | 29.63 ± 8.76 | 38.3 ± 13.05 | 32.10 ± 14.54 | <0.001 ◊ | 0.062 | 0.831 | 0.403 |
| UA (mg/dL) | 5.31 ± 0.94 | 4.1 ± 0.48 | 4.74 ± 1.21 | 6.05 ± 1.63 | 0.003 ◊ | 0.659 | 0.022 ◊ | 0.065 |
| AST (U/L) | 29.1 ± 9.71 | 25.95 ± 4.29 | 22.01 ± 3.71 | 23.98 ± 8.16 | 0.001 ◊ | 0.036 ◊ | 0.543 | 0.282 |
| ALT (U/L) | 19.8 ± 6.14 | 24.81 ± 7.50 | 20.05 ± 4.16 | 19.99 ± 5.91 | 0.004 ◊ | 0.057 | 0.186 | 0.758 |
| TB (mg/dL) | 0.88 ± 0.13 | 0.45 ± 0.10 | 0.47 ± 0.11 | 0.48 ± 0.13 | <0.001 ◊ | 0.392 | 0.616 | 0.844 |
| TC (mg/dL) | 122.1 ± 25.35 | 159.09 ± 20.02 | 170.36 ± 18.6 | 198.22 ± 25.62 | <0.001 ◊ | 0.094 | 0.001 ◊ | 0.025 |
| HDL (mg/dL) | 65..1 ± 8.26 | 43.58 ± 11.18 | 37.01 ± 10.4 | 34.33 ± 4.36 | <0.001 ◊ | 0.270 | 0.035 ◊ | 0.232 |
| LDL (mg/dL) | 51.9 ± 12.94 | 91.88 ± 18.4 | 98.55 ± 21.77 | 101.13 ± 10.41 | <0.001 ◊ | 0.468 | 0.166 | 0.870 |
| Trig (mg/dL) | 90.2 ± 14.45 | 175.73 ± 46.05 | 205.11 ± 35.48 | 217.00 ± 64.65 | <0.001 ◊ | 0.068 | 0.119 | 0.930 |
| DM w/o DR n = 10 | M NPDR n = 12 | S NPDR n = 11 | PDR n = 9 | p | ||||
|---|---|---|---|---|---|---|---|---|
| KW | M NPDR vs. S NPDR | M NPDR vs. PDR | S NPDR vs. PDR | |||||
| Oxidative Stress Biomarkers | ||||||||
| TAC (mEq/mL) | 20.42 ± 2.46 | 16.05 ± 4.46 | 15.18 ± 5.12 | 10.69 ± 5.95 | <0.001 ◊ | 0.580 | 0.033 ◊ | 0.053 |
| GR (U/L) | 30.98 ± 3.46 | 54.95 ± 6.71 | 59.25 ± 6.76 | 12.75 ± 4.25 | <0.001 ◊ | 0.142 | 0.116 | 0.024 ◊ |
| NOS (pmol/mL) | 6.28 ± 1.34 | 7.57 ± 1.18 | 7.74 ± 1.62 | 8.66 ± 0.52 | 0.002 ◊ | 0.781 | 0.102 | 0.216 |
| CARB (nmol/mL) | 2.27 ± 0.42 | 2.74 ± 0.67 | 3.85 ± 1.08 | 4.21 ± 1.07 | <0.001 ◊ | 0.034 ◊ | 0.208 | 0.237 |
| H2O2 (µM/L) | 2.13 ± 0.32 | 3.27 ± 1.09 | 3.21 ± 0.99 | 2.93 ± 0.78 | <0.001 ◊ | 0.878 | 0.425 | 0.511 |
| Mitochondrial Function Biomarkers | ||||||||
| ATPase (F0/F1-ATPasa) | 200.27 ± 14.37 | 257.50 ± 32.48 | 261.41 ± 33.80 | 310.83 ± 28.48 | <0.001 ◊ | 0.469 | 0.003 ◊ | 0.002 ◊ |
| ATP synthesis (nmol/min mg protein) | 130.13 ± 16.79 | 110.13 ± 14.38 | 108.32 ± 22.69 | 92.91 ± 27.59 | 0.001 ◊ | 0.665 | 0.318 | 0.198 |
Disclaimer/Publisher’s Note: The statements, opinions and data contained in all publications are solely those of the individual author(s) and contributor(s) and not of MDPI and/or the editor(s). MDPI and/or the editor(s) disclaim responsibility for any injury to people or property resulting from any ideas, methods, instructions or products referred to in the content. |
© 2024 by the authors. Licensee MDPI, Basel, Switzerland. This article is an open access article distributed under the terms and conditions of the Creative Commons Attribution (CC BY) license (https://creativecommons.org/licenses/by/4.0/).
Share and Cite
Robles-Rivera, R.R.; Pacheco-Moisés, F.P.; Olvera-Montaño, C.; Castellanos-González, J.A.; Barley-Villaseñor, A.L.; Cardona-Muñoz, E.G.; Rodríguez-Carrizalez, A.D. Mitochondrial Function and Oxidative Stress Biomarkers in Diabetic Retinopathy Development: An Analytical Cross-Sectional Study. Int. J. Mol. Sci. 2024, 25, 13084. https://doi.org/10.3390/ijms252313084
Robles-Rivera RR, Pacheco-Moisés FP, Olvera-Montaño C, Castellanos-González JA, Barley-Villaseñor AL, Cardona-Muñoz EG, Rodríguez-Carrizalez AD. Mitochondrial Function and Oxidative Stress Biomarkers in Diabetic Retinopathy Development: An Analytical Cross-Sectional Study. International Journal of Molecular Sciences. 2024; 25(23):13084. https://doi.org/10.3390/ijms252313084
Chicago/Turabian StyleRobles-Rivera, Ricardo Raúl, Fermín Paul Pacheco-Moisés, Cecilia Olvera-Montaño, José Alberto Castellanos-González, Andre Leonardo Barley-Villaseñor, Ernesto Germán Cardona-Muñoz, and Adolfo Daniel Rodríguez-Carrizalez. 2024. "Mitochondrial Function and Oxidative Stress Biomarkers in Diabetic Retinopathy Development: An Analytical Cross-Sectional Study" International Journal of Molecular Sciences 25, no. 23: 13084. https://doi.org/10.3390/ijms252313084
APA StyleRobles-Rivera, R. R., Pacheco-Moisés, F. P., Olvera-Montaño, C., Castellanos-González, J. A., Barley-Villaseñor, A. L., Cardona-Muñoz, E. G., & Rodríguez-Carrizalez, A. D. (2024). Mitochondrial Function and Oxidative Stress Biomarkers in Diabetic Retinopathy Development: An Analytical Cross-Sectional Study. International Journal of Molecular Sciences, 25(23), 13084. https://doi.org/10.3390/ijms252313084

