Characteristics and Expression Analysis of the MYB-Related Subfamily Gene in Rosa chinensis
Abstract
1. Introduction
2. Results
2.1. Rosa chinensis MYB-Related Gene Subfamily Identification and Physicochemical Properties
2.2. Analysis of the Chromosomal Location of MYB-Related Subfamily in Rosa chinensis
2.3. Analysis of the Collinearity and Evolutionary Selection Pressure of MYB-Related Subfamily Members in Rosa chinensis
2.4. Motif Analysis of Rosa chinensis MYB-Related Subfamily
2.5. Cis-Acting Elements in the Rosa chinensis MYB-Related Subfamily
2.6. Analysis of MYB-Related Gene Expression in a Tissue-Specific Manner in Rosa chinensis
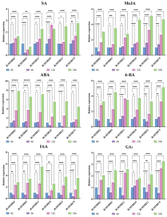
2.7. Effects of Different Hormones on MYB-Related Gene Expression in Rosa chinensis
3. Discussion
4. Materials and Methods
4.1. The Identification of MYB-Related Gene Subfamily in Rosa chinensis and Their Physicochemical Property Analysis
4.2. Chromosomal Localization, Collinearity Analysis, and Ka (Nonsynonymous)/Ks (Synonymous) Analysis
4.3. An Analysis of Protein Conserved Domains
4.4. Analysis of Cis-Acting Elements in Rosa chinensis MYB-Related Genes
4.5. Plant Material, Treatments, and Parameter Determination
4.6. RNA Extraction and qRT-PCR Fluorescence Quantification
4.7. Statistical Analysis
5. Conclusions
Supplementary Materials
Author Contributions
Funding
Institutional Review Board Statement
Informed Consent Statement
Data Availability Statement
Conflicts of Interest
References
- Dubos, C.; Stracke, R.; Grotewold, E.; Weisshaar, B.; Martin, C.; Lepiniec, L. MYB transcription factors in Arabidopsis. Trends Plant Sci. 2010, 15, 573–581. [Google Scholar] [CrossRef] [PubMed]
- Goicoechea, M.; Lacombe, E.; Legay, S.; Mihaljevic, S.; Rech, P.; Jauneau, A.; Lapierre, C.; Pollet, B.; Verhaegen, D.; Chaubet-Gigot, N.; et al. EgMYB2, a new transcriptional activator from Eucalyptus xylem, regulates secondary cell wall formation and lignin biosynthesis. Plant J. Cell Mol. Biol. 2005, 43, 553–567. [Google Scholar] [CrossRef]
- Zhang, S.; Chen, Y.; He, X.; Du, J.; Zhang, R.; Ma, Y.; Hu, X.; Zhang, Z.; Chen, Q.; Wan, X. Identification of MYB Transcription Factors Regulating Theanine Biosynthesis in Tea Plant Using Omics-Based Gene Coexpression Analysis. J. Agric. Food Chem. 2020, 68, 918–926. [Google Scholar] [CrossRef]
- Mehrtens, F.; Kranz, H.; Bednarek, P.; Weisshaar, B. The Arabidopsis transcription factor MYB12 is a flavonol-specific regulator of phenylpropanoid biosynthesis. Plant Physiol. 2005, 138, 1083–1096. [Google Scholar] [CrossRef]
- Jiang, S.; Chen, M.; He, N.; Chen, X.; Wang, N.; Sun, Q.; Zhang, T.; Xu, H.; Fang, H.; Wang, Y.; et al. MdGSTF6, activated by MdMYB1, plays an essential role in anthocyanin accumulation in apple. Hortic. Res. 2019, 6, 1083–1096. [Google Scholar] [CrossRef] [PubMed]
- Xu, H.; Zou, Q.; Yang, G.; Jiang, S.; Fang, H.; Wang, Y.; Zhang, J.; Zhang, Z.; Wang, N.; Chen, X. MdMYB6 regulates anthocyanin formation in apple both through direct inhibition of the biosynthesis pathway and through substrate removal. Hortic. Res. 2020, 7, 72. [Google Scholar] [CrossRef]
- Meng, Y.; Wang, Z.; Wang, Y.; Wang, C.; Zhu, B.; Liu, H.; Ji, W.; Wen, J.; Chu, C.; Tadege, M.; et al. The MYB Activator WHITE PETAL1 Associates with MtTT8 and MtWD40-1 to Regulate Carotenoid-Derived Flower Pigmentation in Medicago truncatula. Plant Cell 2019, 31, 2751–2767. [Google Scholar] [CrossRef]
- Shen, X.; Zhao, K.; Liu, L.; Zhang, K.; Yuan, H.; Liao, X.; Wang, Q.; Guo, X.; Li, F.; Li, T. A Role for PacMYBA in ABA-Regulated Anthocyanin Biosynthesis in Red-Colored Sweet Cherry cv. Hong Deng (Prunus avium L.). Plant Cell Physiol. 2014, 55, 862–880. [Google Scholar] [CrossRef]
- Hatlestad, G.J.; Sunnadeniya, R.M.; Akhavan, N.A.; Gonzalez, A.; Goldman, I.L.; McGrath, J.M.; Lloyd, A.M. The beet R locus encodes a new cytochrome P450 required for red betalain production. Nat. Genet. 2012, 44, 816–820. [Google Scholar] [CrossRef]
- Kranz, H.D.; Denekamp, M.; Greco, R.; Jin, H.; Leyva, A.; Meissner, R.C.; Petroni, K.; Urzainqui, A.; Bevan, M.; Martin, C.; et al. Towards functional characterisation of the members of the R2R3-MYB gene family from Arabidopsis thaliana. Plant J. Cell Mol. Biol. 1998, 16, 263–276. [Google Scholar] [CrossRef]
- Rosinski, J.A.; Atchley, W.R. Molecular evolution of the Myb family of transcription factors: Evidence for polyphyletic origin. J. Mol. Evol. 1998, 46, 74–83. [Google Scholar] [CrossRef]
- Jin, H.; Martin, C. Multifunctionality and diversity within the plant MYB-gene family. Plant Mol. Biol. 1999, 41, 577–585. [Google Scholar] [CrossRef] [PubMed]
- Ambawat, S.; Sharma, P.; Yadav, N.R.; Yadav, R.C. MYB transcription factor genes as regulators for plant responses: An overview. Physiol. Mol. Biol. Plants 2013, 19, 307–321. [Google Scholar] [CrossRef]
- Roy, S. Function of MYB domain transcription factors in abiotic stress and epigenetic control of stress response in plant genome. Plant Signal. Behav. 2016, 11, 1559–2324. [Google Scholar] [CrossRef] [PubMed]
- Baranowskij, N.; Frohberg, C.; Prat, S.; Willmitzer, L. A novel DNA binding protein with homology to Myb oncoproteins containing only one repeat can function as a transcriptional activator. EMBO J. 1994, 13, 5383–5392. [Google Scholar] [CrossRef]
- Baldoni, E.; Genga, A.; Cominelli, E. Plant MYB Transcription Factors: Their Role in Drought Response Mechanisms. Int. J. Mol. Sci. 2015, 16, 15811–15851. [Google Scholar] [CrossRef]
- Cheng, W.; Cheng, P.; Li, W.; Yan, T.; Ou, C.; Huang, C. Identification and Expression Pattern Analysis of the bZIP Gene Family Based on the Whole Genome of Rosa chinensis (Jacq.). Russ. J. Plant Physiol. 2024, 71, 60. [Google Scholar] [CrossRef]
- Tan, J.; Yi, X.; Luo, L.; Yu, C.; Wang, J.; Cheng, T.; Zhang, Q.; Pan, H. RNA-seq and sRNA-seq analysis in lateral buds and leaves of juvenile and adult roses. Sci. Hortic. 2021, 290, 110513. [Google Scholar] [CrossRef]
- Zheng, X.; Ying, Y.; Long, Y.; Zheng, B.; Tan, Z.; Han, G.; Geng, X.; Ju, X.; Xu, T. Genome wide analysis of the EXP family in Rosa chinensis and negative regulation of black spot disease by RcEXPA8. Sci. Hortic. 2024, 324, 112566. [Google Scholar] [CrossRef]
- Niu, T.Q.; Gao, Z.D.; Zhang, P.F.; Zhang, X.J.; Gao, M.Y.; Ji, W.; Fan, W.X.; Wen, P.F. MYBA2 gene involved in anthocyanin and flavonol biosynthesis pathways in grapevine. Genet. Mol. Res. GMR 2016, 15, gmr15048922. [Google Scholar] [CrossRef] [PubMed]
- Yang, X.; Guo, T.; Li, J.; Chen, Z.; Guo, B.; An, X. Genome-wide analysis of the MYB-related transcription factor family and associated responses to abiotic stressors in Populus. Int. J. Biol. Macromol. 2021, 191, 359–376. [Google Scholar] [CrossRef] [PubMed]
- Yao, F.; Jiang, M.-Y.; Yang, Y.-S.; Yang, X.-M.; Du, X.; Liu, R.-L.; Hou, K.; Wu, W. Bioinformatics and expression analysis on MYB-related family in Angelica dahurica var. formosana. China J. Chin. Mater. Medica 2022, 47, 1831–1846. [Google Scholar]
- Dai, X.; Xu, Y.; Ma, Q.; Xu, W.; Wang, T.; Xue, Y.; Chong, K. Overexpression of an R1R2R3 MYB gene, OsMYB3R-2, increases tolerance to freezing, drought, and salt stress in transgenic Arabidopsis. Plant Physiol. 2007, 143, 1739–1751. [Google Scholar] [CrossRef] [PubMed]
- Yanhui, C.; Xiaoyuan, Y.; Kun, H.; Meihua, L.; Jigang, L.; Zhaofeng, G.; Zhiqiang, L.; Yunfei, Z.; Xiaoxiao, W.; Xiaoming, Q.; et al. The MYB transcription factor superfamily of Arabidopsis: Expression analysis and phylogenetic comparison with the rice MYB family. Plant Mol. Biol. 2006, 60, 107–124. [Google Scholar] [CrossRef] [PubMed]
- Zhang, P.-Y.; Qiu, X.; Fu, J.-X.; Wang, G.-R.; Wei, L.; Wang, T.-C. Systematic analysis of differentially expressed ZmMYB genes related to drought stress in maize. Physiol. Mol. Biol. Plants 2021, 27, 1295–1309. [Google Scholar] [CrossRef]
- Sun, J.; Guo, C. Genome-Wide Identification and Expression Analysis of RR-Type MYB-Related Transcription Factors in Tomato (Solanum lycopersicum L.). Horticulturae 2022, 8, 399. [Google Scholar] [CrossRef]
- Yan, X.; Ding, W.; Wu, X.; Wang, L.; Yang, X.; Yue, Y. Insights Into the MYB-Related Transcription Factors Involved in Regulating Floral Aroma Synthesis in Sweet Osmanthus. Front. Plant Sci. 2022, 13, 765213. [Google Scholar] [CrossRef]
- Jiang, C.; Gu, J.; Chopra, S.; Gu, X.; Peterson, T. Ordered origin of the typical two- and three-repeat Myb genes. Gene 2004, 326, 13–22. [Google Scholar] [CrossRef] [PubMed]
- Liu, Y.; Zhang, Z.; Fang, K.; Shan, Q.; He, L.; Dai, X.; Zou, X.; Liu, F. Genome-Wide Analysis of the MYB-Related Transcription Factor Family in Pepper and Functional Studies of CaMYB37 Involvement in Capsaicin Biosynthesis. Int. J. Mol. Sci. 2022, 23, 11667. [Google Scholar] [CrossRef] [PubMed]
- Liu, Z.; Pan, X.; Wang, C.; Yun, F.; Huang, D.; Yao, Y.; Gao, R.; Ye, F.; Liu, X.; Liao, W. Genome-wide identification and expression analysis of serine hydroxymethyltransferase (SHMT) gene family in tomato (Solanum lycopersicum). Peerj 2022, 10, 12943. [Google Scholar] [CrossRef]
- Wang, Y.; Tan, X.; Paterson, A.H. Different patterns of gene structure divergence following gene duplication in Arabidopsis. Bmc Genom. 2013, 14, 652. [Google Scholar] [CrossRef]
- Du, H.; Wang, Y.-B.; Xie, Y.; Liang, Z.; Jiang, S.-J.; Zhang, S.-S.; Huang, Y.-B.; Tang, Y.-X. Genome-Wide Identification and Evolutionary and Expression Analyses of MYB-Related Genes in Land Plants. DNA Res. 2013, 20, 437–448. [Google Scholar] [CrossRef]
- Wang, S.; Wen, B.; Yang, Y.; Long, S.; Liu, J.; Li, M. Genome-Wide Identification and Expression Analysis of the RADIALIS-like Gene Family in Camellia sinensis. Plants 2023, 12, 3039. [Google Scholar] [CrossRef]
- Wei, Q.; Liu, Y.; Lan, K.; Wei, X.; Hu, T.; Chen, R.; Zhao, S.; Yin, X.; Xie, T. Identification and Analysis of MYB Gene Family for Discovering Potential Regulators Responding to Abiotic Stresses in Curcuma wenyujin. Front. Genet. 2022, 13, 894928. [Google Scholar] [CrossRef]
- Yamaguchi-Shinozaki, K.; Shinozaki, K. Organization of cis-acting regulatory elements in osmotic- and cold-stress-responsive promoters. Trends Plant Sci. 2005, 10, 88–94. [Google Scholar] [CrossRef] [PubMed]
- Liu, Y.; Zeng, Y.; Li, Y.; Zhen, L.; Kui, L.-W.; Espley, R.V.; Allan, A.C.; Zhang, J. Genomic survey and gene expression analysis of the MYB-related transcription factor superfamily in potato (Solanum tuberosum L.). Int. J. Biol. Macromol. 2020, 164, 2450–2464. [Google Scholar] [CrossRef]
- Du, L.; Jiang, Z.; Zhou, Y.; Shen, L.; He, J.; Xia, X.; Zhang, L.; Yang, X. Genome-Wide Identification and Expression Analysis of Respiratory Burst Oxidase Homolog (RBOH) Gene Family in Eggplant (Solanum melongena L.) under Abiotic and Biotic Stress. Genes 2023, 14, 1665. [Google Scholar]
- Zhu, S.; Shi, W.; Jie, Y.; Zhou, Q.; Song, C. A MYB transcription factor, BnMYB2, cloned from ramie (Boehmeria nivea) is involved in cadmium tolerance and accumulation. PLoS ONE 2020, 15, e0233375. [Google Scholar] [CrossRef] [PubMed]
- Chen, N.; Pan, L.; Yang, Z.; Su, M.; Xu, J.; Jiang, X.; Yin, X.; Wang, T.; Wan, F.; Chi, X. A MYB-related transcription factor from peanut, AhMYB30, improves freezing and salt stress tolerance in transgenic Arabidopsis through both DREB/CBF and ABA-signaling pathways. Front. Plant Sci. 2023, 14, 1136626. [Google Scholar] [CrossRef] [PubMed]
- Li, J.; Lin, K.; Zhang, S.; Wu, J.; Fang, Y.; Wang, Y. Genome-Wide Analysis of Myeloblastosis-Related Genes in Brassica napus L. and Positive Modulation of Osmotic Tolerance by BnMRD107. Front. Plant Sci. 2021, 12, 678202. [Google Scholar] [CrossRef]
- Xiong, H.; Li, J.; Liu, P.; Duan, J.; Zhao, Y.; Guo, X.; Li, Y.; Zhang, H.; Ali, J.; Li, Z. Overexpression of OsMYB48-1, a Novel MYB-Related Transcription Factor, Enhances Drought and Salinity Tolerance in Rice. PLoS ONE 2014, 9, e92913. [Google Scholar] [CrossRef]
- Yin, X.; Cui, Y.; Wang, M.; Xia, X. Overexpression of a novel MYB-related transcription factor, OsMYBR1, confers improved drought tolerance and decreased ABA sensitivity in rice. Biochem. Biophys. Res. Commun. 2017, 490, 1355–1361. [Google Scholar] [CrossRef] [PubMed]
- Zhang, P.; Wang, T.; Cao, L.; Jiao, Z.; Ku, L.; Dou, D.; Liu, Z.; Fu, J.; Xie, X.; Zhu, Y.; et al. Molecular mechanism analysis of ZmRL6 positively regulating drought stress tolerance in maize. Stress Biol. 2023, 3, 47. [Google Scholar] [CrossRef]
- Chen, C.; Chen, H.; Zhang, Y.; Thomas, H.R.; Frank, M.H.; He, Y.; Xia, R. TBtools: An Integrative Toolkit Developed for Interactive Analyses of Big Biological Data. Mol. Plant 2020, 13, 1194–1202. [Google Scholar] [CrossRef] [PubMed]
- Gun, S.; Uzun, L.; Tuysuz, M.; Erturk, O.; Ilhan, H.; Acikgoz, M.A.; Ozturk, B. Nanofiber mats containing lavender oil and methyl jasmonate as an innovative treatment to extend vase life in cut rose flowers. Postharvest Biol. Technol. 2023, 201, 112343. [Google Scholar] [CrossRef]
- Deng, Y.; Wang, C.; Huo, J.; Hu, W.; Liao, W. The involvement of NO in ABA-delayed the senescence of cut roses by maintaining water content and antioxidant enzymes activity. Sci. Hortic. 2019, 247, 35–41. [Google Scholar] [CrossRef]
- de Pietro, J.; Mattiuz, B.-H.; Mattiuz, C.F.M.; Rodrigues, T.d.J.D. Keeping quality of cut roses cv. Vega in holding solutions. Hortic. Bras. 2012, 30, 64–70. [Google Scholar]
- Ji, X.; Yuan, Y.; Bai, Z.; Wang, M.; Niu, L.; Sun, D. PlZFP mediates the combinatorial interactions of abscisic acid with gibberellin and ethylene during flower senescence in cut herbaceous peony br. Postharvest Biol. Technol. 2023, 195, 112130. [Google Scholar] [CrossRef]
- Xu, T.; Zheng, X.; Yang, Y.; Yang, S.; Yi, X.; Yu, C.; Luo, L.; Wang, J.; Cheng, T.; Zhang, Q.; et al. Indole-3 acetic acid negatively regulates rose black spot disease resistance through antagonizing the salicylic acid signaling pathway via jasmonic acid. Planta 2024, 259, 129. [Google Scholar] [CrossRef]
- Alaey, M.; Babalar, M.; Naderi, R.; Kafi, M. Effect of pre- and postharvest salicylic acid treatment on physio-chemical attributes in relation to vase-life of rose cut flowers. Postharvest Biol. Technol. 2011, 61, 91–94. [Google Scholar] [CrossRef]
- Wang, H.; Gao, Y.; Guo, J. Comprehensive analysis of Dicer-like, Argonaute, and RNA-dependent RNA polymerase gene families and their expression analysis in response to abiotic stresses in Jatropha curcas. J. Plant Interact. 2024, 19, 2282432. [Google Scholar] [CrossRef]
- Gan, D.; Zhan, M.; Yang, F.; Zhang, Q.; Hu, K.; Xu, W.; Lu, Q.; Zhang, L.; Liang, D. Expression analysis of argonaute, Dicer-like, and RNA-dependent RNA polymerase genes in cucumber (Cucumis sativus L.) in response to abiotic stress. J. Genet. 2017, 96, 235–249. [Google Scholar] [CrossRef]
- Schmittgen, T.D.; Livak, K.J. Analyzing real-time PCR data by the comparative C(T) method. Nat. Protoc. 2008, 3, 1101–1108. [Google Scholar] [CrossRef] [PubMed]







| Gene Name | Gene ID | Amino Acid | Isoelectric Point (PI) | Molecular Weight (Da) | Instability Index | Grand Average of Hydropathicity | Subcellular Localization |
|---|---|---|---|---|---|---|---|
| RcMYB001 | rna-XM_024303488.2 | 245 | 8.20 | 27,679.77 | 57.02 | −0.925 | nucl |
| RcMYB002 | rna-XM_040516774.1 | 435 | 6.68 | 48,071.60 | 49.96 | −0.783 | nucl |
| RcMYB003 | rna-XM_024333184.2 | 469 | 5.99 | 51,708.40 | 49.50 | −0.792 | nucl |
| RcMYB004 | rna-XM_024344553.1 | 225 | 9.71 | 25,476.45 | 54.29 | −0.804 | nucl |
| RcMYB005 | rna-XM_040510707.1 | 449 | 6.73 | 492,58.82 | 54.59 | −0.772 | nucl |
| RcMYB006 | rna-XM_024314487.2 | 451 | 6.49 | 49,502.04 | 55.36 | −0.784 | nucl |
| RcMYB007 | rna-XM_024320630.2 | 775 | 5.84 | 84,351.53 | 57.62 | −0.757 | nucl |
| RcMYB008 | rna-XM_024320631.2 | 775 | 5.84 | 84,351.53 | 57.62 | −0.757 | nucl |
| RcMYB009 | rna-XM_040517791.1 | 775 | 5.84 | 84,351.53 | 57.62 | −0.757 | nucl |
| RcMYB010 | rna-XM_024335550.2 | 289 | 7.06 | 31,883.00 | 38.11 | −0.492 | nucl |
| RcMYB011 | rna-XM_024308944.1 | 288 | 9.33 | 32,167.85 | 56.22 | −0.691 | nucl |
| RcMYB012 | rna-XM_024307506.2 | 1016 | 4.78 | 111,028.19 | 55.51 | −0.845 | nucl |
| RcMYB013 | rna-XM_040512421.1 | 321 | 9.09 | 35,500.98 | 46.47 | −0.638 | nucl |
| RcMYB014 | rna-XM_040512422.1 | 314 | 9.01 | 34,731.22 | 44.56 | −0.548 | nucl |
| RcMYB015 | rna-XM_024320293.2 | 341 | 8.86 | 37,796.62 | 46.83 | −0.598 | nucl |
| RcMYB016 | rna-XM_024325719.2 | 343 | 9.59 | 37,208.62 | 58.02 | −0.632 | nucl |
| RcMYB017 | rna-XM_040514975.1 | 556 | 6.95 | 62,399.95 | 46.28 | −0.622 | chlo |
| RcMYB018 | rna-XM_024329759.2 | 557 | 6.95 | 62,487.03 | 47.35 | −0.622 | chlo |
| RcMYB019 | rna-XM_024308587.2 | 359 | 9.83 | 38,737.73 | 66.61 | −0.635 | nucl |
| RcMYB020 | rna-XM_040506100.1 | 489 | 6.04 | 54,955.35 | 52.80 | −0.890 | nucl |
| RcMYB021 | rna-XM_024300926.2 | 535 | 6.20 | 60,452.89 | 56.27 | −0.839 | nucl |
| RcMYB022 | rna-XM_024315383.2 | 324 | 6.22 | 35,079.73 | 59.45 | −0.733 | mito |
| RcMYB023 | rna-XM_024315382.2 | 329 | 6.27 | 35,611.38 | 60.78 | −0.706 | mito |
| RcMYB024 | rna-XM_024307745.2 | 799 | 5.73 | 86777.62 | 54.04 | −0.566 | nucl |
| RcMYB025 | rna-XM_024326029.2 | 363 | 7.14 | 39,085.71 | 72.32 | −0.658 | nucl |
| RcMYB026 | rna-XM_024317006.2 | 304 | 8.99 | 32,831.54 | 54.59 | −0.610 | nucl |
| RcMYB027 | rna-XM_024338228.2 | 332 | 9.19 | 35,840.19 | 69.30 | −0.521 | chlo |
| RcMYB028 | rna-XM_024320165.2 | 323 | 8.31 | 35,362.79 | 41.70 | −0.593 | nucl |
| RcMYB029 | rna-XM_024327154.2 | 74 | 4.29 | 8524.14 | 65.71 | −0.897 | nucl |
| RcMYB030 | rna-XM_024308285.2 | 159 | 4.78 | 18,465.38 | 45.56 | −1.094 | cyto |
| RcMYB031 | rna-XM_024314099.2 | 588 | 8.77 | 62,596.12 | 33.14 | −0.596 | nucl |
| RcMYB032 | rna-XM_024334815.1 | 86 | 10.03 | 10,106.48 | 34.66 | −0.987 | nucl |
| RcMYB033 | rna-XM_040508845.1 | 663 | 5.55 | 72626.11 | 46.92 | −0.839 | nucl |
| RcMYB034 | rna-XM_024309982.2 | 733 | 5.04 | 80,463.93 | 46.84 | −0.936 | nucl |
| RcMYB035 | rna-XM_024325070.2 | 327 | 8.33 | 35,983.63 | 54.22 | −0.700 | nucl |
| RcMYB036 | rna-XM_024315470.2 | 560 | 5.04 | 61,470.67 | 39.64 | −0.550 | nucl |
| RcMYB037 | rna-XM_024325522.2 | 288 | 9.62 | 32,214.73 | 43.52 | −0.625 | nucl |
| RcMYB038 | rna-XM_024322174.1 | 132 | 5.20 | 15,139.97 | 66.03 | −0.870 | nucl |
| RcMYB039 | rna-XM_024321222.2 | 103 | 9.51 | 12,462.34 | 66.81 | −0.897 | nucl |
| RcMYB040 | rna-XM_024325980.2 | 301 | 9.63 | 32,714.25 | 31.47 | −0.544 | nucl |
| RcMYB041 | rna-XM_024325981.2 | 301 | 9.63 | 32,714.25 | 31.47 | −0.544 | nucl |
| RcMYB042 | rna-XM_024329073.2 | 70 | 8.03 | 7965.85 | 91.79 | −0.989 | nucl |
| RcMYB043 | rna-XM_024329072.2 | 71 | 9.05 | 7994.89 | 90.63 | −0.942 | nucl |
| RcMYB044 | rna-XM_024329069.2 | 81 | 8.96 | 9285.29 | 80.35 | −1.083 | nucl |
| RcMYB045 | rna-XM_024329070.2 | 81 | 8.96 | 9285.29 | 80.35 | −1.083 | nucl |
| RcMYB046 | rna-XM_024310889.2 | 112 | 9.77 | 13,410.06 | 99.91 | −1.205 | nucl |
| RcMYB047 | rna-XM_024301371.2 | 468 | 6.36 | 51,507.20 | 46.65 | −0.522 | chlo |
| RcMYB048 | rna-XM_024300852.2 | 653 | 5.33 | 71,856.77 | 39.65 | −0.717 | nucl |
| RcMYB049 | rna-XM_024338211.2 | 279 | 8.60 | 32,009.67 | 48.75 | −0.671 | nucl |
| RcMYB050 | rna-XM_024338210.2 | 281 | 7.75 | 32,137.71 | 46.95 | −0.675 | nucl |
| RcMYB051 | rna-XM_024338209.2 | 283 | 8.80 | 32,431.21 | 47.93 | −0.654 | nucl |
| RcMYB052 | rna-XM_024327504.2 | 606 | 6.81 | 66,568.88 | 58.47 | −0.596 | nucl |
| RcMYB053 | rna-XM_024327505.2 | 605 | 6.81 | 66,440.75 | 58.36 | −0.591 | nucl |
| RcMYB054 | rna-XM_024305333.2 | 707 | 5.15 | 77,993.64 | 46.64 | −0.882 | nucl |
| RcMYB055 | rna-XM_024305608.2 | 671 | 5.53 | 73,841.07 | 39.60 | −0.671 | nucl |
| RcMYB056 | rna-XM_024305331.2 | 747 | 5.08 | 82,193.14 | 46.59 | −0.860 | nucl |
| RcMYB057 | rna-XM_024339648.2 | 1096 | 9.07 | 123,247.94 | 51.88 | −0.745 | nucl |
| RcMYB058 | rna-XM_040518381.1 | 1128 | 9.16 | 126,531.67 | 51.46 | −0.740 | nucl |
| RcMYB059 | rna-XM_024339646.2 | 1128 | 9.11 | 126,518.59 | 51.49 | −0.740 | nucl |
| RcMYB060 | rna-XM_024339645.2 | 1128 | 9.11 | 126,491.56 | 51.45 | −0.738 | nucl |
| RcMYB061 | rna-XM_024311578.2 | 299 | 9.52 | 33,036.87 | 48.81 | −0.571 | pero |
| RcMYB062 | rna-XM_040509535.1 | 303 | 9.50 | 33,514.37 | 47.85 | −0.584 | nucl |
| RcMYB063 | rna-XM_024311575.2 | 303 | 9.52 | 33,532.36 | 49.94 | −0.603 | pero |
| RcMYB064 | rna-XM_024311576.2 | 303 | 9.52 | 33,532.36 | 49.94 | −0.603 | pero |
| RcMYB065 | rna-XM_024335500.2 | 1025 | 5.56 | 114,969.31 | 51.39 | −0.823 | nucl |
| RcMYB066 | rna-XM_024311610.2 | 99 | 9.64 | 11,224.62 | 69.99 | −0.827 | mito |
| RcMYB067 | rna-XM_024332179.2 | 1118 | 9.29 | 124,473.03 | 55.06 | −0.755 | nucl |
| RcMYB068 | rna-XM_024332177.2 | 1155 | 9.21 | 128,477.53 | 53.98 | −0.747 | nucl |
| RcMYB069 | rna-XM_024332175.2 | 1157 | 9.21 | 128,718.82 | 54.19 | −0.745 | nucl |
| RcMYB070 | rna-XM_024332174.2 | 1161 | 9.21 | 129,192.41 | 54.44 | −0.743 | nucl |
| RcMYB071 | rna-XM_024332172.2 | 1163 | 9.21 | 129,433.70 | 54.65 | −0.742 | nucl |
| RcMYB072 | rna-XM_040516445.1 | 1163 | 9.21 | 129,433.70 | 54.65 | −0.742 | nucl |
| RcMYB073 | rna-XM_024331881.2 | 432 | 9.41 | 48,959.90 | 53.52 | −0.683 | nucl |
| RcMYB074 | rna-XM_024331551.2 | 771 | 7.09 | 85,294.11 | 52.32 | −0.583 | nucl |
| RcMYB075 | rna-XM_024331550.2 | 772 | 7.09 | 85,365.19 | 52.26 | −0.580 | nucl |
| RcMYB076 | rna-XM_024331549.2 | 778 | 7.09 | 85,895.77 | 51.93 | −0.568 | nucl |
| RcMYB077 | rna-XM_024331548.2 | 779 | 7.09 | 85,966.85 | 52.13 | −0.565 | nucl |
| RcMYB078 | rna-XM_024312219.2 | 106 | 9.26 | 11,716.95 | 72.64 | −0.976 | cyto |
| RcMYB079 | rna-XM_024331915.2 | 582 | 9.09 | 66,370.63 | 61.45 | −0.989 | nucl |
| RcMYB080 | rna-XM_040507768.1 | 657 | 9.78 | 73,093.15 | 67.12 | −1.230 | nucl |
| RcMYB081 | rna-XM_024335784.2 | 674 | 9.23 | 74,653.32 | 44.20 | −0.651 | nucl |
| RcMYB082 | rna-XM_024335786.2 | 674 | 9.23 | 74,653.32 | 44.20 | −0.651 | nucl |
| RcMYB083 | rna-XM_024335788.2 | 674 | 9.23 | 74,653.32 | 44.20 | −0.651 | nucl |
| RcMYB084 | rna-XM_024314865.2 | 524 | 4.50 | 58,581.92 | 40.48 | −0.735 | nucl |
| RcMYB085 | rna-XM_024300794.2 | 662 | 9.01 | 72,970.44 | 54.03 | −0.605 | chlo |
| RcMYB086 | rna-XM_024300792.2 | 680 | 9.02 | 74,688.37 | 53.54 | −0.606 | chlo |
| RcMYB087 | rna-XM_024300793.2 | 680 | 9.02 | 74,688.37 | 53.54 | −0.606 | chlo |
| RcMYB088 | rna-XM_040518382.1 | 1128 | 9.14 | 126,538.74 | 52.35 | −0.736 | nucl |
| RcMYB089 | rna-XM_024339647.2 | 1128 | 9.14 | 126,538.74 | 52.35 | −0.736 | nucl |
| RcMYB090 | rna-XM_024331150.2 | 388 | 7.96 | 43,391.46 | 43.68 | −0.695 | nucl |
| RcMYB091 | rna-XM_024308864.2 | 102 | 9.00 | 11,584.77 | 63.90 | −1.040 | cyto |
| RcMYB092 | rna-XM_024334178.2 | 85 | 9.10 | 9577.69 | 73.46 | −0.706 | pero |
| RcMYB093 | rna-XM_024309508.2 | 1992 | 6.44 | 216,939.63 | 62.01 | −0.839 | nucl |
| RcMYB094 | rna-XM_024309506.2 | 2010 | 6.39 | 218,668.55 | 61.80 | −0.828 | nucl |
| RcMYB095 | rna-XM_024309507.2 | 2010 | 6.39 | 218,668.55 | 61.80 | −0.828 | nucl |
| RcMYB096 | rna-XM_024325621.2 | 376 | 4.38 | 41,770.42 | 51.88 | −0.631 | nucl |
| RcMYB097 | rna-XM_024325620.2 | 445 | 4.51 | 49,513.86 | 53.13 | −0.693 | nucl |
| RcMYB098 | rna-XM_024325619.2 | 453 | 4.54 | 50,566.12 | 54.32 | −0.693 | nucl |
| RcMYB099 | rna-XM_024318014.2 | 640 | 5.21 | 71,904.19 | 47.03 | −0.635 | nucl |
| RcMYB100 | rna-XM_024338039.2 | 540 | 4.48 | 60,107.71 | 58.01 | −0.758 | nucl |
| Cis-Element | Number of Genes | Sequence of Cis-Element | Functions of Cis-Elements |
|---|---|---|---|
| ABRE | 325 | ACGTG | cis-acting element involved in the abscisic acid responsiveness |
| CAT-box | 75 | GCCACT | cis-acting regulatory element related to meristem expression |
| CGTCA-motif | 162 | CGTCA | cis-acting regulatory element involved in the MeJA-responsiveness |
| GARE-motif | 33 | TCTGTTG | gibberellin-responsive element |
| P-box | 27 | CCTTTTG | gibberellin-responsive element |
| TATC-box | 27 | TATCCCA | cis-acting element involved in gibberellin-responsiveness |
| TCA-element | 43 | CCATCTTTTT | cis-acting element involved in salicylic acid responsiveness |
| TGACG-motif | 162 | TGACG | cis-acting regulatory element involved in the MeJA-responsiveness |
| TGA-element | 60 | AACGAC | auxin-responsive element |
Disclaimer/Publisher’s Note: The statements, opinions and data contained in all publications are solely those of the individual author(s) and contributor(s) and not of MDPI and/or the editor(s). MDPI and/or the editor(s) disclaim responsibility for any injury to people or property resulting from any ideas, methods, instructions or products referred to in the content. |
© 2024 by the authors. Licensee MDPI, Basel, Switzerland. This article is an open access article distributed under the terms and conditions of the Creative Commons Attribution (CC BY) license (https://creativecommons.org/licenses/by/4.0/).
Share and Cite
Zhu, Y.; Deng, Y.; Yao, Y.; Yao, K.; Pan, X.; Wu, X.; Liu, Z.; Zhang, J.; Su, W.; Liao, W. Characteristics and Expression Analysis of the MYB-Related Subfamily Gene in Rosa chinensis. Int. J. Mol. Sci. 2024, 25, 12854. https://doi.org/10.3390/ijms252312854
Zhu Y, Deng Y, Yao Y, Yao K, Pan X, Wu X, Liu Z, Zhang J, Su W, Liao W. Characteristics and Expression Analysis of the MYB-Related Subfamily Gene in Rosa chinensis. International Journal of Molecular Sciences. 2024; 25(23):12854. https://doi.org/10.3390/ijms252312854
Chicago/Turabian StyleZhu, Yongjie, Yuzheng Deng, Yandong Yao, Kangding Yao, Xuejuan Pan, Xuetong Wu, Zhiya Liu, Jitao Zhang, Wanyi Su, and Weibiao Liao. 2024. "Characteristics and Expression Analysis of the MYB-Related Subfamily Gene in Rosa chinensis" International Journal of Molecular Sciences 25, no. 23: 12854. https://doi.org/10.3390/ijms252312854
APA StyleZhu, Y., Deng, Y., Yao, Y., Yao, K., Pan, X., Wu, X., Liu, Z., Zhang, J., Su, W., & Liao, W. (2024). Characteristics and Expression Analysis of the MYB-Related Subfamily Gene in Rosa chinensis. International Journal of Molecular Sciences, 25(23), 12854. https://doi.org/10.3390/ijms252312854

