Steroid Profiles and Precursor-to-Product Ratios Are Altered in Pregnant Women with Preeclampsia
Abstract
1. Introduction
2. Results
2.1. Clinical Characterization of the Study Population
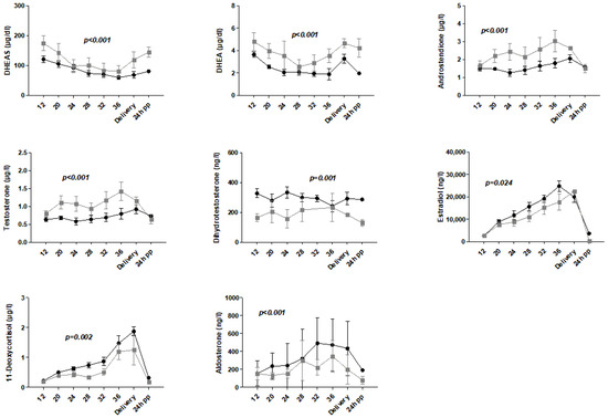
2.2. Levels of Steroid Hormones in Serum
2.3. Precursor-to-Product Ratios of Steroid-Metabolizing Enzymes in Serum
2.4. Serum mRNA Expression of Selected Steroid-Metabolizing Enzymes During WGA 26 and 28
2.5. Placental Protein Expression of Selected Steroid-Metabolizing Enzymes
2.6. mRNA Expression of Selected Steroid-Metabolizing Enzymes at WGA 24 and 28
2.7. Placental Protein Expression of HSD11B1 and HSD11B2
3. Discussion
4. Materials and Methods
4.1. Patients and Methods
4.2. Mass Spectrometry Measurement
4.3. RNA Extraction and qPCR
4.4. Placenta Tissue Collection
4.5. Immunohistochemistry
4.6. Statistical Analysis
5. Conclusions
Author Contributions
Funding
Institutional Review Board Statement
Informed Consent Statement
Data Availability Statement
Acknowledgments
Conflicts of Interest
References
- American College of Obstetricians and Gynecologists, Task Force on Hypertension in Pregnancy. Hypertension in pregnancy. Report of the American College of Obstetricians and Gynecologists’ Task Force on Hypertension in Pregnancy. Obstet. Gynecol. 2013, 122, 1122–1131. [Google Scholar]
- Tranquilli, A.L.; Dekker, G.; Magee, L.; Roberts, J.; Sibai, B.M.; Steyn, W.; Zeeman, G.G.; Brown, M.A. The classification, diagnosis and management of the hypertensive disorders of pregnancy: A revised statement from the ISSHP. Pregnancy Hypertens. 2014, 4, 97–104. [Google Scholar] [CrossRef] [PubMed]
- Epstein, F.H. Late vascular effects of toxemia of pregnancy. N. Engl. J. Med. 1964, 271, 391–395. [Google Scholar] [CrossRef] [PubMed]
- MacDonald, T.M.; Walker, S.P.; Hannan, N.J.; Tong, S.; Kaitu’u-Lino, T.J. Clinical tools and biomarkers to predict preeclampsia. EBioMedicine 2022, 75, 103780. [Google Scholar] [CrossRef] [PubMed] [PubMed Central]
- Roberts, J.M.; Taylor, R.N.; Musci, T.J.; Rodgers, G.M.; Hubel, C.A.; McLaughlin, M.K. Preeclampsia: An endothelial cell disorder. Am. J. Obstet. Gynecol. 1989, 161, 1200–1204. [Google Scholar] [CrossRef] [PubMed]
- Karumanchi, S.A. Angiogenic Factors in Preeclampsia: From Diagnosis to Therapy. Hypertension 2016, 67, 1072–1079. [Google Scholar] [CrossRef] [PubMed]
- Huppertz, B. Placental origins of preeclampsia: Challenging the current hypothesis. Hypertension 2008, 51, 970–975. [Google Scholar] [CrossRef] [PubMed]
- Young, B.C.; Levine, R.J.; Karumanchi, S.A. Pathogenesis of preeclampsia. Annu. Rev. Pathol. Mech. Dis. 2010, 5, 173–192. [Google Scholar] [CrossRef]
- Costantine, M.M.; Ananth, C.V. The early developments of preeclampsia drugs. Expert. Opin. Investig. Drugs 2016, 25, 867–870. [Google Scholar] [CrossRef]
- Kumar, S.; Gordon, G.H.; Abbott, D.H.; Mishra, J.S. Androgens in maternal vascular and placental function: Implications for preeclampsia pathogenesis. Reproduction 2018, 156, R155–R167. [Google Scholar] [CrossRef] [PubMed] [PubMed Central]
- Shin, Y.Y.; An, S.M.; Jeong, J.S.; Yang, S.Y.; Lee, G.S.; Hong, E.J.; Jeung, E.B.; Kim, S.C.; An, B.S. Comparison of steroid hormones in three different preeclamptic models. Mol. Med. Rep. 2021, 23, 252. [Google Scholar] [CrossRef] [PubMed]
- Solano, M.E.; Arck, P.C. Steroids, Pregnancy and Fetal Development. Front. Immunol. 2020, 10, 3017. [Google Scholar] [CrossRef] [PubMed] [PubMed Central]
- Sabbadin, C.; Andrisani, A.; Ambrosini, G.; Bordin, L.; Donà, G.; Manso, J.; Ceccato, F.; Scaroni, C.; Armanini, D. Aldosterone in Gynecology and Its Involvement on the Risk of Hypertension in Pregnancy. Front. Endocrinol. 2019, 10, 575. [Google Scholar] [CrossRef] [PubMed] [PubMed Central]
- Robinson, D.P.; Klein, S.L. Pregnancy and pregnancy-associated hormones alter immune responses and disease pathogenesis. Horm. Behav. 2012, 62, 263–271. [Google Scholar] [CrossRef] [PubMed] [PubMed Central]
- Chatuphonprasert, W.; Jarukamjorn, K.; Ellinger, I. Physiology and Pathophysiology of Steroid Biosynthesis, Transport and Metabolism in the Human Placenta. Front. Pharmacol. 2018, 9, 1027. [Google Scholar] [CrossRef] [PubMed] [PubMed Central]
- Colicino, E.; Cowell, W.; Foppa Pedretti, N.; Joshi, A.; Youssef, O.; Just, A.C.; Kloog, I.; Petrick, L.; Niedzwiecki, M.; Wright, R.O.; et al. Maternal steroids during pregnancy and their associations with ambient air pollution and temperature during preconception and early gestational periods. Environ. Int. 2022, 165, 107320. [Google Scholar] [CrossRef] [PubMed]
- Michael, A.E.; Papageorghiou, A.T. Potential significance of physiological and pharmacological glucocorticoids in early pregnancy. Hum. Reprod. Update 2008, 14, 497–517. [Google Scholar] [CrossRef] [PubMed]
- Hanukoglu, I. Steroidogenic enzymes: Structure, function, and role in regulation of steroid hormone biosynthesis. J. Steroid Biochem. Mol. Biol. 1992, 43, 779–804. [Google Scholar] [CrossRef] [PubMed]
- Hicks, R.A.; Yee, J.K.; Mao, C.S.; Graham, S.; Kharrazi, M.; Lorey, F.; Lee, W.P. Precursor-to-product ratios reflect biochemical phenotype in congenital adrenal hyperplasia. Metabolomics 2014, 10, 123–131. [Google Scholar] [CrossRef] [PubMed] [PubMed Central]
- Cox, B.; Leavey, K.; Nosi, U.; Wong, F.; Kingdom, J. Placental transcriptome in development and pathology: Expression, function, and methods of analysis. Am. J. Obstet. Gynecol. 2015, 213 (Suppl. S4), S138–S351. [Google Scholar] [CrossRef] [PubMed]
- Schwarzenbach, H.; Nishida, N.; Calin, G.A.; Pantel, K. Clinical relevance of circulating cell-free microRNAs in cancer. Nat. Rev. Clin. Oncol. 2014, 11, 145–156. [Google Scholar] [CrossRef] [PubMed]
- Szilágyi, M.; Pös, O.; Márton, É.; Buglyó, G.; Soltész, B.; Keserű, J.; Penyige, A.; Szemes, T.; Nagy, B. Circulating Cell-Free Nucleic Acids: Main Characteristics and Clinical Application. Int. J. Mol. Sci. 2020, 21, 6827. [Google Scholar] [CrossRef] [PubMed] [PubMed Central]
- Carbone, I.F.; Conforti, A.; Picarelli, S.; Morano, D.; Alviggi, C.; Farina, A. Circulating Nucleic Acids in Maternal Plasma and Serum in Pregnancy Complications: Are They Really Useful in Clinical Practice? A Systematic Review. Mol. Diagn. Ther. 2020, 24, 409–431. [Google Scholar] [CrossRef] [PubMed]
- Antonić, T.D.; Ardalić, D.Č.; Vladimirov, S.S.; Banjac, G.S.; Cabunac, P.J.; Zeljković, A.R.; Karadžov-Orlić, N.T.; Spasojević-Kalimanovska, V.V.; Miković, Ž.D.; Stefanović, A.Ž. Cholesterol homeostasis is dysregulated in women with preeclampsia. Pol. Arch. Intern. Med. 2021, 131, 16144. [Google Scholar] [CrossRef] [PubMed]
- Lee, S.M.; Moon, J.Y.; Lim, B.Y.; Kim, S.M.; Park, C.W.; Kim, B.J.; Jun, J.K.; Norwitz, E.R.; Choi, M.H.; Park, J.S. Increased biosynthesis and accumulation of cholesterol in maternal plasma, but not amniotic fluid in pre-eclampsia. Sci. Rep. 2019, 9, 1550. [Google Scholar] [CrossRef] [PubMed] [PubMed Central]
- Antonić, T.; Ardalić, D.; Vladimirov, S.; Zeljković, A.; Vekić, J.; Mitrović, M.; Ivanišević, J.; Gojković, T.; Munjas, J.; Spasojević-Kalimanovska, V.; et al. Cholesterol Metabolic Profiling of HDL in Women with Late-Onset Preeclampsia. Int. J. Mol. Sci. 2023, 24, 11357. [Google Scholar] [CrossRef] [PubMed] [PubMed Central]
- Wan, J.; Hu, Z.; Zeng, K.; Yin, Y.; Zhao, M.; Chen, M.; Chen, Q. The reduction in circulating levels of estrogen and progesterone in women with preeclampsia. Pregnancy Hypertens. 2018, 11, 18–25. [Google Scholar] [CrossRef] [PubMed]
- Berkane, N.; Liere, P.; Oudinet, J.P.; Hertig, A.; Lefèvre, G.; Pluchino, N.; Schumacher, M.; Chabbert-Buffet, N. From Pregnancy to Preeclampsia: A Key Role for Estrogens. Endocr. Rev. 2017, 38, 123–144. [Google Scholar] [CrossRef] [PubMed]
- Shu, C.; Han, S.; Xu, P.; Wang, Y.; Cheng, T.; Hu, C. Estrogen and Preeclampsia: Potential of Estrogens as Therapeutic Agents in Preeclampsia. Drug Des. Devel Ther. 2021, 15, 2543–2550. [Google Scholar] [CrossRef] [PubMed] [PubMed Central]
- Shin, Y.Y.; Jeong, J.S.; Park, M.N.; Lee, J.E.; An, S.M.; Cho, W.S.; Kim, S.C.; An, B.S.; Lee, K.S. Regulation of steroid hormones in the placenta and serum of women with preeclampsia. Mol. Med. Rep. 2018, 17, 2681–2688. [Google Scholar] [CrossRef] [PubMed]
- Lan, K.C.; Lai, Y.J.; Cheng, H.H.; Tsai, N.C.; Su, Y.T.; Tsai, C.C.; Hsu, T.Y. Levels of sex steroid hormones and their receptors in women with preeclampsia. Reprod. Biol. Endocrinol. 2020, 18, 12. [Google Scholar] [CrossRef] [PubMed] [PubMed Central]
- Berkane, N.; Liere, P.; Lefevre, G.; Alfaidy, N.; Nahed, R.A.; Vincent, J.; Oudinet, J.P.; Pianos, A.; Cambourg, A.; Rozenberg, P.; et al. Abnormal steroidogenesis and aromatase activity in preeclampsia. Placenta 2018, 69, 40–49. [Google Scholar] [CrossRef] [PubMed]
- Djordjević, N.Z.; Babić, G.M.; Marković, S.D.; Ognjanović, B.I.; Stajn, A.S.; Saicić, Z.S. The antioxidative effect of estradiol therapy on erythrocytes in women with preeclampsia. Reprod. Toxicol. 2010, 29, 231–236. [Google Scholar] [CrossRef] [PubMed]
- Valdimarsdottir, R.; Vanky, E.; Elenis, E.; Lindström, L.; Junus, K.; Jonsson, M.; Sundström Poromaa, I.; Wikström, A.K. Polycystic ovary syndrome and risk of pre-eclampsia: A national register-based cohort study. BJOG 2024, 131, 985–995. [Google Scholar] [CrossRef] [PubMed]
- Causevic, M.; Mohaupt, M. 11beta-Hydroxysteroid dehydrogenase type 2 in pregnancy and preeclampsia. Mol. Aspects Med. 2007, 28, 220–226. [Google Scholar] [CrossRef] [PubMed]
- Jayasuriya, N.A.; Hughes, A.E.; Sovio, U.; Cook, E.; Charnock-Jones, D.S.; Smith, G.C.S. A Lower Maternal Cortisol-to-Cortisone Ratio Precedes Clinical Diagnosis of Preterm and Term Preeclampsia by Many Weeks. J. Clin. Endocrinol. Metab. 2019, 104, 2355–2366. [Google Scholar] [CrossRef] [PubMed] [PubMed Central]
- Schoof, E.; Girstl, M.; Frobenius, W.; Kirschbaum, M.; Dörr, H.G.; Rascher, W.; Dötsch, J. Decreased gene expression of 11beta-hydroxysteroid dehydrogenase type 2 and 15-hydroxyprostaglandin dehydrogenase in human placenta of patients with preeclampsia. J. Clin. Endocrinol. Metab. 2001, 86, 1313–1317. [Google Scholar] [CrossRef] [PubMed]
- He, P.; Chen, Z.; Sun, Q.; Li, Y.; Gu, H.; Ni, X. Reduced expression of 11β-hydroxysteroid dehydrogenase type 2 in preeclamptic placentas is associated with decreased PPARγ but increased PPARα expression. Endocrinology 2014, 155, 299–309. [Google Scholar] [CrossRef] [PubMed]
- Kattah, A. Preeclampsia and Kidney Disease: Deciphering Cause and Effect. Curr. Hypertens. Rep. 2020, 22, 91. [Google Scholar] [CrossRef] [PubMed]
- Roberts, J.M.; Rich-Edwards, J.W.; McElrath, T.F.; Garmire, L.; Myatt, L.; Global Pregnancy Collaboration. Subtypes of Preeclampsia: Recognition and Determining Clinical Usefulness. Hypertension 2021, 77, 1430–1441. [Google Scholar] [CrossRef] [PubMed]
- Benton, S.J.; Leavey, K.; Grynspan, D.; Cox, B.J.; Bainbridge, S.A. The clinical heterogeneity of preeclampsia is related to both placental gene expression and placental histopathology. Am. J. Obstet. Gynecol. 2018, 219, e1–e604. [Google Scholar] [CrossRef] [PubMed]
- Leavey, K.; Benton, S.J.; Grynspan, D.; Kingdom, J.C.; Bainbridge, S.A.; Cox, B.J. Unsupervised Placental Gene Expression Profiling Identifies Clinically Relevant Subclasses of Human Preeclampsia. Hypertension 2016, 68, 137–147. [Google Scholar] [CrossRef] [PubMed]
- Enquobahrie, D.A.; Meller, M.; Rice, K.; Psaty, B.M.; Siscovick, D.S.; Williams, M.A. Differential placental gene expression in preeclampsia. Am. J. Obstet. Gynecol. 2008, 199, e1–e11. [Google Scholar] [CrossRef] [PubMed] [PubMed Central]
- Vennou, K.E.; Kontou, P.I.; Braliou, G.G.; Bagos, P.G. Meta-analysis of gene expression profiles in preeclampsia. Pregnancy Hypertens. 2020, 19, 52–60. [Google Scholar] [CrossRef] [PubMed]
- Monaco, G.; Lee, B.; Xu, W.; Mustafah, S.; Hwang, Y.Y.; Carré, C.; Burdin, N.; Visan, L.; Ceccarelli, M.; Poidinger, M.; et al. RNA-Seq Signatures Normalized by mRNA Abundance Allow Absolute Deconvolution of Human Immune Cell Types. Cell Rep. 2019, 26, 1627–1640.e7. [Google Scholar] [CrossRef] [PubMed] [PubMed Central]
- Schmiedel, B.J.; Singh, D.; Madrigal, A.; Valdovino-Gonzalez, A.G.; White, B.M.; Zapardiel-Gonzalo, J.; Ha, B.; Altay, G.; Greenbaum, J.A.; McVicker, G.; et al. Impact of Genetic Polymorphisms on Human Immune Cell Gene Expression. Cell 2018, 175, 1701–1715.e16. [Google Scholar] [CrossRef] [PubMed]
- Mayer-Pickel, K.; Kolovetsiou-Kreiner, V.; Stern, C.; Münzker, J.; Eberhard, K.; Trajanoski, S.; Lakovschek, I.C.; Ulrich, D.; Csapo, B.; Lang, U.; et al. Effect of Low-Dose Aspirin on Soluble FMS-Like Tyrosine Kinase 1/Placental Growth Factor (sFlt-1/PlGF Ratio) in Pregnancies at High Risk for the Development of Preeclampsia. J. Clin. Med. 2019, 8, 1429. [Google Scholar] [CrossRef] [PubMed]
- Li, C.; Raikwar, N.S.; Santillan, M.K.; Santillan, D.A.; Thomas, C.P. Aspirin inhibits expression of sFLT1 from human cytotrophoblasts induced by hypoxia, via cyclo-oxygenase 1. Placenta 2015, 36, 446–453. [Google Scholar] [CrossRef] [PubMed] [PubMed Central]
- Huppertz, B.; Bayer, M.; Macheiner, T.; Sargsyan, K. Biobank Graz: The Hub for Innovative Biomedical Research. Open J. Bioresour. 2016, 3, e3. [Google Scholar] [CrossRef]
- Schweitzer, S.; Kunz, M.; Kurlbaum, M.; Vey, J.; Kendl, S.; Deutschbein, T.; Hahner, S.; Fassnacht, M.; Dandekar, T.; Kroiss, M. Plasma steroid metabolome profiling for the diagnosis of adrenocortical carcinoma. Eur. J. Endocrinol. 2019, 180, 117–125. [Google Scholar] [CrossRef] [PubMed]
- Valko-Rokytovská, M.; Očenáš, P.; Salayová, A.; Kostecká, Z. Breast Cancer: Targeting of Steroid Hormones in Cancerogenesis and Diagnostics. Int. J. Mol. Sci. 2021, 22, 5878. [Google Scholar] [CrossRef] [PubMed] [PubMed Central]
- Levine, R.J.; Maynard, S.E.; Qian, C.; Lim, K.H.; England, L.J.; Yu, K.F.; Schisterman, E.F.; Thadhani, R.; Sachs, B.P.; Epstein, F.H.; et al. Circulating angiogenic factors and the risk of preeclampsia. N. Engl. J. Med. 2004, 350, 672–683. [Google Scholar] [CrossRef] [PubMed]
- Livak, K.J.; Schmittgen, T.D. Analysis of relative gene expression data using real-time quantitative PCR and the 2(-Delta Delta C(T)) Method. Methods 2001, 25, 402–408. [Google Scholar] [CrossRef] [PubMed]
- Chim, S.S.C.; Wong, K.K.W.; Chung, C.Y.L.; Lam, S.K.W.; Kwok, J.S.L.; Lai, C.Y.; Cheng, Y.K.Y.; Hui, A.S.Y.; Meng, M.; Chan, O.K.; et al. Systematic Selection of Reference Genes for the Normalization of Circulating RNA Transcripts in Pregnant Women Based on RNA-Seq Data. Int. J. Mol. Sci. 2017, 18, 1709. [Google Scholar] [CrossRef] [PubMed]






| Women with Preeclampsia | Controls | p-Value | |
|---|---|---|---|
| N | 9 | 36 | |
| Age (y) | 32.3 ± 4.4 | 31.9 ± 4.9 | 0.971 |
| BMI (kg/m2) | 31.1 ± 8.6 | 28.0 ± 7.8 | 0.969 |
| Gravidity [n] | 2.2 ± 1.2 | 2.8 ± 1.8 | 0.316 |
| Mode of delivery [vaginal #/C-section] | 2/7 | 19/14 | 0.06 |
| Systolic blood pressure (mmHg) * | 134.1 ± 16.8 | 127.1 ± 13.5 | 0.234 |
| Diastolic blood pressure (mmHg) * | 87.9 ± 13.8 | 78.5 ± 11.1 | 0.306 |
| Week of pregnancy at delivery (weeks) | 35.7 ± 2.7 | 38.7 ± 2.9 | 0.022 |
| Early-onset PE (<34 WGA), [n (%)] | 3 (33.3) | n.a. | |
| Late-onset PE (>34 WGA), [n (%)] | 6 (66.7) | n.a. | |
| Birthweight (g) | 2267.0 ± 871.7 | 3375.7 ± 468.0 | 0.004 |
| Fetal sex (male/female) | 4/5 | 21/12 | 0.158 |
| Growth percentile ≤ 10 [n (%)] | 5 (55.6) | 3 (8.8) | 0.001 |
| Obesity (BMI > 30) [n (%)] | 4 (44.4) | 10 (28.6) | 0.362 |
| Hypertension [n (%)] | 5 (55.6) | 9 (25.7) | 0.086 |
| History of former preeclampsia [n (%)] | 4 (44.4) | 6 (17.1) | 0.081 |
| Prophylaxis with low-dose aspirin treatment [n (%)] | 7 (77.8) | 17 (48.6) | 0.117 |
| Screening for preeclampsia: | 0.081 | ||
| Not performed [n (%)] | 4 (44.4) | 23 (67.6) | |
| Inconspicuous [n (%)] | 1 (11.1) | 7 (20.6) | |
| Suspicious [n (%)] | 4 (44.4) | 4 (11.8) |
| Steroid-Metabolizing Enzymes | Assay ID | Precursor | to | Product | Ratio in Women with PE | Ratio in Controls | Direction of Ratio in Women with Preeclampsia | p-Value | Observed GE in Women with PE |
|---|---|---|---|---|---|---|---|---|---|
| Progestogens | |||||||||
| CYP17A1 | Progesterone | → | 17-OH-Progesterone | 29.04 ± 15.33 | 28.73 ± 14.51 | 0.904 | |||
| Sex steroids | |||||||||
| HSD3B1 | HS04194787_g1 | DHEA | → | Androstenedione | 2.15 ± 1.51 | 1.76 ± 1.19 | 0.081 | ||
| CYP17A1 | HS01124136_m1 | 17-OH-Progesterone | → | Androstenedione | 1.11 ± 0.70 | 2.33 ± 2.07 | ↓ | <0.001 | ↑ |
| HSD17B3 | Hs00609319_m1 | Androstenedione | → | Testosterone | 2.18 ± 0.44 | 2.35 ± 0.56 | ↓ | <0.001 | |
| SRD5A1 | HS00602694 | Testosterone | → | Dihydrotestosterone | 6.69 ± 3.82 | 3.36 ± 3.24 | ↑ | <0.001 | ⊥ |
| CYP19A1 | HS00903411_m1 | Testosterone | → | Estradiol | 0.61 ± 1.64 | 0.55 ± 2.33 | ↑ | <0.001 | ⊥ |
| Glucocorticoids | |||||||||
| CYP21A2 | 17-OH-Progesterone | → | 11-Deoxycortisol | 5.86 ± 3.65 | 4.73 ± 3.39 | 0.059 | |||
| CYP11B1 | HS00357016_g1 | 11-Deoxycortisol | → | Cortisol | 0.0027 ± 0.0026 | 0.0036 ± 0.0031 | ↓ | 0.014 | ↑ |
| HSD11B2 | HS01547870_m1 | Cortisol | → | Cortisone | 0.18 ± 0.06 | 0.19 ± 0.07 | ↓ | <0.001 | ↑ |
| HSD11B1 | HS00388669_m1 | Cortisone | → | Cortisol | 0.20 ± 0.06 | 0.16 ± 0.05 | ↑ | <0.001 | ↑ |
| Mineralocorticoids | |||||||||
| CYP21A2 | Progesterone | → | 11-Deoxycorticosterone | 562 ± 326 | 568 ± 419 | 0.659 | |||
| CYP11B1 | 11-Deoxycorticosterone | → | Corticosterone | 0.05 ± 0.04 | 0.05 ± 0.05 | 0.546 |
| Enzymes | Preeclampsia (n = 6) | Control (n = 6) | p-Value |
|---|---|---|---|
| Syncytiotrophoblast | |||
| SRD5A1 | 0.33 ± 0.20 | 0.46 ± 0.19 | 0.296 |
| CYP11B1 | 0.33 ± 0.26 | 0.46 ± 0.33 | 0.484 |
| HSD11B2 | 2.5 | 2.5 | * |
| HSD11B1 | 0.42 ± 0.30 | 0.58 ± 0.47 | 0.479 |
| CYP17A1 | not detected | not detected | not detected |
| Endothelium | |||
| SRD5A1 | 0.29 ± 0.25 | 0.33 ± 0.20 | 0.756 |
| CYP11B1 | 0.33 ± 0.26 | 0.29± 0.10 | 0.721 |
| HSD11B2 | 0 | 0 | * |
| HSD11B1 | 0.08 ± 0.13 | 0.29 ± 0.25 | 0.096 |
| CYP17A1 | not detected | not detected | not detected |
| Extravillous Trophoblast | |||
| SRD5A1 | 0.29 ± 0.10 | 0.17 ± 0.20 | 0.209 |
| CYP11B1 | 0.10 ± 0.14 | 0.21 ± 0.19 | 0.313 |
| HSD11B2 | 0 | 0 | * |
| HSD11B1 | 0.10 ± 0.14 | 0.46 ± 0.43 | 0.101 |
| CYP17A1 | not detected | not detected | not detected |
| Decidua | |||
| SRD5A1 | 0 | 0.20 ± 0.29 | 0.272 |
| CYP11B1 | 0.19 ± 0.13 | 0.29 ± 0.29 | 0.526 |
| HSD11B2 | 0 | 0 | * |
| HSD11B1 | 2.37 ± 0.25 | 2.33 ± 0.26 | 0.807 |
| CYP17A1 | not detected | not detected | not detected |
| Gene/Enzyme | Trend Direction of Ratio in Preeclampsia * | Trend Direction of Serum mRNA Expression ** | Trend Direction of Placental Protein Expression in the in the Syncytiotrophoblast ** |
|---|---|---|---|
| HSD3B1 | ↑ | Ʇ | ↓ |
| CYP17A1 | ↓ | ↑ | n.a. |
| HSD17B3 | ↓ | ↑ | |
| SRD5A1 | ↑ | Ʇ | ↓ |
| CYP11B1 | ↓ | ↑ | ↓ |
| HSD11B2 | ↑ | ↑ | Ʇ |
| HSD11B1 | ↓ | ↑ | ↓ |
Disclaimer/Publisher’s Note: The statements, opinions and data contained in all publications are solely those of the individual author(s) and contributor(s) and not of MDPI and/or the editor(s). MDPI and/or the editor(s) disclaim responsibility for any injury to people or property resulting from any ideas, methods, instructions or products referred to in the content. |
© 2024 by the authors. Licensee MDPI, Basel, Switzerland. This article is an open access article distributed under the terms and conditions of the Creative Commons Attribution (CC BY) license (https://creativecommons.org/licenses/by/4.0/).
Share and Cite
Trummer, O.; Stern, C.; Reintar, S.; Mayer-Pickel, K.; Cervar-Zivkovic, M.; Dischinger, U.; Kurlbaum, M.; Huppertz, B.; Fluhr, H.; Obermayer-Pietsch, B. Steroid Profiles and Precursor-to-Product Ratios Are Altered in Pregnant Women with Preeclampsia. Int. J. Mol. Sci. 2024, 25, 12704. https://doi.org/10.3390/ijms252312704
Trummer O, Stern C, Reintar S, Mayer-Pickel K, Cervar-Zivkovic M, Dischinger U, Kurlbaum M, Huppertz B, Fluhr H, Obermayer-Pietsch B. Steroid Profiles and Precursor-to-Product Ratios Are Altered in Pregnant Women with Preeclampsia. International Journal of Molecular Sciences. 2024; 25(23):12704. https://doi.org/10.3390/ijms252312704
Chicago/Turabian StyleTrummer, Olivia, Christina Stern, Sharmaine Reintar, Karoline Mayer-Pickel, Mila Cervar-Zivkovic, Ulrich Dischinger, Max Kurlbaum, Berthold Huppertz, Herbert Fluhr, and Barbara Obermayer-Pietsch. 2024. "Steroid Profiles and Precursor-to-Product Ratios Are Altered in Pregnant Women with Preeclampsia" International Journal of Molecular Sciences 25, no. 23: 12704. https://doi.org/10.3390/ijms252312704
APA StyleTrummer, O., Stern, C., Reintar, S., Mayer-Pickel, K., Cervar-Zivkovic, M., Dischinger, U., Kurlbaum, M., Huppertz, B., Fluhr, H., & Obermayer-Pietsch, B. (2024). Steroid Profiles and Precursor-to-Product Ratios Are Altered in Pregnant Women with Preeclampsia. International Journal of Molecular Sciences, 25(23), 12704. https://doi.org/10.3390/ijms252312704

