Effect of the Protic vs. Non-Protic Molecular Environment on the cis to trans Conformation Change of Phototrexate Drug
Abstract
1. Introduction
2. Results and Discussion
2.1. Effect of the Composition of the Solvent Mixture on the Absorption Spectra of PHX
2.2. cis to trans Formation Kinetics of PHX Molecules in Solvent Mixtures
2.3. Activation Energies Associated with the cis-to-trans Conversion of PHX in Different Media
2.4. A Model to Describe the Possible Reason of Elevated Activation Energies in Methanol
3. Materials and Methods
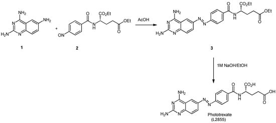
3.1. Synthesis of PHX
3.2. Other Chemicals and Instruments
3.3. Instrumentation
3.4. Sample Preparation
3.5. Modelling
3.6. Data Evaluation
4. Conclusions
Author Contributions
Funding
Institutional Review Board Statement
Informed Consent Statement
Data Availability Statement
Acknowledgments
Conflicts of Interest
References
- Baudino, T.A. Targeted Cancer Therapy: The Next Generation of Cancer Treatment. Curr. Drug Discov. Technol. 2015, 12, 3–20. [Google Scholar] [CrossRef] [PubMed]
- Senapati, S.; Mahanta, A.K.; Kumar, S.; Maiti, P. Controlled drug delivery vehicles for cancer treatment and their performance. Signal Transduct. Target. Ther. 2018, 3, 7. [Google Scholar] [CrossRef]
- Broichhagen, J.; Frank, J.A.; Trauner, D. A Roadmap to Success in Photopharmacology. Acc. Chem. Res. 2015, 48, 1947–1960. [Google Scholar] [CrossRef]
- Reessing, F.; Szymanski, W. Beyond Photodynamic Therapy: Light-Activated Cancer Chemotherapy. Curr. Med. Chem. 2017, 24, 4905–4950. [Google Scholar] [CrossRef] [PubMed]
- Szymanski, W.; Beierle, J.M.; Kistemaker, H.A.; Velema, W.A.; Feringa, B.L. Reversible photocontrol of biological systems by the incorporation of molecular photoswitches. Chem. Rev. 2013, 113, 6114–6178. [Google Scholar] [CrossRef] [PubMed]
- Banghart, M.R.; Mourot, A.; Fortin, D.L.; Yao, J.Z.; Kramer, R.H.; Trauner, D. Photochromic blockers of voltage-gated potassium channels. Angew. Chem. Int. Ed. 2009, 48, 9097–10001. [Google Scholar] [CrossRef]
- Shams, S.; Martinez, J.M.; Dawson, J.R.D.; Flores, J.; Gabriel, M.; Garcia, G.; Guevara, A.; Murray, K.; Pacifici, N.; Vargas, M.V.; et al. The Therapeutic Landscape of Rheumatoid Arthritis: Current Stateand Future Directions. Front. Pharmacol. 2021, 12, 680043. [Google Scholar] [CrossRef]
- Matera, C.; Gomila, A.M.J.; Camarero, N.; Libergoli, M.; Soler, C.; Gorostiza, P. Photoswitchable Antimetabolite for Targeted Photoactivated Chemotherapy. J. Am. Chem. Soc. 2018, 140, 15764–15773. [Google Scholar] [CrossRef]
- Mashita, T.; Kowada, T.; Takahashi, H.; Matsui, T.; Mizukami, S. Light-wavelength based Quantitative Control of Dihydrofolate Reductase Activity Using Photochromic Isostere of Inhibitor. ChemBioChem 2019, 20, 1382–1386. [Google Scholar] [CrossRef]
- Beharry, A.A.; Sadovski, O.; Woolley, G.A. Azobenzene Photoswitching without Ultraviolet Light. J. Am. Chem. Soc. 2011, 133, 19684–19687. [Google Scholar] [CrossRef]
- Titov, E.; Lysyakova, L.; Lomadze, N.; Kabashin, A.V.; Saalfrank, P.; Santer, S. Thermal Cis-to-Trans Isomerization of Azobenzene-Containing Molecules Enhanced by Gold Nanoparticles: An Experimental and Theoretical Study. J. Phys. Chem. C 2015, 119, 17369–17377. [Google Scholar] [CrossRef]
- Sheldon, J.E.; Dcona, M.M.; Lyons, C.E.; Hackett, J.C.; Hartmann, M.C.T. Photoswitchable anticancer activity via trans-cis isomerization of a combretastatin A-4 analog. Org. Biomol. Chem. 2016, 14, 40–49. [Google Scholar] [CrossRef] [PubMed]
- Preisz, Z.; Nagymihály, Z.; Kollár, L.; Kálai, T.; Kunsági-Máté, S. Weak Interactions of the Isomers of Phototrexate and Two Cavitand Derivatives. Int. J. Mol. Sci. 2021, 22, 10764. [Google Scholar] [CrossRef] [PubMed]
- Kunsági-Máté, S.; Iwata, K. Effect of cluster formation of solvent molecules on the preferential solvatation of anthracene in binary alcoholic solutions. Chem. Phys. Lett. 2009, 473, 284–287. [Google Scholar] [CrossRef]
- Kunsági-Máté, S.; Iwata, K. Electron Density Dependent Composition of the Solvation Shell of Phenol Derivatives in Binary Solutions of Water and Ethanol. Solut. Chem. 2013, 42, 165–171. [Google Scholar] [CrossRef]
- Kunsági-Máté, S.; Ortmann, E.; Kollár, L.; Nikfardjam, M.P. Effect of the Solvatation Shell Exchange on the Formation of Malvidin-3-O-Glucoside-Ellagic Acid Complexes. J. Phys. Chem. B 2007, 111, 11750–11755. [Google Scholar] [CrossRef]
- Matisz, G.; Kelterer, A.-M.; Fabian, W.M.F.; Kunsági-Máté, S. Structural properties of methanol–water binary mixtures within the quantum cluster equilibrium model. Phys. Chem. Chem. Phys. 2015, 17, 8467–8479. [Google Scholar] [CrossRef]
- Matisz, G.; Kelterer, A.-M.; Fabian, W.M.F.; Kunsági-Máté, S. Application of the Quantum Cluster Equilibrium (QCE) Model for the Liquid Phase of Primary Alcohols Using B3LYP and B3LYP-D DFT Methods. J. Phys. Chem. B. 2011, 115, 3936–3941. [Google Scholar] [CrossRef]
- Preisz, Z.; Hartvig, N.; Bognár, B.; Kálai, T.; Kunsági-Máté, S. Comparative EPR Study on the Scavenging Effect of Methotrexate with the Isomers of Its Photoswitchable Derivative. Pharmaceuticals 2021, 14, 665. [Google Scholar] [CrossRef]
- HyperChem; HyperCube Inc.: Gainesville, FL, USA, 2007.
- Zhang, D.; Jardel, D.; Peruch, F.; Calin, N.; Dufaud, V.; Dutasta, J.-P.; Martinez, A.; Bibal, B. Azaphosphatranes as Hydrogen-Bonding Organocatalysts for the Activation of Carbonyl Groups: Investigation of Lactide Ring-Opening Polymerization. Eur. J. Org. Chem. 2016, 8, 1619–1624. [Google Scholar] [CrossRef]
- Berkesi, O.; Körtvélyesi, T.; Hetényi, C.; Németh, T.; Pálinko, I. Hydrogen bonding interactions of benzylidene type Schiff bases studied by vibrational spectroscopic and computational methods. Phys. Chem. Chem. Phys. 2003, 5, 2009–2014. [Google Scholar] [CrossRef]








Disclaimer/Publisher’s Note: The statements, opinions and data contained in all publications are solely those of the individual author(s) and contributor(s) and not of MDPI and/or the editor(s). MDPI and/or the editor(s) disclaim responsibility for any injury to people or property resulting from any ideas, methods, instructions or products referred to in the content. |
© 2024 by the authors. Licensee MDPI, Basel, Switzerland. This article is an open access article distributed under the terms and conditions of the Creative Commons Attribution (CC BY) license (https://creativecommons.org/licenses/by/4.0/).
Share and Cite
Bencze, F.; Kiss, L.; Li, H.; Yan, H.; Kollár, L.; Kunsági-Máté, S. Effect of the Protic vs. Non-Protic Molecular Environment on the cis to trans Conformation Change of Phototrexate Drug. Int. J. Mol. Sci. 2024, 25, 12703. https://doi.org/10.3390/ijms252312703
Bencze F, Kiss L, Li H, Yan H, Kollár L, Kunsági-Máté S. Effect of the Protic vs. Non-Protic Molecular Environment on the cis to trans Conformation Change of Phototrexate Drug. International Journal of Molecular Sciences. 2024; 25(23):12703. https://doi.org/10.3390/ijms252312703
Chicago/Turabian StyleBencze, Flórián, László Kiss, Heng Li, Hui Yan, László Kollár, and Sándor Kunsági-Máté. 2024. "Effect of the Protic vs. Non-Protic Molecular Environment on the cis to trans Conformation Change of Phototrexate Drug" International Journal of Molecular Sciences 25, no. 23: 12703. https://doi.org/10.3390/ijms252312703
APA StyleBencze, F., Kiss, L., Li, H., Yan, H., Kollár, L., & Kunsági-Máté, S. (2024). Effect of the Protic vs. Non-Protic Molecular Environment on the cis to trans Conformation Change of Phototrexate Drug. International Journal of Molecular Sciences, 25(23), 12703. https://doi.org/10.3390/ijms252312703

