Dynamics of Nanomotors Propelled by Enzyme Cascade Reactions
Abstract
1. Introduction
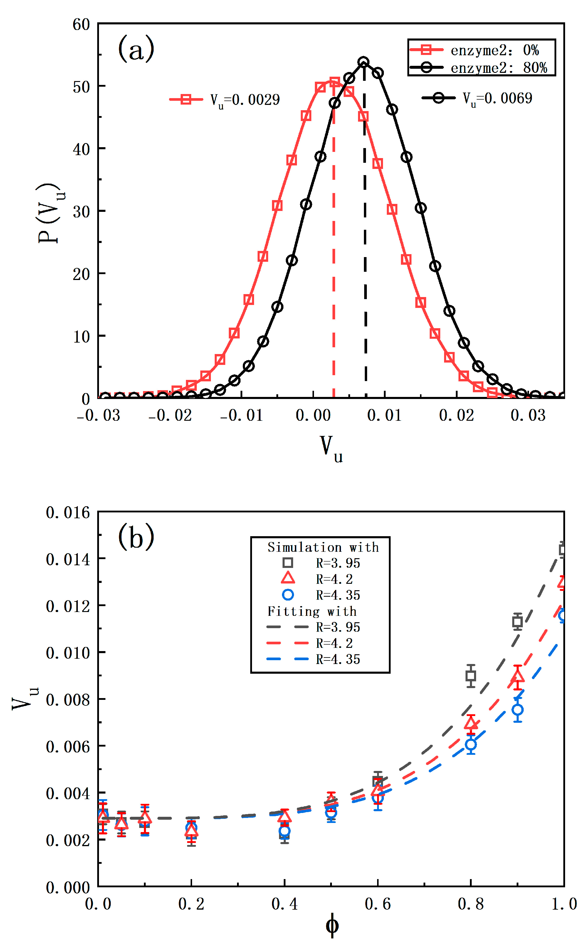
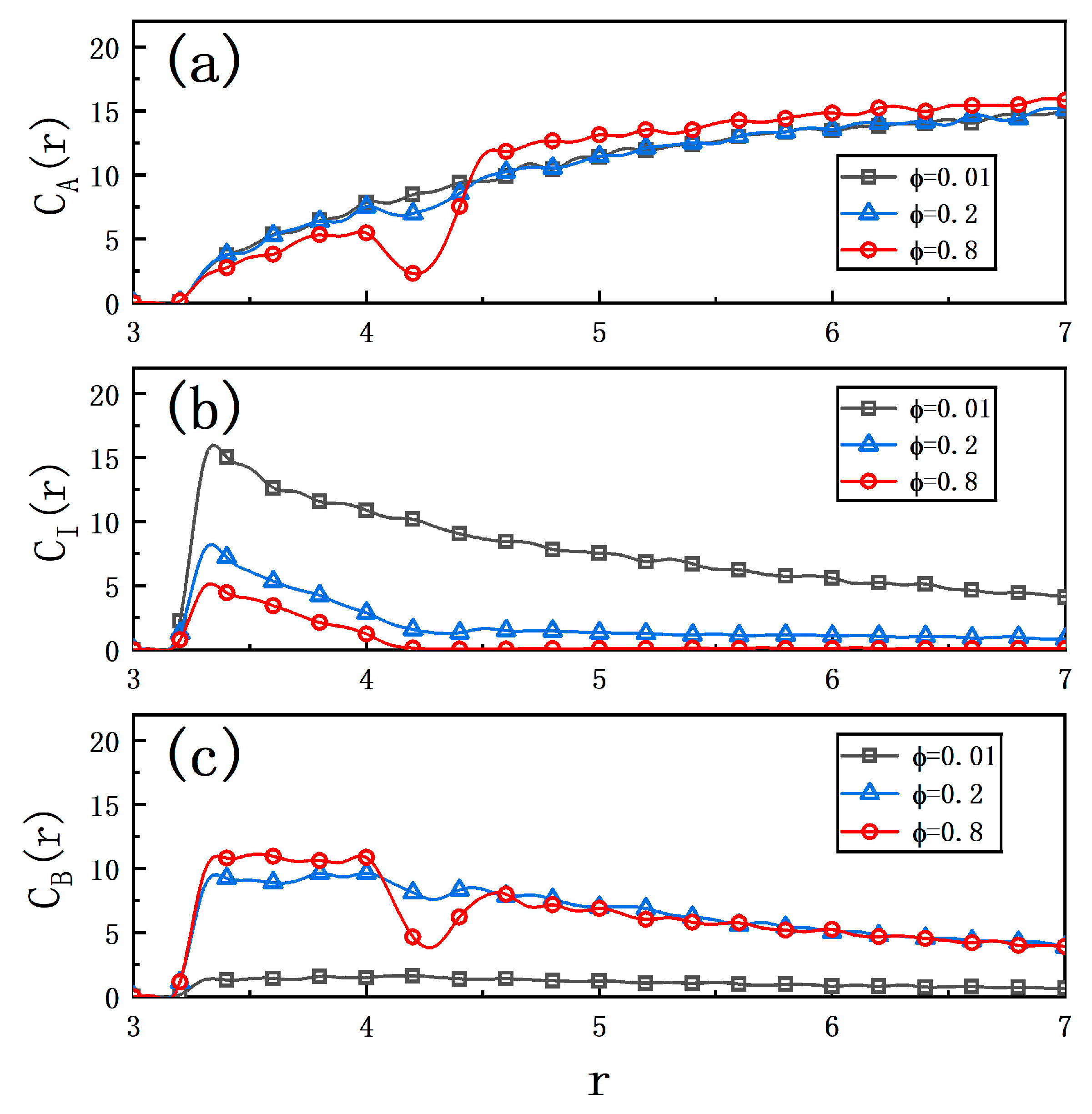
2. Results and Discussion
3. Materials and Methods
4. Conclusions
Author Contributions
Funding
Institutional Review Board Statement
Informed Consent Statement
Data Availability Statement
Conflicts of Interest
Abbreviations
| ECRs | enzyme cascade reactions |
| MD | molecular dynamics |
| MPC | multiparticle collision dynamics |
| GOx | glucose oxidase |
| Cat | catalase |
| HRP | horseradish peroxidase |
| BOD | bilirubin oxidase |
| Cyt c | cytochrome c |
| DAO | diamine oxidase |
References
- Hermanová, S.; Pumera, M. Biocatalytic Micro- and Nanomotors. Chem. Eur. J. 2020, 26, 11085–11092. [Google Scholar] [CrossRef] [PubMed]
- Patiño, T.; Arqué, X.; Mestre, R.; Palacios, L.; Sánchez, S. Fundamental aspects of enzyme-powered micro-and nanoswimmers. Acc. Chem. Res. 2018, 51, 2662–2671. [Google Scholar] [CrossRef] [PubMed]
- Dey, K.K.; Zhao, X.; Tansi, B.M.; Méndez-Ortiz, W.J.; Córdova-Figueroa, U.M.; Golestanian, R.; Sen, A. Micromotors powered by enzyme catalysis. Nano Lett. 2015, 15, 8311–8315. [Google Scholar] [CrossRef] [PubMed]
- Ma, X.; Wang, X.; Hahn, K.; Sánchez, S. Motion control of urea-powered biocompatible hollow microcapsules. ACS Nano 2016, 10, 3597–3605. [Google Scholar] [CrossRef]
- Ma, X.; Hortelão, A.C.; Patiño, T.; Sánchez, S. Enzyme catalysis to power micro/nanomachines. ACS Nano 2016, 10, 9111–9122. [Google Scholar] [CrossRef]
- Tang, S.; Zhang, F.; Gong, H.; Wei, F.; Zhuang, J.; Karshalev, E.; Esteban-Fernández de Ávila, B.; Huang, C.; Zhou, Z.; Li, Z.; et al. Enzyme-powered Janus platelet cell robots for active and targeted drug delivery. Sci. Robot. 2020, 5, eaba6137. [Google Scholar] [CrossRef] [PubMed]
- Ghosh, S.; Somasundar, A.; Sen, A. Enzymes as active matter. Annu. Rev. Condens. Matter Phys. 2021, 12, 177–200. [Google Scholar] [CrossRef]
- Zhao, X.; Gentile, K.; Mohajerani, F.; Sen, A. Powering motion with enzymes. Acc. Chem. Res. 2018, 51, 2373–2381. [Google Scholar] [CrossRef]
- Sheldon, R.A. E factors, green chemistry and catalysis: An odyssey. Chem. Commun. 2008, 3352–3365. [Google Scholar] [CrossRef]
- Wu, Z.; Lin, X.; Zou, X.; Sun, J.; He, Q. Biodegradable protein-based rockets for drug transportation and light-triggered release. ACS Appl. Mater. Interfaces 2015, 7, 250–255. [Google Scholar] [CrossRef]
- Li, H.; Sun, Z.; Jiang, S.; Lai, X.; Böckler, A.; Huang, H.; Peng, F.; Liu, L.; Chen, Y. Tadpole-like unimolecular nanomotor with sub-100 nm size swims in a tumor microenvironment model. Nano Lett. 2019, 19, 8749–8757. [Google Scholar] [CrossRef] [PubMed]
- Ou, J.; Liu, K.; Jiang, J.; Wilson, D.A.; Liu, L.; Wang, F.; Wang, S.; Tu, Y.; Peng, F. Micro-/nanomotors toward biomedical applications: The recent progress in biocompatibility. Small 2020, 16, 1906184. [Google Scholar] [CrossRef] [PubMed]
- Orozco, J.; García-Gradilla, V.; D’Agostino, M.; Gao, W.; Cortés, A.; Wang, J. Artificial enzyme-powered microfish for water-quality testing. ACS Nano 2013, 7, 818–824. [Google Scholar] [CrossRef] [PubMed]
- Wu, Y.; Lin, X.; Wu, Z.; Möhwald, H.; He, Q. Self-propelled polymer multilayer Janus capsules for effective drug delivery and light-triggered release. ACS Appl. Mater. Interfaces 2014, 6, 10476–10481. [Google Scholar] [CrossRef] [PubMed]
- Ma, X.; Jannasch, A.; Albrecht, U.R.; Hahn, K.; Miguel-López, A.; Schäffer, E.; Sánchez, S. Enzyme-powered hollow mesoporous Janus nanomotors. Nano Lett. 2015, 15, 7043–7050. [Google Scholar] [CrossRef]
- Patiño, T.; Feiner-Gracia, N.; Arqué, X.; Miguel-López, A.; Jannasch, A.; Stumpp, T.; Schäffer, E.; Albertazzi, L.; Sánchez, S. Influence of enzyme quantity and distribution on the self-propulsion of non-Janus urease-powered micromotors. J. Am. Chem. Soc. 2018, 140, 7896–7903. [Google Scholar] [CrossRef]
- Villa, K.; Sopha, H.; Zelenka, J.; Motola, M.; Dekanovsky, L.; Beketova, D.C.; Macak, J.M.; Ruml, T.; Pumera, M. Enzyme-photocatalyst tandem microrobot powered by urea for Escherichia coli biofilm eradication. Small 2022, 18, 2106612. [Google Scholar] [CrossRef]
- Arnaboldi, S.; Salinas, G.; Karajić, A.; Garrigue, P.; Benincori, T.; Bonetti, G.; Cirilli, R.; Bichon, S.; Gounel, S.; Mano, N.; et al. Direct dynamic read-out of molecular chirality with autonomous enzyme-driven swimmers. Nat. Chem. 2021, 13, 1241–1247. [Google Scholar] [CrossRef]
- Liu, X.; Wang, Y.; Peng, Y.; Shi, J.; Chen, W.; Wang, W.; Ma, X. Urease-Powered Micromotors with Spatially Selective Distribution of Enzymes for Capturing and Sensing Exosomes. ACS Nano 2023, 17, 24343–24354. [Google Scholar] [CrossRef]
- Qiu, B.; Xie, L.; Zeng, J.; Liu, T.; Yan, M.; Zhou, S.; Liang, Q.; Tang, J.; Liang, K.; Kong, B. Interfacially super-assembled asymmetric and H2O2 sensitive multilayer-sandwich magnetic mesoporous silica nanomotors for detecting and removing heavy metal ions. Adv. Funct. Mater. 2021, 31, 2010694. [Google Scholar] [CrossRef]
- Shao, J.; Cao, S.; Che, H.; De Martino, M.T.; Wu, H.; Abdelmohsen, L.K.; van Hest, J.C. Twin-engine Janus supramolecular nanomotors with counterbalanced motion. J. Am. Chem. Soc. 2022, 144, 11246–11252. [Google Scholar] [CrossRef]
- Schattling, P.S.; Ramos-Docampo, M.A.; Salgueiriño, V.; Städler, B. Double-fueled Janus swimmers with magnetotactic behavior. ACS Nano 2017, 11, 3973–3983. [Google Scholar] [CrossRef] [PubMed]
- Fang, X.; Ye, H.; Shi, K.; Wang, K.; Huang, Y.; Zhang, X.; Pan, J. GOx-powered Janus platelet nanomotors for targeted delivery of thrombolytic drugs in treating thrombotic diseases. ACS Biomater. Sci. Eng. 2023, 9, 4302–4310. [Google Scholar] [CrossRef] [PubMed]
- Vilela, D.; Blanco-Cabra, N.; Eguskiza, A.; Hortelão, A.C.; Torrents, E.; Sánchez, S. Drug-free enzyme-based bactericidal nanomotors against pathogenic bacteria. ACS Appl. Mater. Interfaces 2021, 13, 14964–14973. [Google Scholar] [CrossRef] [PubMed]
- Ghosh, C.; Ghosh, S.; Chatterjee, A.; Bera, P.; Mampallil, D.; Ghosh, P.; Das, D. Dual enzyme-powered chemotactic cross β amyloid based functional nanomotors. Nat. Commun. 2023, 14, 5903. [Google Scholar] [CrossRef] [PubMed]
- Kumar, B.P.; Patil, A.J.; Mann, S. Enzyme-powered motility in buoyant organoclay/DNA protocells. Nat. Chem. 2018, 10, 1154–1163. [Google Scholar] [CrossRef]
- Schattling, P.; Thingholm, B.; Städler, B. Enhanced diffusion of glucose-fueled Janus particles. Chem. Mater. 2015, 27, 7412–7418. [Google Scholar] [CrossRef]
- Shen, H.; Zheng, X.; Zhou, Z.; He, W.; Li, M.; Su, P.; Song, J.; Yang, Y. Oriented immobilization of enzyme-DNA conjugates on magnetic Janus particles for constructing a multicompartment multienzyme system with high activity and stability. J. Mater. Chem. B 2020, 8, 8467–8475. [Google Scholar] [CrossRef]
- Mano, N.; Heller, A. Bioelectrochemical propulsion. J. Am. Chem. Soc. 2005, 127, 11574–11575. [Google Scholar] [CrossRef]
- Yu, J.; Li, Y.; Yan, A.; Gao, Y.; Xiao, F.; Xu, Z.; Xu, J.; Yu, S.; Liu, J.; Sun, H. Self-Propelled Enzymatic Nanomotors from Prodrug-Skeletal Zeolitic Imidazolate Frameworks for Boosting Multimodel Cancer Therapy Efficiency. Adv. Sci. 2023, 10, 2301919. [Google Scholar] [CrossRef]
- Kutorglo, E.M.; Elashnikov, R.; Rimpelova, S.; Ulbrich, P.; Říhová Ambrožová, J.; Svorcik, V.; Lyutakov, O. Polypyrrole-based nanorobots powered by light and glucose for pollutant degradation in water. ACS Appl. Mater. Interfaces 2021, 13, 16173–16181. [Google Scholar] [CrossRef] [PubMed]
- Liu, M.; Chen, L.; Zhao, Z.; Liu, M.; Zhao, T.; Ma, Y.; Zhou, Q.; Ibrahim, Y.S.; Elzatahry, A.A.; Li, X.; et al. Enzyme-based mesoporous nanomotors with near-infrared optical brakes. J. Am. Chem. Soc. 2022, 144, 3892–3901. [Google Scholar] [CrossRef]
- Lin, J.; Lian, C.; Xu, L.; Li, Z.; Guan, Q.; Wei, W.; Dai, H.; Guan, J. Hyperglycemia Targeting Nanomotors for Accelerated Healing of Diabetic Wounds by Efficient Microenvironment Remodeling. Adv. Funct. Mater. 2024, 2417146. [Google Scholar] [CrossRef]
- Bunea, A.I.; Pavel, I.A.; David, S.; Gáspár, S. Modification with hemeproteins increases the diffusive movement of nanorods in dilute hydrogen peroxide solutions. Chem. Commun. 2013, 49, 8803–8805. [Google Scholar] [CrossRef] [PubMed]
- Pavel, I.A.; Bunea, A.I.; David, S.; Gáspár, S. Nanorods with biocatalytically induced self-electrophoresis. ChemCatChem 2014, 6, 866–872. [Google Scholar] [CrossRef]
- Michelin, S.; Lauga, E. Geometric tuning of self-propulsion for Janus catalytic particles. Sci. Rep. 2017, 7, 42264. [Google Scholar] [CrossRef]
- Rucinskaite, G.; Thompson, S.A.; Paterson, S.; de la Rica, R. Enzyme-coated Janus nanoparticles that selectively bind cell receptors as a function of the concentration of glucose. Nanoscale 2017, 9, 5404–5407. [Google Scholar] [CrossRef]
- Wilner, O.I.; Weizmann, Y.; Gill, R.; Lioubashevski, O.; Freeman, R.; Willner, I. Enzyme cascades activated on topologically programmed DNA scaffolds. Nat. Nanotechnol. 2009, 4, 249–254. [Google Scholar] [CrossRef]
- Fu, J.; Liu, M.; Liu, Y.; Woodbury, N.W.; Yan, H. Interenzyme substrate diffusion for an enzyme cascade organized on spatially addressable DNA nanostructures. J. Am. Chem. Soc. 2012, 134, 5516–5519. [Google Scholar] [CrossRef]
- Russell, S.M.; Alba-Patiño, A.; Borges, M.; de la Rica, R. Multifunctional motion-to-color janus transducers for the rapid detection of sepsis biomarkers in whole blood. Biosens. Bioelectron. 2019, 140, 111346. [Google Scholar] [CrossRef]
- Mathesh, M.; Bhattarai, E.; Yang, W. 2D active nanobots based on soft nanoarchitectonics powered by an ultralow fuel concentration. Angew. Chem. Int. Ed. 2022, 134, e202113801. [Google Scholar] [CrossRef]
- Pan, Y.; Ma, X.; Wu, Y.; Zhao, Z.; He, Q.; Ji, Y. pH-responsive glucose-powered Janus polymer brushes nanomotors for drug delivery and controlled release. Colloids Surf. A Physicochem. Eng. Asp. 2024, 684, 133070. [Google Scholar] [CrossRef]
- Joseph, A.; Contini, C.; Cecchin, D.; Nyberg, S.; Ruiz-Perez, L.; Gaitzsch, J.; Fullstone, G.; Tian, X.; Azizi, J.; Preston, J.; et al. Chemotactic synthetic vesicles: Design and applications in blood-brain barrier crossing. Sci. Adv. 2017, 3, e1700362. [Google Scholar] [CrossRef] [PubMed]
- Chen, J.X.; Hu, J.Q.; Kapral, R. Chemical Logic Gates on Active Colloids. Adv. Sci. 2024, 11, 2305695. [Google Scholar] [CrossRef] [PubMed]
- Kapral, R. Multiparticle collision dynamics: Simulation of complex systems on mesoscales. Adv. Chem. Phys. 2008, 140, 89. [Google Scholar]
- Gompper, G.; Ihle, T.; Kroll, D.; Winkler, R. Multi-particle collision dynamics: A particle-based mesoscale simulation approach to the hydrodynamics of complex fluids. In Advanced Computer Simulation Approaches for Soft Matter Sciences III; Springer: Berlin/Heidelberg, Germany, 2009; pp. 1–87. [Google Scholar]
- Fu, D.; Ye, Y.; Gao, C.; Xie, D.; Peng, F. Bienzymatic spiky Janus nanomotors powered by histamine. ChemNanoMat 2022, 8, e202200152. [Google Scholar] [CrossRef]





Disclaimer/Publisher’s Note: The statements, opinions and data contained in all publications are solely those of the individual author(s) and contributor(s) and not of MDPI and/or the editor(s). MDPI and/or the editor(s) disclaim responsibility for any injury to people or property resulting from any ideas, methods, instructions or products referred to in the content. |
© 2024 by the authors. Licensee MDPI, Basel, Switzerland. This article is an open access article distributed under the terms and conditions of the Creative Commons Attribution (CC BY) license (https://creativecommons.org/licenses/by/4.0/).
Share and Cite
Hu, J.-Q.; Zhao, R.; Cui, R.-F.; Kou, J.-L.; Chen, J.-X. Dynamics of Nanomotors Propelled by Enzyme Cascade Reactions. Int. J. Mol. Sci. 2024, 25, 12586. https://doi.org/10.3390/ijms252312586
Hu J-Q, Zhao R, Cui R-F, Kou J-L, Chen J-X. Dynamics of Nanomotors Propelled by Enzyme Cascade Reactions. International Journal of Molecular Sciences. 2024; 25(23):12586. https://doi.org/10.3390/ijms252312586
Chicago/Turabian StyleHu, Jia-Qi, Rui Zhao, Ru-Fei Cui, Jian-Long Kou, and Jiang-Xing Chen. 2024. "Dynamics of Nanomotors Propelled by Enzyme Cascade Reactions" International Journal of Molecular Sciences 25, no. 23: 12586. https://doi.org/10.3390/ijms252312586
APA StyleHu, J.-Q., Zhao, R., Cui, R.-F., Kou, J.-L., & Chen, J.-X. (2024). Dynamics of Nanomotors Propelled by Enzyme Cascade Reactions. International Journal of Molecular Sciences, 25(23), 12586. https://doi.org/10.3390/ijms252312586

