Prolonged Extracorporeal Circulation Leads to Inflammation and Higher Expression of Mediators of Vascular Permeability Through Activation of STAT3 Signaling Pathway in Macrophages
Abstract
1. Introduction
2. Results
2.1. Schedule for Peri-Operative Serum Sample Collection
2.2. CPB Induces Activation of STAT3 but Not NF-κB p65 Signaling Pathway in THP-1 Macrophages In Vitro
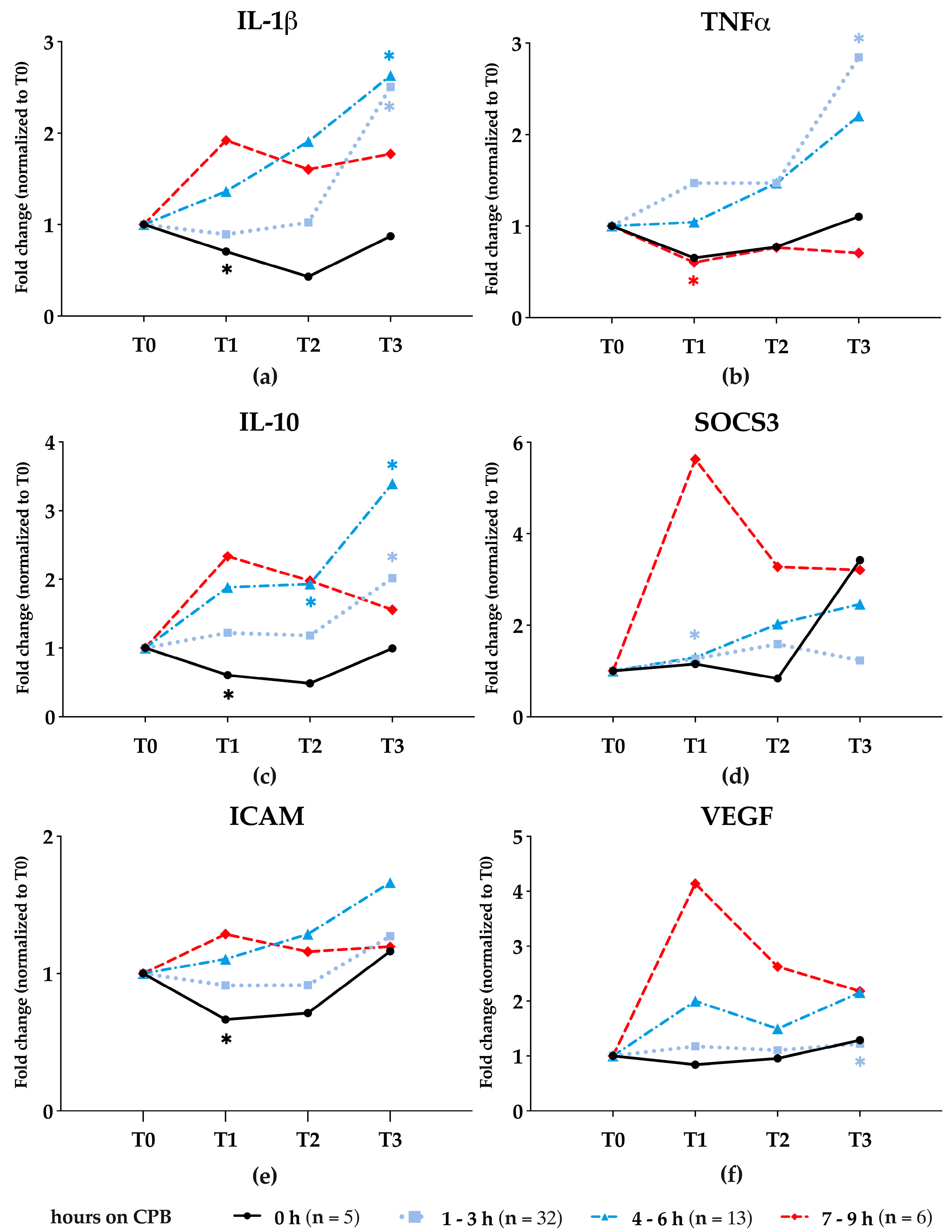
2.3. Prolonged Duration of CPB Correlated with Induced Inflammatory Response and Increased Expression of Mediators of Vascular Permeability in THP-1 Macrophages In Vitro
2.4. Stattic Attenuates CPB-Induced Cytokines and Mediators of Vascular Permiability but Promotes TNFα Expression in THP-1 Macrophages In Vitro
3. Discussion
4. Materials and Methods
4.1. Protocol for Serum Sample Collection
4.2. Cell Culture
4.3. Protein Isolation and Western Blot Analysis
4.4. RNA Isolation and RT-PCR
4.5. Statistical Analysis
5. Conclusions
Supplementary Materials
Author Contributions
Funding
Institutional Review Board Statement
Informed Consent Statement
Data Availability Statement
Acknowledgments
Conflicts of Interest
References
- Schwedler, G.; Lindinger, A.; Lange, P.E.; Sax, U.; Olchvary, J.; Peters, B.; Bauer, U.; Hense, H.W. Frequency and spectrum of congenital heart defects among live births in Germany: A study of the Competence Network for Congenital Heart Defects. Clin. Res. Cardiol. 2011, 100, 1111–1117. [Google Scholar] [CrossRef] [PubMed]
- Warren, O.J.; Smith, A.J.; Alexiou, C.; Rogers, P.L.; Jawad, N.; Vincent, C.; Darzi, A.W.; Athanasiou, T. The inflammatory response to cardiopulmonary bypass: Part 1—mechanisms of pathogenesis. J. Cardiothorac. Vasc. Anesth. 2009, 23, 223–231. [Google Scholar] [CrossRef] [PubMed]
- Paparella, D.; Yau, T.M.; Young, E. Cardiopulmonary bypass induced inflammation: Pathophysiology and treatment. Update. Eur. J. Cardiothorac. Surg. 2002, 21, 232–244. [Google Scholar] [CrossRef] [PubMed]
- Seghaye, M.C.; Grabitz, R.G.; Duchateau, J.; Busse, S.; Dabritz, S.; Koch, D.; Alzen, G.; Hornchen, H.; Messmer, B.J.; Von Bernuth, G. Inflammatory reaction and capillary leak syndrome related to cardiopulmonary bypass in neonates undergoing cardiac operations. J. Thorac. Cardiovasc. Surg. 1996, 112, 687–697. [Google Scholar] [CrossRef] [PubMed]
- Hirleman, E.; Larson, D.F. Cardiopulmonary bypass and edema: Physiology and pathophysiology. Perfusion 2008, 23, 311–322. [Google Scholar] [CrossRef] [PubMed]
- Kozik, D.J.; Tweddell, J.S. Characterizing the inflammatory response to cardiopulmonary bypass in children. Ann. Thorac. Surg. 2006, 81, S2347–S2354. [Google Scholar] [CrossRef]
- Brix-Christensen, V. The systemic inflammatory response after cardiac surgery with cardiopulmonary bypass in children. Acta Anaesthesiol. Scand. 2001, 45, 671–679. [Google Scholar] [CrossRef]
- Ungerleider, R.M.; Shen, I. Optimizing response of the neonate and infant to cardiopulmonary bypass. Semin. Thorac. Cardiovasc. Surg. Pediatr. Card. Surg. Annu. 2003, 6, 140–146. [Google Scholar] [CrossRef]
- Güvener, M.; Korun, O.; Demirtürk, O.S. Risk factors for systemic inflammatory response after congenital cardiac surgery. J. Card. Surg. 2015, 30, 92–96. [Google Scholar] [CrossRef]
- Boehne, M.; Sasse, M.; Karch, A.; Dziuba, F.; Horke, A.; Kaussen, T.; Mikolajczyk, R.; Beerbaum, P.; Jack, T. Systemic inflammatory response syndrome after pediatric congenital heart surgery: Incidence, risk factors, and clinical outcome. J. Card. Surg. 2017, 32, 116–125. [Google Scholar] [CrossRef]
- Baumgartner, H.; Bonhoeffer, P.; De Groot, N.M.; de Haan, F.; Deanfield, J.E.; Galie, N.; Gatzoulis, M.A.; Gohlke-Baerwolf, C.; Kaemmerer, H.; Kilner, P.; et al. ESC Guidelines for the management of grown-up congenital heart disease (new version 2010). Eur. Heart J. 2010, 31, 2915–2957. [Google Scholar] [CrossRef] [PubMed]
- Warnes, C.A.; Liberthson, R.; Danielson, G.K.; Dore, A.; Harris, L.; Hoffman, J.I.; Somerville, J.; Williams, R.G.; Webb, G.D. Task force 1: The changing profile of congenital heart disease in adult life. J. Am. Coll. Cardiol. 2001, 37, 1170–1175. [Google Scholar] [CrossRef]
- Durandy, Y. Minimizing systemic inflammation during cardiopulmonary bypass in the pediatric population. Artif. Organs 2014, 38, 11–18. [Google Scholar] [CrossRef]
- Palanzo, D.A.; Wise, R.K.; Woitas, K.R.; Undar, A.; Clark, J.B.; Myers, J.L. Safety and utility of modified ultrafiltration in pediatric cardiac surgery. Perfusion 2023, 38, 150–155. [Google Scholar] [CrossRef]
- Bojan, M. Recent achievements and future developments in neonatal cardiopulmonary bypass. Paediatr. Anaesth. 2019, 29, 414–425. [Google Scholar] [CrossRef] [PubMed]
- Deptula, J.; Glogowski, K.; Merrigan, K.; Hanson, K.; Felix, D.; Hammel, J.; Duncan, K. Evaluation of biocompatible cardiopulmonary bypass circuit use during pediatric open heart surgery. J. Extra Corpor. Technol. 2006, 38, 22–26. [Google Scholar] [CrossRef] [PubMed]
- Golab, H.D.; Bogers, J.J. Small, smaller, smallest. Steps towards bloodless neonatal and infant cardiopulmonary bypass. Perfusion 2009, 24, 239–242. [Google Scholar] [CrossRef]
- Scrascia, G.; Rotunno, C.; Guida, P.; Amorese, L.; Polieri, D.; Codazzi, D.; Paparella, D. Perioperative steroids administration in pediatric cardiac surgery: A meta-analysis of randomized controlled trials. Pediatr. Crit. Care Med. 2014, 15, 435–442. [Google Scholar] [CrossRef]
- Lomivorotov, V.; Kornilov, I.; Boboshko, V.; Shmyrev, V.; Bondarenko, I.; Soynov, I.; Voytov, A.; Polyanskih, S.; Strunin, O.; Bogachev-Prokophiev, A.; et al. Effect of Intraoperative Dexamethasone on Major Complications and Mortality Among Infants Undergoing Cardiac Surgery: The DECISION Randomized Clinical Trial. JAMA 2020, 323, 2485–2492. [Google Scholar] [CrossRef]
- Graham, E.M.; Atz, A.M.; Butts, R.J.; Baker, N.L.; Zyblewski, S.C.; Deardorff, R.L.; DeSantis, S.M.; Reeves, S.T.; Bradley, S.M.; Spinale, F.G. Standardized preoperative corticosteroid treatment in neonates undergoing cardiac surgery: Results from a randomized trial. J. Thorac. Cardiovasc. Surg. 2011, 142, 1523–1529. [Google Scholar] [CrossRef]
- Graham, E.M.; Atz, A.M.; McHugh, K.E.; Butts, R.J.; Baker, N.L.; Stroud, R.E.; Reeves, S.T.; Bradley, S.M.; McGowan, F.X., Jr.; Spinale, F.G. Preoperative steroid treatment does not improve markers of inflammation after cardiac surgery in neonates: Results from a randomized trial. J. Thorac. Cardiovasc. Surg. 2014, 147, 902–908. [Google Scholar] [CrossRef] [PubMed]
- Ponomarev, D.; Boboshko, V.; Shmyrev, V.; Kornilov, I.; Bondarenko, I.; Soynov, I.; Voytov, A.; Polyanskih, S.; Strunin, O.; Bogachev, A.; et al. Dexamethasone in pEdiatric Cardiac Surgery (DECiSion): Rationale and design of a randomized controlled trial. Contemp. Clin. Trials 2018, 72, 16–19. [Google Scholar] [CrossRef] [PubMed]
- Nakamori, Y.; Koh, T.; Ogura, H.; Tanaka, H.; Fujimi, S.; Kasai, K.; Hosotubo, H.; Shimazu, T.; Sugimoto, H. Enhanced expression of intranuclear NF-kappa B in primed polymorphonuclear leukocytes in systemic inflammatory response syndrome patients. J. Trauma 2003, 54, 253–260. [Google Scholar] [CrossRef] [PubMed]
- Nakamori, Y.; Ogura, H.; Koh, T.; Fujita, K.; Tanaka, H.; Sumi, Y.; Hosotsubo, H.; Yoshiya, K.; Irisawa, T.; Kuwagata, Y.; et al. The balance between expression of intranuclear NF-kappaB and glucocorticoid receptor in polymorphonuclear leukocytes in SIRS patients. J. Trauma 2005, 59, 308–314. [Google Scholar] [CrossRef] [PubMed]
- Hirano, T. IL-6 in inflammation, autoimmunity and cancer. Int. Immunol. 2021, 33, 127–148. [Google Scholar] [CrossRef]
- Hu, X.; Li, J.; Fu, M.; Zhao, X.; Wang, W. The JAK/STAT signaling pathway: From bench to clinic. Signal Transduct. Target. Ther. 2021, 6, 402. [Google Scholar] [CrossRef]
- Cai, B.; Cai, J.P.; Luo, Y.L.; Chen, C.; Zhang, S. The Specific Roles of JAK/STAT Signaling Pathway in Sepsis. Inflammation 2015, 38, 1599–1608. [Google Scholar] [CrossRef]
- Lee, H.; Herrmann, A.; Deng, J.H.; Kujawski, M.; Niu, G.; Li, Z.; Forman, S.; Jove, R.; Pardoll, D.M.; Yu, H. Persistently activated Stat3 maintains constitutive NF-kappaB activity in tumors. Cancer Cell 2009, 15, 283–293. [Google Scholar] [CrossRef]
- Kishimoto, T. The biology of interleukin-6. Blood 1989, 74, 1–10. [Google Scholar] [CrossRef]
- Tanaka, T.; Kishimoto, T. The biology and medical implications of interleukin-6. Cancer Immunol. Res. 2014, 2, 288–294. [Google Scholar] [CrossRef]
- Sharma, D.; Farahbakhsh, N.; Shastri, S.; Sharma, P. Biomarkers for diagnosis of neonatal sepsis: A literature review. J. Matern. Fetal Neonatal Med. 2018, 31, 1646–1659. [Google Scholar] [CrossRef] [PubMed]
- Reddy, A.S.S.; Rao, S.S.; Shenoy, V.D.; Shetty, S. Role of Nuclear Factor-Kappa B Activation and Inflammatory Biomarkers in Critically Ill Children. Indian J. Pediatr. 2023, 91, 1075–1077. [Google Scholar] [CrossRef] [PubMed]
- Jenkins, K.J.; Gauvreau, K.; Newburger, J.W.; Spray, T.L.; Moller, J.H.; Iezzoni, L.I. Consensus-based method for risk adjustment for surgery for congenital heart disease. J. Thorac. Cardiovasc. Surg. 2002, 123, 110–118. [Google Scholar] [CrossRef] [PubMed]
- Lücht, J.; Seiler, R.; Herre, A.L.; Brankova, L.; Fritsche-Guenther, R.; Kirwan, J.; Huscher, D.; Münzfeld, H.; Berger, F.; Photiadis, J.; et al. Promising results of a clinical feasibility study: CIRBP as a potential biomarker in pediatric cardiac surgery. Front. Cardiovasc. Med. 2024, 11, 1247472. [Google Scholar] [CrossRef]
- de Jong, P.R.; Schadenberg, A.W.; van den Broek, T.; Beekman, J.M.; van Wijk, F.; Coffer, P.J.; Prakken, B.J.; Jansen, N.J. STAT3 regulates monocyte TNF-alpha production in systemic inflammation caused by cardiac surgery with cardiopulmonary bypass. PLoS ONE 2012, 7, e35070. [Google Scholar] [CrossRef] [PubMed]
- Halter, J.; Steinberg, J.; Fink, G.; Lutz, C.; Picone, A.; Maybury, R.; Fedors, N.; DiRocco, J.; Lee, H.M.; Nieman, G. Evidence of systemic cytokine release in patients undergoing cardiopulmonary bypass. J. Extra Corpor. Technol. 2005, 37, 272–277. [Google Scholar] [CrossRef]
- Sablotzki, A.; Friedrich, I.; Mühling, J.; Dehne, M.G.; Spillner, J.; Silber, R.E.; Czeslik, E. The systemic inflammatory response syndrome following cardiac surgery: Different expression of proinflammatory cytokines and procalcitonin in patients with and without multiorgan dysfunctions. Perfusion 2002, 17, 103–109. [Google Scholar] [CrossRef]
- Sandler, N.; Kaczmarek, E.; Itagaki, K.; Zheng, Y.; Otterbein, L.; Khabbaz, K.; Liu, D.; Senthilnathan, V.; Gruen, R.L.; Hauser, C.J. Mitochondrial DAMPs Are Released During Cardiopulmonary Bypass Surgery and Are Associated with Postoperative Atrial Fibrillation. Heart Lung Circ. 2018, 27, 122–129. [Google Scholar] [CrossRef]
- Takeda, K.; Clausen, B.E.; Kaisho, T.; Tsujimura, T.; Terada, N.; Förster, I.; Akira, S. Enhanced Th1 activity and development of chronic enterocolitis in mice devoid of Stat3 in macrophages and neutrophils. Immunity 1999, 10, 39–49. [Google Scholar] [CrossRef]
- Lang, R.; Patel, D.; Morris, J.J.; Rutschman, R.L.; Murray, P.J. Shaping gene expression in activated and resting primary macrophages by IL-10. J. Immunol. 2002, 169, 2253–2263. [Google Scholar] [CrossRef]
- Murray, P.J. The primary mechanism of the IL-10-regulated antiinflammatory response is to selectively inhibit transcription. Proc. Natl. Acad. Sci. USA 2005, 102, 8686–8691. [Google Scholar] [CrossRef] [PubMed]
- Wang, L.; Astone, M.; Alam, S.K.; Zhu, Z.; Pei, W.; Frank, D.A.; Burgess, S.M.; Hoeppner, L.H. Suppressing STAT3 activity protects the endothelial barrier from VEGF-mediated vascular permeability. Dis. Model. Mech. 2021, 14, dmm049029. [Google Scholar] [CrossRef] [PubMed]
- Bartoli, M.; Gu, X.; Tsai, N.T.; Venema, R.C.; Brooks, S.E.; Marrero, M.B.; Caldwell, R.B. Vascular endothelial growth factor activates STAT proteins in aortic endothelial cells. J. Biol. Chem. 2000, 275, 33189–33192. [Google Scholar] [CrossRef] [PubMed]
- Simons, M.; Gordon, E.; Claesson-Welsh, L. Mechanisms and regulation of endothelial VEGF receptor signalling. Nat. Rev. Mol. Cell Biol. 2016, 17, 611–625. [Google Scholar] [CrossRef] [PubMed]
- Tu, Y.; Guo, Y.; Sun, H.; Zhang, Y.; Wang, Q.; Xu, Y.; Xie, L.; Zhu, M. Tocilizumab attenuates choroidal neovascularization by regulating macrophage polarization through the IL-6R/STAT3/VEGF pathway. Heliyon 2024, 10, e27893. [Google Scholar] [CrossRef]
- Liu, X.; Zhang, A.; Xiang, J.; Lv, Y.; Zhang, X. miR-451 acts as a suppressor of angiogenesis in hepatocellular carcinoma by targeting the IL-6R-STAT3 pathway. Oncol. Rep. 2016, 36, 1385–1392. [Google Scholar] [CrossRef] [PubMed]
- Han, X.; Wang, Y.; Chen, H.; Zhang, J.; Xu, C.; Li, J.; Li, M. Enhancement of ICAM-1 via the JAK2/STAT3 signaling pathway in a rat model of severe acute pancreatitis-associated lung injury. Exp. Ther. Med. 2016, 11, 788–796. [Google Scholar] [CrossRef] [PubMed]
- Schmitt, K.R.; Fedarava, K.; Justus, G.; Redlin, M.; Böttcher, W.; Delmo Walter, E.M.; Hetzer, R.; Berger, F.; Miera, O. Hypothermia During Cardiopulmonary Bypass Increases Need for Inotropic Support but Does Not Impact Inflammation in Children Undergoing Surgical Ventricular Septal Defect Closure. Artif. Organs. 2016, 40, 470–479. [Google Scholar] [CrossRef] [PubMed]
- Chanput, W.; Mes, J.J.; Wichers, H.J. THP-1 cell line: An in vitro cell model for immune modulation approach. Int. Immunopharmacol. 2014, 23, 37–45. [Google Scholar] [CrossRef]
- Daigneault, M.; Preston, J.A.; Marriott, H.M.; Whyte, M.K.; Dockrell, D.H. The identification of markers of macrophage differentiation in PMA-stimulated THP-1 cells and monocyte-derived macrophages. PLoS ONE 2010, 5, e8668. [Google Scholar] [CrossRef]
- Schust, J.; Sperl, B.; Hollis, A.; Mayer, T.U.; Berg, T. Stattic: A small-molecule inhibitor of STAT3 activation and dimerization. Chem. Biol. 2006, 13, 1235–1242. [Google Scholar] [CrossRef] [PubMed]







| Sex | ||
|---|---|---|
| Male | Female | |
| Number of patients: 56 | 31 (55%) | 25 (45%) |
| Demographic data (median; range) | ||
| Age (years) | 2.3 (0–59) | 3.6 (0–65) |
| Weight (kg) | 11.6 (2.8–101) | 15.2 (3.2–104) |
| Characteristics of operation and CBP (median; range) | ||
| RACHS-1 | 3 (1–4) | 2 (1–6) |
| Warnes | 2 (1–3) | 2 (1–3) |
| Operation time (min) | 361 (93–900) | 313 (153–804) |
| CBP time (min) | 180 (0–540) | 120 (60–540) |
| Aortic cross-clamp time (min) | 79 (0–518) | 56 (0–266) |
| Gene | Assay ID |
|---|---|
| IL-1β | Hs01555410_m1 |
| IL-10 | Hs00961622_m1 |
| TNFα | Hs00174128_m1 |
| ICAM | Hs00164932_m1 |
| VEGF | Hs00900055_m1 |
| SOCS3 | Hs02330328_s1 |
| GAPDH | Hs02786624_g1 |
Disclaimer/Publisher’s Note: The statements, opinions and data contained in all publications are solely those of the individual author(s) and contributor(s) and not of MDPI and/or the editor(s). MDPI and/or the editor(s) disclaim responsibility for any injury to people or property resulting from any ideas, methods, instructions or products referred to in the content. |
© 2024 by the authors. Licensee MDPI, Basel, Switzerland. This article is an open access article distributed under the terms and conditions of the Creative Commons Attribution (CC BY) license (https://creativecommons.org/licenses/by/4.0/).
Share and Cite
Luecht, J.; Pauli, C.; Seiler, R.; Herre, A.-L.; Brankova, L.; Berger, F.; Schmitt, K.R.L.; Tong, G. Prolonged Extracorporeal Circulation Leads to Inflammation and Higher Expression of Mediators of Vascular Permeability Through Activation of STAT3 Signaling Pathway in Macrophages. Int. J. Mol. Sci. 2024, 25, 12398. https://doi.org/10.3390/ijms252212398
Luecht J, Pauli C, Seiler R, Herre A-L, Brankova L, Berger F, Schmitt KRL, Tong G. Prolonged Extracorporeal Circulation Leads to Inflammation and Higher Expression of Mediators of Vascular Permeability Through Activation of STAT3 Signaling Pathway in Macrophages. International Journal of Molecular Sciences. 2024; 25(22):12398. https://doi.org/10.3390/ijms252212398
Chicago/Turabian StyleLuecht, Jana, Camila Pauli, Raphael Seiler, Alexa-Leona Herre, Liliya Brankova, Felix Berger, Katharina R. L. Schmitt, and Giang Tong. 2024. "Prolonged Extracorporeal Circulation Leads to Inflammation and Higher Expression of Mediators of Vascular Permeability Through Activation of STAT3 Signaling Pathway in Macrophages" International Journal of Molecular Sciences 25, no. 22: 12398. https://doi.org/10.3390/ijms252212398
APA StyleLuecht, J., Pauli, C., Seiler, R., Herre, A.-L., Brankova, L., Berger, F., Schmitt, K. R. L., & Tong, G. (2024). Prolonged Extracorporeal Circulation Leads to Inflammation and Higher Expression of Mediators of Vascular Permeability Through Activation of STAT3 Signaling Pathway in Macrophages. International Journal of Molecular Sciences, 25(22), 12398. https://doi.org/10.3390/ijms252212398

