Stereoview Images of Hydrogen-Bonded Quinoxalines with a Helical Axis; Pyrimidines and a Pyridazine That Form Extended Tapes
Abstract
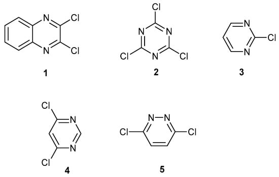
1. Introduction
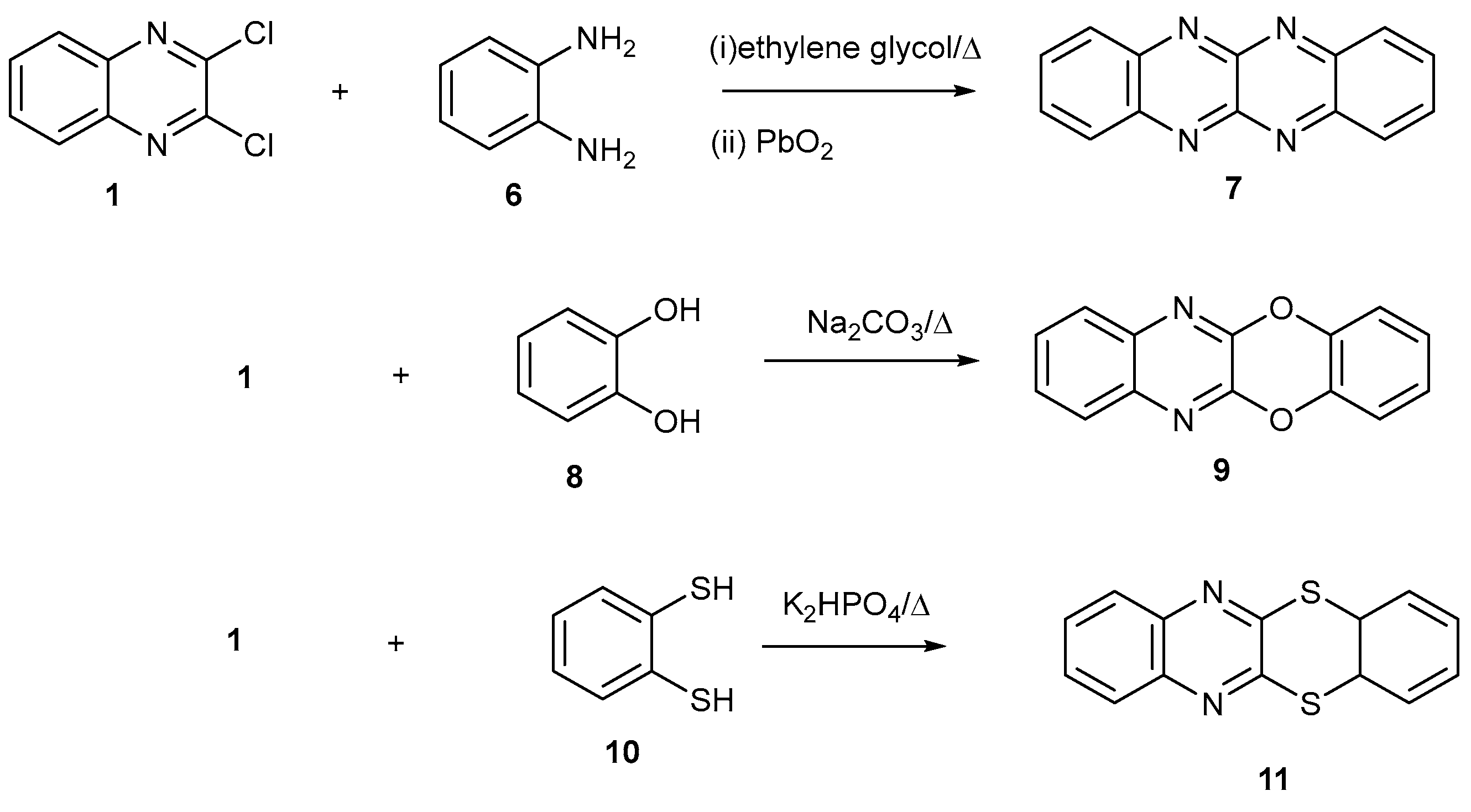
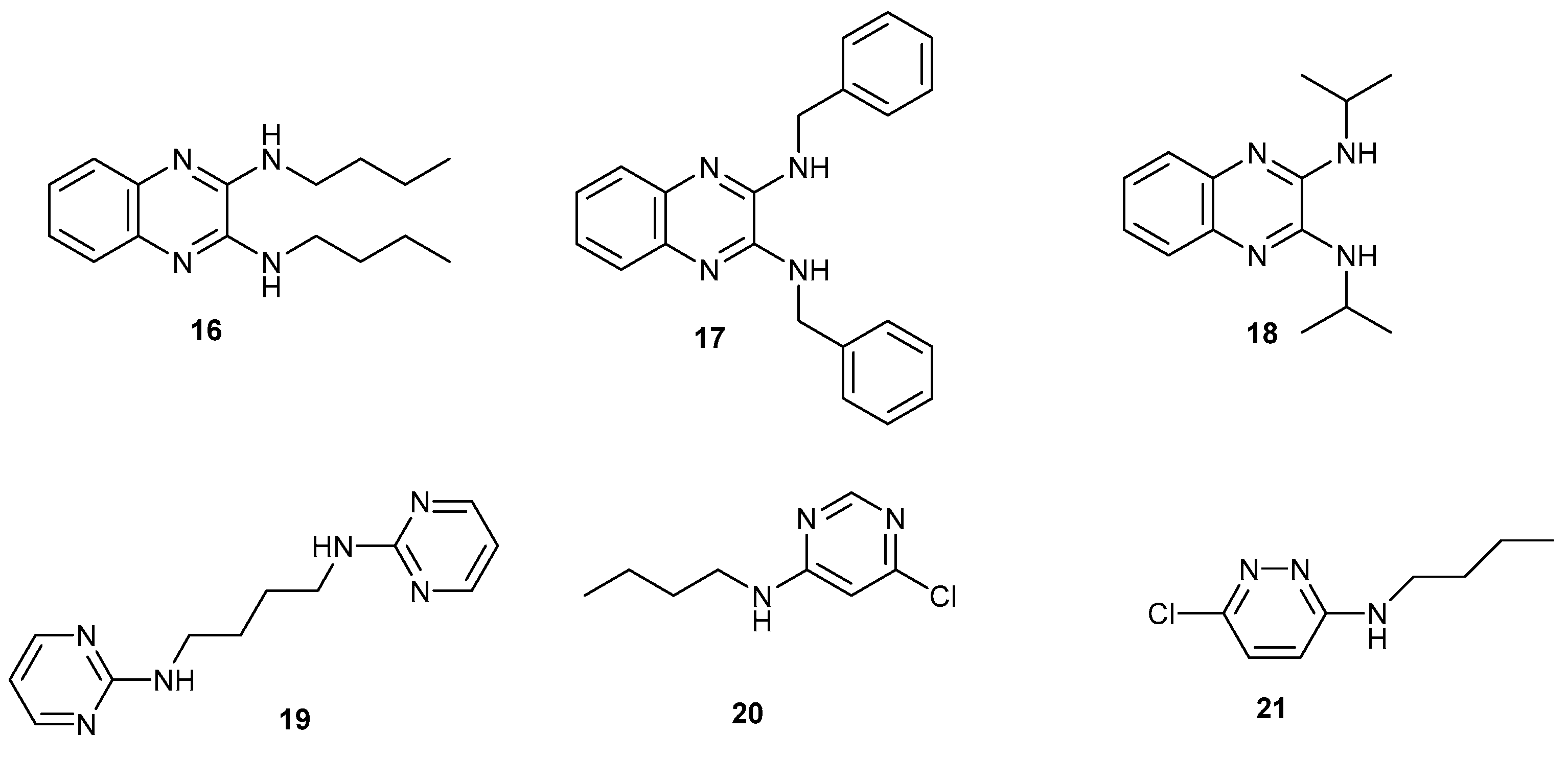
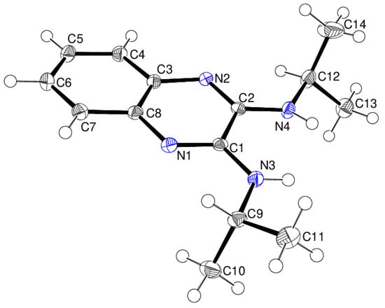
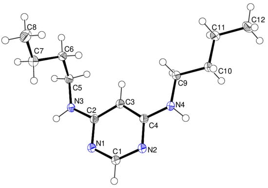
2. Results and Discussion
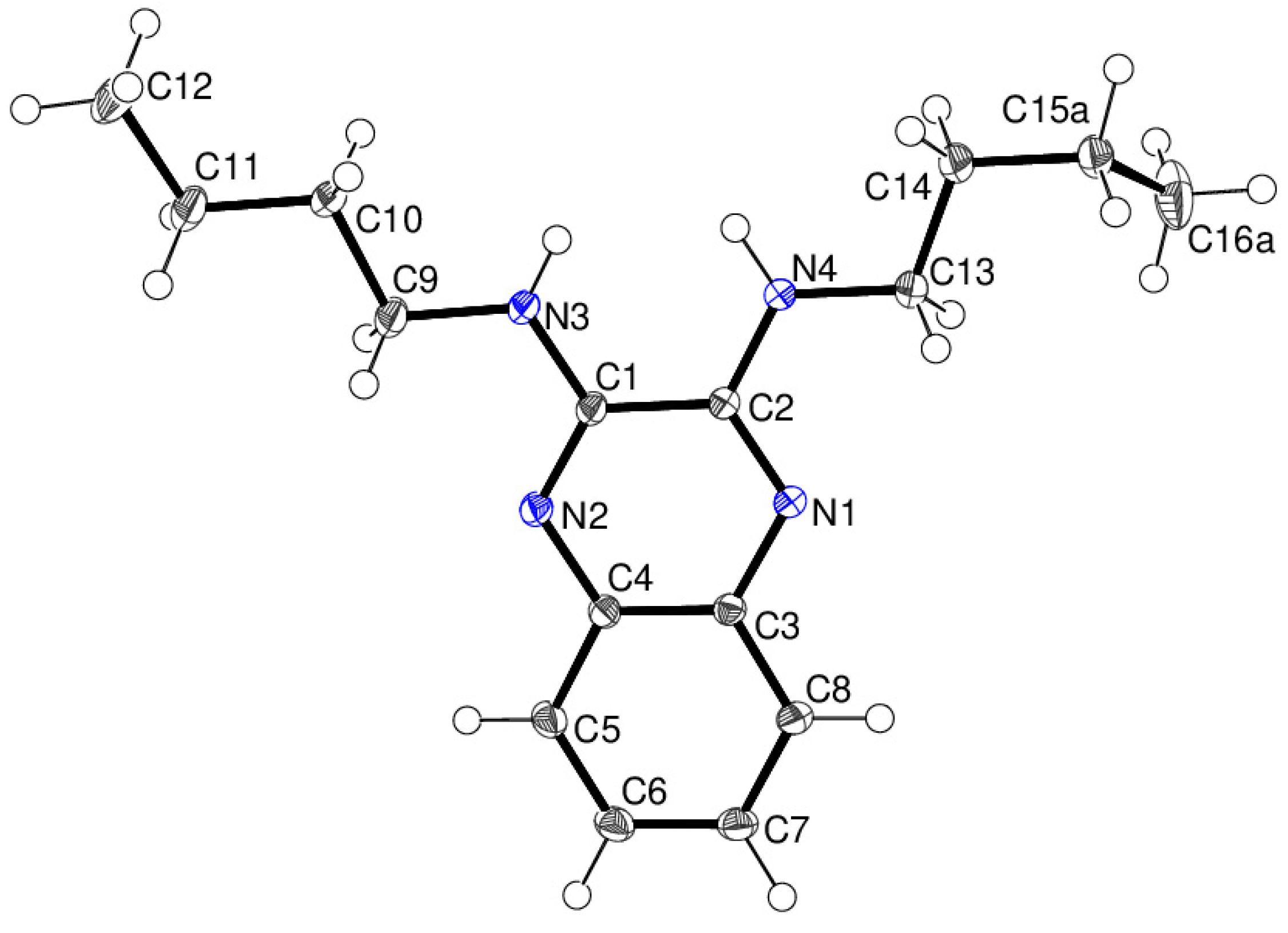
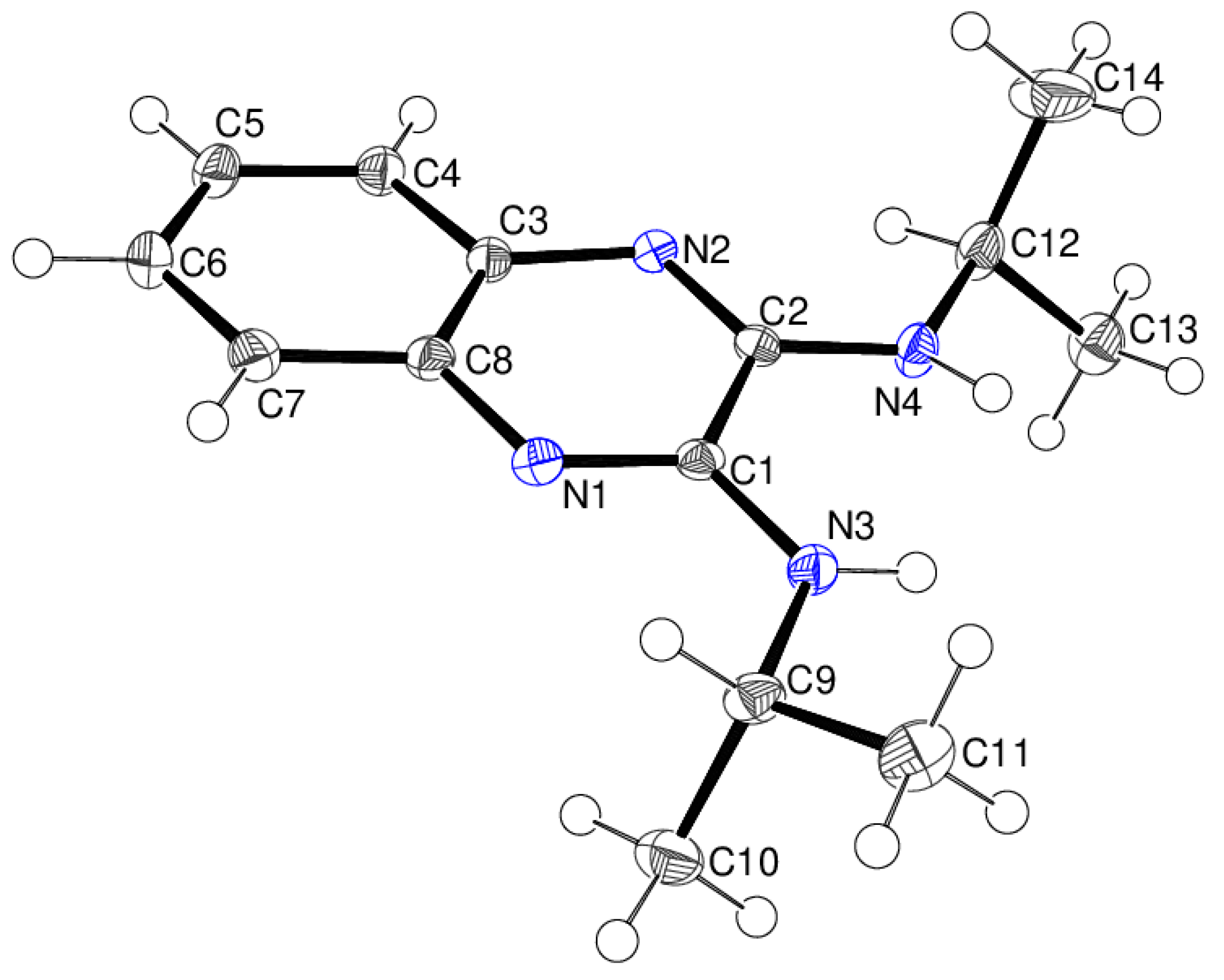
3. Crystal Structure Determinations
4. Materials and Methods
5. Conclusions
Supplementary Materials
Author Contributions
Funding
Institutional Review Board Statement
Informed Consent Statement
Data Availability Statement
Acknowledgments
Conflicts of Interest
References
- Plater, M.J.; Harrison, W.T.A. Sequential nucleophilic aromatic substitution reactions of activated halogens. Int. J. Mol. Sci. 2024, 25, 8162. [Google Scholar] [CrossRef] [PubMed]
- Beagle, L.K.; Horsting, E.; Buechele, J.; Beagle, J.K. Microwave assisted synthesis of quinoxaline derivatives. Res. Chem. 2023, 6, 101211. [Google Scholar] [CrossRef]
- Plater, M.J.; Harrison, W.T.A. Chiral Thianthrenes. Int. J. Mol. Sci. 2024, 25, 4311. [Google Scholar] [CrossRef] [PubMed]
- Kabir, E.; Uzzaman, M. A review on biological and medicinal impact of heterocyclic compounds. Res. Chem. 2022, 4, 100606. [Google Scholar] [CrossRef]
- Taylor, A.P.; Robinson, R.P.; Fobian, Y.M.; Blakemore, D.C.; Jonesb, L.H.; Fadeyi, O. Modern advances in heterocyclic chemistry in drug discovery. Org. Biomol. Chem. 2016, 14, 6611–6637. [Google Scholar] [CrossRef] [PubMed]
- Qadir, T.; Amin, A.; Sharma, P.K.; Jeelani, I.; Hitoshi Abe, H. A Review on Medicinally Important Heterocyclic Compounds. Open Med. Chem. J. 2022, 16, e187410452202280. [Google Scholar] [CrossRef]
- Braga, D.; Casali, L.; Grepioni, F. The relevance of crystal forms in the pharmaceutical field: Sword of damocles or innovation tools? Int. J. Mol. Sci. 2022, 23, 9013. [Google Scholar] [CrossRef]
- Beldi, R.; Atta, K.F.; Aboul-Ela, S.; Sayed, E.; Ashry, H.E. Efficient diverse approach for quinoxaline-derived glycosylated and morphinylated analogs. J. Heterocycl. Chem. 2011, 48, 50–56. [Google Scholar] [CrossRef]
- Komin, A.P.; Carmack, M. The chemistry of 1,2,5-thiadiazoles V. Synthesis of 3,4-diamino-1,2,5-thiadiazole and [1,2,5] thiadiazolo [3,4-b]pyrazines. J. Heterocycl. Chem. 1976, 13, 13–22. [Google Scholar] [CrossRef]
- Yang, Y.; Zhang, S.; Wu, B.; Ma, M.; Chen, X.; Qin, X.; He, M.; Hussain, S.; Jing, C.; Ma, B.; et al. An efficient synthesis of quinoxalinone derivatives as potent inhibitors of aldose reductase. ChemMedChem 2012, 7, 823–835. [Google Scholar] [CrossRef]
- Holzhauer, L.; Liagre, C.; Fuhr, O.; Jung, N.; Bräse, S. Scope of tetrazolo[1,5-a]quinoxalines in CuAAC reactions for the synthesis of triazoloquinoxalines, imidazoloquinoxalines, and rhenium complexes thereof. Beilstein J. Org. Chem. 2022, 18, 1088–1099. [Google Scholar] [CrossRef] [PubMed]
- Bandgar, B.P.; Sawant, S.S. Novel and gram-scale green synthesis of flutamide. Synth. Commun. 2006, 36, 859–864. [Google Scholar] [CrossRef]
- Šturala, J.; Boháčová, S.; Chudoba, J.; Metelková, R.; Cibulka, R. Electron-deficient heteroarenium salts: An organocatalytic tool for activation of hydrogen peroxide in oxidations. J. Org. Chem. 2015, 80, 2676–2699. [Google Scholar] [CrossRef]
- Sperber, N.; Papa, D.; Schwenk, E.; Sherlock, M.; Fricano, R.J. Histamine Antagonists. γ,γ-Disubstituted N,N-Dialkylpropylamines. Am. Chem. Soc. 1951, 73, 5752–5759. [Google Scholar] [CrossRef]
- Overberger, C.G.; Irving, C.; Kogon, I.C. Monomer synthesis. Methylation of 2-aminopyrimidine. J. Am. Chem. Soc. 1954, 76, 1065–1068. [Google Scholar] [CrossRef]
- Kenner, G.W.; Lythgoe, B.; Todd, A.R.; Topham, A. Experiments on the synthesis of purine nucleosides. Part IV. 4, 6-Diaminopyrimidine. A new synthesis of pyrimidine derivatives. J. Chem. Soc. 1943, 152, 574–575. [Google Scholar] [CrossRef]
- Hull, R. A new synthesis of 4:6-dihydroxypyrimidines. J. Chem. Soc. 1951, 3, 2214. [Google Scholar]
- Wang, J.; Li, Y.-H.; Pan, S.-C.; Li, M.-F.; Du, W.; Yin, H. Efficient phosphorus-free chlorination of hydroxy aza-arenes and their application in one-pot pharmaceutical synthesis. Org. Process Res. Dev. 2020, 24, 146–153. [Google Scholar] [CrossRef]
- Al-Awadi, N.; Taylor, R. The mechanism of thermal eliminations. Part 18.’ Relative rates of pyrolysis of 2-ethoxypyrazine, 3-ethoxypyridazine, 2-and 4-ethoxypyrimidine, 3- chloro- 6-ethoxypyridazine, and 2-chloro-4-ethoxypyrimidine: The effect of the aza ‘substituent’ and π-bond order on the elimination rate. J. Chem. Soc. Perkin Trans. II 1986, 8, 1255–1258. [Google Scholar]
- Mizzoni, R.H.; Spoerri, P.E. Synthesis in the pyridazine series. I. Pyridazine and 3,6-dichloropyridazine. J. Am. Chem. Soc. 1951, 73, 1873–1874. [Google Scholar] [CrossRef]
- Isoda, K.; Nakamura, M.; Tatenuma, T.; Ogata, H.; Sugaya, T.; Tadokoro, M. Synthesis and characterization of electron-accepting non-substituted tetra-azaacene derivatives. Chem. Lett. 2012, 41, 937–939. [Google Scholar] [CrossRef]
- Nafe, J.; Herbert, S.; Auras, F.; Karaghiosoff, K.; Bein, T.; Knochel, P. Functionalization of quinoxalines by using TMP bases: Preparation of tetracyclic heterocycles with high photoluminescene quantum yields. Chem. Eur. J. 2015, 21, 1102–1107. [Google Scholar] [CrossRef] [PubMed]
- Lee, H.H.; Denny, W.A. An improved synthesis of substituted dibenzo[l,4]dioxines. J. Chem. Soc. Perkin Trans. 1990, 1, 1071–1074. [Google Scholar] [CrossRef]
- Li, Y.; Lou, Z.; Li, H.; Yang, H.; Zhao, Y. Bioorthogonal ligation and cleavage by reactions of chloroquinoxalines with ortho-dithiophenols. Angew. Chem. Int. Ed. 2020, 59, 3671–3677. [Google Scholar] [CrossRef]
- Aldilla, V.R.; Bhadbhade, M.; Bhattacharyya, S.; Kumar, N.; Rich, A.M.; Marjo, C.E. Controlling the distance between hydrogen-bonded chloro-s-triazine tapes: Crystal engineering using N-alkyl chains and the influence of temperature. CrystEngComm 2017, 19, 4749–4758. [Google Scholar] [CrossRef]
- Huang, X.; Xu, S.; Tan, Q.; Gao, M.; Li, M.; Xu, B. A copper-mediated tandem reaction through isocyanide insertion into N–H bonds: Efficient access to unsymmetrical tetrasubstituted ureas. Chem. Commun. 2014, 50, 1465–1468. [Google Scholar] [CrossRef] [PubMed]
- Whitehead, C.W.; Traverso, J.J. Diuretics. III. 4,6-Diaminopyrimidine. J. Am. Chem. Soc. 1958, 80, 2185–2189. [Google Scholar] [CrossRef]
- Wang, L.-X.; Wang, D.-X.; Huang, Z.-T.; Wang, M.-X. Synthesis and highly selective bromination of azacalix[4]pyrimidine macrocycles. J. Org. Chem. 2010, 75, 741–747. [Google Scholar] [CrossRef]
- Parrot, I.; Wermuth, C.-G.; Hibert, M. Resin-bound thiophenols as SNAR-labile linkers: Application to the solid phase synthesis of aminopyridazines. Tetrahedron Lett. 1999, 40, 7975–7978. [Google Scholar] [CrossRef]
- Plater, M.J.; Harrison, W.T.A.; de los Toyos, L.M.M.; Hendry, L. The consistent hexameric paddle-wheel crystallisation motif of a family of 2,4-bis(n-alkylamino)nitrobenzenes: Alkyl = pentyl, hexyl, heptyl and octyl. J. Chem. Res. 2017, 41, 235–238. [Google Scholar] [CrossRef]
- Iranpoor, N.; Rahimi, S.; Panahi, F. In situ generated and stabilized Pd nanoparticles by N2,N4,N6-tridodecyl-1,3,5-triazine-2,4,6-triamine (TDTAT) as a reactive and efficient catalyst for the Suzuki–Miyaura reaction in water. RSC Adv. 2016, 6, 3084–3090. [Google Scholar] [CrossRef]
- Bosch, E.; Bowling, N.P.; Darko, J. The power of non-conventional phenyl CH···N hydrogen bonds: Supportive crystal-packing force and dominant supramolecular engineering force. Cryst. Growth Des. 2015, 15, 1634–1641. [Google Scholar] [CrossRef]
- Hübscher, J.; Seichter, W.; Weber, E. Intermolecular contacts in the crystal structures of specifically varied halogen and protonic group substituted azines. CrystEngComm 2017, 19, 3026–3036. [Google Scholar] [CrossRef]
- Horowitz, S.; Trievel, R.C. Carbon–Oxygen Hydrogen Bonding in Biological Structure and Function. J. Biol. Chem. 2012, 287, 41576–41582. [Google Scholar] [CrossRef] [PubMed]
- Gu, Y.; Kar, T.; Scheiner, S. Fundamental Properties of the CH···O Interaction: Is It a True Hydrogen Bond? J. Am. Chem. Soc. 1999, 121, 9411–9422. [Google Scholar] [CrossRef]
- Vibhute, A.M.; Priyakumar, U.D.; Ravi, A.; Sureshan, K.M. Model molecules to classify CH⋯O hydrogen-bonds. Chem. Commun. 2018, 54, 4629–4632. [Google Scholar] [CrossRef]
- Derewenda, Z.S.; Lee, L.; Derewenda, U. The occurrence of CH...O hydrogen bonds in proteins. J. Mol. Biol. 1995, 252, 248–262. [Google Scholar] [CrossRef]
- Itoh, Y.; Nakashima, Y. N+-CH···O Hydrogen bonds in protein-ligand complexes. Sci. Rep. 2019, 9, 767. [Google Scholar] [CrossRef]
- Etter, M.C.; MacDonald, J.C.; Bernstein, J. Graph-Set Analysis of Hydrogen-Bond Patterns in Organic Crystals. Acta Crystallogr. 1990, B46, 256–262. [Google Scholar] [CrossRef]
- Groom, C.R.; Bruno, I.J.; Lightfoot, M.P.; Ward, S.C. The Cambridge Structural Database. Acta Crystallogr. 2016, B72, 171–179. [Google Scholar] [CrossRef]
- Sheldrick, G.M. SHELXT—Integrated space-group and crystal-structure determination. Acta Crystallogr. 2015, A71, 3–8. [Google Scholar] [CrossRef] [PubMed]
- Sheldrick, G.M. Crystal structure refinement with SHELXL. Acta Crystallogr. 2015, C71, 3–8. [Google Scholar]
- Farrugia, L.J. WinGX and ORTEP for Windows: An update. J. Appl. Crystallogr. 2012, 45, 849–854. [Google Scholar] [CrossRef]
- Macrae, C.F.; Sovago, I.; Cottrell, S.J.; Galek, P.T.A.; McCabe, P.; Pidcock, E.; Platings, M.; Shields, G.P.; Stevens, J.S.; Towler, M.; et al. Mercury 4.0: From visualization to analysis, design and prediction. J. Appl. Crystallogr. 2020, 53, 226–235. [Google Scholar] [CrossRef]
- Plater, M.J.; Esslemont, A.J.; Harrison, W.T.A. Porous and close packed supramolecular assemblies from 2,4-difluoronitrobenzene with three different linkers and a butylamine cap. Int. J. Mol. Sci. 2023, 24, 14683. [Google Scholar] [CrossRef]


























Disclaimer/Publisher’s Note: The statements, opinions and data contained in all publications are solely those of the individual author(s) and contributor(s) and not of MDPI and/or the editor(s). MDPI and/or the editor(s) disclaim responsibility for any injury to people or property resulting from any ideas, methods, instructions or products referred to in the content. |
© 2024 by the authors. Licensee MDPI, Basel, Switzerland. This article is an open access article distributed under the terms and conditions of the Creative Commons Attribution (CC BY) license (https://creativecommons.org/licenses/by/4.0/).
Share and Cite
Plater, M.J.; Harrison, W.T.A. Stereoview Images of Hydrogen-Bonded Quinoxalines with a Helical Axis; Pyrimidines and a Pyridazine That Form Extended Tapes. Int. J. Mol. Sci. 2024, 25, 12329. https://doi.org/10.3390/ijms252212329
Plater MJ, Harrison WTA. Stereoview Images of Hydrogen-Bonded Quinoxalines with a Helical Axis; Pyrimidines and a Pyridazine That Form Extended Tapes. International Journal of Molecular Sciences. 2024; 25(22):12329. https://doi.org/10.3390/ijms252212329
Chicago/Turabian StylePlater, Michael John, and William T. A. Harrison. 2024. "Stereoview Images of Hydrogen-Bonded Quinoxalines with a Helical Axis; Pyrimidines and a Pyridazine That Form Extended Tapes" International Journal of Molecular Sciences 25, no. 22: 12329. https://doi.org/10.3390/ijms252212329
APA StylePlater, M. J., & Harrison, W. T. A. (2024). Stereoview Images of Hydrogen-Bonded Quinoxalines with a Helical Axis; Pyrimidines and a Pyridazine That Form Extended Tapes. International Journal of Molecular Sciences, 25(22), 12329. https://doi.org/10.3390/ijms252212329

