Small Molecule Inhibitors of Mycobacterium tuberculosis Topoisomerase I Identified by Machine Learning and In Vitro Assays
Abstract
1. Introduction
2. Results
2.1. Machine-Learning-Based Virtual Screen for Inhibitors of MtbTOP1
2.2. Identification of MtbTOP1 Inhibitors from the Virtual Screening Hits
| Code (Enamine ID) | Glide Emodel Score [38,39] | Structure |
|---|---|---|
| AW-2 (Z87600393) | −63.535 | ![]() |
| AW-8 (Z113583514) | −69.157 | ![]() |
| AW-24 (Z57788727) | −69.784 | ![]() |
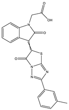
| AW-26 (Z15957051) | −70.747 | ![]() |


2.3. Evaluation of AW-26 Analogs for MtbTOP1 Inhibition
2.4. Evaluation of Inhibitor Selectivity with Human Topoisomerase I Assay
3. Discussion
4. Materials and Methods
4.1. Assay of MtbTOP1 Relaxation Activity
4.2. Assay of Human Topoisomerase I Relaxation Activity
4.3. Machine-Learning-Based Molecular Screen for Inhibitors of MtbTOP1
4.4. Docking of MtbTOP1 Inhibitors
Supplementary Materials
Author Contributions
Funding
Institutional Review Board Statement
Informed Consent Statement
Data Availability Statement
Conflicts of Interest
References
- Tang, K.W.K.; Millar, B.C.; Moore, J.E. Antimicrobial Resistance (AMR). Br. J. Biomed. Sci. 2023, 80, 11387. [Google Scholar] [CrossRef]
- Pedersen, O.S.; Rudolf, F.; Johansen, I.S.; Andersen, Å.B.; Lillebæk, T.; Wejse, C.M.; Dahl, V.N. Drug-resistant tuberculosis is a global cause of concern. Ugeskr. Laeger 2024, 186, V11230698. [Google Scholar] [CrossRef]
- Negi, A.; Perveen, S.; Gupta, R.; Singh, P.P.; Sharma, R. Unraveling Dilemmas and Lacunae in the Escalating Drug Resistance of Mycobacterium tuberculosis to Bedaquiline, Delamanid, and Pretomanid. J. Med. Chem. 2024, 67, 2264–2286. [Google Scholar] [CrossRef] [PubMed]
- McKie, S.J.; Neuman, K.C.; Maxwell, A. DNA topoisomerases: Advances in understanding of cellular roles and multi-protein complexes via structure-function analysis. Bioessays 2021, 43, e2000286. [Google Scholar] [CrossRef] [PubMed]
- Pommier, Y.; Nussenzweig, A.; Takeda, S.; Austin, C. Human topoisomerases and their roles in genome stability and organization. Nat. Rev. Mol. Cell Biol. 2022, 23, 407–427. [Google Scholar] [CrossRef]
- Vos, S.M.; Tretter, E.M.; Schmidt, B.H.; Berger, J.M. All tangled up: How cells direct, manage and exploit topoisomerase function. Nat. Rev. Mol. Cell Biol. 2011, 12, 827–841. [Google Scholar] [CrossRef] [PubMed]
- Bush, N.G.; Evans-Roberts, K.; Maxwell, A. DNA Topoisomerases. EcoSal Plus 2015, 6, 10-1128. [Google Scholar] [CrossRef]
- Schreiber, A.R.; O’Bryant, C.L.; Kabos, P.; Diamond, J.R. The emergence of targeted therapy for HER2-low triple-negative breast cancer: A review of fam-trastuzumab deruxtecan. Expert. Rev. Anticancer Ther. 2023, 23, 1061–1069. [Google Scholar] [CrossRef]
- Bjornsti, M.A.; Kaufmann, S.H. Topoisomerases and cancer chemotherapy: Recent advances and unanswered questions. F1000Research 2019, 8, 1704. [Google Scholar] [CrossRef]
- Bush, N.G.; Diez-Santos, I.; Abbott, L.R.; Maxwell, A. Quinolones: Mechanism, Lethality and Their Contributions to Antibiotic Resistance. Molecules 2020, 25, 5662. [Google Scholar] [CrossRef]
- Thomas, A.; Pommier, Y. Targeting Topoisomerase I in the Era of Precision Medicine. Clin. Cancer Res. 2019, 25, 6581–6589. [Google Scholar] [CrossRef]
- Cinelli, M.A. Topoisomerase 1B poisons: Over a half-century of drug leads, clinical candidates, and serendipitous discoveries. Med. Res. Rev. 2019, 39, 1294–1337. [Google Scholar] [CrossRef] [PubMed]
- Nitiss, J.L. Targeting DNA topoisomerase II in cancer chemotherapy. Nat. Rev. Cancer 2009, 9, 338–350. [Google Scholar] [CrossRef]
- Vann, K.R.; Oviatt, A.A.; Osheroff, N. Topoisomerase II Poisons: Converting Essential Enzymes into Molecular Scissors. Biochemistry 2021, 60, 1630–1641. [Google Scholar] [CrossRef]
- Pommier, Y. Drugging topoisomerases: Lessons and challenges. ACS Chem. Biol. 2013, 8, 82–95. [Google Scholar] [CrossRef] [PubMed]
- Suerbaum, S.; Brauer-Steppkes, T.; Labigne, A.; Cameron, B.; Drlica, K. Topoisomerase I of Helicobacter pylori: Juxtaposition with a flagellin gene (flaB) and functional requirement of a fourth zinc finger motif. Gene 1998, 210, 151–161. [Google Scholar] [CrossRef] [PubMed]
- Yan, R.; Hu, S.; Ma, N.; Song, P.; Liang, Q.; Zhang, H.; Li, Y.; Shen, L.; Duan, K.; Chen, L. Regulatory Effect of DNA Topoisomerase I on T3SS Activity, Antibiotic Susceptibility and Quorum- Sensing-Independent Pyocyanin Synthesis in Pseudomonas aeruginosa. Int. J. Mol. Sci. 2019, 20, 1116. [Google Scholar] [CrossRef]
- García-López, M.; Megias, D.; Ferrándiz, M.J.; de la Campa, A.G. The balance between gyrase and topoisomerase I activities determines levels of supercoiling, nucleoid compaction, and viability in bacteria. Front. Microbiol. 2022, 13, 1094692. [Google Scholar] [CrossRef]
- Ahmed, W.; Menon, S.; Godbole, A.A.; Karthik, P.V.; Nagaraja, V. Conditional silencing of topoisomerase I gene of Mycobacterium tuberculosis validates its essentiality for cell survival. FEMS Microbiol. Lett. 2014, 353, 116–123. [Google Scholar] [CrossRef]
- Nagaraja, V.; Godbole, A.A.; Henderson, S.R.; Maxwell, A. DNA topoisomerase I and DNA gyrase as targets for TB therapy. Drug Discov. Today 2017, 22, 510–518. [Google Scholar] [CrossRef]
- Nyang’wa, B.T.; Berry, C.; Kazounis, E.; Motta, I.; Parpieva, N.; Tigay, Z.; Moodliar, R.; Dodd, M.; Solodovnikova, V.; Liverko, I.; et al. Short oral regimens for pulmonary rifampicin-resistant tuberculosis (TB-PRACTECAL): An open-label, randomised, controlled, phase 2B-3, multi-arm, multicentre, non-inferiority trial. Lancet Respir. Med. 2024, 12, 117–128. [Google Scholar] [CrossRef] [PubMed]
- Ravishankar, S.; Ambady, A.; Awasthy, D.; Mudugal, N.V.; Menasinakai, S.; Jatheendranath, S.; Guptha, S.; Sharma, S.; Balakrishnan, G.; Nandishaiah, R.; et al. Genetic and chemical validation identifies Mycobacterium tuberculosis topoisomerase I as an attractive anti-tubercular target. Tuberculosis 2015, 95, 589–598. [Google Scholar] [CrossRef]
- Cao, N.; Tan, K.; Annamalai, T.; Joachimiak, A.; Tse-Dinh, Y.C. Investigating mycobacterial topoisomerase I mechanism from the analysis of metal and DNA substrate interactions at the active site. Nucleic Acids Res. 2018, 46, 7296–7308. [Google Scholar] [CrossRef] [PubMed]
- Dasgupta, T.; Ferdous, S.; Tse-Dinh, Y.C. Mechanism of Type IA Topoisomerases. Molecules 2020, 25, 4769. [Google Scholar] [CrossRef]
- Sandhaus, S.; Chapagain, P.P.; Tse-Dinh, Y.C. Discovery of novel bacterial topoisomerase I inhibitors by use of in silico docking and in vitro assays. Sci. Rep. 2018, 8, 1437. [Google Scholar] [CrossRef]
- Godbole, A.A.; Ahmed, W.; Bhat, R.S.; Bradley, E.K.; Ekins, S.; Nagaraja, V. Targeting Mycobacterium tuberculosis topoisomerase I by small-molecule inhibitors. Antimicrob. Agents Chemother. 2015, 59, 1549–1557. [Google Scholar] [CrossRef]
- Godbole, A.A.; Ahmed, W.; Bhat, R.S.; Bradley, E.K.; Ekins, S.; Nagaraja, V. Inhibition of Mycobacterium tuberculosis topoisomerase I by m-AMSA, a eukaryotic type II topoisomerase poison. Biochem. Biophys. Res. Commun. 2014, 446, 916–920. [Google Scholar] [CrossRef] [PubMed]
- Ekins, S.; Godbole, A.A.; Kéri, G.; Orfi, L.; Pato, J.; Bhat, R.S.; Verma, R.; Bradley, E.K.; Nagaraja, V. Machine learning and docking models for Mycobacterium tuberculosis topoisomerase I. Tuberculosis 2017, 103, 52–60. [Google Scholar] [CrossRef] [PubMed]
- The Atomwise AIMS Program. AI is a viable alternative to high throughput screening: A 318-target study. Sci. Rep. 2024, 14, 7526. [CrossRef]
- Alkan, C.; O’Brien, T.; Kenyon, V.; Ikegami, T. Computer-Selected Antiviral Compounds: Assessing In Vitro Efficacies against Rift Valley Fever Virus. Viruses 2024, 16, 88. [Google Scholar] [CrossRef]
- Chen, J.; Bolhuis, D.L.; Laggner, C.; Kong, D.; Yu, L.; Wang, X.; Emanuele, M.J.; Brown, N.G.; Liu, P. AtomNet-Aided OTUD7B Inhibitor Discovery and Validation. Cancers 2023, 15, 517. [Google Scholar] [CrossRef] [PubMed]
- Parijat, P.; Attili, S.; Hoare, Z.; Shattock, M.; Kenyon, V.; Kampourakis, T. Discovery of a novel cardiac-specific myosin modulator using artificial intelligence-based virtual screening. Nat. Commun. 2023, 14, 7692. [Google Scholar] [CrossRef] [PubMed]
- Stecula, A.; Hussain, M.S.; Viola, R.E. Discovery of Novel Inhibitors of a Critical Brain Enzyme Using a Homology Model and a Deep Convolutional Neural Network. J. Med. Chem. 2020, 63, 8867–8875. [Google Scholar] [CrossRef] [PubMed]
- Hsieh, C.H.; Li, L.; Vanhauwaert, R.; Nguyen, K.T.; Davis, M.D.; Bu, G.; Wszolek, Z.K.; Wang, X. Miro1 Marks Parkinson’s Disease Subset and Miro1 Reducer Rescues Neuron Loss in Parkinson’s Models. Cell Metab. 2019, 30, 1131–1140.e7. [Google Scholar] [CrossRef]
- Huang, C.; Bernard, D.; Zhu, J.; Dash, R.C.; Chu, A.; Knupp, A.; Hakey, A.; Hadden, M.K.; Garmendia, A.; Tang, Y. Small molecules block the interaction between porcine reproductive and respiratory syndrome virus and CD163 receptor and the infection of pig cells. Virol. J. 2020, 17, 116. [Google Scholar] [CrossRef]
- Su, S.; Chen, J.; Jiang, Y.; Wang, Y.; Vital, T.; Zhang, J.; Laggner, C.; Nguyen, K.T.; Zhu, Z.; Prevatte, A.W.; et al. SPOP and OTUD7A Control EWS-FLI1 Protein Stability to Govern Ewing Sarcoma Growth. Adv. Sci. 2021, 8, e2004846. [Google Scholar] [CrossRef]
- Wallach, I.; Dzamba, M.; Heifets, A. AtomNet: A deep convolutional neural network for bioactivity prediction in structure-based drug discovery. arXiv 2015, arXiv:1510.02855. [Google Scholar]
- Friesner, R.A.; Banks, J.L.; Murphy, R.B.; Halgren, T.A.; Klicic, J.J.; Mainz, D.T.; Repasky, M.P.; Knoll, E.H.; Shelley, M.; Perry, J.K.; et al. Glide: A new approach for rapid, accurate docking and scoring. 1. Method and assessment of docking accuracy. J. Med. Chem. 2004, 47, 1739–1749. [Google Scholar] [CrossRef]
- Friesner, R.A.; Murphy, R.B.; Repasky, M.P.; Frye, L.L.; Greenwood, J.R.; Halgren, T.A.; Sanschagrin, P.C.; Mainz, D.T. Extra precision glide: Docking and scoring incorporating a model of hydrophobic enclosure for protein-ligand complexes. J. Med. Chem. 2006, 49, 6177–6196. [Google Scholar] [CrossRef]
- Tiwari, P.B.; Chapagain, P.P.; Seddek, A.; Annamalai, T.; Uren, A.; Tse-Dinh, Y.C. Covalent Complex of DNA and Bacterial Topoisomerase: Implications in Antibacterial Drug Development. ChemMedChem 2020, 15, 623–631. [Google Scholar] [CrossRef]
- Seddek, A.; Madeira, C.; Annamalai, T.; Mederos, C.; Tiwari, P.B.; Welch, A.Z.; Tse-Dinh, Y.-C. A Yeast-Based Screening System for Differential Identification of Poisons and Suppressors of Human Topoisomerase I. Front. Biosci. 2022, 27, 93. [Google Scholar] [CrossRef] [PubMed]
- López-Lázaro, M.; Willmore, E.; Austin, C.A. The dietary flavonoids myricetin and fisetin act as dual inhibitors of DNA topoisomerases I and II in cells. Mutat. Res. 2010, 696, 41–47. [Google Scholar] [CrossRef]
- Seddek, A.; Annamalai, T.; Tse-Dinh, Y.C. Type IA Topoisomerases as Targets for Infectious Disease Treatments. Microorganisms 2021, 9, 86. [Google Scholar] [CrossRef]
- García, M.T.; Carreño, D.; Tirado-Vélez, J.M.; Ferrándiz, M.J.; Rodrigues, L.; Gracia, B.; Amblar, M.; Ainsa, J.A.; de la Campa, A.G. Boldine-Derived Alkaloids Inhibit the Activity of DNA Topoisomerase I and Growth of Mycobacterium tuberculosis. Front. Microbiol. 2018, 9, 1659. [Google Scholar] [CrossRef]
- Gupta, R.; Rodrigues Felix, C.; Akerman, M.P.; Akerman, K.J.; Slabber, C.A.; Wang, W.; Adams, J.; Shaw, L.N.; Tse-Dinh, Y.C.; Munro, O.Q.; et al. Evidence for Inhibition of Topoisomerase 1A by Gold(III) Macrocycles and Chelates Targeting Mycobacterium tuberculosis and Mycobacterium abscessus. Antimicrob. Agents Chemother. 2018, 62, 10-1128. [Google Scholar] [CrossRef] [PubMed]
- Garcia, P.K.; Annamalai, T.; Wang, W.; Bell, R.S.; Le, D.; Martin Pancorbo, P.; Sikandar, S.; Seddek, A.; Yu, X.; Sun, D.; et al. Mechanism and resistance for antimycobacterial activity of a fluoroquinophenoxazine compound. PLoS ONE 2019, 14, e0207733. [Google Scholar] [CrossRef] [PubMed]
- Gillman, P.K. Tricyclic antidepressant pharmacology and therapeutic drug interactions updated. Br. J. Pharmacol. 2007, 151, 737–748. [Google Scholar] [CrossRef]
- Arora, G.; Tiwari, P.; Mandal, R.S.; Gupta, A.; Sharma, D.; Saha, S.; Singh, R. High throughput screen identifies small molecule inhibitors specific for Mycobacterium tuberculosis phosphoserine phosphatase. J. Biol. Chem. 2014, 289, 25149–25165. [Google Scholar] [CrossRef] [PubMed]
- Ferdous, S.; Dasgupta, T.; Annamalai, T.; Tan, K.; Tse-Dinh, Y.C. The interaction between transport-segment DNA and topoisomerase IA-crystal structure of MtbTOP1 in complex with both G- and T-segments. Nucleic Acids Res. 2023, 51, 349–364. [Google Scholar] [CrossRef]
- Kenyon, V.; Chorny, I.; Carvajal, W.J.; Holman, T.R.; Jacobson, M.P. Novel human lipoxygenase inhibitors discovered using virtual screening with homology models. J. Med. Chem. 2006, 49, 1356–1363. [Google Scholar] [CrossRef]



| Code (Supplier ID) | Glide Emodel Score [38,39] | Structure |
|---|---|---|
| A-1 (Enamine) Z15958059 | −67.743 | ![]() |
| A-2 (Enamine) Z15958225 | −71.473 | ![]() |
| A-3 (Enamine) Z15957449 | −73.029 | ![]() |
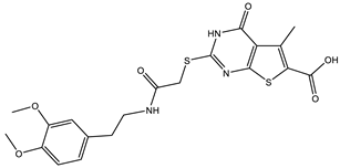
| A-4 (Chembridge) 7845718 | −75.116 | ![]() |
| A-5 (Chembridge) 7912129 | −57.485 | ![]() |
| A-6 (Chembridge) 7861220 | −61.034 | ![]() |
| A-7 (Chembridge) 7949754 | −59.505 | ![]() |
| A-8 (Chembridge) 7984991 | −73.247 | ![]() |
| A-9 (Chemibridge) 7964501 | −79.611 | ![]() |
| A-10 (Chembridge) 7912130 | −72.992 | ![]() |
| A-11 (Enamine) Z188745626 | −70.756 | ![]() |
| A-12 (Enamine) Z55950797 | −66.143 | ![]() |
Disclaimer/Publisher’s Note: The statements, opinions and data contained in all publications are solely those of the individual author(s) and contributor(s) and not of MDPI and/or the editor(s). MDPI and/or the editor(s) disclaim responsibility for any injury to people or property resulting from any ideas, methods, instructions or products referred to in the content. |
© 2024 by the authors. Licensee MDPI, Basel, Switzerland. This article is an open access article distributed under the terms and conditions of the Creative Commons Attribution (CC BY) license (https://creativecommons.org/licenses/by/4.0/).
Share and Cite
Chadni, S.H.; Young, M.A.; Igorra, P.; Bhuiyan, M.A.R.; Kenyon, V.; Tse-Dinh, Y.-C. Small Molecule Inhibitors of Mycobacterium tuberculosis Topoisomerase I Identified by Machine Learning and In Vitro Assays. Int. J. Mol. Sci. 2024, 25, 12265. https://doi.org/10.3390/ijms252212265
Chadni SH, Young MA, Igorra P, Bhuiyan MAR, Kenyon V, Tse-Dinh Y-C. Small Molecule Inhibitors of Mycobacterium tuberculosis Topoisomerase I Identified by Machine Learning and In Vitro Assays. International Journal of Molecular Sciences. 2024; 25(22):12265. https://doi.org/10.3390/ijms252212265
Chicago/Turabian StyleChadni, Somaia Haque, Matthew A. Young, Pedro Igorra, Md Anisur Rahman Bhuiyan, Victor Kenyon, and Yuk-Ching Tse-Dinh. 2024. "Small Molecule Inhibitors of Mycobacterium tuberculosis Topoisomerase I Identified by Machine Learning and In Vitro Assays" International Journal of Molecular Sciences 25, no. 22: 12265. https://doi.org/10.3390/ijms252212265
APA StyleChadni, S. H., Young, M. A., Igorra, P., Bhuiyan, M. A. R., Kenyon, V., & Tse-Dinh, Y.-C. (2024). Small Molecule Inhibitors of Mycobacterium tuberculosis Topoisomerase I Identified by Machine Learning and In Vitro Assays. International Journal of Molecular Sciences, 25(22), 12265. https://doi.org/10.3390/ijms252212265

















