The Gene Cluster Cj0423–Cj0425 Negatively Regulates Biofilm Formation in Campylobacter jejuni
Abstract
1. Introduction
2. Results
2.1. Pan-Genome Analysis Reveals That Cj0423–Cj0425 Is Negatively Associated with Biofilm Formation
2.2. Cj0423–Cj0425 Negatively Regulates Biofilm Formation
2.3. Cj0423–Cj0425 Reduce the Mobility of C. jejuni
2.4. Cj0424 Inhibits Biofilm Formation
2.5. Pull-Down Screening for Interacting Proteins in Cj0424
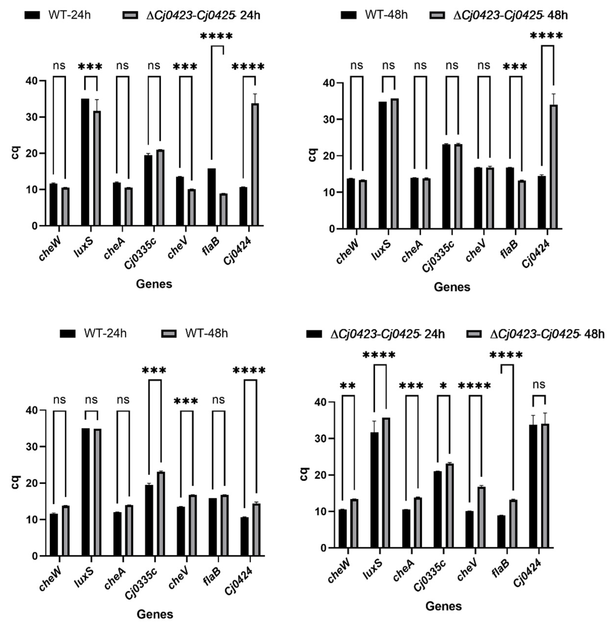
2.6. RT-qPCR Verification of Interacting Proteins
3. Discussion
4. Material and Methods
4.1. Bacterial Strains and Growth Conditions
4.2. Construction of an Cj0423–Cj0425 Mutant and Complemented Strain
4.3. Measurement of Biofilm Formation
4.4. Measurement of Growth Kinetics
4.5. Comparison of Strain Motility
4.6. Confocal Laser Scanning Microscope (CLSM) Analysis
4.7. Pull-Down Assay
4.8. RT-qPCR for Biofilm-Related Genes in C. jejuni
4.9. Statistical Analysis and Software
5. Conclusions
Supplementary Materials
Author Contributions
Funding
Institutional Review Board Statement
Informed Consent Statement
Data Availability Statement
Conflicts of Interest
References
- Teksoy, N.; Ilktac, M.; Ongen, B. Investigating the Significance of Non-jejuni/coli Campylobacter Strains in Patients with Diarrhea. Healthcare 2023, 11, 2562. [Google Scholar] [CrossRef] [PubMed]
- Finsterer, J. Triggers of Guillain-Barré Syndrome: Campylobacter jejuni Predominates. Int. J. Mol. Sci. 2022, 23, 14222. [Google Scholar] [CrossRef]
- Sudeep, K.C.; Bansal, A.; Randhawa, M.S.; Muralidharan, J.; Nallasamy, K.; Angurana, S.K.; Sankhyan, N. Recurrent Guillain-Barré Syndrome: Clinical Profile and Outcome. Indian J. Pediatr. 2023, 91, 448–454. [Google Scholar] [CrossRef] [PubMed]
- Talukder, R.K.; Sutradhar, S.R.; Rahman, K.M.; Uddin, M.J.; Akhter, H. Guillian-Barre syndrome. Mymensingh Med. J. 2011, 20, 748–756. [Google Scholar] [PubMed]
- EFSA. The European Union One Health 2021 Zoonoses Report. EFSA J. 2022, 20, e07666. [Google Scholar]
- Caron, G.; Viveiros, B.; Slaten, C.; Borkman, D.; Miller, A.; Huard, R.C. Campylobacter jejuni Outbreak Linked to Raw Oysters in Rhode Island, 2021. J. Food Prot. 2023, 86, 100174. [Google Scholar] [CrossRef]
- Wang, J.; Wang, Z.; Zhang, J.; Ding, Y.; Ma, Z.; Jiang, F.; Nie, X.; Tang, S.; Chen, M.; Wu, S.; et al. Prevalence, antibiotic susceptibility and genetic diversity of Campylobacter jejuni isolated from retail food in China. LWT 2021, 143, 111098. [Google Scholar] [CrossRef]
- Carvalho, D.; Chitolina, G.Z.; Wilsmann, D.E.; Lucca, V.; Dias de Emery, B.; Borges, K.A.; Furian, T.Q.; Salle, C.T.P.; Moraes, H.L.S.; do Nascimento, V.P. Adhesion capacity of Salmonella enteritidis, Escherichia coli and Campylobacter jejuni on polystyrene, stainless steel, and polyethylene surfaces. Food Microbiol. 2023, 114, 104280. [Google Scholar] [CrossRef]
- Laconi, A.; Tolosi, R.; Drigo, I.; Bano, L.; Piccirillo, A. Association between ability to form biofilm and virulence factors of poultry extra-intestinal Campylobacter jejuni and Campylobacter coli. Vet. Microbiol. 2023, 282, 109770. [Google Scholar] [CrossRef]
- Ortega-Sanz, I.; Bocigas, C.; Melero, B.; Rovira, J. Phase variation modulates the multi-phenotypes displayed by clinical Campylobacter jejuni strains. Food Microbiol. 2024, 117, 104397. [Google Scholar] [CrossRef]
- Bowen, W.H.; Burne, R.A.; Wu, H.; Koo, H. Oral Biofilms: Pathogens, Matrix, and Polymicrobial Interactions in Microenvironments. Trends Microbiol. 2018, 26, 229–242. [Google Scholar] [CrossRef] [PubMed]
- Rumbaugh, K.P.; Sauer, K. Biofilm dispersion. Nat. Rev. Microbiol. 2020, 18, 571–586. [Google Scholar] [CrossRef] [PubMed]
- Zhu, T.; Yang, C.; Bao, X.; Chen, F.; Guo, X. Strategies for controlling biofilm formation in food industry. Grain Oil Sci. Technol. 2022, 5, 179–186. [Google Scholar] [CrossRef]
- Flemming, H.-C.; Wingender, J.; Szewzyk, U.; Steinberg, P.; Rice, S.A.; Kjelleberg, S. Biofilms: An emergent form of bacterial life. Nat. Rev. Microbiol. 2016, 14, 563–575. [Google Scholar] [CrossRef] [PubMed]
- Solano, C.; Echeverz, M.; Lasa, I. Biofilm dispersion and quorum sensing. Curr. Opin. Microbiol. 2014, 18, 96–104. [Google Scholar] [CrossRef]
- Wang, Y.; Liu, B.; Grenier, D.; Yi, L. Regulatory Mechanisms of the LuxS/AI-2 System and Bacterial Resistance. Antimicrob. Agents Chemother. 2019, 63, e01186-19. [Google Scholar] [CrossRef]
- Galloway, W.R.; Hodgkinson, J.T.; Bowden, S.D.; Welch, M.; Spring, D.R. Quorum sensing in Gram-negative bacteria: Small-molecule modulation of AHL and AI-2 quorum sensing pathways. Chem. Rev. 2011, 111, 28–67. [Google Scholar] [CrossRef]
- Ramic, D.; Klancnik, A.; Mozina, S.S.; Dogsa, I. Elucidation of the AI-2 communication system in the food-borne pathogen Campylobacter jejuni by whole-cell-based biosensor quantification. Biosensors Bioelectron. 2022, 212, 114439. [Google Scholar] [CrossRef]
- Gong, X.X.; Zeng, Y.H.; Chen, H.M.; Zhang, N.; Han, Y.; Long, H.; Xie, Z.Y. Bioinformatic and functional characterization of cyclic-di-GMP metabolic proteins in Vibrio alginolyticus unveils key diguanylate cyclases controlling multiple biofilm-associated phenotypes. Front. Microbiol. 2023, 14, 1258415. [Google Scholar] [CrossRef]
- Valentini, M.; Filloux, A. Biofilms and Cyclic di-GMP (c-di-GMP) Signaling: Lessons from Pseudomonas aeruginosa and Other Bacteria. J. Biol. Chem. 2016, 291, 12547–12555. [Google Scholar] [CrossRef]
- Cox, C.A.; Bogacz, M.; El Abbar, F.M.; Browning, D.D.; Hsueh, B.Y.; Waters, C.M.; Lee, V.T.; Thompson, S.A. The Campylobacter jejuni Response Regulator and Cyclic-Di-GMP Binding CbrR Is a Novel Regulator of Flagellar Motility. Microorganisms 2021, 10, 86. [Google Scholar] [CrossRef] [PubMed]
- Elgamoudi, B.A.; Starr, K.S.; Korolik, V. Extracellular c-di-GMP Plays a Role in Biofilm Formation and Dispersion of Campylobacter jejuni. Microorganisms 2022, 10, 2030. [Google Scholar] [CrossRef] [PubMed]
- Li, T.; Huang, J.; Yang, S.; Chen, J.; Yao, Z.; Zhong, M.; Zhong, X.; Ye, X. Pan-Genome-Wide Association Study of Serotype 19A Pneumococci Identifies Disease-Associated Genes. Microbiol. Spectr. 2023, 11, e0407322. [Google Scholar] [CrossRef] [PubMed]
- Her, H.-L.; Wu, Y.-W. A pan-genome-based machine learning approach for predicting antimicrobial resistance activities of the Escherichia coli strains. Bioinformatics 2018, 34, i89–i95. [Google Scholar] [CrossRef] [PubMed]
- Sacher, J.C.; Flint, A.; Butcher, J.; Blasdel, B.; Reynolds, H.M.; Lavigne, R.; Stintzi, A.; Szymanski, C.M. Transcriptomic Analysis of the Campylobacter jejuni Response to T4-Like Phage NCTC 12673 Infection. Viruses 2018, 10, 332. [Google Scholar] [CrossRef]
- Xia, Q.; Muraoka, W.; Shen, Z.; Sahin, O.; Wang, H.; Wu, Z.; Liu, P.; Zhang, Q. Adaptive mechanisms of Campylobacter jejuni to erythromycin treatment. BMC Microbiol. 2013, 13, 133. [Google Scholar] [CrossRef]
- Camacho, C.; Coulouris, G.; Avagyan, V.; Ma, N.; Papadopoulos, J.; Bealer, K.; Madden, T.L. BLAST+: Architecture and applications. BMC Bioinform. 2009, 10, 421. [Google Scholar] [CrossRef]
- Fu, L.; Niu, B.; Zhu, Z.; Wu, S.; Li, W. CD-HIT: Accelerated for clustering the next-generation sequencing data. Bioinformatics 2012, 28, 3150–3152. [Google Scholar] [CrossRef]
- Katoh, K.; Standley, D.M. MAFFT multiple sequence alignment software version 7: Improvements in performance and usability. Mol. Biol. Evol. 2013, 30, 772–780. [Google Scholar] [CrossRef]
- Page, A.J.; Cummins, C.A.; Hunt, M.; Wong, V.K.; Reuter, S.; Holden, M.T.G.; Fookes, M.; Falush, D.; Keane, J.A.; Parkhill, J. Roary: Rapid large-scale prokaryote pan genome analysis. Bioinformatics 2015, 31, 3691–3693. [Google Scholar] [CrossRef]
- Price, M.N.; Dehal, P.S.; Arkin, A.P. FastTree: Computing large minimum evolution trees with profiles instead of a distance matrix. Mol. Biol. Evol. 2009, 26, 1641–1650. [Google Scholar] [CrossRef] [PubMed]
- Seemann, T. Prokka: Rapid Prokaryotic Genome Annotation. Bioinformatics 2014, 30, 2068–2069. [Google Scholar] [CrossRef] [PubMed]
- Tange, O. GNU Parallel—The Command-Line Power Tool. USENIX Mag. 2011, 36, 42–47. [Google Scholar]
- Chen, C.; Wu, Y.; Li, J.; Wang, X.; Zeng, Z.; Xu, J.; Liu, Y.; Feng, J.; Chen, H.; He, Y.; et al. TBtools-II: A “one for all, all for one” bioinformatics platform for biological big-data mining. Mol. Plant 2023, 16, 1733–1742. [Google Scholar] [CrossRef] [PubMed]
- Li, J.; Liu, H.; Raval, M.H.; Wan, J.; Yengo, C.M.; Liu, W.; Zhang, M. Structure of the MORN4/Myo3a Tail Complex Reveals MORN Repeats as Protein Binding Modules. Structure 2019, 27, 1366–1374.e3. [Google Scholar] [CrossRef]
- Püning, C.; Su, Y.; Lu, X.; Gölz, G. Molecular Mechanisms of Campylobacter Biofilm Formation and Quorum Sensing. In Fighting Campylobacter Infections: Towards a One Health Approach; Backert, S., Ed.; Springer International Publishing: Cham, Switzerland, 2021; pp. 293–319. [Google Scholar]
- EFSA. The European Union summary report on trends and sources of zoonoses, zoonotic agents and food-borne outbreaks in 2016. EFSA J. 2017, 15, e05077. [Google Scholar]
- EFSA. The European Union summary report on trends and sources of zoonoses, zoonotic agents and food-borne outbreaks in 2017. EFSA J. 2018, 16, e05500. [Google Scholar]
- Zhang, Y.; Cai, Y.; Chen, Z. Community-specific diffusion characteristics determine resistance of biofilms to oxidative stress. Sci. Adv. 2023, 9, eade2610. [Google Scholar] [CrossRef]
- Araújo, P.M.; Batista, E.; Fernandes, M.H.; Fernandes, M.J.; Gama, L.T.; Fraqueza, M.J. Assessment of biofilm formation by Campylobacter spp. isolates mimicking poultry slaughterhouse conditions. Poult. Sci. 2022, 101, 101586. [Google Scholar] [CrossRef]
- Hao, H.; Li, F.; Han, J.; Foley, S.L.; Dai, M.; Wang, X.; Wang, Y.; Huang, L.; Sun, Y.; Liu, Z.; et al. Cj1199 Affect the Development of Erythromycin Resistance in Campylobacter jejuni through Regulation of Leucine Biosynthesis. Front. Microbiol. 2017, 8, 16. [Google Scholar] [CrossRef]
- Sauer, K.; Stoodley, P.; Goeres, D.M.; Hall-Stoodley, L.; Burmølle, M.; Stewart, P.S.; Bjarnsholt, T. The biofilm life cycle: Expanding the conceptual model of biofilm formation. Nat. Rev. Microbiol. 2022, 20, 608–620. [Google Scholar] [CrossRef] [PubMed]
- Laventie, B.J.; Glatter, T.; Jenal, U. Pull-Down with a c-di-GMP-Specific Capture Compound Coupled to Mass Spectrometry as a Powerful Tool to Identify Novel Effector Proteins. Methods Mol. Biol. 2017, 1657, 361–376. [Google Scholar]
- Jiang, F.; Lei, T.; Wang, Z.; He, M.; Zhang, J.; Wang, J.; Zeng, H.; Chen, M.; Xue, L.; Ye, Q.; et al. A Novel Gene vp0610 Negatively Regulates Biofilm Formation in Vibrio parahaemolyticus. Front. Microbiol. 2021, 12, 656380. [Google Scholar] [CrossRef] [PubMed]
- Li, S.; Chan, K.K.-W.; Hua, M.Z.; Gölz, G.; Lu, X. Inhibition of AI-2 Quorum Sensing and Biofilm Formation in Campylobacter jejuni by Decanoic and Lauric Acids. Front. Microbiol. 2022, 12, 811506. [Google Scholar] [CrossRef] [PubMed]
- Šimunović, K.; Ramić, D.; Xu, C.; Smole Možina, S. Modulation of Campylobacter jejuni Motility, Adhesion to Polystyrene Surfaces, and Invasion of INT407 Cells by Quorum-Sensing Inhibition. Microorganisms 2020, 8, 104. [Google Scholar] [CrossRef] [PubMed]
- Kalmokoff, M.; Lanthier, P.; Tremblay, T.L.; Foss, M.; Lau, P.C.; Sanders, G.; Austin, J.; Kelly, J.; Szymanski, C.M. Proteomic analysis of Campylobacter jejuni 11168 biofilms reveals a role for the motility complex in biofilm formation. J. Bacteriol. 2006, 188, 4312–4320. [Google Scholar] [CrossRef]
- Scheik, L.K.; Maia, D.S.V.; Würfel, S.d.F.R.; Ramires, T.; Kleinubing, N.R.; Haubert, L.; Lopes, G.V.; da Silva, W.P. Biofilm-forming ability of poultry Campylobacter jejuni strains in the presence and absence of Pseudomonas aeruginosa. Can. J. Microbiol. 2021, 67, 301–309. [Google Scholar] [CrossRef]
- Wang, Y.; Wu, Y.; Niu, H.; Liu, Y.; Ma, Y.; Wang, X.; Li, Z.; Dong, Q. Different cellular fatty acid pattern and gene expression of planktonic and biofilm state Listeria monocytogenes under nutritional stress. Food Res. Int. 2023, 167, 112698. [Google Scholar] [CrossRef]
- Frirdich, E.; Vermeulen, J.; Biboy, J.; Soares, F.; Taveirne, M.E.; Johnson, J.G.; DiRita, V.J.; Girardin, S.E.; Vollmer, W.; Gaynor, E.C. Peptidoglycan ld-Carboxypeptidase Pgp2 Influences Campylobacter jejuni Helical Cell Shape and Pathogenic Properties and Provides the Substrate for the dl-Carboxypeptidase Pgp1. J. Biol. Chem. 2014, 289, 8007–8018. [Google Scholar] [CrossRef]
- Miller, J.F.; Dower, W.J.; Tompkins, L.S. High-voltage electroporation of bacteria: Genetic transformation of Campylobacter jejuni with plasmid DNA. Proc. Natl. Acad. Sci. USA 1988, 85, 856–860. [Google Scholar] [CrossRef]
- Li, X.; Ren, F.; Cai, G.; Huang, P.; Chai, Q.; Gundogdu, O.; Jiao, X.; Huang, J. Investigating the Role of FlhF Identifies Novel Interactions with Genes Involved in Flagellar Synthesis in Campylobacter jejuni. Front. Microbiol. 2020, 11, 460. [Google Scholar] [CrossRef] [PubMed]
- Du, X.; Kong, K.; Tang, H.; Tang, H.; Jiao, X.; Huang, J. The Novel Protein Cj0371 Inhibits Chemotaxis of Campylobacter jejuni. Front. Microbiol. 2018, 9, 1904. [Google Scholar] [CrossRef] [PubMed]
- Kreuder, A.J.; Ruddell, B.; Mou, K.; Hassall, A.; Zhang, Q.; Plummer, P.J. Small Noncoding RNA CjNC110 Influences Motility, Autoagglutination, AI-2 Localization, Hydrogen Peroxide Sensitivity, and Chicken Colonization in Campylobacter jejuni. Infect. Immun. 2020, 88, e00245-20. [Google Scholar] [CrossRef] [PubMed]
- Adler, L.; Alter, T.; Sharbati, S.; Gölz, G. Phenotypes of Campylobacter jejuni luxS Mutants Are Depending on Strain Background, Kind of Mutation and Experimental Conditions. PLoS ONE 2014, 9, e104399. [Google Scholar] [CrossRef]
- Li, J.; Gulbronson, C.J.; Bogacz, M.; Hendrixson, D.R.; Thompson, S.A. FliW controls growth-phase expression of Campylobacter jejuni flagellar and non-flagellar proteins via the post-transcriptional regulator CsrA. Microbiology 2018, 164, 1308–1319. [Google Scholar] [CrossRef]
- Hao, H.; Fang, X.; Han, J.; Foley, S.L.; Wang, Y.; Cheng, G.; Wang, X.; Huang, L.; Dai, M.; Liu, Z.; et al. Cj0440c Affects Flagella Formation and In Vivo Colonization of Erythromycin-Susceptible and -Resistant Campylobacter jejuni. Front. Microbiol. 2017, 8, 729. [Google Scholar] [CrossRef]







| Strain or Plasmid | Characteristic | Source or Reference |
|---|---|---|
| Campylobacter jejuni | ||
| 3853-1B | Weak biofilm formation | Our lab |
| 3853-1BΔCj0423–Cj0425 | ΔCj0423–Cj0425 | This study |
| 3853-1BΔCj0423–Cj0425:345 | Complementation strain | This study |
| Escherichia coli | ||
| DH-5α | Our lab | |
| Rosetta | Our lab | |
| Plasmids | ||
| pMD19-T | Takara Co., Ltd., Beijing, China | |
| pRY107 | Shuttle vector | [53] |
| pCj345 | Suicide vector | This study |
| pRY107-345 | pRY107-Cj0423–Cj0425 | This study |
| pET28a-B2M | Expression vector | Our lab |
| pET28a-Cj0424 | Expression Cj0424 | This study |
Disclaimer/Publisher’s Note: The statements, opinions and data contained in all publications are solely those of the individual author(s) and contributor(s) and not of MDPI and/or the editor(s). MDPI and/or the editor(s) disclaim responsibility for any injury to people or property resulting from any ideas, methods, instructions or products referred to in the content. |
© 2024 by the authors. Licensee MDPI, Basel, Switzerland. This article is an open access article distributed under the terms and conditions of the Creative Commons Attribution (CC BY) license (https://creativecommons.org/licenses/by/4.0/).
Share and Cite
Wang, Z.; Wu, Y.; Liu, M.; Chen, L.; Xiao, K.; Huang, Z.; Zhao, Y.; Wang, H.; Ding, Y.; Lin, X.; et al. The Gene Cluster Cj0423–Cj0425 Negatively Regulates Biofilm Formation in Campylobacter jejuni. Int. J. Mol. Sci. 2024, 25, 12116. https://doi.org/10.3390/ijms252212116
Wang Z, Wu Y, Liu M, Chen L, Xiao K, Huang Z, Zhao Y, Wang H, Ding Y, Lin X, et al. The Gene Cluster Cj0423–Cj0425 Negatively Regulates Biofilm Formation in Campylobacter jejuni. International Journal of Molecular Sciences. 2024; 25(22):12116. https://doi.org/10.3390/ijms252212116
Chicago/Turabian StyleWang, Zhi, Yuwei Wu, Ming Liu, Ling Chen, Kaishan Xiao, Zhenying Huang, Yibing Zhao, Huixian Wang, Yu Ding, Xiuhua Lin, and et al. 2024. "The Gene Cluster Cj0423–Cj0425 Negatively Regulates Biofilm Formation in Campylobacter jejuni" International Journal of Molecular Sciences 25, no. 22: 12116. https://doi.org/10.3390/ijms252212116
APA StyleWang, Z., Wu, Y., Liu, M., Chen, L., Xiao, K., Huang, Z., Zhao, Y., Wang, H., Ding, Y., Lin, X., Zeng, J., Peng, F., Zhang, J., Wang, J., & Wu, Q. (2024). The Gene Cluster Cj0423–Cj0425 Negatively Regulates Biofilm Formation in Campylobacter jejuni. International Journal of Molecular Sciences, 25(22), 12116. https://doi.org/10.3390/ijms252212116

