Identification of a Novel Biomarker Panel for Breast Cancer Screening
Abstract
1. Introduction
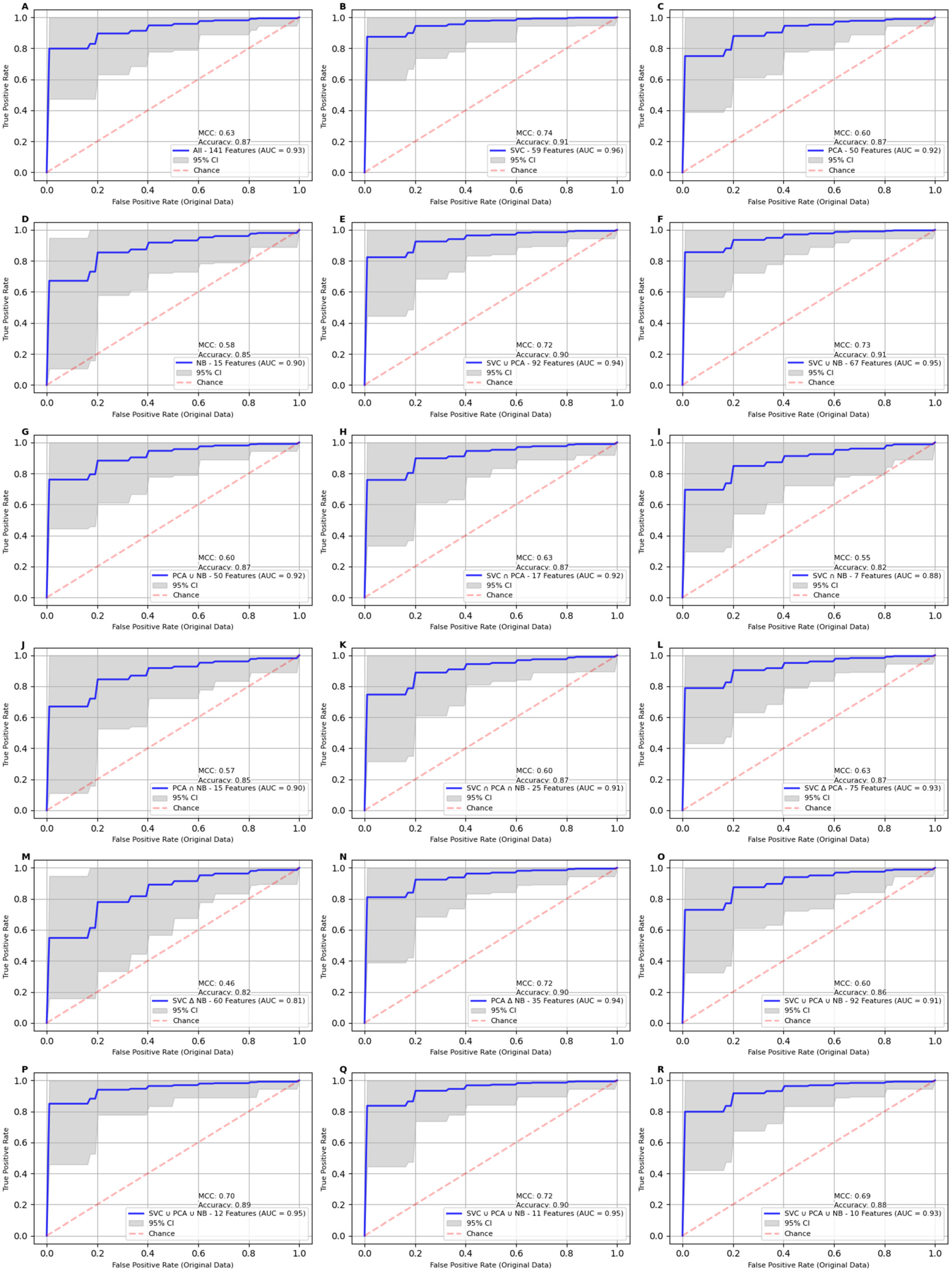
2. Results
3. Discussion
4. Materials and Methods
4.1. Study Samples
4.2. Analytical Procedures
4.3. Satistical Analysis
5. Conclusions
Author Contributions
Funding
Institutional Review Board Statement
Informed Consent Statement
Data Availability Statement
Acknowledgments
Conflicts of Interest
References
- American Society of Clinical Oncology. Breast Cancer Statistics. Cancer. Net. Available online: https://www.cancer.net/cancer-types/breast-cancer/statistics (accessed on 10 April 2024).
- Ma, H.; Lu, Y.; Marchbanks, P.A.; Folger, S.G.; Strom, B.L.; McDonald, J.A.; Simon, M.S.; Weiss, L.K.; Malone, K.E.; Burkman, R.T.; et al. Quantitative measures of estrogen receptor expression in relation to breast cancer-specific mortality risk among white women and black women. Breast Cancer Res. 2013, 15, R90. [Google Scholar] [CrossRef]
- Hanis, T.M.; Islam, M.A.; Musa, K.I. Diagnostic Accuracy of Machine Learning Models on Mammography in Breast Cancer Classification: A Meta-Analysis. Diagnostics 2022, 12, 1643. [Google Scholar] [CrossRef]
- Brodersen, J.; Siersma, V.D. Long-term psychosocial consequences of false-positive screening mammography. Ann. Fam. Med. 2013, 11, 106–115. [Google Scholar] [CrossRef] [PubMed]
- Wishart, D.S. Metabolomics for investigating physiological and pathophysiological processes. Physiol. Rev. 2019, 99, 1819–1875. [Google Scholar] [CrossRef]
- Holmes, E.; Wilson, I.D.; Nicholson, J.K. Metabolic phenotyping in health and disease. Cell 2008, 134, 714–717. [Google Scholar] [CrossRef] [PubMed]
- Kim, Y.; Koo, I.; Jung, B.H.; Chung, B.C.; Lee, D. Multivariate classification of urine metabolome profiles for breast cancer diagnosis. BMC Bioinform. 2010, 11 (Suppl. 2), S4. [Google Scholar] [CrossRef] [PubMed]
- Schwartz, L.; Supuran, C.T.; Alfarouk, K.O. The Warburg effect and the hallmarks of cancer. Anti-Cancer Agents Med. Chem. 2017, 17, 164–170. [Google Scholar] [CrossRef]
- Girithar, H.-N.; Pires, A.S.; Ahn, S.B.; Guillemin, G.J.; Gluch, L.; Heng, B. Involvement of the kynurenine pathway in breast cancer: Updates on clinical research and trials. Br. J. Cancer 2023, 129, 185–203. [Google Scholar] [CrossRef]
- Hilvo, M.; Orešić, A.M. Regulation of lipid metabolism in breast cancer provides diagnostic and therapeutic opportunities. Clin. Lipidol. 2012, 7, 177–188. [Google Scholar] [CrossRef]
- Luo, X.; Yu, H.; Song, Y.; Sun, T. Integration of metabolomic and transcriptomic data reveals metabolic pathway alteration in breast cancer and impact of related signature on survival. J. Cell. Physiol. 2019, 234, 13021–13031. [Google Scholar] [CrossRef]
- Eniu, D.T.; Romanciuc, F.; Moraru, C.; Goidescu, I.; Eniu, D.; Staicu, A.; Rachieriu, C.; Buiga, R.; Socaciu, C. The decrease of some serum free amino acids can predict breast cancer diagnosis and progression. Scand. J. Clin. Lab. Investig. 2019, 79, 17–24. [Google Scholar] [CrossRef] [PubMed]
- Austin, P.C. An introduction to propensity score methods for reducing the effects of confounding in observational studies. Multivar. Behav. Res. 2011, 46, 399–424. [Google Scholar] [CrossRef] [PubMed]
- Wishart, D.S. Metabolomics and the Multi-Omics View of Cancer. Metabolites 2022, 12, 154. [Google Scholar] [CrossRef] [PubMed]
- Chen, Q.; Zhu, X.Y.; Li, Y.Y.; Meng, Z.Q. Epigenetic regulation and cancer. Oncol. Rep. 2014, 31, 523–532. [Google Scholar] [CrossRef] [PubMed]
- Wishart, D.S. Systems biology resources arising from the human metabolome project. In Genetics Meets Metabolomics: From Experiment to Systems Biology; Suhre, K., Ed.; Springer: New York, NY, USA, 2012; pp. 157–175. [Google Scholar]
- Fiehn, O. Metabolomics–the link between genotypes and phenotypes. Plant Mol. Biol. 2002, 48, 155–171. [Google Scholar] [CrossRef]
- Suhre, K.; Raffler, J.; Kastenmüller, G. Biochemical insights from population studies with genetics and metabolomics. Arch. Biochem. Biophys. 2016, 589, 168–176. [Google Scholar] [CrossRef]
- Haince, J.F.; Joubert, P.; Bach, H.; Ahmed Bux, R.; Tappia, P.S.; Ramjiawan, B. Metabolomic Fingerprinting for the Detection of Early-Stage Lung Cancer: From the Genome to the Metabolome. Int. J. Mol. Sci. 2022, 23, 1215. [Google Scholar] [CrossRef] [PubMed]
- Mrowiec, K.; Debik, J.; Jelonek, K.; Kurczyk, A.; Ponge, L.; Wilk, A.; Krzempek, M.; Giskeødegård, G.F.; Bathen, T.F.; Widlak, P. Profiling of serum metabolome of breast cancer: Multi-cancer features discriminate between healthy women and patients with breast cancer. Front. Oncol. 2024, 14, 1377373. [Google Scholar] [CrossRef]
- Song, Y.; Zhang, Y.; Xie, S.; Song, X. Screening and diagnosis of triple negative breast cancer based on rapid metabolic fingerprinting by conductive polymer spray ionization mass spectrometry and machine learning. Front. Cell Dev. Biol. 2022, 10, 1075810. [Google Scholar] [CrossRef]
- Yuan, B.; Schafferer, S.; Tang, Q.; Scheffler, M.; Nees, J.; Heil, J.; Schott, S.; Golatta, M.; Wallwiener, M.; Sohn, C.; et al. A plasma metabolite panel as biomarkers for early primary breast cancer detection. Int. J. Cancer 2019, 144, 2833–2842. [Google Scholar] [CrossRef]
- Jasbi, P.; Wang, D.; Cheng, S.L.; Fei, Q.; Cui, J.Y.; Liu, L.; Wei, Y.; Raftery, D.; Gu, H. Breast cancer detection using targeted plasma metabolomics. J. Chromatogr. B. 2019, 1105, 26–37. [Google Scholar] [CrossRef]
- Santaliz-Casiano, A.; Mehta, D.; Danciu, O.C.; Patel, H.; Banks, L.; Zaidi, A.; Buckley, J.; Rauscher, G.H.; Schulte, L.; Weller, L.R.; et al. Identification of metabolic pathways contributing to ER+ breast cancer disparities using a machine-learning pipeline. Sci. Rep. 2023, 13, 39215. [Google Scholar] [CrossRef]
- Murata, T.; Yanagisawa, T.; Kurihara, T.; Kaneko, M.; Ota, S.; Enomoto, A.; Tomita, M.; Sugimoto, M.; Sunamura, M.; Hayashida, T.; et al. Salivary metabolomics with alternative decision tree-based machine learning methods for breast cancer discrimination. Breast Cancer Res. Treat. 2019, 177, 591–601. [Google Scholar] [CrossRef] [PubMed]
- Gong, S.; Wang, Q.; Huang, J.; Huang, R.; Chen, S.; Cheng, X.; Liu, L.; Dai, X.; Zhong, Y.; Fan, C.; et al. LC-MS/MS platform-based serum untargeted screening reveals the diagnostic biomarker panel and molecular mechanism of breast cancer. Methods 2024, 222, 100–111. [Google Scholar] [CrossRef]
- Sugimoto, M.; Hikichi, S.; Takada, M.; Toi, M. Machine learning techniques for breast cancer diagnosis and treatment: A narrative review. Ann. Breast Surg. 2023, 7, 7. [Google Scholar] [CrossRef]
- Jiang, P.; Sinha, S.; Aldape, K.; Hannenhalli, S.; Sahinalp, C.; Ruppin, E. Big data in basic and translational cancer research. Nat. Rev. Cancer 2022, 22, 625–639. [Google Scholar] [CrossRef] [PubMed]
- Liu, L.; Li, C. Comparative study of deep learning models on the images of biopsy specimens for diagnosis of lung cancer treatment. J. Radiat. Res. Appl. Sci. 2023, 16, 100555. [Google Scholar] [CrossRef]
- Gonzales Martinez, R.; van Dongen, D.M. Deep learning algorithms for the early detection of breast cancer: A comparative study with traditional machine learning. Inform. Med. Unlocked 2023, 41, 100960. [Google Scholar] [CrossRef]
- Alakwaa, F.M.; Chaudhary, K.; Garmire, L.X. Deep Learning Accurately Predicts Estrogen Receptor Status in Breast Cancer Metabolomics Data. J. Proteome Res. 2018, 17, 337–347. [Google Scholar] [CrossRef]
- Ali, S.D.; Tayara, H.; Chong, K.T. Identification of piRNA disease associations using deep learning. Comput. Struct. Biotechnol. J. 2022, 20, 1208–1217. [Google Scholar] [CrossRef]
- Sultana, J.; Jilani, A.K. Predicting Breast Cancer Using Logistic Regression and Multi-Class Classifiers. Int. J. Eng. Technol. 2018, 7, 22–26. [Google Scholar] [CrossRef]
- Huang, Y.; Du, S.; Liu, J.; Huang, W.; Liu, W.; Zhang, M.; Li, L.; Wang, R.; Wu, J.; Chen, W.; et al. Diagnosis and prognosis of breast cancer by high-performance serum metabolic fingerprints. Proc. Natl. Acad. Sci. USA 2022, 119, e2122245119. [Google Scholar] [CrossRef]
- Chistyakov, D.V.; Guryleva, M.V.; Stepanova, E.S.; Makarenkova, L.M.; Ptitsyna, E.V.; Goriainov, S.V.; Nikolskaya, A.I.; Astakhova, A.A.; Klimenko, A.S.; Bezborodova, O.A.; et al. Multi-omics approach points to the importance of oxylipins metabolism in early-stage breast cancer. Cancers 2022, 14, 2041. [Google Scholar] [CrossRef] [PubMed]
- Dougan, M.M.; Li, Y.; Chu, L.W.; Haile, R.W.; Whittemore, A.S.; Han, S.S.; Moore, S.C.; Sampson, J.N.; Andrulis, I.L.; John, E.M.; et al. Metabolomic profiles in breast cancer: A pilot case-control study in the breast cancer family registry. BMC Cancer 2018, 18, 616. [Google Scholar] [CrossRef]
- Jobard, E.; Dossus, L.; Baglietto, L.; Fornili, M.; Lécuyer, L.; Mancini, F.R.; Gunter, M.J.; Trédan, O.; Boutron-Ruault, M.-C.; Elena-Herrmann, B.; et al. Investigation of circulating metabolites associated with breast cancer risk by untargeted metabolomics: A case–control study nested within the French E3N cohort. Br. J. Cancer 2021, 124, 1734–1743. [Google Scholar] [CrossRef]
- Lécuyer, L.; Dalle, C.; Lyan, B.; Demidem, A.; Rossary, A.; Vasson, M.P.; Petera, M.; Lagree, M.; Ferreira, T.; Centeno, D.; et al. Plasma metabolomic signatures associated with long-term breast cancer risk in the SU.VI.MAX prospective cohort. Cancer Epidemiol. Biomark. Prev. 2019, 28, 1300–1307. [Google Scholar] [CrossRef]
- Subramani, R.; Poudel, S.; Smith, K.D.; Estrada, A.; Lakshmanaswamy, R. Metabolomics of Breast Cancer: A Review. Metabolites 2022, 12, 643. [Google Scholar] [CrossRef] [PubMed]
- Sun, C.; Wang, F.; Zhang, Y.; Yu, J.; Wang, X. Mass spectrometry imaging-based metabolomics to visualize the spatially resolved reprogramming of carnitine metabolism in breast cancer. Theranostics 2020, 10, 7070–7085. [Google Scholar] [CrossRef]
- Xiao, Y.; Ma, D.; Yang, Y.S.; Yang, F.; Ding, J.H.; Gong, Y.; Jiang, L.; Ge, L.P.; Wu, S.Y.; Yu, Q.; et al. Comprehensive metabolomics expands precision medicine for triple-negative breast cancer. Cell Res. 2022, 32, 477–490. [Google Scholar] [CrossRef]
- Singhal, S.; Rolfo, C.; Maksymiuk, A.W.; Tappia, P.S.; Sitar, D.S.; Russo, A.; Akhtar, P.S.; Khatun, N.; Rahnuma, P.; Rashiduzzaman, A.; et al. Liquid Biopsy in Lung Cancer Screening: The Contribution of Metabolomics. Results of A Pilot Study. Cancers 2019, 11, 1069. [Google Scholar] [CrossRef]
- Zhang, L.; Zheng, J.; Ahmed, R.; Huang, G.; Reid, J.; Mandal, R.; Maksymuik, A.; Sitar, D.S.; Tappia, P.S.; Ramjiawan, B.; et al. A High-Performing Plasma Metabolite Panel for Early-Stage Lung Cancer Detection. Cancers 2020, 12, 622. [Google Scholar] [CrossRef] [PubMed]
- Wishart, D.S. Computational approaches to metabolomics. In Methods in Molecular Biology; Clifton, N.J., Ed.; Humana Press: Totowa, NJ, USA, 2010; Volume 593, pp. 283–313. [Google Scholar]
- Xia, J.; Wishart, D.S. Using MetaboAnalyst 3.0 for comprehensive metabolomics data analysis. Curr. Protoc. Bioinform. 2016, 55, 14. [Google Scholar] [CrossRef] [PubMed]
- Li, H.; Lockwood, M.B.; Schlaeger, J.M.; Liu, T.; Danciu, O.C.; Doorenbos, A.Z. Tryptophan and kynurenine pathway metabolites and psychoneurological symptoms among breast cancer survivors. Pain Manag. Nurs. 2023, 24, 52–59. [Google Scholar] [CrossRef]
- Guido, R.; Groccia, M.C.; Conforti, D. A hyper-parameter tuning approach for cost-sensitive support vector ma-chine classifiers. Soft Comput. 2023, 27, 12863–12881. [Google Scholar] [CrossRef]
- scikit-learn developers. sklearn.svm.SVC—Support Vector Classification. scikit-learn 1.3.1 Documentation. Available online: https://scikit-learn.org/dev/modules/generated/sklearn.svm.SVC.html (accessed on 21 October 2024).
- Yang, H.; He, X.; Zheng, Y.; Feng, W.; Xia, X.; Yu, X.; Lin, Z. Down-regulation of asparagine synthetase induces cell cycle arrest and inhibits cell proliferation of breast cancer. Chem. Biol. Drug Des. 2014, 84, 578–584. [Google Scholar] [CrossRef]
- Zheng, K.; Chen, Z.; Feng, H.; Chen, Y.; Zhang, C.; Yu, J.; Luo, Y.; Zhao, L.; Jiang, X.; Shi, F. Sphingomyelin synthase 2 promotes an aggressive breast cancer phenotype by disrupting the homoeostasis of ceramide and sphingomyelin. Cell Death Dis. 2019, 10, 157. [Google Scholar] [CrossRef]
- Dória, M.L.; Ribeiro, A.S.; Wang, J.; Cotrim, C.Z.; Domingues, P.; Williams, C.; Domingues, M.R.; Helguero, L.A. Fatty acid and phospholipid biosynthetic pathways are regulated throughout mammary epithelial cell differentiation and correlate to breast cancer survival. FASEB J. 2014, 28, 4247–4264. [Google Scholar] [CrossRef]
- Guo, X.; Wang, A.; Wang, W.; Wang, Y.; Chen, H.; Liu, X.; Xia, T.; Zhang, A.; Chen, D.; Qi, H.; et al. HRD1 inhibits fatty acid oxidation and tumorigenesis by ubiquitinating CPT2 in triple-negative breast cancer. Mol. Oncol. 2021, 15, 642–656. [Google Scholar] [CrossRef]
- Kühn, T.; Floegel, A.; Sookthai, D.; Johnson, T.; Rolle-Kampczyk, U.; Otto, W.; Kaaks, R. Higher plasma levels of lysophosphatidylcholine 18:0 are related to a lower risk of common cancers in a prospective metabolomics study. BMC Med. 2016, 14, 13. [Google Scholar] [CrossRef]
- Behravan, H.; Hartikainen, J.M.; Tengström, M.; Kosma, V.; Mannermaa, A. Predicting breast cancer risk using interacting genetic and demographic factors and machine learning. Sci. Rep. 2020, 10, 11044. [Google Scholar] [CrossRef]
- Mueller, A. WordCloud—A Python Package to Generate Word Clouds. PyPI. Available online: https://pypi.org/project/wordcloud/ (accessed on 21 October 2024).








| PSM Data | |||||||
|---|---|---|---|---|---|---|---|
| Feature Set | AUC | Accuracy | MCC | F1 Score | Precision | Recall | |
| All-141 Feat | 99% | (CI: 98.4–98.8%) | 93% | 85% | 95% | 96% | 93% |
| SVC-59 Feat | 99% | (CI: 99.1–99.4%) | 95% | 90% | 95% | 97% | 94% |
| PCA-50 Feat | 98% | (CI: 98.1–98.5%) | 94% | 87% | 95% | 97% | 94% |
| NB-15 Feat | 97% | (CI: 96.3–96.9%) | 91% | 81% | 95% | 97% | 93% |
| SVC ∪ PCA-92 Feat | 99% | (CI: 98.7–99.1%) | 95% | 90% | 95% | 97% | 93% |
| SVC ∪ NB-67 Feat | 99% | (CI: 99.1–99.3%) | 95% | 90% | 95% | 97% | 94% |
| PCA ∪ NB-50 Feat | 98% | (CI: 97.8–98.3%) | 94% | 87% | 95% | 97% | 94% |
| SVC ∩ PCA-17 Feat | 97% | (CI: 97.1–97.7%) | 93% | 85% | 95% | 97% | 93% |
| SVC ∩ NB-7 Feat | 95% | (CI: 94.2–94.9%) | 86% | 72% | 94% | 97% | 92% |
| PCA ∩ NB-15 Feat | 96% | (CI: 96.3–96.9%) | 91% | 81% | 94% | 97% | 92% |
| SVC ∩ PCA ∩ NB-25 Feat | 98% | (CI: 98.4–98.8%) | 94% | 87% | 94% | 97% | 92% |
| SVC Δ PCA-75 Feat | 99% | (CI: 98.4–98.8%) | 94% | 87% | 94% | 97% | 92% |
| SVC Δ NB-60 Feat | 96% | (CI: 95.5–96.5%) | 91% | 82% | 94% | 97% | 92% |
| PCA Δ NB-35 Feat | 99% | (CI: 98.8–99.2%) | 95% | 89% | 94% | 97% | 92% |
| SVC ∪ PCA ∪ NB-92 Feat | 98% | (CI: 97.3–97.9%) | 93% | 85% | 94% | 97% | 92% |
| SVC ∪ PCA ∪ NB-12 Feat | 98% | (CI: 97.2–97.8%) | 94% | 89% | 94% | 97% | 92% |
| SVC ∪ PCA ∪ NB-11 Feat | 98% | (CI: 97.5–98.0%) | 95% | 89% | 94% | 97% | 92% |
| SVC ∪ PCA ∪ NB-10 Feat | 97% | (CI: 97.3–97.8%) | 93% | 85% | 94% | 97% | 92% |
| PSM Data (Excluding Age) | |||||||
|---|---|---|---|---|---|---|---|
| Feature Set | AUC | Accuracy | MCC | F1 Score | Precision | Recall | |
| All-141 Feat | 98% | (CI: 98.1–98.5%) | 92% | 83% | 94% | 96% | 92% |
| SVC-59 Feat | 99% | (CI: 99.0–99.3%) | 94% | 88% | 95% | 97% | 93% |
| PCA-50 Feat | 96% | (CI: 96.0–96.8%) | 92% | 84% | 94% | 96% | 93% |
| NB-15 Feat | 94% | (CI: 93.6–94.5%) | 87% | 74% | 93% | 96% | 91% |
| SVC ∪ PCA-92 Feat | 99% | (CI: 98.6–98.9%) | 94% | 87% | 94% | 96% | 91% |
| SVC ∪ NB-67 Feat | 99% | (CI: 98.8–99.1%) | 93% | 87% | 94% | 96% | 92% |
| PCA ∪ NB-50 Feat | 97% | (CI: 96.3–97.0%) | 92% | 84% | 94% | 96% | 92% |
| SVC ∩ PCA-17 Feat | 95% | (CI: 94.3–95.2%) | 88% | 76% | 93% | 96% | 91% |
| SVC ∩ NB-7 Feat | 89% | (CI: 88.1–89.3%) | 81% | 62% | 92% | 96% | 89% |
| PCA ∩ NB-15 Feat | 94% | (CI: 93.5–94.4%) | 87% | 74% | 92% | 96% | 89% |
| SVC ∩ PCA ∩ NB-25 Feat * | 99% | (CI: 98.4–98.8%) | 94% | 87% | 92% | 96% | 89% |
| SVC Δ PCA-75 Feat * | 99% | (CI: 98.5–98.9%) | 94% | 87% | 93% | 96% | 90% |
| SVC Δ NB-60 Feat * | 96% | (CI: 95.5–96.4%) | 91% | 82% | 93% | 96% | 90% |
| PCA Δ NB-35 Feat | 99% | (CI: 98.6–99.0%) | 94% | 87% | 93% | 96% | 90% |
| SVC ∪ PCA ∪ NB-92 Feat | 96% | (CI: 95.0–95.9%) | 88% | 76% | 93% | 96% | 90% |
| SVC ∪ PCA ∪ NB-12 Feat | 94% | (CI: 93.9–94.7%) | 86% | 73% | 92% | 96% | 89% |
| SVC ∪ PCA ∪ NB-11 Feat | 95% | (CI: 93.7–94.5%) | 86% | 72% | 92% | 96% | 89% |
| SVC ∪ PCA ∪ NB-10 Feat | 92% | (CI: 91.8–92.8%) | 84% | 70% | 92% | 96% | 89% |
| Original Data | |||||||
|---|---|---|---|---|---|---|---|
| Feature Set | AUC | Accuracy | MCC | F1 Score | Precision | Recall | |
| All-141 Feat | 93% | (CI: 91.8–92.8%) | 87% | 63% | 92% | 91% | 94% |
| SVC-59 Feat | 96% | (CI: 95.2–96.0%) | 91% | 74% | 93% | 92% | 94% |
| PCA-50 Feat | 92% | (CI: 91.0–92.0%) | 87% | 60% | 93% | 91% | 94% |
| NB-15 Feat | 90% | (CI: 89.1–90.4%) | 85% | 58% | 92% | 91% | 93% |
| SVC ∪ PCA-92 Feat | 94% | (CI: 93.6–94.5%) | 90% | 72% | 92% | 92% | 93% |
| SVC ∪ NB-67 Feat | 95% | (CI: 94.5–95.3%) | 91% | 73% | 93% | 92% | 94% |
| PCA ∪ NB-50 Feat | 92% | (CI: 90.9–91.9%) | 87% | 60% | 92% | 92% | 94% |
| SVC ∩ PCA-17 Feat | 92% | (CI: 90.9–91.9%) | 87% | 63% | 92% | 92% | 93% |
| SVC ∩ NB-7 Feat | 88% | (CI: 87.0–88.3%) | 82% | 55% | 92% | 92% | 92% |
| PCA ∩ NB-15 Feat | 90% | (CI: 89.1–90.3%) | 85% | 57% | 92% | 92% | 92% |
| SVC ∩ PCA ∩ NB-25 Feat | 91% | (CI: 90.6–91.8%) | 87% | 60% | 92% | 91% | 92% |
| SVC Δ PCA-75 Feat | 93% | (CI: 92.2–93.2%) | 87% | 63% | 92% | 91% | 92% |
| SVC Δ NB-60 Feat | 81% | (CI: 79.7–81.7%) | 82% | 46% | 91% | 91% | 92% |
| PCA Δ NB-35 Feat | 94% | (CI: 93.6–94.5%) | 90% | 72% | 92% | 91% | 92% |
| SVC ∪ PCA ∪ NB-92 Feat | 91% | (CI: 90.3–91.5%) | 86% | 60% | 92% | 91% | 92% |
| SVC ∪ PCA ∪ NB-12 Feat | 95% | (CI: 94.1–95.0%) | 89% | 70% | 92% | 91% | 92% |
| SVC ∪ PCA ∪ NB-11 Feat | 95% | (CI: 94.2–95.0%) | 90% | 72% | 92% | 92% | 92% |
| SVC ∪ PCA ∪ NB-10 Feat | 93% | (CI: 92.6–93.6%) | 88% | 69% | 92% | 92% | 92% |
| Original Data (Excluding Age) | |||||||
|---|---|---|---|---|---|---|---|
| Feature Set | AUC | Accuracy | MCC | F1 Score | Precision | Recall | |
| All-141 Feat | 91% | (CI: 90.4–91.5%) | 84% | 52% | 90% | 88% | 92% |
| SVC-59 Feat | 94% | (CI: 94.0–94.9%) | 88% | 65% | 91% | 90% | 93% |
| PCA-50 Feat | 84% | (CI: 83.2–84.8%) | 83% | 48% | 91% | 89% | 93% |
| NB-15 Feat | 77% | (CI: 76.3–78.1%) | 77% | 37% | 89% | 88% | 91% |
| SVC ∪ PCA-92 Feat | 93% | (CI: 91.9–92.8%) | 87% | 63% | 90% | 89% | 91% |
| SVC ∪ NB-67 Feat | 93% | (CI: 92.9–93.8%) | 87% | 62% | 90% | 89% | 92% |
| PCA ∪ NB-50 Feat | 84% | (CI: 83.0–84.7%) | 83% | 48% | 90% | 89% | 92% |
| SVC ∩ PCA-17 Feat | 83% | (CI: 82.5–84.0%) | 79% | 43% | 90% | 89% | 91% |
| SVC ∩ NB-7 Feat | 77% | (CI: 75.6–77.7%) | 74% | 35% | 89% | 89% | 89% |
| PCA ∩ NB-15 Feat | 78% | (CI: 76.5–78.4%) | 78% | 38% | 88% | 88% | 89% |
| SVC ∩ PCA ∩ NB-25 Feat * | 91% | (CI: 90.5–91.6%) | 87% | 60% | 89% | 89% | 89% |
| SVC Δ PCA-75 Feat * | 93% | (CI: 92.0–93.0%) | 87% | 64% | 89% | 89% | 90% |
| SVC Δ NB-60 Feat * | 81% | (CI: 79.9–81.8%) | 82% | 47% | 89% | 89% | 90% |
| PCA Δ NB-35 Feat | 92% | (CI: 91.7–92.8%) | 87% | 63% | 89% | 89% | 90% |
| SVC ∪ PCA ∪ NB-92 Feat | 82% | (CI: 81.0–82.8%) | 79% | 41% | 89% | 89% | 90% |
| SVC ∪ PCA ∪ NB-12 Feat | 86% | (CI: 85.2–86.7%) | 80% | 47% | 89% | 89% | 89% |
| SVC ∪ PCA ∪ NB-11 Feat | 86% | (CI: 85.2–86.7%) | 79% | 45% | 89% | 89% | 89% |
| SVC ∪ PCA ∪ NB-10 Feat | 82% | (CI: 81.2–82.8%) | 76% | 39% | 88% | 89% | 89% |
Disclaimer/Publisher’s Note: The statements, opinions and data contained in all publications are solely those of the individual author(s) and contributor(s) and not of MDPI and/or the editor(s). MDPI and/or the editor(s) disclaim responsibility for any injury to people or property resulting from any ideas, methods, instructions or products referred to in the content. |
© 2024 by the authors. Licensee MDPI, Basel, Switzerland. This article is an open access article distributed under the terms and conditions of the Creative Commons Attribution (CC BY) license (https://creativecommons.org/licenses/by/4.0/).
Share and Cite
Vaida, M.; Arumalla, K.K.; Tatikonda, P.K.; Popuri, B.; Bux, R.A.; Tappia, P.S.; Huang, G.; Haince, J.-F.; Ford, W.R. Identification of a Novel Biomarker Panel for Breast Cancer Screening. Int. J. Mol. Sci. 2024, 25, 11835. https://doi.org/10.3390/ijms252111835
Vaida M, Arumalla KK, Tatikonda PK, Popuri B, Bux RA, Tappia PS, Huang G, Haince J-F, Ford WR. Identification of a Novel Biomarker Panel for Breast Cancer Screening. International Journal of Molecular Sciences. 2024; 25(21):11835. https://doi.org/10.3390/ijms252111835
Chicago/Turabian StyleVaida, Maria, Kamala K. Arumalla, Pavan Kumar Tatikonda, Bharadwaj Popuri, Rashid A. Bux, Paramjit S. Tappia, Guoyu Huang, Jean-François Haince, and W. Randolph Ford. 2024. "Identification of a Novel Biomarker Panel for Breast Cancer Screening" International Journal of Molecular Sciences 25, no. 21: 11835. https://doi.org/10.3390/ijms252111835
APA StyleVaida, M., Arumalla, K. K., Tatikonda, P. K., Popuri, B., Bux, R. A., Tappia, P. S., Huang, G., Haince, J.-F., & Ford, W. R. (2024). Identification of a Novel Biomarker Panel for Breast Cancer Screening. International Journal of Molecular Sciences, 25(21), 11835. https://doi.org/10.3390/ijms252111835

