NFSA-DTI: A Novel Drug–Target Interaction Prediction Model Using Neural Fingerprint and Self-Attention Mechanism
Abstract
1. Introduction
- •
- We propose an enhancing self-attention convolutional module (ESACM) that utilizes the self-attention mechanism to enhance CNN’s ability in capturing the long-distance dependencies between the subsequences in the target amino acid sequence. ESACM enables the protein encoder to comprehensively calculate the impact of subsequences at different positions on the target sequence.
- •
- We have successfully applied the neural fingerprint graph neural network (NFGNN) to the drug–target interaction prediction task and verified its effectiveness. In contrast to fixed fingerprints, which require extensive lookup tables to uniquely encode all possible molecular structures, neural fingerprints can encode all molecular structures using trainable parameters.
- •
- We propose the integration of an attention pooling method into the bilinear attention network and demonstrate its effectiveness. This pooling method can assign weights to each element in the input matrix based on its importance, thereby augmenting the model’s learning ability of the local pivotal binding sites within the drug–target pair.
2. Results and Discussion
2.1. Model Performance Comparison
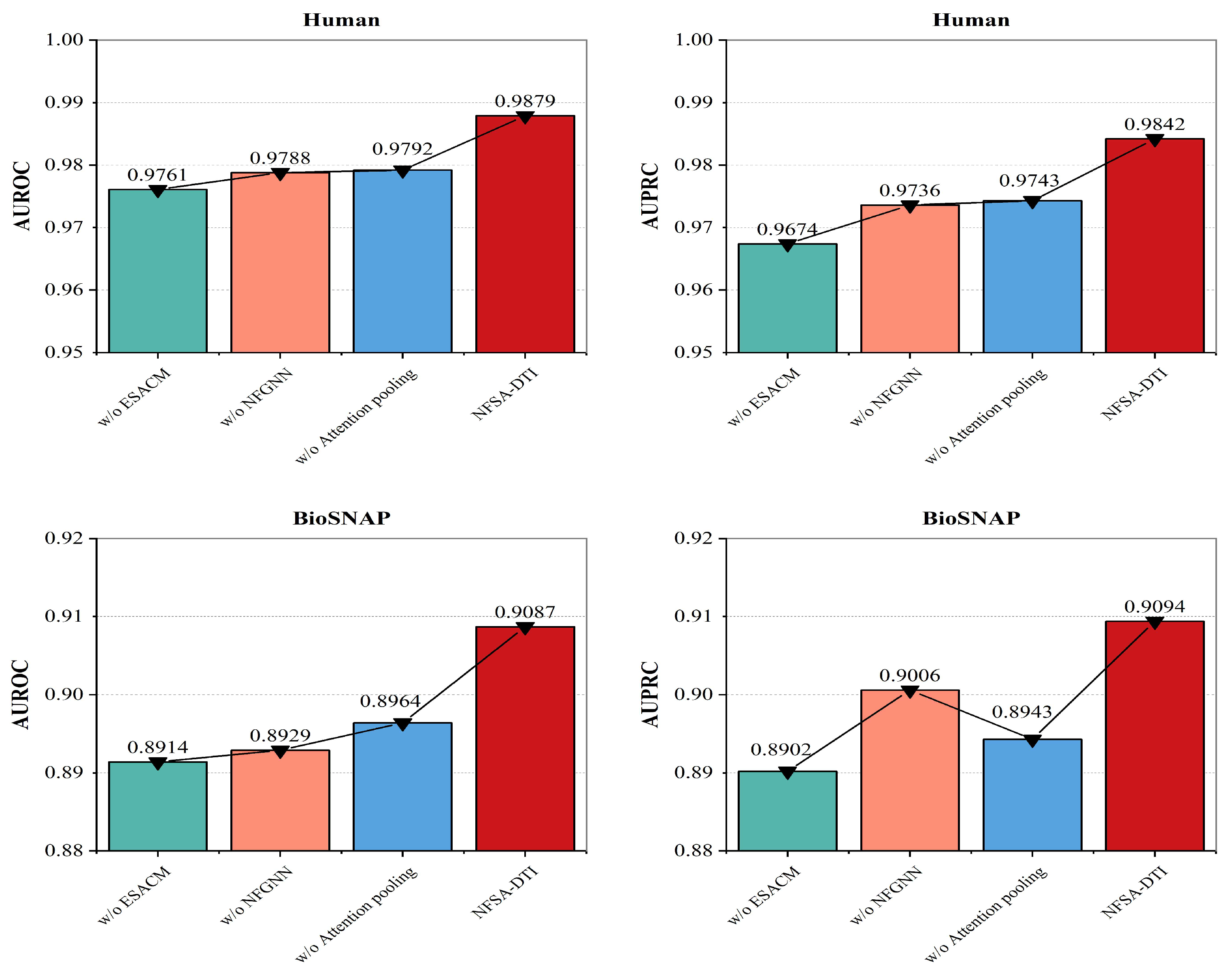
2.2. Ablation Study
2.3. Case Study
2.4. Interpretability Analysis
3. Materials and Methods
3.1. Datasets
- •
- The BindingDB Dataset [41] is a large drug–target dataset, containing thousands of small molecule drugs and protein targets. The targets also cover different species, but mainly focus on human targets. It is worth mentioning that BindingDB is unbalanced in terms of dataset distribution.
- •
- The BioSNAP dataset, developed by Huang et al. [18] and Zitnik et al. [42] from the DrugBank database [43], is a balanced dataset. It includes verified positive samples as well as an equal number of randomly paired negative samples that have never been encountered before. This dataset considers interactions between small chemical drugs and target proteins, all of which have been experimentally validated via biological experiments or formal pharmacological studies.
- •
- The Human dataset, constructed by Liu et al. [44], is a balanced dataset, incorporating high-confidence negative samples obtained through silicon screening methods.
3.2. Baselines
- •
- SVM: By learning the optimal hyperplane, the interaction between drugs and targets can be effectively distinguished in the high-dimensional feature space, which has a relatively strong classification ability and good generalization performance.
- •
- RF: By integrating multiple decision trees, the interaction between drugs and targets is predicted in a voting manner, which has strong anti-noise and robustness. It performs well when dealing with high-dimensional data, but may be vulnerable to uneven feature importance.
- •
- DeepConv-DTI: By using a convolutional neural network, amino acid subsequences of various lengths are convolved to capture local residue patterns, and a fully connected neural network is used to encode the fixed ECFP4 drug fingerprint. It outperforms previous models based on protein descriptors.
- •
- GraphDTA: By representing drugs as graphs and using the graph neural network to predict the affinity of the drug to the target, it can effectively process the topological structure data of drug molecules and improve the prediction accuracy.
- •
- MolTrans: By introducing the self-attention mechanism of the transformer, the drug molecules and protein sequences are embedded into a unified vector space, in order to effectively capture the interaction characteristics between them. It has high flexibility and performance in dealing with complex molecular relationships.
- •
- DrugBAN: By introducing a bilinear attention network, the interaction strength between the drug and the substructure of the target will be embedded into the bilinear attention matrix for downstream prediction tasks. It can better capture the local feature correlation and improve the performance of the model.
- •
- CAT-DTI: By combining the graph convolutional neural network, a transformer architecture, and the cross-attention mechanism, it can effectively capture the information of drug and target sequences and improve the prediction performance. It has an advantage when dealing with long target sequences and is better able to model complex interactions.
3.3. Metrics
3.4. Implement Details
3.5. Methods
3.5.1. Problem Formulation and Prerequisites
3.5.2. Protein Feature Encoder
3.5.3. Drug Feature Encoder
3.5.4. Bilinear Attention Network
3.5.5. Fully Connected Classification
3.5.6. Backpropagation
4. Conclusions
Author Contributions
Funding
Institutional Review Board Statement
Informed Consent Statement
Data Availability Statement
Conflicts of Interest
References
- Gholap, A.D.; Uddin, M.J.; Faiyazuddin, M.; Omri, A.; Gowri, S.; Khalid, M. Advances in Artificial Intelligence in Drug Delivery and Development: A Comprehensive Review. Comput. Biol. Med. 2024, 178, 108702. [Google Scholar] [CrossRef] [PubMed]
- Sadybekov, A.V.; Katritch, V. Computational approaches streamlining drug discovery. Nature 2023, 616, 673–685. [Google Scholar] [CrossRef] [PubMed]
- Sarkar, C.; Das, B.; Rawat, V.S.; Wahlang, J.B.; Nongpiur, A.; Tiewsoh, I.; Lyngdoh, N.M.; Das, D.; Bidarolli, M.; Sony, H.T. Artificial intelligence and machine learning technology driven modern drug discovery and development. Int. J. Mol. Sci. 2023, 24, 2026. [Google Scholar] [CrossRef] [PubMed]
- Vora, L.K.; Gholap, A.D.; Jetha, K.; Thakur, R.R.S.; Solanki, H.K.; Chavda, V.P. Artificial intelligence in pharmaceutical technology and drug delivery design. Pharmaceutics 2023, 15, 1916. [Google Scholar] [CrossRef] [PubMed]
- Blanco-Gonzalez, A.; Cabezon, A.; Seco-Gonzalez, A.; Conde-Torres, D.; Antelo-Riveiro, P.; Pineiro, A.; Garcia-Fandino, R. The role of ai in drug discovery: Challenges, opportunities, and strategies. Pharmaceuticals 2023, 16, 891. [Google Scholar] [CrossRef]
- Singh, S.; Kaur, N.; Gehlot, A. Application of artificial intelligence in drug design: A review. Comput. Biol. Med. 2024, 179, 108810. [Google Scholar] [CrossRef]
- Askr, H.; Elgeldawi, E.; Aboul Ella, H.; Elshaier, Y.A.; Gomaa, M.M.; Hassanien, A.E. Deep learning in drug discovery: An integrative review and future challenges. Artif. Intell. Rev. 2023, 56, 5975–6037. [Google Scholar] [CrossRef]
- Tang, X.; Lei, X.; Zhang, Y. Prediction of Drug-Target Affinity Using Attention Neural Network. Int. J. Mol. Sci. 2024, 25, 5126. [Google Scholar] [CrossRef]
- Huang, Y.; Huang, H.Y.; Chen, Y.; Lin, Y.C.D.; Yao, L.; Lin, T.; Leng, J.; Chang, Y.; Zhang, Y.; Zhu, Z.; et al. A robust drug–target interaction prediction framework with capsule network and transfer learning. Int. J. Mol. Sci. 2023, 24, 14061. [Google Scholar] [CrossRef]
- Wang, X.; Liu, J.; Zhang, C.; Wang, S. SSGraphCPI: A novel model for predicting compound-protein interactions based on deep learning. Int. J. Mol. Sci. 2022, 23, 3780. [Google Scholar] [CrossRef]
- Ekins, S.; Puhl, A.C.; Zorn, K.M.; Lane, T.R.; Russo, D.P.; Klein, J.J.; Hickey, A.J.; Clark, A.M. Exploiting machine learning for end-to-end drug discovery and development. Nat. Mater. 2019, 18, 435–441. [Google Scholar] [CrossRef] [PubMed]
- Wang, L.; Zhou, Y.; Chen, Q. Ammvf-dti: A novel model predicting drug–target interactions based on attention mechanism and multi-view fusion. Int. J. Mol. Sci. 2023, 24, 14142. [Google Scholar] [CrossRef] [PubMed]
- Nguyen, T.; Le, H.; Quinn, T.P.; Nguyen, T.; Le, T.D.; Venkatesh, S. GraphDTA: Predicting drug–target binding affinity with graph neural networks. Bioinformatics 2021, 37, 1140–1147. [Google Scholar] [CrossRef] [PubMed]
- Bai, P.; Miljković, F.; John, B.; Lu, H. Interpretable bilinear attention network with domain adaptation improves drug–target prediction. Nat. Mach. Intell. 2023, 5, 126–136. [Google Scholar] [CrossRef]
- Zeng, X.; Chen, W.; Lei, B. CAT-DTI: Cross-attention and Transformer network with domain adaptation for drug-target interaction prediction. BMC Bioinform. 2024, 25, 141. [Google Scholar] [CrossRef]
- Lee, I.; Keum, J.; Nam, H. DeepConv-DTI: Prediction of drug-target interactions via deep learning with convolution on protein sequences. PLoS Comput. Biol. 2019, 15, e1007129. [Google Scholar] [CrossRef]
- Zhu, X.; Liu, J.; Zhang, J.; Yang, Z.; Yang, F.; Zhang, X. FingerDTA: A fingerprint-embedding framework for drug-target binding affinity prediction. Big Data Min. Anal. 2022, 6, 1–10. [Google Scholar] [CrossRef]
- Huang, K.; Xiao, C.; Glass, L.M.; Sun, J. MolTrans: Molecular interaction transformer for drug–target interaction prediction. Bioinformatics 2021, 37, 830–836. [Google Scholar] [CrossRef]
- Liu, S.; Wang, Y.; Deng, Y.; He, L.; Shao, B.; Yin, J.; Zheng, N.; Liu, T.Y.; Wang, T. Improved drug–target interaction prediction with intermolecular graph transformer. Briefings Bioinform. 2022, 23, bbac162. [Google Scholar] [CrossRef]
- Ding, Y.; Tang, J.; Guo, F. Identification of drug-target interactions via multiple information integration. Inf. Sci. 2017, 418, 546–560. [Google Scholar] [CrossRef]
- Li, Y.; Huang, Y.A.; You, Z.H.; Li, L.P.; Wang, Z. Drug-target interaction prediction based on drug fingerprint information and protein sequence. Molecules 2019, 24, 2999. [Google Scholar] [CrossRef] [PubMed]
- Rogers, D.; Hahn, M. Extended-connectivity fingerprints. J. Chem. Inf. Model. 2010, 50, 742–754. [Google Scholar] [CrossRef] [PubMed]
- Yang, J.; Cai, Y.; Zhao, K.; Xie, H.; Chen, X. Concepts and applications of chemical fingerprint for hit and lead screening. Drug Discov. Today 2022, 27, 103356. [Google Scholar] [CrossRef] [PubMed]
- Duvenaud, D.K.; Maclaurin, D.; Iparraguirre, J.; Bombarell, R.; Hirzel, T.; Aspuru-Guzik, A.; Adams, R.P. Convolutional networks on graphs for learning molecular fingerprints. Adv. Neural Inf. Process. Syst. 2015, 28, 2224–2232. [Google Scholar]
- Cui, F.; Zhang, Z.; Zou, Q. Sequence representation approaches for sequence-based protein prediction tasks that use deep learning. Briefings Funct. Genom. 2021, 20, 61–73. [Google Scholar] [CrossRef]
- Wei, W.; Wang, Z.; Mao, X.; Zhou, G.; Zhou, P.; Jiang, S. Position-aware self-attention based neural sequence labeling. Pattern Recognit. 2021, 110, 107636. [Google Scholar] [CrossRef]
- Feldmann, C.W.; Sieg, J.; Mathea, M. Analysis of uncertainty of neural fingerprint-based models. Faraday Discuss 2024. [Google Scholar] [CrossRef]
- Joshy, A.; Kasyap, G.C.; Reddy, P.D.; Anjusha, I.T.; Nazeer, K.A.A. Drug Target Interaction Prediction using Graph Convo-lution based Neural Fingerprinting. In Proceedings of the 2022 IEEE 19th India Council International Conference (INDICON), Kochi, India, 24–26 November 2022; pp. 1–6. [Google Scholar]
- Bian, J.; Lu, H.; Dong, G.; Wang, G. Hierarchical multimodal self-attention-based graph neural network for DTI predic-tion. Briefings Bioinform. 2024, 25, bbae293. [Google Scholar] [CrossRef]
- Iyer, R.; Fetterly, G.; Lugade, A.; Thanavala, Y. Sorafenib: A clinical and pharmacologic review. Expert Opin. Pharmacother. 2010, 11, 1943–1955. [Google Scholar] [CrossRef]
- Southan, C.; Sharman, J.L.; Benson, H.E.; Faccenda, E.; Pawson, A.J.; Alexander, S.P.; Buneman, O.P.; Davenport, A.P.; McGrath, J.C.; Peters, J.A.; et al. The IUPHAR/BPS Guide to PHARMACOLOGY in 2016: Towards curated quantitative interactions between 1300 protein targets and 6000 ligands. Nucleic Acids Res. 2016, 44, D1054–D1068. [Google Scholar] [CrossRef]
- Schöffski, P.; Dumez, H.; Clement, P.; Hoeben, A.; Prenen, H.; Wolter, P.; Joniau, S.; Roskams, T.; Van Poppel, H. Emerging role of tyrosine kinase inhibitors in the treatment of advanced renal cell cancer: A review. Ann. Oncol. 2006, 17, 1185–1196. [Google Scholar] [CrossRef] [PubMed]
- Matsui, J.; Yamamoto, Y.; Funahashi, Y.; Tsuruoka, A.; Watanabe, T.; Wakabayashi, T.; Uenaka, T.; Asada, M. E7080, a novel inhibitor that targets multiple kinases, has potent antitumor activities against stem cell factor producing human small cell lung cancer H146, based on angiogenesis inhibition. Int. J. Cancer 2008, 122, 664–671. [Google Scholar] [CrossRef] [PubMed]
- Kim, H.; Lim, S.W.; Kim, S.; Kim, J.W.; Chang, Y.H.; Carroll, B.J.; Kim, D.K. Monoamine transporter gene polymorphisms and antidepressant response in Koreans with late-life depression. JAMA 2006, 296, 1609–1618. [Google Scholar] [CrossRef] [PubMed]
- Vaishnavi, S.N.; Nemeroff, C.B.; Plott, S.J.; Rao, S.G.; Kranzler, J.; Owens, M.J. Milnacipran: A comparative analysis of human monoamine uptake and transporter binding affinity. Biol. Psychiatry 2004, 55, 320–322. [Google Scholar] [CrossRef]
- Chen, X.; Ji, Z.L.; Chen, Y.Z. TTD: Therapeutic target database. Nucleic Acids Res. 2002, 30, 412–415. [Google Scholar] [CrossRef]
- Knox, C.; Wilson, M.; Klinger, C.M.; Franklin, M.; Oler, E.; Wilson, A.; Pon, A.; Cox, J.; Chin, N.E.; Strawbridge, S.A.; et al. DrugBank 6.0: The DrugBank Knowledgebase for 2024. Nucleic Acids Res. 2023, 52, D1265–D1275. [Google Scholar] [CrossRef]
- Huang, Y.; Dong, D.; Zhang, W.; Wang, R.; Lin, Y.-C.; Zuo, H.; Huang, H.-Y.; Huang, H.-D. DrugRepoBank: A comprehensive database and discovery platform for accelerating drug repositioning. Database 2024, 2024, baae051. [Google Scholar] [CrossRef]
- Bank, P.D. Protein data bank. Nat. New Biol. 1971, 233, 10–1038. [Google Scholar]
- Vilar, S.; Cozza, G.; Moro, S. Medicinal chemistry and the molecular operating environment (MOE): Application of QSAR and molecular docking to drug discovery. Curr. Top. Med. Chem. 2008, 8, 1555–1572. [Google Scholar] [CrossRef]
- Gilson, M.K.; Liu, T.; Baitaluk, M.; Nicola, G.; Hwang, L.; Chong, J. BindingDB in 2015: A public database for medicinal chemistry, computational chemistry and systems pharmacology. Nucleic Acids Res. 2016, 44, D1045–D1053. [Google Scholar] [CrossRef]
- Zitnik, M.; Sosic, R.; Leskovec, J. BioSNAP Datasets: Stanford Biomedical Network Dataset Collection. 2018. Available online: http://snap.stanford.edu/biodata (accessed on 20 October 2024).
- Wishart, D.S.; Knox, C.; Guo, A.C.; Cheng, D.; Shrivastava, S.; Tzur, D.; Gautam, B.; Hassanali, M. DrugBank: A knowledgebase for drugs, drug actions and drug targets. Nucleic Acids Res. 2008, 36, D901–D906. [Google Scholar] [CrossRef] [PubMed]
- Liu, H.; Sun, J.; Guan, J.; Zheng, J.; Zhou, S. Improving compound–protein interaction prediction by building up highly credible negative samples. Bioinformatics 2015, 31, i221–i229. [Google Scholar] [CrossRef] [PubMed]
- Cortes, C.; Vapnik, V. Support-vector networks. Mach. Learn. 1995, 20, 273–297. [Google Scholar] [CrossRef]
- Ho, T.K. Random decision forests. In Proceedings of the 3rd International Conference on Document Analysis and Recognition, Montreal, QC, Canada, 14–16 August 1995; Volume 1, pp. 278–282. [Google Scholar]
- Chen, L.; Fan, Z.; Chang, J.; Yang, R.; Hou, H.; Guo, H.; Zhang, Y.; Yang, T.; Zhou, C.; Sui, Q.; et al. Sequence-based drug design as a concept in computational drug design. Nat. Commun. 2023, 14, 4217. [Google Scholar] [CrossRef]
- Weininger, D. SMILES, a chemical language and information system. 1. Introduction to methodology and encoding rules. J. Chem. Inf. Comput. Sci. 1988, 28, 31–36. [Google Scholar] [CrossRef]
- Younesi, A.; Ansari, M.; Fazli, M.; Ejlali, A.; Shafique, M.; Henkel, J. A Comprehensive Survey of Convolutions in Deep Learning: Applications, Challenges, and Future Trends. IEEE Access 2024, 12, 41180–41218. [Google Scholar] [CrossRef]
- Pan, X.; Ge, C.; Lu, R.; Song, S.; Chen, G.; Huang, Z.; Huang, G. On the integration of self-attention and convolution. In Proceedings of the IEEE/CVF Conference on Computer Vision and Pattern Recognition, New Orleans, LA, USA, 18–24 June 2022; pp. 815–825. [Google Scholar]
- Kipf, T.N.; Welling, M. Semi-supervised classification with graph convolutional networks. arXiv 2016, arXiv:1609.02907. [Google Scholar]
- Er, M.J.; Zhang, Y.; Wang, N.; Pratama, M. Attention pooling-based convolutional neural network for sentence modelling. Inf. Sci. 2016, 373, 388–403. [Google Scholar] [CrossRef]
- Mao, A.; Mohri, M.; Zhong, Y. Cross-entropy loss functions: Theoretical analysis and applications. In Proceedings of the International Conference on Machine Learning, PMLR, Honolulu, HI, USA, 23–29 July 2023; pp. 23803–23828. [Google Scholar]
- Demir-Kavuk, O.; Kamada, M.; Akutsu, T.; Knapp, E.W. Prediction using step-wise L1, L2 regularization and feature selection for small data sets with large number of features. BMC Bioinform. 2011, 12, 1–10. [Google Scholar] [CrossRef]





| Datasets | Model | AUROC | AUPRC | Accuracy | Sensitivity | Specificity |
|---|---|---|---|---|---|---|
| BindingDB | SVM | 0.939 | 0.928 | 0.825 | 0.781 | 0.866 |
| RF | 0.942 | 0.921 | 0.880 | 0.875 | 0.892 | |
| DeepConv-DTI | 0.945 | 0.925 | 0.882 | 0.873 | 0.894 | |
| GraphDTA | 0.951 | 0.934 | 0.888 | 0.882 | 0.897 | |
| MolTrans | 0.952 | 0.936 | 0.887 | 0.877 | 0.902 | |
| DrugBAN | 0.960 | 0.948 | 0.904 | 0.900 | 0.908 | |
| CAT-DTI | 0.960 | 0.947 | 0.896 | 0.884 | 0.913 | |
| NFSA-DTI | 0.965 | 0.957 | 0.907 | 0.908 | 0.906 | |
| BioSNAP | SVM | 0.862 | 0.864 | 0.777 | 0.711 | 0.841 |
| RF | 0.860 | 0.886 | 0.804 | 0.823 | 0.786 | |
| DeepConv-DTI | 0.886 | 0.890 | 0.805 | 0.760 | 0.851 | |
| GraphDTA | 0.887 | 0.890 | 0.800 | 0.745 | 0.854 | |
| MolTrans | 0.895 | 0.897 | 0.825 | 0.818 | 0.831 | |
| DrugBAN | 0.903 | 0.902 | 0.834 | 0.820 | 0.847 | |
| CAT-DTI | 0.909 | 0.907 | 0.836 | 0.825 | 0.847 | |
| NFSA-DTI | 0.909 | 0.909 | 0.839 | 0.819 | 0.858 | |
| Human | SVM | 0.913 | 0.905 | 0.838 | 0.782 | 0.830 |
| RF | 0.939 | 0.927 | 0.866 | 0.833 | 0.893 | |
| DeepConv-DTI | 0.978 | 0.982 | 0.878 | 0.830 | 0.938 | |
| GraphDTA | 0.965 | 0.955 | 0.908 | 0.912 | 0.904 | |
| MolTrans | 0.981 | 0.976 | 0.941 | 0.949 | 0.939 | |
| DrugBAN | 0.981 | 0.969 | 0.940 | 0.938 | 0.941 | |
| CAT-DTI | 0.983 | 0.976 | 0.942 | 0.929 | 0.957 | |
| NFSA-DTI | 0.988 | 0.984 | 0.945 | 0.944 | 0.955 |
| Rank | Drug Name | DrugBank ID | Evidence |
|---|---|---|---|
| 1 | Sorafenib | DB00398 | Iyer et al. [30] |
| 2 | Regorafenib | DB08896 | Southan et al. [31] |
| 3 | 2-Aminobenzimidazole | DB06938 | Unknown |
| 4 | 1-Naphthalenecarboxamide | DB07274 | Unknown |
| 5 | Ponatinib | DB08901 | Unknown |
| 6 | Sunitinib | DB01268 | Schoffski et al. [32] |
| 7 | Tyrosine Kinase-IN-1 | DB05014 | Unknown |
| 8 | Lenvatinib | DB09078 | Matsui et al. [33] |
| 9 | Fostamatinib | DB12010 | Unknown |
| 10 | RAF265 | DB05984 | Southan et al. [31] |
| Rank | Protein Name | Uniprot ID | Evidence |
|---|---|---|---|
| 1 | Sodium-dependent noradrenaline transporter | P23975 | Kim et al. [34] |
| 2 | Alpha-2A adrenergic receptor | P08913 | Unknown |
| 3 | 5-hydroxytryptamine receptor 2A | P28223 | Southan et al. [31] |
| 4 | 5-hydroxytryptamine receptor 1A | P08908 | Southan et al. [31] |
| 5 | 5-hydroxytryptamine receptor 1C | P08909 | Southan et al. [31] |
| 6 | 5-hydroxytryptamine receptor 2C | P28335 | Southan et al. [31] |
| 7 | Alpha-1B adrenergic receptor | P35368 | Unknown |
| 8 | Sodium-dependent serotonin transporter | P31645 | Vaishnavi et al. [35] |
| 9 | Beta-1 adrenergic receptor | P08588 | Unknown |
| 10 | Muscarinic acetylcholine receptor M1 | P11229 | Unknown |
| Datasets | Drugs | Proteins | Interactions* | P2N |
|---|---|---|---|---|
| BindingDB | 14,643 | 2623 | 49,199 | 0.725 |
| BioSNAP | 4510 | 2181 | 27,464 | 1.014 |
| Human | 2726 | 2001 | 6728 | 1 |
| Module | Hyperparameters | Value |
|---|---|---|
| ESACM | Initial amino acid embedding dimension | 128 |
| Kernel size | [3, 6, 9] | |
| Number of filters | [128, 128, 128] | |
| Heads of self-attention | 2 | |
| NFGNN | Initial atom embedding dimension | 128 |
| Hidden node dimensions | [128, 128, 128] | |
| Bilinear attention network | Heads of bilinear attention | 2 |
| Bilinear embedding dimension | 768 | |
| Attention pooling window size | 3 | |
| Attention pooling stride | 3 | |
| Fully connected decoder | Number of hidden neurons | 512 |
| Optimizer | Learning rate | 5 × 10−5 |
| Epoch | 100 | |
| Mini-batch | Batch size | 64 |
Disclaimer/Publisher’s Note: The statements, opinions and data contained in all publications are solely those of the individual author(s) and contributor(s) and not of MDPI and/or the editor(s). MDPI and/or the editor(s) disclaim responsibility for any injury to people or property resulting from any ideas, methods, instructions or products referred to in the content. |
© 2024 by the authors. Licensee MDPI, Basel, Switzerland. This article is an open access article distributed under the terms and conditions of the Creative Commons Attribution (CC BY) license (https://creativecommons.org/licenses/by/4.0/).
Share and Cite
Liu, F.; Xu, H.; Cui, P.; Li, S.; Wang, H.; Wu, Z. NFSA-DTI: A Novel Drug–Target Interaction Prediction Model Using Neural Fingerprint and Self-Attention Mechanism. Int. J. Mol. Sci. 2024, 25, 11818. https://doi.org/10.3390/ijms252111818
Liu F, Xu H, Cui P, Li S, Wang H, Wu Z. NFSA-DTI: A Novel Drug–Target Interaction Prediction Model Using Neural Fingerprint and Self-Attention Mechanism. International Journal of Molecular Sciences. 2024; 25(21):11818. https://doi.org/10.3390/ijms252111818
Chicago/Turabian StyleLiu, Feiyang, Huang Xu, Peng Cui, Shuo Li, Hongbo Wang, and Ziye Wu. 2024. "NFSA-DTI: A Novel Drug–Target Interaction Prediction Model Using Neural Fingerprint and Self-Attention Mechanism" International Journal of Molecular Sciences 25, no. 21: 11818. https://doi.org/10.3390/ijms252111818
APA StyleLiu, F., Xu, H., Cui, P., Li, S., Wang, H., & Wu, Z. (2024). NFSA-DTI: A Novel Drug–Target Interaction Prediction Model Using Neural Fingerprint and Self-Attention Mechanism. International Journal of Molecular Sciences, 25(21), 11818. https://doi.org/10.3390/ijms252111818

