Structure, Function and Engineering of the Nonribosomal Peptide Synthetase Condensation Domain
Abstract
1. Introduction
2. Structural Characterization and Primary Function of the C Domain
2.1. The Overall Structure and Conformational Change in the C Domain
2.2. Catalytic Mechanism and Substrate Selectivity of the C Domain
3. The Auxiliary Functions of the C Domain
3.1. Starter C Domain
3.2. Epimerization Domain
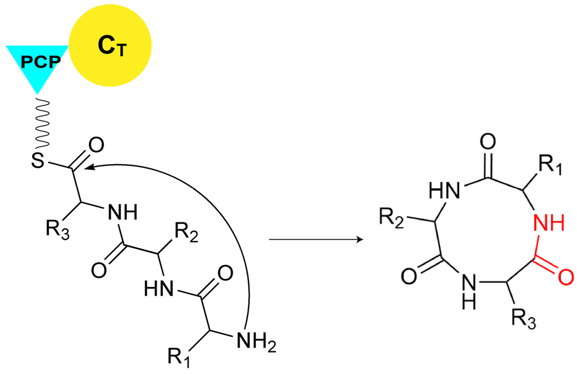
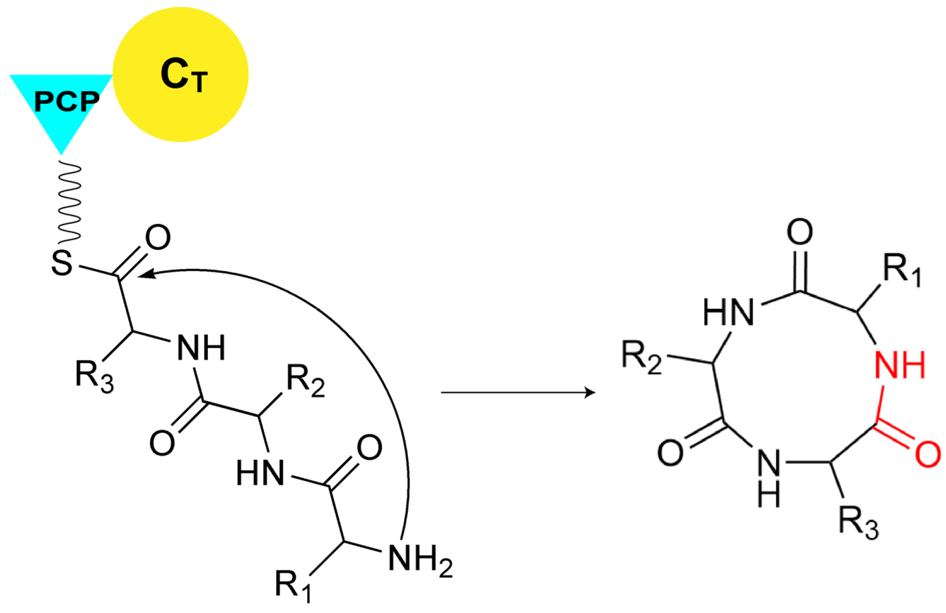
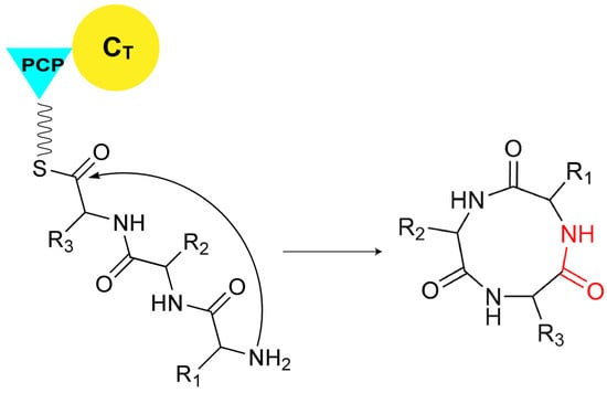
3.3. Heterocyclization Domain
3.4. X Domain
3.5. C Domain Responsible for Substrate Release
4. Engineering of the C Domain
4.1. The Substrate Specificity of the C Domain and Its Significance in Engineering
4.2. C Domain Replacement and Swapping
4.3. Multi-Domain Replacement Involving C Domain
4.4. Engineering of COM Domain
5. Conclusions and Prospects
Author Contributions
Funding
Conflicts of Interest
References
- Newman, D.J.; Cragg, G.M. Natural Products as Sources of New Drugs over the Nearly Four Decades from 01/1981 to 09/2019. J. Nat. Prod. 2020, 83, 770–803. [Google Scholar] [CrossRef] [PubMed]
- Zhang, L.; Wang, C.; Chen, K.; Zhong, W.; Xu, Y.; Molnár, I. Engineering the biosynthesis of fungal nonribosomal peptides. Nat. Prod. Rep. 2023, 40, 62–88. [Google Scholar] [CrossRef] [PubMed]
- Wang, H.; Fewer, D.P.; Holm, L.; Rouhiainen, L.; Sivonen, K. Atlas of nonribosomal peptide and polyketide biosynthetic pathways reveals common occurrence of nonmodular enzymes. Proc. Natl. Acad. Sci. USA 2014, 111, 9259–9264. [Google Scholar] [CrossRef] [PubMed]
- Caradec, T.; Pupin, M.; Vanvlassenbroeck, A.; Devignes, M.-D.; Smaïl-Tabbone, M.; Jacques, P.; Leclère, V. Prediction of Monomer Isomery in Florine: A Workflow Dedicated to Nonribosomal Peptide Discovery. PLoS ONE 2014, 9, e85667. [Google Scholar] [CrossRef] [PubMed][Green Version]
- Weissman, K.J. The structural biology of biosynthetic megaenzymes. Nat. Chem. Biol. 2015, 11, 660–670. [Google Scholar] [CrossRef]
- Walsh, C.T. The chemical versatility of natural-product assembly lines. Acc. Chem. Res. 2008, 41, 4–10. [Google Scholar] [CrossRef]
- Li, J.; Jensen, S.E. Nonribosomal biosynthesis of fusaricidins by Paenibacillus polymyxa PKB1 involves direct activation of a D-amino acid. Chem. Biol. 2008, 15, 118–127. [Google Scholar] [CrossRef]
- Lundy, T.A.; Mori, S.; Chandrika, N.T.; Garneau-Tsodikova, S. Characterization of a Unique Interrupted Adenylation Domain That Can Catalyze Three Reactions. ACS Chem. Biol. 2020, 15, 282–289. [Google Scholar] [CrossRef]
- Miyanaga, A.; Kurihara, S.; Chisuga, T.; Kudo, F.; Eguchi, T. Structural Characterization of Complex of Adenylation Domain and Carrier Protein by Using Pantetheine Cross-Linking Probe. ACS Chem. Biol. 2020, 15, 1808–1812. [Google Scholar] [CrossRef]
- Schoppet, M.; Peschke, M.; Kirchberg, A.; Wiebach, V.; Süssmuth, R.D.; Stegmann, E.; Cryle, M.J. The biosynthetic implications of late-stage condensation domain selectivity during glycopeptide antibiotic biosynthesis. Chem. Sci. 2019, 10, 118–133. [Google Scholar] [CrossRef]
- Gaudelli, N.M.; Townsend, C.A. Epimerization and substrate gating by a TE domain in β-lactam antibiotic biosynthesis. Nat. Chem. Biol. 2014, 10, 251–258. [Google Scholar] [CrossRef]
- Labby, K.J.; Watsula, S.G.; Garneau-Tsodikova, S. Interrupted adenylation domains: Unique bifunctional enzymes involved in nonribosomal peptide biosynthesis. Nat. Prod. Rep. 2015, 32, 641–653. [Google Scholar] [CrossRef]
- Messenger, S.R.; McGuinniety, E.M.R.; Stevenson, L.J.; Owen, J.G.; Challis, G.L.; Ackerley, D.F.; Calcott, M.J. Metagenomic domain substitution for the high-throughput modification of nonribosomal peptides. Nat. Chem. Biol. 2024, 20, 251–260. [Google Scholar] [CrossRef]
- Keating, T.A.; Marshall, C.G.; Walsh, C.T.; Keating, A.E. The structure of VibH represents nonribosomal peptide synthetase condensation, cyclization and epimerization domains. Nat. Struct. Biol. 2002, 9, 522–526. [Google Scholar] [CrossRef]
- Bloudoff, K.; Schmeing, T.M. Structural and functional aspects of the nonribosomal peptide synthetase condensation domain superfamily: Discovery, dissection and diversity. Biochim. Biophys. Acta Proteins Proteom. 2017, 1865, 1587–1604. [Google Scholar] [CrossRef]
- Patel, K.D.; MacDonald, M.R.; Ahmed, S.F.; Singh, J.; Gulick, A.M. Structural advances toward understanding the catalytic activity and conformational dynamics of modular nonribosomal peptide synthetases. Nat. Prod. Rep. 2023, 40, 1550–1582. [Google Scholar] [CrossRef]
- De Crécy-Lagard, V.; Marlière, P.; Saurin, W. Multienzymatic non ribosomal peptide biosynthesis: Identification of the functional domains catalysing peptide elongation and epimerisation. C. R. Acad. Sci III 1995, 318, 927–936. [Google Scholar]
- Samel, S.A.; Schoenafinger, G.; Knappe, T.A.; Marahiel, M.A.; Essen, L.-O. Structural and functional insights into a peptide bond-forming bidomain from a nonribosomal peptide synthetase. Structure 2007, 15, 781–792. [Google Scholar] [CrossRef]
- Tan, K.; Zhou, M.; Jedrzejczak, R.P.; Wu, R.; Higuera, R.A.; Borek, D.; Babnigg, G.; Joachimiak, A. Structures of teixobactin-producing nonribosomal peptide synthetase condensation and adenylation domains. Curr. Res. Struct. Biol. 2020, 2, 14–24. [Google Scholar] [CrossRef]
- Bloudoff, K.; Rodionov, D.; Schmeing, T.M. Crystal Structures of the First Condensation Domain of CDA Synthetase Suggest Conformational Changes during the Synthetic Cycle of Nonribosomal Peptide Synthetases. J. Mol. Biol. 2013, 425, 3137–3150. [Google Scholar] [CrossRef]
- Kee, M.-J.C.Y.; Bharath, S.R.; Wee, S.; Bowler, M.W.; Gunaratne, J.; Pan, S.; Zhang, L.; Song, H. Structural insights into the substrate-bound condensation domains of non-ribosomal peptide synthetase AmbB. Sci. Rep. 2022, 12, 5353. [Google Scholar]
- Bergendahl, V.; Linne, U.; Marahiel, M.A. Mutational analysis of the C-domain in nonribosomal peptide synthesis. Eur. J. Biochem. 2002, 269, 620–629. [Google Scholar] [CrossRef]
- Samel, S.A.; Czodrowski, P.; Essen, L.O. Structure of the epimerization domain of tyrocidine synthetase A. Acta Crystallogr. Sect. D Struct. Biol. 2014, 70, 1442–1452. [Google Scholar] [CrossRef]
- Marshall, C.G.; Hillson, N.J.; Walsh, C.T. Catalytic mapping of the vibriobactin biosynthetic enzyme VibF. Biochemistry 2002, 41, 244–250. [Google Scholar] [CrossRef]
- Bloudoff, K.; Alonzo, D.A.; Schmeing, T.M. Chemical Probes Allow Structural Insight into the Condensation Reaction of Nonribosomal Peptide Synthetases. Cell Chem. Biol. 2016, 23, 331–339. [Google Scholar] [CrossRef]
- Zhong, L.; Diao, X.; Zhang, N.; Li, F.; Zhou, H.; Chen, H.; Bai, X.; Ren, X.; Zhang, Y.; Wu, D.; et al. Engineering and elucidation of the lipoinitiation process in nonribosomal peptide biosynthesis. Nat. Commun. 2021, 12, 296. [Google Scholar] [CrossRef]
- Süssmuth, R.D.; Mainz, A. Nonribosomal Peptide Synthesis-Principles and Prospects. Angew. Chem. Int. Ed. 2017, 56, 3770–3821. [Google Scholar] [CrossRef]
- Belshaw, P.J.; Walsh, C.T.; Stachelhaus, T. Aminoacyl-CoAs as probes of condensation domain selectivity in nonribosomal peptide synthesis. Science 1999, 284, 486–489. [Google Scholar] [CrossRef]
- Clugston, S.L.; Sieber, S.A.; Marahiel, M.A.; Walsh, C.T. Chirality of peptide bond-forming condensation domains in nonribosomal peptide synthetases: The C5 domain of tyrocidine synthetase is a (D)C(L) catalyst. Biochemistry 2003, 42, 12095–12104. [Google Scholar] [CrossRef]
- Kaniusaite, M.; Tailhades, J.; Marschall, E.A.; Goode, R.J.A.; Schittenhelm, R.B.; Cryle, M.J. A proof-reading mechanism for non-proteinogenic amino acid incorporation into glycopeptide antibiotics. Chem. Sci. 2019, 10, 9466–9482. [Google Scholar] [CrossRef]
- Izoré, T.; Ho, Y.T.C.; Kaczmarski, J.A.; Gavriilidou, A.; Chow, K.H.; Steer, D.L.; Goode, R.J.A.; Schittenhelm, R.B.; Tailhades, J.; Tosin, M.; et al. Structures of a non-ribosomal peptide synthetase condensation domain suggest the basis of substrate selectivity. Nat. Commun. 2021, 12, 2511. [Google Scholar] [CrossRef]
- Calcott, M.J.; Owen, J.G.; Ackerley, D.F. Efficient rational modification of non-ribosomal peptides by adenylation domain substitution. Nat. Commun. 2020, 11, 4554. [Google Scholar] [CrossRef]
- Stanišić, A.; Hüsken, A.; Stephan, P.; Niquille, D.L.; Reinstein, J.; Kries, H. An Engineered Nonribosomal Peptide Synthetase Shows Opposite Amino Acid Loading and Condensation Specificity. ACS Catal. 2021, 11, 8692–8700. [Google Scholar] [CrossRef]
- Stachelhaus, T.; Mootz, H.D.; Bergendahl, V.; Marahiel, M.A. Peptide bond formation in nonribosomal peptide biosynthesis—Catalytic role of the condensation domain. J. Biol. Chem. 1998, 273, 22773–22781. [Google Scholar] [CrossRef]
- Rausch, C.; Hoof, I.; Weber, T.; Wohlleben, W.; Huson, D.H. Phylogenetic analysis of condensation domains in NRPS sheds light on their functional evolution. BMC Evol. Biol. 2007, 7, 78. [Google Scholar] [CrossRef]
- Konz, D.; Doekel, S.; Marahiel, M.A. Molecular and biochemical characterization of the protein template controlling biosynthesis of the lipopeptide lichenysin. J. Bacteriol. 1999, 181, 133–140. [Google Scholar] [CrossRef]
- Takeda, K.; Kemmoku, K.; Satoh, Y.; Ogasawara, Y.; Shin-Ya, K.; Dairi, T. N-Phenylacetylation and Nonribosomal Peptide Synthetases with Substrate Promiscuity for Biosynthesis of Heptapeptide Variants, JBIR-78 and JBIR-95. ACS Chem. Biol. 2017, 12, 1813–1819. [Google Scholar] [CrossRef]
- Luo, L.; Kohli, R.M.; Onishi, M.; Linne, U.; Marahiel, M.A.; Walsh, C.T. Timing of epimerization and condensation reactions in nonribosomal peptide assembly lines: Kinetic analysis of phenylalanine activating elongation modules of tyrocidine synthetase B. Biochemistry 2002, 41, 9184–9196. [Google Scholar] [CrossRef]
- Stachelhaus, T.; Walsh, C.T. Mutational analysis of the epimerization domain in the initiation module PheATE of gramicidin S synthetase. Biochemistry 2000, 39, 5775–5787. [Google Scholar] [CrossRef]
- Balibar, C.J.; Vaillancourt, F.H.; Walsh, C.T. Generation of D amino acid residues in assembly of arthrofactin by dual condensation/epimerization domains. Chem. Biol. 2005, 12, 1189–1200. [Google Scholar] [CrossRef]
- Bloudoff, K.; Fage, C.D.; Marahiel, M.A.; Schmeing, T.M. Structural and mutational analysis of the nonribosomal peptide synthetase heterocyclization domain provides insight into catalysis. Proc. Natl. Acad. Sci. USA 2017, 114, 95–100. [Google Scholar] [CrossRef]
- Konz, D.; Klens, A.; Schörgendorfer, K.; Marahiel, M.A. The bacitracin biosynthesis operon of Bacillus licheniformis ATCC 10716: Molecular characterization of three multi-modular peptide synthetases. Chem. Biol. 1997, 4, 927–937. [Google Scholar] [CrossRef]
- Schneider, T.L.; Shen, B.; Walsh, C.T. Oxidase domains in epothilone and bleomycin biosynthesis: Thiazoline to thiazole oxidation during chain elongation. Biochemistry 2003, 42, 9722–9730. [Google Scholar] [CrossRef]
- Patel, H.M.; Walsh, C.T. In vitro reconstitution of the Pseudomonas aeruginosa nonribosomal peptide synthesis of pyochelin:: Characterization of backbone tailoring thiazoline reductase and N-methyltransferase activities. Biochemistry 2001, 40, 9023–9031. [Google Scholar] [CrossRef]
- Acharya, Y.; Bhattacharyya, S.; Dhanda, G.; Haldar, J. Emerging Roles of Glycopeptide Antibiotics: Moving beyond Gram-Positive Bacteria. ACS Infect. Dis. 2022, 8, 1–28. [Google Scholar] [CrossRef]
- Haslinger, K.; Peschke, M.; Brieke, C.; Maximowitsch, E.; Cryle, M.J. X-domain of peptide synthetases recruits oxygenases crucial for glycopeptide biosynthesis. Nature 2015, 521, 105–109. [Google Scholar] [CrossRef]
- Greule, A.; Izoré, T.; Iftime, D.; Tailhades, J.; Schoppet, M.; Zhao, Y.; Peschke, M.; Ahmed, I.; Kulik, A.; Adamek, M.; et al. Kistamicin biosynthesis reveals the biosynthetic requirements for production of highly crosslinked glycopeptide antibiotics. Nat. Commun. 2019, 10, 2613. [Google Scholar] [CrossRef]
- Peschke, M.; Haslinger, K.; Brieke, C.; Reinstein, J.; Cryle, M.J. Regulation of the P450 Oxygenation Cascade Involved in Glycopeptide Antibiotic Biosynthesis. J. Am. Chem. Soc. 2016, 138, 6746–6753. [Google Scholar] [CrossRef]
- Gao, X.; Haynes, S.W.; Ames, B.D.; Wang, P.; Vien, L.P.; Walsh, C.T.; Tang, Y. Cyclization of fungal nonribosomal peptides by a terminal condensation-like domain. Nat. Chem. Biol. 2012, 8, 823–830. [Google Scholar] [CrossRef]
- Zhang, J.; Liu, N.; Cacho, R.A.; Gong, Z.; Liu, Z.; Qin, W.; Tang, C.; Tang, Y.; Zhou, J. Structural basis of nonribosomal peptide macrocyclization in fungi. Nat. Chem. Biol. 2016, 12, 1001–1003. [Google Scholar] [CrossRef]
- Hai, Y.; Jenner, M.; Tang, Y. Complete Stereoinversion of L-Tryptophan by a Fungal Single-Module Nonribosomal Peptide Synthetase. J. Am. Chem. Soc. 2019, 141, 16222–16226. [Google Scholar] [CrossRef]
- Dekimpe, S.; Masschelein, J. Beyond peptide bond formation: The versatile role of condensation domains in natural product biosynthesis. Nat. Prod. Rep. 2021, 38, 1910–1937. [Google Scholar] [CrossRef]
- Ackerley, D.F.; Lamont, L.L. Characterization and genetic manipulation of peptide synthetases in Pseudomonas aeruginosa PAO1 in order to generate novel pyoverdines. Chem. Biol. 2004, 11, 971–980. [Google Scholar] [CrossRef]
- Calcott, M.J.; Owen, J.G.; Lamont, I.L.; Ackerley, D.F. Biosynthesis of Novel Pyoverdines by Domain Substitution in a Nonribosomal Peptide Synthetase of Pseudomonas aeruginosa. Appl. Environ. Microbiol. 2014, 80, 5723–5731. [Google Scholar] [CrossRef]
- Niquille, D.L.; Hansen, D.A.; Mori, T.; Fercher, D.; Kries, H.; Hilvert, D. Nonribosomal biosynthesis of backbone-modified peptides. Nat. Chem. 2018, 10, 282–287. [Google Scholar] [CrossRef]
- Meyer, S.; Kehr, J.-C.; Mainz, A.; Dehm, D.; Petras, D.; Süssmuth, R.D.; Dittmann, E. Biochemical Dissection of the Natural Diversification of Microcystin Provides Lessons for Synthetic Biology of NRPS. Cell Chem. Biol. 2016, 23, 462–471. [Google Scholar] [CrossRef]
- Yu, D.; Xu, F.; Zhang, S.; Zhan, J. Decoding and reprogramming fungal iterative nonribosomal peptide synthetases. Nat. Commun. 2017, 8, 15349. [Google Scholar] [CrossRef][Green Version]
- Steiniger, C.; Hoffmann, S.; Mainz, A.; Kaiser, M.; Voigt, K.; Meyer, V.; Süssmuth, R.D. Harnessing fungal nonribosomal cyclodepsipeptide synthetases for mechanistic insights and tailored engineering. Chem. Sci. 2017, 8, 7834–7843. [Google Scholar] [CrossRef]
- Haynes, S.W.; Ames, B.D.; Gao, X.; Tang, Y.; Walsh, C.T. Unraveling Terminal C-Domain-Mediated Condensation in Fungal Biosynthesis of Imidazoindolone Metabolites. Biochemistry 2011, 50, 5668–5679. [Google Scholar] [CrossRef]
- Maruyama, C.; Toyoda, J.; Kato, Y.; Izumikawa, M.; Takagi, M.; Shin-Ya, K.; Katano, H.; Utagawa, T.; Hamano, Y. A stand-alone adenylation domain forms amide bonds in streptothricin biosynthesis. Nat. Chem. Biol. 2012, 8, 791–797. [Google Scholar] [CrossRef]
- Liu, Q.; Fan, W.; Zhao, Y.; Deng, Z.; Feng, Y. Probing and Engineering the Fatty Acyl Substrate Selectivity of Starter Condensation Domains of Nonribosomal Peptide Synthetases in Lipopeptide Biosynthesis. Biotechnol. J. 2020, 15, e1900175. [Google Scholar] [CrossRef]
- Straus, S.K.; Hancock, R.E.W. Mode of action of the new antibiotic for Gram-positive pathogens daptomycin: Comparison with cationic antimicrobial peptides and lipopeptides. Biochim. Biophys. Acta Biomembr. 2006, 1758, 1215–1223. [Google Scholar] [CrossRef]
- Kries, H.; Wachtel, R.; Pabst, A.; Wanner, B.; Niquille, D.; Hilvert, D. Reprogramming Nonribosomal Peptide Synthetases for “Clickable” Amino Acids. Angew. Chem. Int. Ed. 2014, 53, 10105–10108. [Google Scholar] [CrossRef]
- Folger, I.B.; Frota, N.F.; Pistofidis, A.; Niquille, D.L.; Hansen, D.A.; Schmeing, T.M.; Hilvert, D. High-throughput reprogramming of an NRPS condensation domain. Nat. Chem. Biol. 2024, 20, 761–769. [Google Scholar] [CrossRef]
- Kaniusaite, M.; Goode, R.J.A.; Tailhades, J.; Schittenhelm, R.B.; Cryle, M.J. Exploring modular reengineering strategies to redesign the teicoplanin non-ribosomal peptide synthetase. Chem. Sci. 2020, 11, 9443–9458. [Google Scholar] [CrossRef]
- Mootz, H.D.; Schwarzer, D.; Marahiel, M.A. Construction of hybrid peptide synthetases by module and domain fusions. Proc. Natl. Acad. Sci. USA 2000, 97, 5848–5853. [Google Scholar] [CrossRef]
- Sundlov, J.A.; Shi, C.; Wilson, D.J.; Aldrich, C.C.; Gulick, A.M. Structural and Functional Investigation of the Intermolecular Interaction between NRPS Adenylation and Carrier Protein Domains. Chem. Biol. 2012, 19, 188–198. [Google Scholar] [CrossRef]
- Bozhüyük, K.A.J.; Bozhüyük, K.A.J.; Fleischhacker, F.; Linck, A.; Wesche, F.; Tietze, A.; Niesert, C.-P.; Bode, H.B. De novo design and engineering of non-ribosomal peptide synthetases. Nat. Chem. 2018, 10, 275–281. [Google Scholar] [CrossRef]
- Bozhüyük, K.A.J.; Linck, A.; Tietze, A.; Kranz, J.; Wesche, F.; Nowak, S.; Fleischhacker, F.; Shi, Y.-N.; Grün, P.; Bode, H.B. Modification and de novo design of non-ribosomal peptide synthetases using specific assembly points within condensation domains. Nat. Chem. 2019, 11, 653–661. [Google Scholar] [CrossRef]
- Thompson, K.E.; Bashor, C.J.; Lim, W.A.; Keating, A.E. SYNZIP Protein Interaction Toolbox: In Vitro and in Vivo Specifications of Heterospecific Coiled-Coil Interaction Domains. ACS Synth. Biol. 2012, 1, 118–129. [Google Scholar] [CrossRef]
- Reinke, A.W.; Grant, R.A.; Keating, A.E. A Synthetic Coiled-Coil Interactome Provides Heterospecific Modules for Molecular Engineering. J. Am. Chem. Soc. 2010, 132, 6025–6031. [Google Scholar] [CrossRef]
- Bozhueyuek, K.A.J.; Watzel, J.; Abbood, N.; Bode, H.B. Synthetic Zippers as an Enabling Tool for Engineering of Non-Ribosomal Peptide Synthetases. Angew. Chem. Int. Ed. 2021, 60, 17531–17538. [Google Scholar] [CrossRef]
- Steiniger, C.; Hoffmann, S.; Süssmuth, R.D. Probing Exchange Units for Combining Iterative and Linear Fungal Nonribosomal Peptide Synthetases. Cell Chem. Biol. 2019, 26, 1526–1534. [Google Scholar] [CrossRef]
- Fage, C.D.; Kosol, S.; Jenner, M.; Öster, C.; Gallo, A.; Kaniusaite, M.; Steinbach, R.; Staniforth, M.; Stavros, V.G.; Marahiel, M.A.; et al. Communication Breakdown: Dissecting the COM Interfaces between the Subunits of Nonribosomal Peptide Synthetases. ACS Catal. 2021, 11, 10802–10813. [Google Scholar] [CrossRef]
- Hahn, M.; Stachelhaus, T. Selective interaction between nonribosomal peptide syntheltases is facilitated by short commuinication-mediating domains. Proc. Natl. Acad. Sci. USA 2004, 101, 15585–15590. [Google Scholar] [CrossRef]
- Gao, L.; Ma, W.; Lu, Z.; Han, J.; Ma, Z.; Liu, H.; Bie, X. Translocation of subunit PPSE in plipastatin synthase and synthesis of novel lipopeptides. Synth. Syst. Biotechnol. 2022, 7, 1173–1180. [Google Scholar] [CrossRef]
- Hahn, M.; Stachelhaus, T. Harnessing the potential of communication-mediating domains for the biocombinatorial synthesis of nonribosomal peptides. Proc. Natl. Acad. Sci. USA 2006, 103, 275–280. [Google Scholar] [CrossRef]
- Lv, Z.; Ma, W.; Zhang, P.; Lu, Z.; Zhou, L.; Meng, F.; Wang, Z.; Bie, X. Deletion of COM donor and acceptor domains and the interaction between modules in bacillomycin D produced by Bacillus amyloliquefaciens. Synth. Syst. Biotechnol. 2022, 7, 989–1001. [Google Scholar] [CrossRef]
- Kegler, C.; Bode, H.B. Artificial Splitting of a Non-Ribosomal Peptide Synthetase by Inserting Natural Docking Domains. Angew. Chem. Int. Ed. 2020, 59, 13463–13467. [Google Scholar] [CrossRef]
- Peng, H.; Schmiederer, J.; Chen, X.; Panagiotou, G.; Kries, H. Controlling Substrate- and Stereospecificity of Condensation Domains in Nonribosomal Peptide Synthetases. ACS Chem. Biol. 2024, 19, 599–606. [Google Scholar] [CrossRef]
- Mansour, B.; Gauld, J.W. Computational Insights into Amide Bond Formation Catalyzed by the Condensation Domain of Nonribosomal Peptide Synthetases. ACS Omega 2024, 9, 28556–28563. [Google Scholar] [CrossRef] [PubMed]













| Engineering Methods, Targets, and Purposes | XU Source | Number of XUs | Production of Peptide Product ± Standard Deviation (mg/L) | % of Wild-Type Level |
|---|---|---|---|---|
| Domain swapping | GameXPeptide-producing NRPS GxpS | 1 | 0.31 ± 0.15 | 88 |
| 2 | 0.20 ± 0.12 | 57 | ||
| 2 | 0.52 ± 0.31 | 148 | ||
| Recombination of NRPSs | GxpS KolS | 3 | 16.12 ± 3.89 | 48.6 |
| 4 | 15.82 ± 3.06 | 47.7 | ||
| XtpS AmbS | 2 | 8.94 ± 0.73 | 28.1 | |
| 2.73 ± 0.07 | 8.6 | |||
| XtpS GarS | 2 | 5.15 ± 1.59 | 16.2 | |
| 0.81 ± 0.18 | 2.5 | |||
| XtpS AmbS GarS | 3 | 1.08 ± 0.32 | 3.4 | |
| 0.30 ± 0.18 | 0.9 | |||
| XtpS GarS GrsB | 3 | 9.53 ± 4.07 | 30.0 | |
| 0.45 ± 0.27 | 1.4 | |||
| 1.48 ± 1.05 | 4.7 | |||
| BicA | 1 | 24.45 ± 3.82 | 77.0 | |
| 6.44 ± 1.34 | 20.2 | |||
| De novo design of NRPSs | XldS PaxB AmbS | 5 | 10.02 ± 0.44 | - |
| 27.46 ± 0.65 | - | |||
| 7.17 ± 0.22 | - | |||
| XabA KolS TxlA GxpS | 4 | 7.53 ± 0.51 | - | |
| SzeS GxpS | 5 | 13.64 ± 0.43 | - | |
| 2.44 ± 0.03 | - | |||
| SzeS GxpS | 4 | 30.60 ± 2.32 | - | |
| 4.57 ± 0.37 | - |
| Engineering Site | Engineering Method | Production of Peptide Product ± Standard Deviation (mg/L) | % of Wild-type Level |
|---|---|---|---|
| None | None | XFP A 1.21 ± 0.005 | 100 |
| XFP B 0.48 ± 0.03 | 100 | ||
| C-terminus and N-terminus of XfpS | Introduction of Strep Tag II | XFP A 3.2 ± 0.6 | 265 |
| XFP B 1.2 ± 0.2 | 258 | ||
| C-terminus of XfpS-1 and N-terminus of XfpS-23; N-terminus of XfpS-1 and C-terminus of XfpS-23 | Introduction of exogenous COM domain; introduction of Strep Tag II | XFP A 4.5 ± 0.7 | 371 |
| XFP B 2.5 ± 0.6 | 526 | ||
| C-terminus of XfpS-1 and N-terminus of XfpS-23; N-terminus of XfpS-1 and C-terminus of XfpS-23 | Deletion of the COMD portion in the exogenous COM domain; introduction of Strep Tag II | XFP A 3.7 ± 0.3 | 308 |
| XFP B 2.5 ± 0.3 | 519 | ||
| C-terminus of XfpS-1 and N-terminus of XfpS-23; N-terminus of XfpS-1 and C-terminus of XfpS-23 | Deletion of the COMA portion in the exogenous COM domain; introduction of Strep Tag II | XFP A 0.83 ± 0.08 | 69 |
| XFP B 0.9 ± 0.1 | 178 | ||
| C-terminus of XfpS-1 and N-terminus of XfpS-23; N-terminus of XfpS-1 and C-terminus of XfpS-23 | Deletion of the COMD and COMA portions in the exogenous COM domain; introduction of Strep Tag II | XFP A 0.9 ± 0.1 | 73 |
| XFP B 0.84 ± 0.07 | 176 | ||
| C-terminus of XfpS-12 and N-terminus of XfpS-3; N-terminus of XfpS-12 and C-terminus of XfpS-3 | Introduction of exogenous COM domain; introduction of Strep Tag II | XFP A 0.06 ± 0.01 | 5 |
| XFP B 0.22 ± 0.02 | 46 | ||
| C-terminus of XfpS-12 and N-terminus of XfpS-3; N-terminus of XfpS-12 and C-terminus of XfpS-3 | Deletion of the COMD portion in the exogenous COM domain; introduction of Strep Tag II | XFP A - | - |
| XFP B 0.04 ± 0.01 | 8 | ||
| C-terminus of XfpS-1, N-terminus and C-terminus of XfpS-2 and N-terminus of XfpS-3 | Introduction of exogenous COM domain | XFP A 0.11 ± 0.02 | 9 |
| XFP B 0.34 ± 0.03 | 71 | ||
| C-terminus of XfpS-1, N-terminus and C-terminus of XfpS-2 and N-terminus of XfpS-3; N-terminus of XfpS-1 and C-terminus of XfpS-3 | Introduction of exogenous COM domain; introduction of Strep Tag II | XFP A 0.37 ± 0.02 | 31 |
| XFP B 0.9 ± 0.1 | 195 |
Disclaimer/Publisher’s Note: The statements, opinions and data contained in all publications are solely those of the individual author(s) and contributor(s) and not of MDPI and/or the editor(s). MDPI and/or the editor(s) disclaim responsibility for any injury to people or property resulting from any ideas, methods, instructions or products referred to in the content. |
© 2024 by the authors. Licensee MDPI, Basel, Switzerland. This article is an open access article distributed under the terms and conditions of the Creative Commons Attribution (CC BY) license (https://creativecommons.org/licenses/by/4.0/).
Share and Cite
Huang, Z.; Peng, Z.; Zhang, M.; Li, X.; Qiu, X. Structure, Function and Engineering of the Nonribosomal Peptide Synthetase Condensation Domain. Int. J. Mol. Sci. 2024, 25, 11774. https://doi.org/10.3390/ijms252111774
Huang Z, Peng Z, Zhang M, Li X, Qiu X. Structure, Function and Engineering of the Nonribosomal Peptide Synthetase Condensation Domain. International Journal of Molecular Sciences. 2024; 25(21):11774. https://doi.org/10.3390/ijms252111774
Chicago/Turabian StyleHuang, Zhenkuai, Zijing Peng, Mengli Zhang, Xinhai Li, and Xiaoting Qiu. 2024. "Structure, Function and Engineering of the Nonribosomal Peptide Synthetase Condensation Domain" International Journal of Molecular Sciences 25, no. 21: 11774. https://doi.org/10.3390/ijms252111774
APA StyleHuang, Z., Peng, Z., Zhang, M., Li, X., & Qiu, X. (2024). Structure, Function and Engineering of the Nonribosomal Peptide Synthetase Condensation Domain. International Journal of Molecular Sciences, 25(21), 11774. https://doi.org/10.3390/ijms252111774
