A Lipase Gene of Thermomyces lanuginosus: Sequence Analysis and High-Efficiency Expression in Pichia pastoris
Abstract
1. Introduction
2. Results and Analysis
2.1. Sequence and Structure Analysis of Lipase Lip4
2.2. Lipase Gene lip4 Expression in P. pastoris
2.3. Lipase Production in Bioreactor
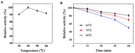
2.4. Temperature Features of Lipase Lip4
3. Discussions
4. Materials and Methods
4.1. Plasmid and Reagent
4.2. Strain and Medium
4.3. Extraction of Total RNA from T. lanuginosus
4.4. Lipase Gene Cloning and Expression
4.5. Fermentation
4.6. Lipase Activity Detection
4.7. Bioinformatics Analysis
5. Conclusions
Author Contributions
Funding
Institutional Review Board Statement
Informed Consent Statement
Data Availability Statement
Conflicts of Interest
References
- Moraleda-Munoz, A.; Shimkets, L.J. Lipolytic enzymes in Myxococcus xanthus. J. Bacteriol. 2007, 189, 3072–3080. [Google Scholar] [CrossRef] [PubMed]
- Javed, S.; Azeem, F.; Hussain, S.; Rasul, I.; Siddique, M.H.; Riaz, M.; Afzal, M.; Kouser, A.; Nadeem, H. Bacterial lipases: A review on purification and characterization. Prog. Biophys. Mol. Biol. 2018, 132, 23–34. [Google Scholar] [CrossRef]
- Ali, S.; Khan, S.A.; Hamayun, M.; Lee, I.-J. The recent advances in the utility of microbial lipases: A review. Microorganisms 2023, 11, 510. [Google Scholar] [CrossRef] [PubMed]
- Reetz, M.T. Biocatalysis in organic chemistry and biotechnology: Past, present, and future. J. Am. Chem. Soc. 2013, 135, 12480–12496. [Google Scholar] [CrossRef] [PubMed]
- Berger, G.M. Clearance defects in primary chylomicronemia: A study of tissue lipoprotein lipase activities. Metabolism 1986, 35, 1054–1061. [Google Scholar] [CrossRef] [PubMed]
- Chandra, P.; Enespa; Singh, R.; Arora, P.K. Microbial lipases and their industrial applications: A comprehensive review. Microb. Cell Factories 2020, 19, 169. [Google Scholar]
- Zappaterra, F.; Presini, F.; Venturi, V.; Lerin, L.A.; Giovannini, P.P.; Costa, S. Biocatalytic insights for the synthesis of new potential prodrugs: Design of two ibuprofen derivatives. Appl. Sci. 2023, 13, 9852. [Google Scholar] [CrossRef]
- Prathumpai, W.; Flitter, S.J.; McIntyre, M.; Nielsen, J. Lipase production by recombinant strains of Aspergillus niger expressing a lipase-encoding gene from Thermomyces lanuginosus. Appl. Microbiol. Biotechnol. 2004, 65, 714–719. [Google Scholar] [CrossRef]
- Banik, R.M.; Prakash, M. Laundry detergent compatibility of the alkaline protease from Bacillus cereus. Microbiol. Res. 2004, 159, 135–140. [Google Scholar] [CrossRef]
- Saraswat, R.; Verma, V.; Sistla, S.; Bhushan, I. Evaluation of alkali and thermotolerant lipase from an indigenous isolated Bacillus strain for detergent formulation. Electron. J. Biotechnol. 2017, 30, 33–38. [Google Scholar] [CrossRef]
- Grbavčić, S.; Bezbradica, D.; Izrael-Živković, L.; Avramović, N.; Milosavić, N.; Karadžić, I.; Knežević-Jugović, Z. Production of lipase and protease from an indigenous Pseudomonas aeruginosa strain and their evaluation as detergent additives: Compatibility study with detergent ingredients and washing performance. Bioresour. Technol. 2011, 102, 11226–11233. [Google Scholar] [CrossRef] [PubMed]
- Rabbani, G.; Ahmad, E.; Ahmad, A.; Khan, R.H. Structural features, temperature adaptation and industrial applications of microbial lipases from psychrophilic, mesophilic and thermophilic origins. Int. J. Biol. Macromol. 2023, 225, 822–839. [Google Scholar] [CrossRef] [PubMed]
- Soni, S. Trends in lipase engineering for enhanced biocatalysis. Biotechnol. Appl. Biochem. 2022, 69, 265–272. [Google Scholar] [CrossRef] [PubMed]
- Yao, W.; Liu, K.; Liu, H.; Jiang, Y.; Wang, R.; Wang, W.; Wang, T. A valuable product of microbial cell factories: Microbial lipase. Front. Microbiol. 2021, 12, 743377. [Google Scholar] [CrossRef]
- Abu, M.L.; Mohammad, R.; Oslan, S.N.; Salleh, A.B. The use of response surface methodology for enhanced production of a thermostable bacterial lipase in a novel yeast system. Prep. Biochem. Biotechnol. 2021, 51, 350–360. [Google Scholar] [CrossRef]
- Che Hussian, C.H.A.; Raja Abd Rahman, R.N.Z.; Thean Chor, A.L.; Salleh, A.B.; Mohamad Ali, M.S. Enhancement of a protocol purifying T1 lipase through molecular approach. PeerJ 2018, 6, e5833. [Google Scholar] [CrossRef]
- Dixit, M.; Kumar Gupta, G.; Yadav, M.; Chhabra, D.; Kumar Kapoor, R.; Pathak, P.; Bhardwaj, N.K.; Shukla, P. Improved deinking and biobleaching efficiency of enzyme consortium from Thermomyces lanuginosus VAPS25 using genetic algorithm-artificial neural network based tools. Bioresour. Technol. 2022, 349, 126846. [Google Scholar] [CrossRef]
- Ishak, S.N.H.; Masomian, M.; Kamarudin, N.H.A.; Ali, M.S.M.; Leow, T.C.; Rahman, R.N.Z.R.A. Changes of thermostability, organic solvent, and pH stability in Geobacillus zalihae HT1 and its mutant by calcium ion. Int. J. Mol. Sci. 2019, 20, 2561. [Google Scholar] [CrossRef]
- Ruslan, R.; Rahman, R.N.Z.R.A.; Leow, T.C.; Ali, M.S.M.; Basri, M.; Salleh, A.B. Improvement of thermal stability via outer-loop ion pair interaction of mutated T1 lipase from Geobacillus zalihae strain T1. Int. J. Mol. Sci. 2012, 13, 943–960. [Google Scholar] [CrossRef]
- Mohamed, R.A.; Salleh, A.B.; Leow, T.C.; Yahaya, N.M.; Abdul Rahman, M.B. Site-directed mutagenesis: Role of lid region for T1 lipase specificity. Protein Eng. Des. Sel. 2018, 31, 221–229. [Google Scholar] [CrossRef]
- Chen, W.; He, L.; Song, W.; Huang, J.; Zhong, N. Encapsulation of lipases by nucleotide/metal ion coordination polymers: Enzymatic properties and their applications in glycerolysis and esterification studies. J. Sci. Food Agric. 2022, 102, 4012–4024. [Google Scholar] [CrossRef]
- Suo, H.; Xu, L.; Xu, C.; Chen, H.; Yu, D.; Gao, Z.; Huang, H.; Hu, Y. Enhancement of catalytic performance of porcine pancreatic lipase immobilized on functional ionic liquid modified Fe3O4-Chitosan nanocomposites. Int. J. Biol. Macromol. 2018, 119, 624–632. [Google Scholar] [CrossRef]
- Cai, H.; Zhao, M.; Li, Y.; Mao, J.; Cai, C.; Feng, F. Pentapeptide prosequence enhances expression and structure folding of recombinant Thermomyces lanuginosus lipase in Pichia pastoris. Protein Pept. Lett. 2017, 24, 676–681. [Google Scholar] [CrossRef] [PubMed]
- Damaso, M.C.T.; Almeida, M.S.; Kurtenbach, E.; Martins, O.B.; Pereira, N., Jr.; Andrade, C.M.M.C.; Albano, R.M. Optimized expression of a thermostable xylanase from Thermomyces lanuginosus in Pichia pastoris. Appl. Environ. Microbiol. 2003, 69, 6064–6072. [Google Scholar] [CrossRef]
- Zhu, J.; Liu, H.; Zhang, J.; Wang, P.; Liu, S.; Liu, G.; Wu, L. Effects of Asn-33 glycosylation on the thermostability of thermomyces lanuginosus lipase. J. Appl. Microbiol. 2014, 117, 151–159. [Google Scholar] [CrossRef]
- Saun, N.K.; Mehta, P.; Gupta, R. Purification and physicochemical properties of lipase from thermophilic Bacillus aerius. J. Oleo Sci. 2014, 63, 1261–1268. [Google Scholar] [CrossRef]
- Nolasco, H.; Moyano-López, F.; Vega-Villasante, F. Partial characterization of pyloric-duodenal lipase of gilthead seabream (Sparus aurata). Fish Physiol. Biochem. 2011, 37, 43–52. [Google Scholar] [CrossRef] [PubMed]
- Oliveira, G.F.; Silva, M.R.L.; Hirata, D.B. Production of new lipase from Preussia africana and partial characterization. Prep. Biochem. Biotechnol. 2022, 52, 942–949. [Google Scholar] [CrossRef] [PubMed]
- Phukon, L.C.; Chourasia, R.; Kumari, M.; Godan, T.K.; Sahoo, D.; Parameswaran, B.; Rai, A.K. Production and characterisation of lipase for application in detergent industry from a novel Pseudomonas helmanticensis HS6. Bioresour. Technol. 2020, 309, 123352. [Google Scholar] [CrossRef]
- Doukyu, N.; Ito, H.; Sugimoto, K. Expression and characterization of a thermostable monoacylglycerol lipase from thermophilic Geobacillus kaustophilus. Prep. Biochem. Biotechnol. 2024, 1–9. [Google Scholar] [CrossRef]
- Qiu, J.; Yang, H.; Shao, Y.; Li, L.; Sun, S.; Wang, L.; Tan, Y.; Xin, Z. Enhancing the activity and thermal stability of a phthalate-degrading hydrolase by random mutagenesis. Ecotoxicol. Environ. Saf. 2021, 209, 111795. [Google Scholar] [CrossRef]
- Tang, Z.; Jin, W.; Sun, R.; Liao, Y.; Zhen, T.; Chen, H.; Wu, Q.; Gou, L.; Li, C. Improved thermostability and enzyme activity of a recombinant phyA mutant phytase from Aspergillus niger N25 by directed evolution and site-directed mutagenesis. Enzym. Microb. Technol. 2018, 108, 74–81. [Google Scholar] [CrossRef] [PubMed]
- El-Aziz, A.M.A.; Shaker, M.A.; Shaaban, M.I. Enhanced biocatalytic activity of recombinant lipase immobilized on gold nanoparticles. Curr. Pharm. Biotechnol. 2019, 20, 497–505. [Google Scholar] [CrossRef]
- Haernvall, K.; Fladischer, P.; Schoeffmann, H.; Zitzenbacher, S.; Pavkov-Keller, T.; Gruber, K.; Schick, M.; Yamamoto, M.; Kuenkel, A.; Ribitsch, D.; et al. Residue-specific incorporation of the non-canonical amino acid norleucine improves lipase activity on synthetic polyesters. Front. Bioeng. Biotechnol. 2022, 10, 769830. [Google Scholar] [CrossRef]
- Remonatto, D.; Oliveira, J.V.; Guisan, J.M.; Oliveira, D.; Ninow, J.; Fernandez-Lorente, G. Immobilization of Eversa Lipases on Hydrophobic Supports for Ethanolysis of Sunflower Oil Solvent-Free. Appl. Biochem. Biotechnol. 2022, 194, 2151–2167. [Google Scholar] [CrossRef]
- Akram, F.; Fatima, T.; Ul Haq, I. Auto-induction, biochemical characterization and application of a novel thermo-alkaline and detergent-stable lipase (S9 peptidase domain) from Thermotoga petrophila as cleaning additive and degrading oil/fat wastes. Bioorg. Chem. 2024, 151, 107658. [Google Scholar] [CrossRef]








| Source | Optimal Temperature | Stable Temperature | Reference | 
|---|---|---|---|
| Thermomyces lanuginosus | 40 °C | 70 °C (30 min) 60 °C (60 min) | This study | 
| Streptomyces exfoliatus | 60 °C | 60 °C (low concentration); >70 °C (high concentration) | [28] | 
| Pseudomonas helmanticensis | 50 °C | 80 °C | [29] | 
| Bacillus aerius | 55 °C | 60 °C | [26] | 
| Sparus aurata | 50 °C | 40 °C | [27] | 
| Geobacillus kaustophilus | 65 °C | >75 °C | [30] | 
| Disclaimer/Publisher’s Note: The statements, opinions and data contained in all publications are solely those of the individual author(s) and contributor(s) and not of MDPI and/or the editor(s). MDPI and/or the editor(s) disclaim responsibility for any injury to people or property resulting from any ideas, methods, instructions or products referred to in the content. | 
© 2024 by the authors. Licensee MDPI, Basel, Switzerland. This article is an open access article distributed under the terms and conditions of the Creative Commons Attribution (CC BY) license (https://creativecommons.org/licenses/by/4.0/).
Share and Cite
Yi, L.; Cheng, L.; Yang, Q.; Luo, W.; Duan, S. A Lipase Gene of Thermomyces lanuginosus: Sequence Analysis and High-Efficiency Expression in Pichia pastoris. Int. J. Mol. Sci. 2024, 25, 11591. https://doi.org/10.3390/ijms252111591
Yi L, Cheng L, Yang Q, Luo W, Duan S. A Lipase Gene of Thermomyces lanuginosus: Sequence Analysis and High-Efficiency Expression in Pichia pastoris. International Journal of Molecular Sciences. 2024; 25(21):11591. https://doi.org/10.3390/ijms252111591
Chicago/Turabian StyleYi, Le, Lifeng Cheng, Qi Yang, Wei Luo, and Shengwen Duan. 2024. "A Lipase Gene of Thermomyces lanuginosus: Sequence Analysis and High-Efficiency Expression in Pichia pastoris" International Journal of Molecular Sciences 25, no. 21: 11591. https://doi.org/10.3390/ijms252111591
APA StyleYi, L., Cheng, L., Yang, Q., Luo, W., & Duan, S. (2024). A Lipase Gene of Thermomyces lanuginosus: Sequence Analysis and High-Efficiency Expression in Pichia pastoris. International Journal of Molecular Sciences, 25(21), 11591. https://doi.org/10.3390/ijms252111591
 
        


 
       