Precision Oncology in Older Cancer Patients: A Single-Center Experience
Abstract
1. Introduction
2. Results
2.1. Results of Demographic, Clinicopathologic, and Disease-Specific Data
2.2. Results of NGS Analysis
2.3. Discussion of Results at Molecular Tumor Board/Tumor Board
2.4. Treatment Recommendations and Clinical Outcome
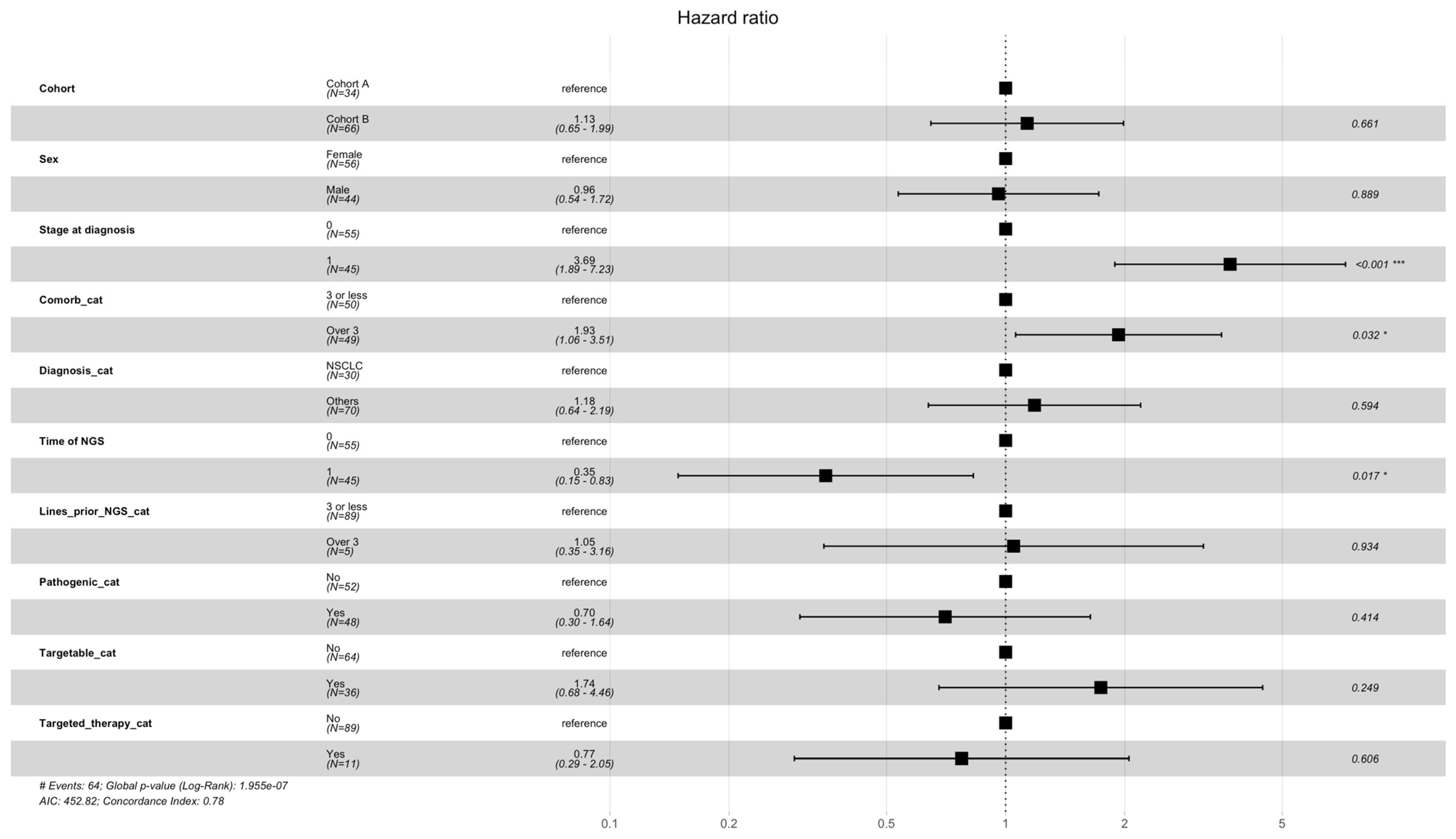
Overall Survival Analysis
3. Materials and Methods
3.1. Objectives
- To compare the clinicopathologic and NGS data in the two cohorts (A and B)
- To compare the rate of presentation to the molecular tumor board and discussion with experts
- To compare the outcomes of patients in cohorts A and B based on the successful allocation of NGS-data-based precision therapy (time of treatment)
3.2. Endpoints
- Clinical characteristics in descriptive statistics in cohorts A and B
- Rate of molecular tumor board presentation (optimal 1 NGS = 1 tumor board presentation in cohorts A and B)
- Time on treatment with the targeted agent after the NGS-based treatment allocation
3.3. Patients Disposition and Cohort Description
3.4. Molecular Diagnostics
- (A)
- Oncomine Comprehensive Assay®, Version 3 (OCAv3) (ThermoFisher Scientific, Waltham, MA, USA): a multi-biomarker NGS assay that covers 161 of the most relevant cancer genes
- (B)
- Oncomine Tumor Mutation Load Assay® (TML) (ThermoFisher Scientific, Waltham, MA, USA): a large targeted NGS assay that covers 1.65 Mb across 409 oncogenes relevant across major cancer types
- (C)
- Oncomine Solid Tumor DNA Panel® (ThermoFisher Scientific, Waltham, MA, USA): next-generation sequencing (NGS) kits for both DNA and RNA workflows that enable the assessment of actionable mutations involved in solid tumors, particularly those originating from the lung and colon, and cover 22 hotspot genes
- (D)
- KSBL Hotspot Panel® (HOP), (Institute of Pathology of Liestal, Switzerland): The KSBL Hotspot Panel is a custom panel designed by the Institute of Pathology of Liestal, based on the Ion Ampliseq Custom DNA panels (Thermo Fisher Scientific, Waltham, MA, USA). It partially covers 124 genes for hotspot alterations and 34 genes for copy number variations.
- (E)
- Ion Torrent™ Oncomine™ cfDNA Assays (ThermoFischer Scientific, Waltham, MA, USA): tumor type-specific multi-biomarker next-generation sequencing (NGS) assays that enable the detection of somatic mutations in genes found in plasma samples
- Oncomine Lung cfDNA Assay® covers 11 hotspot genes
- Oncomine Colon cfDNA Assay® (cfColon) covers 14 hotspot genes
3.5. Statistical Analysis
- Data Exploration and Grouping:
- ○
- The count and group functions in R (The R Foundation for Statistical Computing c/o Institute for Statistics and Mathematics, University of Economics and Business Vienna, Austria) were used to systematically examine and categorize cases based on specific criteria, enabling a detailed exploration of the dataset.
- Descriptive Statistics:
- ○
- To calculate the median, minimum, and maximum values for selected variables to provide a summary of the central tendency and variability of the data.
- Statistical Testing:
- ○
- Applied the two-sided Mann–Whitney U test to assess the significance of differences between the median values for two distinct groups. This method provides a robust nonparametric approach for identifying potential contrasts in central tendencies.
- Survival Analysis: (survival package)
- ○
- Implemented the surv() function in R to create survival objects that define survival times and event indicators for each participant.
- ○
- The survfit () function was used to compute the Kaplan–Meier survival curves, which visually represent the probability of survival over time.
- Cox Proportional Hazards Model: (survival package)
- ○
- The coxph () function for the Cox proportional hazards model was used to calculate the hazard ratios and their associated confidence intervals.
- ○
- Generated a forest plot using the forestplot package to visualize the results.
- Plotting:
- ○
- Plots were generated using the ggplot2 package in R (https://ggplot2.tidyverse.org/), which provides clear and visually informative representations of various analyses, including descriptive statistics, survival curves, and forest plots.
3.6. Ethical Approval
4. Discussion
4.1. Clinical Differences of the Cohorts and Differences in NGS
4.2. Number of Treatment Lines in Metastatic Cancers
4.3. Results of NGS Analysis
4.4. Outcome After NGS
4.5. Overall Survival
4.6. Discussion of Results at Molecular Tumor Board/Tumor Board
4.7. Limitations
4.8. Potential Biases
4.9. Strengths
5. Conclusions
Author Contributions
Funding
Institutional Review Board Statement
Informed Consent Statement
Data Availability Statement
Conflicts of Interest
Appendix A. Selection Criteria for Inclusion and Exclusion in the Study
Appendix B. Demographics and Clinical Information of Patients Obtained from the KSBL Electronic Medical Records/Charts
Appendix C. Information on the NGS Analyses Compiled from the Electronic Pathology Reports
Appendix D. NGS Panels Used and Genes Examined in the Different NGS Panels
- (A)
- Oncomine Comprehensive Assay®, Version 3 (OCAv3) (ThermoFisher Scientific, Waltham, MA, USA):
- (B) Oncomine Tumor Mutation Load Assay® (TML), (ThermoFisher Scientific, Waltham, MA, USA):
- (C) Oncomine Solid Tumor DNA panel®, (ThermoFisher Scientific, Waltham, MA, USA):
- (D) KSBL Hotspot Panel® (HOP), (Institute of Pathology of Liestal, Switzerland):
- (E) Ion Torrent™ Oncomine™ cfDNA Assays (ThermoFisher Scientific, Waltham, MA, USA):
- ○
- Oncomine Lung cfDNA Assay® covers 11 Hotspot genes
- ○
- Oncomine Colon cfDNA Assay® (cfColon) covers 14 hotspot genes
References
- Swiss Cancer League (Krebsliga). Facts and Figures: The Most Common Types of Cancer in Switzerland. Available online: https://www.krebsliga.ch/ueber-krebs/zahlen-fakten (accessed on 26 November 2023).
- Kadambi, S.; Loh, K.P.; Dunne, R.; Magnuson, A.; Maggiore, R.; Zittel, J.; Flannery, M.; Inglis, J.; Gilmore, N.; Mohamed, M.; et al. Older Adults with Cancer and Their Caregivers—Current Landscape and Future Directions for Clinical Care. Nat. Rev. Clin. Oncol. 2020, 17, 742–755. [Google Scholar] [CrossRef] [PubMed]
- Federal Office of Public Health (BAG): Cancer. Available online: https://www.bfs.admin.ch/bfs/en/home/statistics/health/state-health/diseases/cancer.html (accessed on 26 November 2023).
- Federal Office of Public Health (BAG): Reimbursement for the Cost of Medicinal Products in Individual Cases. Available online: https://www.bag.admin.ch/bag/en/home/versicherungen/krankenversicherung/krankenversicherung-leistungen-tarife/Arzneimittel/verguetung-arzneimittel-im-einzelfall.html (accessed on 19 December 2023).
- Schmid, S.; Jochum, W.; Padberg, B.; Demmer, I.; Mertz, K.D.; Joerger, M.; Britschgi, C.; Matter, M.S.; Rothschild, S.I.; Omlin, A. How to Read a Next-Generation Sequencing Report-What Oncologists Need to Know. ESMO Open 2022, 7, 100570. [Google Scholar] [CrossRef] [PubMed]
- Hoefflin, R.; Lazarou, A.; Hess, M.E.; Reiser, M.; Wehrle, J.; Metzger, P.; Frey, A.V.; Becker, H.; Aumann, K.; Berner, K.; et al. Transitioning the Molecular Tumor Board from Proof of Concept to Clinical Routine: A German Single-Center Analysis. Cancers 2021, 13, 1151. [Google Scholar] [CrossRef]
- Subbiah, V.; Kurzrock, R. Challenging Standard-of-Care Paradigms in the Precision Oncology Era. Trends Cancer 2018, 4, 101–109. [Google Scholar] [CrossRef] [PubMed]
- Hyman, D.M.; Taylor, B.S.; Baselga, J. Implementing Genome-Driven Oncology. Cell 2017, 168, 584–599. [Google Scholar] [CrossRef]
- Prasad, V. Perspective: The Precision-Oncology Illusion. Nature 2016, 537, 63. [Google Scholar] [CrossRef]
- Le Tourneau, C.; Delord, J.-P.; Gonçalves, A.; Gavoille, C.; Dubot, C.; Isambert, N.; Campone, M.; Trédan, O.; Massiani, M.-A.; Mauborgne, C.; et al. Molecularly Targeted Therapy Based on Tumour Molecular Profiling versus Conventional Therapy for Advanced Cancer (SHIVA): A Multicentre, Open-Label, Proof-of-Concept, Randomised, Controlled Phase 2 Trial. Lancet Oncol. 2015, 16, 1324–1334. [Google Scholar] [CrossRef]
- Tannock, I.F.; Hickman, J.A. Limits to Personalized Cancer Medicine. N. Engl. J. Med. 2016, 375, 1289–1294. [Google Scholar] [CrossRef]
- Kieler, M.; Unseld, M.; Bianconi, D.; Waneck, F.; Mader, R.; Wrba, F.; Fuereder, T.; Marosi, C.; Raderer, M.; Staber, P.; et al. Interim Analysis of a Real-World Precision Medicine Platform for Molecular Profiling of Metastatic or Advanced Cancers: MONDTI. ESMO Open 2019, 4, e000538. [Google Scholar] [CrossRef]
- Smolle, E.; Leithner, K.; Olschewski, H. Oncogene Addiction and Tumor Mutational Burden in Non-Small-Cell Lung Cancer: Clinical Significance and Limitations. Thorac. Cancer 2020, 11, 205–215. [Google Scholar] [CrossRef]
- Marquart, J.; Chen, E.Y.; Prasad, V. Estimation of the Percentage of US Patients With Cancer Who Benefit From Genome-Driven Oncology. JAMA Oncol. 2018, 4, 1093–1098. [Google Scholar] [CrossRef] [PubMed]
- Massard, C.; Michiels, S.; Ferté, C.; Le Deley, M.-C.; Lacroix, L.; Hollebecque, A.; Verlingue, L.; Ileana, E.; Rosellini, S.; Ammari, S.; et al. High-Throughput Genomics and Clinical Outcome in Hard-to-Treat Advanced Cancers: Results of the MOSCATO 01 Trial. Cancer Discov. 2017, 7, 586–595. [Google Scholar] [CrossRef] [PubMed]
- O’Dwyer, P.J.; Gray, R.J.; Flaherty, K.T.; Chen, A.P.; Li, S.; Wang, V.; McShane, L.M.; Patton, D.R.; Tricoli, J.V.; Williams, P.M.; et al. The NCI-MATCH Trial: Lessons for Precision Oncology. Nat. Med. 2023, 29, 1349–1357. [Google Scholar] [CrossRef]
- Mangat, P.K.; Halabi, S.; Bruinooge, S.S.; Garrett-Mayer, E.; Alva, A.; Janeway, K.A.; Stella, P.J.; Voest, E.; Yost, K.J.; Perlmutter, J.; et al. Rationale and Design of the Targeted Agent and Profiling Utilization Registry Study. JCO Precis. Oncol. 2018, 2, 1–14. [Google Scholar] [CrossRef]
- Basse, C.; Carton, M.; Milder, M.; Geiss, R.; Du Rusquec, P.; Daniel, C.; Massiani, M.-A.; Livartowski, A.; Girard, N. Real-World Survival Impact of New Treatment Strategies for Lung Cancer: A 2000–2020 French Cohort. Cancers 2024, 16, 2768. [Google Scholar] [CrossRef]
- NCCN Guidelines Older Adult Oncology. Available online: https://www.nccn.org/guidelines/guidelines-detail?category=4&id=1452 (accessed on 13 August 2024).
- Canouï-Poitrine, F.; Lièvre, A.; Dayde, F.; Lopez-Trabada-Ataz, D.; Baumgaertner, I.; Dubreuil, O.; Brunetti, F.; Coriat, R.; Maley, K.; Pernot, S.; et al. Inclusion of Older Patients with Cancer in Clinical Trials: The SAGE Prospective Multicenter Cohort Survey. Oncologist 2019, 24, e1351–e1359. [Google Scholar] [CrossRef] [PubMed]
- Hurria, A.; Levit, L.A.; Dale, W.; Mohile, S.G.; Muss, H.B.; Fehrenbacher, L.; Magnuson, A.; Lichtman, S.M.; Bruinooge, S.S.; Soto-Perez-de-Celis, E.; et al. Improving the Evidence Base for Treating Older Adults With Cancer: American Society of Clinical Oncology Statement. J. Clin. Oncol. 2015, 33, 3826–3833. [Google Scholar] [CrossRef]
- DeSantis, C.E.; Miller, K.D.; Dale, W.; Mohile, S.G.; Cohen, H.J.; Leach, C.R.; Goding Sauer, A.; Jemal, A.; Siegel, R.L. Cancer Statistics for Adults Aged 85 Years and Older, 2019. CA A Cancer J. Clin. 2019, 69, 452–467. [Google Scholar] [CrossRef]
- OncoKBTM—MSK’s Precision Oncology Knowledge Base. Available online: https://www.oncokb.org/ (accessed on 30 March 2024).
- Mateo, J.; Chakravarty, D.; Dienstmann, R.; Jezdic, S.; Gonzalez-Perez, A.; Lopez-Bigas, N.; Ng, C.K.Y.; Bedard, P.L.; Tortora, G.; Douillard, J.-Y.; et al. A Framework to Rank Genomic Alterations as Targets for Cancer Precision Medicine: The ESMO Scale for Clinical Actionability of Molecular Targets (ESCAT). Ann. Oncol. 2018, 29, 1895–1902. [Google Scholar] [CrossRef]
- Irelli, A.; Chiatamone Ranieri, S.; Di Giacomo, D.; Malatesta, S.; Patruno, L.V.; Tessitore, A.; Alesse, E.; Cannita, K. Role of the Molecular Tumor Board for the Personalized Treatment of Patients with Metastatic Breast Cancer: A Focus on the State of the Art in Italy. Cancers 2023, 15, 1727. [Google Scholar] [CrossRef]
- Benderra, M.-A.; Serrano, A.G.; Paillaud, E.; Tapia, C.M.; Cudennec, T.; Chouaïd, C.; Lorisson, E.; De La Taille, A.; Laurent, M.; Brain, E.; et al. Prognostic Value of Comorbidities in Older Patients with Cancer: The ELCAPA Cohort Study. ESMO Open 2023, 8, 101831. [Google Scholar] [CrossRef] [PubMed]
- O’Donovan, A.; Leech, M. Personalised Treatment for Older Adults with Cancer: The Role of Frailty Assessment. Tech. Innov. Patient Support Radiat. Oncol. 2020, 16, 30–38. [Google Scholar] [CrossRef] [PubMed]
- Colomer, R.; Miranda, J.; Romero-Laorden, N.; Hornedo, J.; González-Cortijo, L.; Mouron, S.; Bueno, M.J.; Mondéjar, R.; Quintela-Fandino, M. Usefulness and Real-World Outcomes of next Generation Sequencing Testing in Patients with Cancer: An Observational Study on the Impact of Selection Based on Clinical Judgement. eClinicalMedicine 2023, 60, 102029. [Google Scholar] [CrossRef] [PubMed]
- Agemi, Y.; Shimokawa, T.; Sasaki, J.; Miyazaki, K.; Misumi, Y.; Sato, A.; Aida, S.; Ishii, M.; Nakamura, Y.; Naoki, K.; et al. Prospective Evaluation of the G8 Screening Tool for Prognostication of Survival in Elderly Patients with Lung Cancer: A Single-Institution Study. PLoS ONE 2019, 14, e0210499. [Google Scholar] [CrossRef] [PubMed]
- Cavusoglu, C.; Tahtaci, G.; Dogrul, R.T.; Ileri, I.; Yildirim, F.; Candemir, B.; Kizilarslanoglu, M.C.; Uner, A.; Goker, B. Predictive Ability of the G8 Screening Test to Determine Probable Sarcopenia and Abnormal Comprehensive Geriatric Assessment in Older Patients with Solid Malignancies. BMC Geriatr. 2021, 21, 574. [Google Scholar] [CrossRef]
- Basnet, A.; Alahmadi, A.; Gajra, A. Older Patients with Lung Cancer: A Summary of Seminal Contributions to Optimal Patient Care. Curr. Oncol. Rep. 2022, 24, 1607–1618. [Google Scholar] [CrossRef]
- Vetter, M.; Bollinger, C.; Chiru, D.; Petitat-Berli, M.; Degener, K.; Seifert, B.; Rosenberg, R.; Subotic, S.; Burri, E.; Leuppi-Taegtmeyer, A.; et al. Integrating Geriatric Care in Clinical Oncology Practice: Recommendations from an Interdisciplinary Professional Survey Study in a Single-Cancer Center in Switzerland. Heal. TIMES Oncol. Hematol. 2023, 16, 14–19. [Google Scholar] [CrossRef]
- Mohile, S.G.; Dale, W.; Somerfield, M.R.; Schonberg, M.A.; Boyd, C.M.; Burhenn, P.S.; Canin, B.; Cohen, H.J.; Holmes, H.M.; Hopkins, J.O.; et al. Practical Assessment and Management of Vulnerabilities in Older Patients Receiving Chemotherapy: ASCO Guideline for Geriatric Oncology. J. Clin. Oncol. 2018, 36, 2326–2347. [Google Scholar] [CrossRef]
- Culakova, E.; Mohile, S.G.; Peppone, L.; Ramsdale, E.; Mohamed, M.; Xu, H.; Wells, M.; Tylock, R.; Java, J.; Loh, K.P.; et al. Effects of a Geriatric Assessment Intervention on Patient-Reported Symptomatic Toxicity in Older Adults with Advanced Cancer. J. Clin. Oncol. 2023, 41, 835–846. [Google Scholar] [CrossRef]
- Griesinger, F.; Absenger, G.; Eberhardt, W.; Eichhorn, M.; Früh, M.; Gautschi, O.; Hilbe, W.; Hoffmann, H.; Huber, R.M.; Kraywinkel, K.; et al. Lung Cancer, Non Small Cell Lung Cancer (NSCLC). Available online: https://www.onkopedia-guidelines.info/en/onkopedia/guidelines/lung-cancer-non-small-lung-cancer-nsclc/@@guideline/html/index.html (accessed on 11 June 2024).
- Mosele, F.; Remon, J.; Mateo, J.; Westphalen, C.B.; Barlesi, F.; Lolkema, M.P.; Normanno, N.; Scarpa, A.; Robson, M.; Meric-Bernstam, F.; et al. Recommendations for the Use of Next-Generation Sequencing (NGS) for Patients with Metastatic Cancers: A Report from the ESMO Precision Medicine Working Group. Ann. Oncol. 2020, 31, 1491–1505. [Google Scholar] [CrossRef]
- Leitlinienprogramm Onkologie Online. S3-Leitlinie Diagnostik, Therapie und Nachsorge des Melanoms. Available online: https://www.leitlinienprogramm-onkologie.de/fileadmin/user_upload/Downloads/Leitlinien/Melanom/Melanom_Version_3/LL_Melanom_Kurzversion_3.3.pdf (accessed on 6 June 2024).
- Cancer Today. Available online: http://gco.iarc.fr/today/home (accessed on 31 January 2024).
- Dumas, L.; Bowen, R.; Butler, J.; Banerjee, S. Under-Treatment of Older Patients with Newly Diagnosed Epithelial Ovarian Cancer Remains an Issue. Cancers 2021, 13, 952. [Google Scholar] [CrossRef] [PubMed]
- Osório, F.; Barros, A.S.; Peleteiro, B.; Barradas, A.R.; Urbano, J.; Fougo, J.L.; Leite-Moreira, A. Frailty-Independent Undertreatment Negative Impact on Survival in Older Patients with Breast Cancer. J. Breast Cancer 2021, 24, 542–553. [Google Scholar] [CrossRef] [PubMed]
- Bouchardy, C.; Rapiti, E.; Blagojevic, S.; Vlastos, A.-T.; Vlastos, G. Older Female Cancer Patients: Importance, Causes, and Consequences of Undertreatment. J. Clin. Oncol. 2007, 25, 1858–1869. [Google Scholar] [CrossRef] [PubMed]
- Mendiratta, G.; Ke, E.; Aziz, M.; Liarakos, D.; Tong, M.; Stites, E.C. Cancer Gene Mutation Frequencies for the U.S. Population. Nat. Commun. 2021, 12, 5961. [Google Scholar] [CrossRef] [PubMed]
- Van Herck, Y.; Feyaerts, A.; Alibhai, S.; Papamichael, D.; Decoster, L.; Lambrechts, Y.; Pinchuk, M.; Bechter, O.; Herrera-Caceres, J.; Bibeau, F.; et al. Is Cancer Biology Different in Older Patients? Lancet Healthy Longev. 2021, 2, e663–e677. [Google Scholar] [CrossRef]
- Coquerelle, S.; Darlington, M.; Michel, M.; Durand, M.; Borget, I.; Baffert, S.; Marino, P.; Perrier, L.; Durand-Zaleski, I. Impact of Next Generation Sequencing on Clinical Practice in Oncology in France: Better Genetic Profiles for Patients Improve Access to Experimental Treatments. Value Health 2020, 23, 898–906. [Google Scholar] [CrossRef]
- Morash, M.; Mitchell, H.; Beltran, H.; Elemento, O.; Pathak, J. The Role of Next-Generation Sequencing in Precision Medicine: A Review of Outcomes in Oncology. J. Pers. Med. 2018, 8, 30. [Google Scholar] [CrossRef]
- Gibbs, S.N.; Peneva, D.; Cuyun Carter, G.; Palomares, M.R.; Thakkar, S.; Hall, D.W.; Dalglish, H.; Campos, C.; Yermilov, I. Comprehensive Review on the Clinical Impact of Next-Generation Sequencing Tests for the Management of Advanced Cancer. JCO Precis. Oncol. 2023, 7, e2200715. [Google Scholar] [CrossRef]
- Bryce, A.H.; Egan, J.B.; Borad, M.J.; Stewart, A.K.; Nowakowski, G.S.; Chanan-Khan, A.; Patnaik, M.M.; Ansell, S.M.; Banck, M.S.; Robinson, S.I.; et al. Experience with Precision Genomics and Tumor Board, Indicates Frequent Target Identification, but Barriers to Delivery. Oncotarget 2017, 8, 27145–27154. [Google Scholar] [CrossRef]










| Overall, N (%) | Cohort A (<70 y) N (%) | Cohort B (≥70 y) N (%) | Level of Significance | |
|---|---|---|---|---|
| Number of patients (%) | 100 | 34 | 66 | |
| Age | ||||
| Age at primary diagnosis, median (range) | 71 (29–89) | 56 (29–69) | 74 (48–89) | |
| Age at relapse, median (range) | 68 (29–84) | 57 (29–69) | 74 (64–84) | |
| Age at NGS, median (range) | 72 (35–89) | 59 (35–69) | 76 (70–89) | |
| Sex | ||||
| Females | 56 | 19 (56%) | 37 (56%) | |
| Males | 44 | 15 (44%) | 29 (44%) | |
| Number of comorbidities at diagnosis, median (range) | 3 (0–10) | 2 (0–10) | 4 (0–10) | Mann–Whitney-U test, two-sided, W = 779.5, p = 0.01583 |
| Number of patients with the following comorbidities | ||||
| Cardiovascular | 62 | 20 (59%) | 42 (63.5%) | |
| Pulmonal | 24 | 8 (23.5%) | 16 (24%) | |
| Diabetes | 21 | 6 (17.5%) | 15 (23%) | |
| Renal insufficiency | 13 | 2 (6%) | 11 (16.5%) | |
| ECOG Performance Status at Diagnosis | ||||
| 0 | 19 | 7 (20.5%) | 12 (18%) | |
| 0–1 | 4 | 1 (3%) | 3 (4.5%) | |
| 1 | 32 | 10 (29.5%) | 22 (33%) | |
| 2 | 10 | 2 (6%) | 8 (12%) | |
| 3 | 6 | 3 (9%) | 3 (4.5%) | |
| 4 | 0 | 0 | 0 | |
| Unknown | 29 | 11 (32%) | 18 (27%) | |
| Diagnosis | ||||
| 1: NSCLC | 1: 30 | 1: 6 (18%) | 1: 24 (36%) | |
| 2: SCLC | 2: 1 | 2: 1 (3%) | 2: 0 | |
| 3: Breast cancer | 3: 13 | 3: 6 (18%) | 3: 7 (11%) | |
| 4: Colorectal cancer | 4: 16 | 4: 9 (26%) | 4: 7 (11%) | |
| 5: Prostate cancer | 5: 4 | 5: 1 (3%) | 5: 3 (4.55%) | |
| 6. Low-grade lymphoma | 6: 2 | 6: 0 | 6: 2 (3%) | |
| 7: Pancreatic cancer | 7: 1 | 7: 0 | 7: 1 (1.5%) | |
| 8: Mesothelioma | 8: 1 | 8: 0 | 8: 1 (1.5%) | |
| 9: Sarcoma | 9: 3 | 9: 1 (3%) | 9: 2 (3%) | |
| 10: Endometrial cancer | 10: 1 | 10: 0 | 10: 1 (1.5%) | |
| 11: Ovarian cancer | 11: 5 | 11: 2 (6%) | 11: 3 (4.55%) | |
| 12: Esophageal cancer | 12: 2 | 12: 1 (3%) | 12: 1 (1.5%) | |
| 13: GIST | 13: 2 | 13: 0 | 13: 2 (3%) | |
| 14: Melanoma | 14: 9 | 14: 2 (6%) | 14: 7 (11%) | |
| 15: Uterine tube cancer | 15: 1 | 15: 0 | 15: 1 (1.5%) | |
| 16: Kidney cancer | 16: 1 | 16: 1 (3%) | 16: 0 | |
| 17: CUP | 17: 4 | 17: 2 (6%) | 17: 2 (3%) | |
| 18: Urothelial cancer | 18: 2 | 18: 1 (3%) | 18: 1 (1.5%) | |
| 19: Cholangiocellular cancer (CCC) | 19: 2 | 19: 1 (3%) | 19: 1 (1.5%) | |
| Stage at diagnosis | ||||
| Local | 55 | 22 (65%) | 33 (50%) | |
| Metastatic | 45 | 12 (35%) | 33 (50%) | |
| Treatment | Mann–Whitney-U test, two-sided, W = 1105, p = 0.001324 | |||
| Number of lines, median (range) | 2 (1–15) | 6 (1–12) | 2 (1–15) | |
| Number of lines before NGS, median (range) | 0 (0–11) | 0 (0–7) | 0 (0–11) | |
| Number of lines | 0: 65 1: 17 2: 3 3: 5 4: 2 5: 2 7: 1 11: 1 | 0: 18 (53%) 1: 7 (21%) 2: 3 (9%) 3: 3 (9%) 5: 2 (6%) 7: 1 (3%) | 0: 47 (71%) 1: 10 (15%) 3: 2 (3%) 4: 2 (3%) 11: 1 (1.5%) Unknown: 4 |
| Overall, N (%) | Cohort A (<70 y), N (%) | Cohort B (≥70 y), N (%) | ||
|---|---|---|---|---|
| Time of NGS in 2020 | Pearson’s chi-square test with Yates’ continuity correction | |||
| At diagnosis | 55 | 14 (41%) | 41 (62%) | data: time_ngs_table |
| Later/in the disease course | 45 | 20 (59%) | 25 (38%) | X-squared = 3.1761, df = 1, p = 0.07472 |
| NGS Panel used | ||||
| 1: Oncomine Comprehensive Assay®, Version 3 (OCAv3) | 87 | 28 (82%) | 59 (89%) | |
| 2: Oncomine Tumor Mutation Load Assay® (TML) | 1 | 1 (3%) | 0 | |
| 3: Oncomine Solid Tumor Panel® | 1 | 0 | 1 (1.5%) | |
| 4: KSBL Hotspot Panel® (HOP) | 2 | 1 (3%) | 1 (1.5%) | |
| 5: Oncomine Lung cfDNA Assay® | 2 | 1 (3%) | 1 (1.5%) | |
| 6: Oncomine Colon cfDNA Assay® (cfColon) | 2 | 2 (6%) | 0 | |
| 7: Unknown | 5 | 1 (3%) | 4 (6%) | |
| Number of detected mutations | 109 | 71 | 94 | |
| Pathogenic mutations | ||||
| Number of patients with 0–3 pathogenic mutations | 0: 52 1: 38 2: 9 3: 1 | 0: 18 (53%) 1: 12 (35%) 2: 4 (12%) | 0: 34 (51.5%) 1: 26 (39%) 2: 5 (8%) 3: 1 (1.5%) | |
| Median number of pathogenic mutations (range) per patient | 0 (0–3) | 0 (0–2) | 0 (0–3) | |
| Total number of patients with pathogenic mutations | 48 | 16 (47%) | 32 (48.5%) | |
| Targetable mutations | ||||
| Number of patients with 0–3 targetable mutations | 0: 73 1: 22 2: 4 3: 1 | 0: 23 (67.5%) 1: 8 (23.5%) 2: 3 (9%) | 0: 50 (76%) 1: 14 (21%) 2: 1 (1.5% 3: 1 (1.5) | p = 0.4767 Alternative hypothesis: true odds ratio is not equal to 1 95% confidence interval: 0.5342746–4.0636835 Sample estimates: odds ratio: 1.488441 |
| Total number of patients with targetable mutations | 27 | 11 (32.5%) | 16 (24%) | |
| Number of NGS results discussed at the tumor board | ||||
| No | 86 | 28 (82%) | 58 (88%) | |
| Yes | 14 | 6 (18) | 8 (12%) | |
| Reasons why the NGS results were not discussed at the tumor board | ||||
| 1: No therapy-relevant mutation | 53 | 17 (50%) | 36 (55%) | |
| 2: No therapy requests | 3 | 0 | 3 (5%) | |
| 3: Unknown | 14 | 6 (18%) | 8 (12%) | |
| 4: Stable under previous/actual line | 3 | 3 (9%) | 0 | |
| 5: Death shortly after NGS | 7 | 0 | 7 (10%) | |
| 6: Treatment at another institution | 6 | 2 (6%) | 4 (6%) | |
| Patients who started targeted therapy | Of the 27 patients with a targetable mutation: | Of the 11 patients with a targetable mutation: | Of the 16 patients with a targetable mutation: | Fischer’s test for difference: p = 0.2064 |
| No | 18 (67%) | 6 (55%) | 12 (75%) | Alternative hypothesis: true odds ratio is not equal to 1 |
| Yes | 8 (30%) | 5 (45%) | 3 (19%) | 95% confidence interval: 0.4809042–30.0408206 |
| Unknown | 1 (3%) | 0 | 1 (6%) | Sample estimates: odds ratio: 3.429212 |
| Time on treatment with targeted therapy after allocation to NGS-based treatment (weeks) | 11 w: 1 16 w: 1 16 w+ unknown: 1 26 w: 1 8 w: 2 104 w: 1 Ongoing: 2 | 11 w: 1 16 w+ unknown: 1 8 w: 2 Ongoing: 1 | 16 w: 1 26 w: 1 104 w: 1 Ongoing: 1 | |
| Patients with clinical benefit of targeted therapy (at least 6 months on therapy without progression) | ||||
| No clinical benefit | 5 | 4 | 1 | |
| Clinical benefit | 3 | 1 | 2 | |
| Reason why targeted therapy was not started | ||||
| 1: Not started yet/stable disease under previous therapy | 3 | 1 | 2 | |
| 2: No therapy request | 2 | 0 | 2 | |
| 3: Poor general condition | 2 | 0 | 2 | |
| 4: Progressive disease/death | 2 | 1 | 1 | |
| 5: Unknown | 4 | 3 | 1 | |
| 6: Lost to follow-up | 3 | 1 | 2 | |
| 7: Prior targeted therapy | 2 | 0 | 2 | |
| 8: Contraindication (e.g., proteinuria) | 1 | 0 | 1 | |
| Time from NGS to death independent of therapy, weeks, median (range) | 33.4 (−2.7 to 157) | 35.3 (7.3–157) | 26.7 (−2.7 to 132) | |
| Status at the end of the data-collection period | ||||
| Alive | 31 | 13 (38%) | 18 (27%) | |
| Dead | 61 | 19 (56%) | 42 (64% | |
| Lost to follow-up | 8 | 2 (6%) | 6 (9%) | |
| Survival since diagnosis, weeks, median (range) | 150 (1–1521) | 192 (4–1521) | 197 (1–1429) |
| Sex | Age (Years) at NGS | Diagnosis | Time of NGS (at Diagnosis or Later) | Targetable Mutation | Targeted Therapy | ESCAT Level TIERs | Time on Treatment (Weeks) | Best Response | Progression-Free Survival | Clinical Benefit |
|---|---|---|---|---|---|---|---|---|---|---|
| f | 73 | Breast cancer | Later | ESR1 | Fulvestrant | IA | Ongoing (mind 136) | PR | Mind 136 | Yes |
| 59 | Sarcoma | Later | CDK4 | Palbociclib | IV | 8 | Stopped because of toxicity | 8 | No | |
| f | 63 | NSCLC | Later | ALK | Lorlatinib | IA | Ongoing (mind 168) | SD | Mind 168 | Yes |
| f | 62 | NSCLC | Diagnosis | BRAF (pV600E) | Dabrafenib+ Trametinib | IA | 11 | PD | 11 | No |
| f | 57 | Breast cancer | Later | PIK3CA | Alpesilib | IA | 8 | PD | 8 | No |
| m | 70 | GIST | Diagnosis | KIT | Imatinib | IA | Mind 104 | PR | Mind 104 | Yes |
| f | 72 | Breast cancer | Later | ESR1 | Fulvestrant + Palbociclib | IA | 16 | PD | 16 | No |
| m | 35 | Colorectal cancer | Later | BRAF (pV600E), MAP2K1 | Dabrafenib + Trametinib | IA | 16 + unknown | PD | 16+ unknown | No |
Disclaimer/Publisher’s Note: The statements, opinions and data contained in all publications are solely those of the individual author(s) and contributor(s) and not of MDPI and/or the editor(s). MDPI and/or the editor(s) disclaim responsibility for any injury to people or property resulting from any ideas, methods, instructions or products referred to in the content. |
© 2024 by the authors. Licensee MDPI, Basel, Switzerland. This article is an open access article distributed under the terms and conditions of the Creative Commons Attribution (CC BY) license (https://creativecommons.org/licenses/by/4.0/).
Share and Cite
Petitat-Berli, M.; Knufinke, M.; Voegeli, M.; Sonderegger, M.; Seifert, B.; Chiru, E.D.; Haeuptle, P.; van’t Walderveen, L.; Rosenberg, R.; Burri, E.; et al. Precision Oncology in Older Cancer Patients: A Single-Center Experience. Int. J. Mol. Sci. 2024, 25, 11322. https://doi.org/10.3390/ijms252011322
Petitat-Berli M, Knufinke M, Voegeli M, Sonderegger M, Seifert B, Chiru ED, Haeuptle P, van’t Walderveen L, Rosenberg R, Burri E, et al. Precision Oncology in Older Cancer Patients: A Single-Center Experience. International Journal of Molecular Sciences. 2024; 25(20):11322. https://doi.org/10.3390/ijms252011322
Chicago/Turabian StylePetitat-Berli, Meret, Marie Knufinke, Michèle Voegeli, Martina Sonderegger, Bettina Seifert, Elena Diana Chiru, Pirmin Haeuptle, Lisanne van’t Walderveen, Robert Rosenberg, Emanuel Burri, and et al. 2024. "Precision Oncology in Older Cancer Patients: A Single-Center Experience" International Journal of Molecular Sciences 25, no. 20: 11322. https://doi.org/10.3390/ijms252011322
APA StylePetitat-Berli, M., Knufinke, M., Voegeli, M., Sonderegger, M., Seifert, B., Chiru, E. D., Haeuptle, P., van’t Walderveen, L., Rosenberg, R., Burri, E., Subotic, S., Schwab, F. D., Dougoud-Chauvin, V., Unger, H., Mertz, K., Tahan, L., & Vetter, M. (2024). Precision Oncology in Older Cancer Patients: A Single-Center Experience. International Journal of Molecular Sciences, 25(20), 11322. https://doi.org/10.3390/ijms252011322

