Ensemble Docking as a Tool for the Rational Design of Peptidomimetic Staphylococcus aureus Sortase A Inhibitors
Abstract
1. Introduction
- Its function is related only to bacterial cell adhesion to the host cells and immune system evasion, not bacterial survival, which diminishes the risks of developing resistant stem;
- The close analogs of the SrtA protein are absent in humans, which implies lower risks of potential off-target toxicity;
- SrtA is located in the external bacterial cell envelope, thus being much more readily accessible to potential drugs compared to internal bacterial cell targets;
- It should reflect the different conformations of SrtA, reachable at physiological conditions;
- It should reflect conformations that are relevant for binding an inhibitor, assuming some of the conformations are not relevant despite being feasible at the relevant conditions;
- It should reflect conformations pertinent to different large-scale motions and rearrangements (e.g., transition “order–chaos” of the β6-β7 loop [13]) of the SrtA protein, not just the local flexibility caused by side-chain motion, regularly taken into account by simplified “flexible docking” protocols;
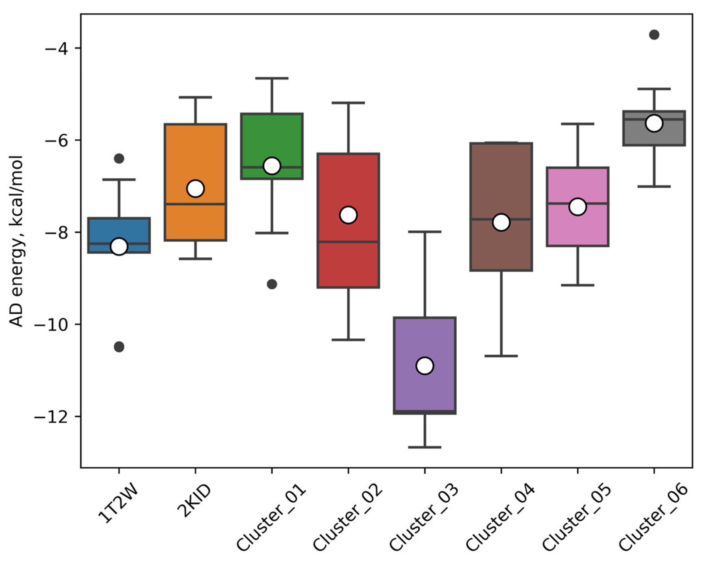
2. Results
2.1. Representative Conformations of SrtA
2.2. Validation Using Different Oligopeptides
2.3. Modeling KUD Peptidomimetics
2.3.1. Ligands
2.3.2. Results of Docking
3. Discussion
4. Materials and Methods
4.1. Molecular Dynamics of LPRDA-SrtA Complexes
4.2. SrtA Conformation Clusterization
4.3. Ligand Preparation
4.4. Docking
4.5. Ensemble Analysis
5. Conclusions
Supplementary Materials
Author Contributions
Funding
Institutional Review Board Statement
Informed Consent Statement
Data Availability Statement
Conflicts of Interest
References
- Kudryavtsev, K.V.; Fedotcheva, T.A.; Shimanovsky, N.L. Inhibitors of Sortases of Gram-Positive Bacteria and Their Role in the Treatment of Infectious Diseases (Review). Pharm. Chem. J. 2021, 55, 751–756. [Google Scholar] [CrossRef]
- Wang, J.; Li, H.; Pan, J.; Dong, J.; Zhou, X.; Niu, X.; Deng, X. Oligopeptide Targeting Sortase A as Potential Anti-Infective Therapy for Staphylococcus aureus. Front. Microbiol. 2018, 9, 245. [Google Scholar] [CrossRef] [PubMed]
- Lowy, F.D. Antimicrobial Resistance: The Example of Staphylococcus aureus. J. Clin. Investig. 2003, 111, 1265–1273. [Google Scholar] [CrossRef]
- Cascioferro, S.; Raffa, D.; Maggio, B.; Raimondi, M.V.; Schillaci, D.; Daidone, G. Sortase A Inhibitors: Recent Advances and Future Perspectives. J. Med. Chem. 2015, 58, 9108–9123. [Google Scholar] [CrossRef]
- Alharthi, S.; Alavi, S.E.; Moyle, P.M.; Ziora, Z.M. Sortase A (SrtA) Inhibitors as an Alternative Treatment for Superbug Infections. Drug Discov. Today 2021, 26, 2164–2172. [Google Scholar] [CrossRef]
- DIckey, S.W.; Cheung, G.Y.C.; Otto, M. Different Drugs for Bad Bugs: Antivirulence Strategies in the Age of Antibiotic Resistance. Nat. Rev. Drug Discov. 2017, 16, 457–471. [Google Scholar] [CrossRef] [PubMed]
- Escaich, S. Antivirulence as a New Antibacterial Approach for Chemotherapy. Curr. Opin. Chem. Biol. 2008, 12, 400–408. [Google Scholar] [CrossRef]
- Wang, C.-H.; Hsieh, Y.-H.; Powers, Z.M.; Kao, C.-Y. Defeating Antibiotic-Resistant Bacteria: Exploring Alternative Therapies for a Post-Antibiotic Era. Int. J. Mol. Sci. 2020, 21, 1061. [Google Scholar] [CrossRef] [PubMed]
- Hintzen, J.C.J.; Abujubara, H.; Tietze, D.; Tietze, A.A. The Complete Assessment of Small Molecule and Peptidomimetic Inhibitors of Sortase A Towards Antivirulence Treatment. Chemistry 2024, 30, e202401103. [Google Scholar] [CrossRef]
- Sivaramalingam, S.S.; Jothivel, D.; Govindarajan, D.K.; Kadirvelu, L.; Sivaramakrishnan, M.; Chithiraiselvan, D.D.; Kandaswamy, K. Structural and Functional Insights of Sortases and Their Interactions with Antivirulence Compounds. Curr. Res. Struct. Biol. 2024, 8, 100152. [Google Scholar] [CrossRef]
- Suree, N.; Liew, C.K.; Villareal, V.A.; Thieu, W.; Fadeev, E.A.; Clemens, J.J.; Jung, M.E.; Clubb, R.T. The Structure of the Staphylococcus aureus Sortase-Substrate Complex Reveals How the Universally Conserved LPXTG Sorting Signal Is Recognized. J. Biol. Chem. 2009, 284, 24465–24477. [Google Scholar] [CrossRef] [PubMed]
- Kappel, K.; Wereszczynski, J.; Clubb, R.T.; McCammon, J.A. The Binding Mechanism, Multiple Binding Modes, and Allosteric Regulation of Staphylococcus aureus Sortase A Probed by Molecular Dynamics Simulations. Protein Sci. 2012, 21, 1858–1871. [Google Scholar] [CrossRef] [PubMed]
- Pang, X.; Zhou, H.-X. Disorder-to-Order Transition of an Active-Site Loop Mediates the Allosteric Activation of Sortase A. Biophys. J. 2015, 109, 1706–1715. [Google Scholar] [CrossRef] [PubMed]
- Ugur, I.; Schatte, M.; Marion, A.; Glaser, M.; Boenitz-Dulat, M.; Antes, I. Ca2+ Binding Induced Sequential Allosteric Activation of Sortase A: An Example for Ion-Triggered Conformational Selection. PLoS ONE 2018, 13, e0205057. [Google Scholar] [CrossRef]
- Mazmanian, S.K.; Liu, G.; Jensen, E.R.; Lenoy, E.; Schneewind, O. Staphylococcus aureus Sortase Mutants Defective in the Display of Surface Proteins and in the Pathogenesis of Animal Infections. Proc. Natl. Acad. Sci. USA 2000, 97, 5510–5515. [Google Scholar] [CrossRef] [PubMed]
- Cascioferro, S.; Totsika, M.; Schillaci, D. Sortase A: An Ideal Target for Anti-Virulence Drug Development. Microb. Pathog. 2014, 77, 105–112. [Google Scholar] [CrossRef]
- Nitulescu, G.; Margina, D.; Zanfirescu, A.; Olaru, O.T.; Nitulescu, G.M. Targeting Bacterial Sortases in Search of Anti-Virulence Therapies with Low Risk of Resistance Development. Pharmaceuticals 2021, 14, 415. [Google Scholar] [CrossRef]
- Volynets, G.P.; Barthels, F.; Hammerschmidt, S.J.; Moshynets, O.V.; Lukashov, S.S.; Starosyla, S.A.; Vyshniakova, H.V.; Iungin, O.S.; Bdzhola, V.G.; Prykhod’ko, A.O.; et al. Identification of Novel Small-Molecular Inhibitors of Staphylococcus aureus Sortase A Using Hybrid Virtual Screening. J. Antibiot. 2022, 75, 321–332. [Google Scholar] [CrossRef]
- Ha, M.W.; Yi, S.W.; Paek, S.M. Design and Synthesis of Small Molecules as Potent Staphylococcus aureus Sortase a Inhibitors. Antibiotics 2020, 9, 706. [Google Scholar] [CrossRef]
- Rentero Rebollo, I.; McCallin, S.; Bertoldo, D.; Entenza, J.M.; Moreillon, P.; Heinis, C. Development of Potent and Selective S. aureus Sortase A Inhibitors Based on Peptide Macrocycles. ACS Med. Chem. Lett. 2016, 7, 606–611. [Google Scholar] [CrossRef] [PubMed]
- Yang, T.; Zhang, T.; Guan, X.-N.; Dong, Z.; Lan, L.; Yang, S.; Yang, C.-G. Tideglusib and Its Analogues As Inhibitors of Staphylococcus aureus SrtA. J. Med. Chem. 2020, 63, 8442–8457. [Google Scholar] [CrossRef] [PubMed]
- Shulga, D.A.; Kudryavtsev, K.V. Selection of Promising Novel Fragment Sized S. aureus SrtA Noncovalent Inhibitors Based on QSAR and Docking Modeling Studies. Molecules 2021, 26, 7677. [Google Scholar] [CrossRef] [PubMed]
- Guo, Y.; Cai, S.; Gu, G.; Guo, Z.; Long, Z. Recent Progress in the Development of Sortase A Inhibitors as Novel Anti-Bacterial Virulence Agents. RSC Adv. 2015, 5, 49880–49889. [Google Scholar] [CrossRef]
- Kudryavtsev, K.V.; Bentley, M.L.; McCafferty, D.G. Probing of the Cis-5-Phenyl Proline Scaffold as a Platform for the Synthesis of Mechanism-Based Inhibitors of the Staphylococcus aureus Sortase SrtA Isoform. Bioorg. Med. Chem. 2009, 17, 2886–2893. [Google Scholar] [CrossRef]
- Maresso, A.W.; Schneewind, O. Sortase as a Target of Anti-Infective Therapy. Pharmacol. Rev. 2008, 60, 128–141. [Google Scholar] [CrossRef]
- Sapra, R.; Rajora, A.K.; Kumar, P.; Maurya, G.P.; Pant, N.; Haridas, V. Chemical Biology of Sortase A Inhibition: A Gateway to Anti-Infective Therapeutic Agents. J. Med. Chem. 2021, 64, 13097–13130. [Google Scholar] [CrossRef] [PubMed]
- Jaudzems, K.; Kurbatska, V.; Jēkabsons, A.; Bobrovs, R.; Rudevica, Z.; Leonchiks, A. Targeting Bacterial Sortase A with Covalent Inhibitors: 27 New Starting Points for Structure-Based Hit-to-Lead Optimization. ACS Infect. Dis. 2020, 6, 186–194. [Google Scholar] [CrossRef]
- Nitulescu, G.; Zanfirescu, A.; Olaru, O.T.; Nicorescu, I.M.; Nitulescu, G.M.; Margina, D. Structural Analysis of Sortase A Inhibitors. Molecules 2016, 21, 1591. [Google Scholar] [CrossRef]
- Shulga, D.A.; Kudryavtsev, K.V. Theoretical Studies of Leu-Pro-Arg-Asp-Ala Pentapeptide (LPRDA) Binding to Sortase A of Staphylococcus aureus. Molecules 2022, 27, 8182. [Google Scholar] [CrossRef]
- Wang, X.; Ni, D.; Liu, Y.; Lu, S. Rational Design of Peptide-Based Inhibitors Disrupting Protein-Protein Interactions. Front. Chem. 2021, 9, 682675. [Google Scholar] [CrossRef]
- Ran, X.; Gestwicki, J.E. Inhibitors of Protein–Protein Interactions (PPIs): An Analysis of Scaffold Choices and Buried Surface Area. Curr. Opin. Chem. Biol. 2018, 44, 75–86. [Google Scholar] [CrossRef] [PubMed]
- Abujubara, H.; Hintzen, J.C.J.; Rahimi, S.; Mijakovic, I.; Tietze, D.; Tietze, A.A. Substrate-Derived Sortase A Inhibitors: Targeting an Essential Virulence Factor of Gram-Positive Pathogenic Bacteria. Chem. Sci. 2023, 14, 6975–6985. [Google Scholar] [CrossRef] [PubMed]
- Bozhkova, S.A.; Gordina, E.M.; Labutin, D.V.; Kudryavtsev, K.V. Oligopeptide Sortase Inhibitor Modulates Staphylococcus aureus Cell Adhesion and Biofilm Formation. Antibiotics 2022, 11, 1836. [Google Scholar] [CrossRef]
- Cavalluzzi, M.M.; Mangiatordi, G.F.; Nicolotti, O.; Lentini, G. Ligand Efficiency Metrics in Drug Discovery: The Pros and Cons from a Practical Perspective. Expert Opin. Drug Discov. 2017, 12, 1087–1104. [Google Scholar] [CrossRef] [PubMed]
- Ferreira de Freitas, R.; Schapira, M. A Systematic Analysis of Atomic Protein–Ligand Interactions in the PDB. MedChemComm 2017, 8, 1970–1981. [Google Scholar] [CrossRef]
- Bissantz, C.; Kuhn, B.; Stahl, M. A Medicinal Chemist’s Guide to Molecular Interactions. J. Med. Chem. 2010, 53, 5061–5084. [Google Scholar] [CrossRef]
- Sharma, K.; Sharma, K.K.; Sharma, A.; Jain, R. Peptide-Based Drug Discovery: Current Status and Recent Advances. Drug Discov. Today 2023, 28, 103464. [Google Scholar] [CrossRef]
- Lenci, E.; Trabocchi, A. Peptidomimetic Toolbox for Drug Discovery. Chem. Soc. Rev. 2020, 49, 3262–3277. [Google Scholar] [CrossRef]
- Gao, C.; Uzelac, I.; Gottfries, J.; Eriksson, L.A. Exploration of Multiple Sortase A Protein Conformations in Virtual Screening. Sci. Rep. 2016, 6, 20413. [Google Scholar] [CrossRef]
- Amaro, R.E.; Baudry, J.; Chodera, J.; Demir, Ö.; McCammon, J.A.; Miao, Y.; Smith, J.C. Ensemble Docking in Drug Discovery. Biophys. J. 2018, 114, 2271–2278. [Google Scholar] [CrossRef]
- Chan, A.H.; Wereszczynski, J.; Amer, B.R.; Yi, S.W.; Jung, M.E.; McCammon, J.A.; Clubb, R.T. Discovery of S Taphylococcus Aureus Sortase A Inhibitors Using Virtual Screening and the Relaxed Complex Scheme. Chem. Biol. Drug Des. 2013, 82, 418–428. [Google Scholar] [CrossRef] [PubMed]
- Bozhkova, S.A.; Gordina, E.M.; Labutin, D.V.; Sokolov, M.N.; Kudryatsev, K.V. Synthetic Low-Molecular-Mass Compounds as Potential Inhibitors of Staphylococcus aureus Adhesion in Experiment. Pharm. Chem. J. 2022, 55, 1269–1275. [Google Scholar] [CrossRef]
- Rinaldi, S.; Colombo, G.; Paladino, A. Mechanistic Model for the Hsp90-Driven Opening of Human Argonaute. J. Chem. Inf. Model. 2020, 60, 1469–1480. [Google Scholar] [CrossRef] [PubMed]
- Kuchaev, E.S.; Efimov, S.V.; Klochkov, A.V.; Aganov, A.V.; Ivantcova, P.M.; Kudryavtsev, K.V.; Usachev, K.S. Solution NMR Studies of LPRDA Peptide: An Oligopeptide Inhibitor of Staphylococcus aureus Sortase A. Appl. Magn. Reson. 2024, 55, 451–461. [Google Scholar] [CrossRef]
- Velazquez, H.A.; Riccardi, D.; Xiao, Z.; Quarles, L.D.; Yates, C.R.; Baudry, J.; Smith, J.C. Ensemble Docking to Difficult Targets in Early-Stage Drug Discovery: Methodology and Application to Fibroblast Growth Factor 23. Chem. Biol. Drug Des. 2018, 91, 491–504. [Google Scholar] [CrossRef]
- McKay, K.; Hamilton, N.B.; Remington, J.M.; Schneebeli, S.T.; Li, J. Essential Dynamics Ensemble Docking for Structure-Based GPCR Drug Discovery. Front. Mol. Biosci. 2022, 9, 879212. [Google Scholar] [CrossRef]
- Stachowski, T.R.; Fischer, M. Large-Scale Ligand Perturbations of the Protein Conformational Landscape Reveal State-Specific Interaction Hotspots. J. Med. Chem. 2022, 65, 13692–13704. [Google Scholar] [CrossRef]
- Asses, Y.; Venkatraman, V.; Leroux, V.; Ritchie, D.W.; Maigret, B. Exploring C-Met Kinase Flexibility by Sampling and Clustering Its Conformational Space. Proteins Struct. Funct. Bioinform. 2012, 80, 1227–1238. [Google Scholar] [CrossRef]
- Bresso, E.; Furlan, A.; Noel, P.; Leroux, V.; Maina, F.; Dono, R.; Maigret, B. Large-Scale Virtual Screening Against the MET Kinase Domain Identifies a New Putative Inhibitor Type. Molecules 2020, 25, 938. [Google Scholar] [CrossRef]
- Evangelista Falcon, W.; Ellingson, S.R.; Smith, J.C.; Baudry, J. Ensemble Docking in Drug Discovery: How Many Protein Configurations from Molecular Dynamics Simulations Are Needed To Reproduce Known Ligand Binding? J. Phys. Chem. B 2019, 123, 5189–5195. [Google Scholar] [CrossRef]
- Hanwell, M.D.; Curtis, D.E.; Lonie, D.C.; Vandermeersch, T.; Zurek, E.; Hutchison, G.R. Avogadro: An Advanced Semantic Chemical Editor, Visualization, and Analysis Platform. J. Cheminform. 2012, 4, 17. [Google Scholar] [CrossRef] [PubMed]
- O’Boyle, N.M.; Banck, M.; James, C.A.; Morley, C.; Vandermeersch, T.; Hutchison, G.R. Open Babel: An Open Chemical Toolbox. J. Cheminform. 2011, 3, 33. [Google Scholar] [CrossRef] [PubMed]
- Morris, G.M.; Huey, R.; Lindstrom, W.; Sanner, M.F.; Belew, R.K.; Goodsell, D.S.; Olson, A.J. AutoDock4 and AutoDockTools4: Automated Docking with Selective Receptor Flexibility. J. Comput. Chem. 2009, 30, 2785–2791. [Google Scholar] [CrossRef] [PubMed]
- Eberhardt, J.; Santos-Martins, D.; Tillack, A.F.; Forli, S. AutoDock Vina 1.2.0: New Docking Methods, Expanded Force Field, and Python Bindings. J. Chem. Inf. Model. 2021, 61, 3891–3898. [Google Scholar] [CrossRef]










| Cluster # | Number of Frames | Percent of Frames |
|---|---|---|
| 1 | 518 | 21.4 |
| 2 | 405 | 16.7 |
| 3 | 161 | 6.6 |
| 4 | 154 | 6.4 |
| 5 | 126 | 5.2 |
| 6 | 77 | 3.2 |
| Sum | 1441 | 59.45 |
| # | FRET Inhibition, % | IC50, µM | −RT ln IC50, kcal/mol |
|---|---|---|---|
| 1 | 29 (3) | - | - |
| 2 | 69 (3) | 19 | −6.52 |
| 3 | 76 (8) | 136 | −5.34 |
| 4 | 37 (3) | - | - |
| 5 | 108 (7) | 57 | −5.86 |
| 6 | 15 (4) | - | - |
| 7 | 32 (9) | - | - |
| 8 | 31 (8) | - | - |
| 9 | 70 (6) | 185 | −5.16 |
| 1T2W | 2KID | Cluster_01 | Cluster_02 | Cluster_03 | Cluster_04 | Cluster_05 | Cluster_06 | ||||||||||
|---|---|---|---|---|---|---|---|---|---|---|---|---|---|---|---|---|---|
| num | E | LE | E | LE | E | LE | E | LE | E | LE | E | LE | E | LE | E | LE | NH |
| 1 | −6.86 | 0.17 | −5.07 | 0.13 | −5.27 | 0.13 | −6.30 | 0.16 | −11.94 | 0.30 | −6.07 | 0.15 | −7.38 | 0.18 | −3.71 | 0.09 | 40 |
| 2 | −8.41 | 0.21 | −5.60 | 0.14 | −4.66 | 0.12 | −9.31 | 0.23 | −11.92 | 0.30 | −6.07 | 0.15 | −8.89 | 0.22 | −5.49 | 0.14 | 40 |
| 3 | −6.40 | 0.16 | −8.18 | 0.21 | −6.49 | 0.17 | −6.51 | 0.17 | −7.99 | 0.20 | −6.06 | 0.16 | −6.60 | 0.17 | −5.55 | 0.14 | 39 |
| 4 | −7.76 | 0.16 | −7.39 | 0.15 | −6.59 | 0.14 | −9.20 | 0.19 | −11.89 | 0.25 | −6.71 | 0.14 | −5.65 | 0.12 | −5.38 | 0.11 | 48 |
| 5 | −8.25 | 0.17 | −7.44 | 0.15 | −6.60 | 0.14 | −8.41 | 0.18 | −12.28 | 0.26 | −9.76 | 0.20 | −6.42 | 0.13 | −6.11 | 0.13 | 48 |
| 6 | −10.50 | 0.22 | −8.21 | 0.17 | −9.13 | 0.19 | −10.34 | 0.22 | −9.68 | 0.21 | −8.19 | 0.17 | −7.10 | 0.15 | −7.00 | 0.15 | 47 |
| 7 | −8.44 | 0.20 | −5.66 | 0.13 | −5.43 | 0.13 | −5.19 | 0.12 | −9.86 | 0.23 | −8.83 | 0.21 | −7.56 | 0.18 | −5.60 | 0.13 | 42 |
| 8 | −10.48 | 0.21 | −8.58 | 0.17 | −8.02 | 0.16 | −8.21 | 0.16 | −12.67 | 0.25 | −10.69 | 0.21 | −8.30 | 0.17 | −7.01 | 0.14 | 50 |
| 9 | −7.70 | 0.15 | −7.34 | 0.14 | −6.84 | 0.13 | −5.19 | 0.10 | −9.90 | 0.19 | −7.72 | 0.15 | −9.15 | 0.18 | −4.89 | 0.10 | 51 |
| # | 1T2W | 2KID | Cl_01 | Cl_02 | Cl_03 | Cl_04 | Cl_05 | Cl_06 | Ene(BW) * |
|---|---|---|---|---|---|---|---|---|---|
| 1 | 0.000 | 0.000 | 0.000 | 0.000 | 0.999 | 0.000 | 0.001 | 0.000 | −11.94 |
| 2 | 0.003 | 0.000 | 0.000 | 0.013 | 0.978 | 0.000 | 0.006 | 0.000 | −11.86 |
| 3 | 0.026 | 0.496 | 0.030 | 0.031 | 0.361 | 0.014 | 0.036 | 0.006 | −7.86 |
| 4 | 0.001 | 0.001 | 0.000 | 0.011 | 0.987 | 0.000 | 0.000 | 0.000 | −11.85 |
| 5 | 0.001 | 0.000 | 0.000 | 0.002 | 0.982 | 0.015 | 0.000 | 0.000 | −12.23 |
| 6 | 0.460 | 0.010 | 0.047 | 0.352 | 0.117 | 0.010 | 0.002 | 0.001 | −10.23 |
| 7 | 0.073 | 0.001 | 0.000 | 0.000 | 0.769 | 0.140 | 0.017 | 0.001 | −9.56 |
| 8 | 0.024 | 0.001 | 0.000 | 0.001 | 0.938 | 0.035 | 0.001 | 0.000 | −12.54 |
| 9 | 0.019 | 0.010 | 0.004 | 0.000 | 0.737 | 0.019 | 0.210 | 0.000 | −9.62 |
| 1T2W | 2KID | Cluster_01 | Cluster_02 | Cluster_03 | Cluster_04 | Cluster_05 | Cluster_06 | ||||||||||
|---|---|---|---|---|---|---|---|---|---|---|---|---|---|---|---|---|---|
| num | E | LE | E | LE | E | LE | E | LE | E | LE | E | LE | E | LE | E | LE | NH |
| 1 | −6.86 | 0.17 | −5.07 | 0.13 | −5.27 | 0.13 | −6.30 | 0.16 | −11.94 | 0.30 | −6.07 | 0.15 | −7.38 | 0.18 | −3.71 | 0.09 | 40 |
| 10 | −9.26 | 0.21 | −8.22 | 0.18 | −7.54 | 0.17 | −7.48 | 0.17 | −9.37 | 0.21 | −7.89 | 0.18 | −5.11 | 0.11 | −5.27 | 0.12 | 45 |
| 11 | −6.98 | 0.16 | −6.05 | 0.13 | −5.87 | 0.13 | −5.95 | 0.13 | −8.11 | 0.18 | −5.41 | 0.12 | −6.05 | 0.13 | −6.78 | 0.15 | 45 |
| 12 | −8.18 | 0.18 | −9.05 | 0.20 | −6.83 | 0.15 | −7.14 | 0.16 | −9.31 | 0.20 | −7.07 | 0.15 | −7.57 | 0.16 | −6.40 | 0.14 | 46 |
| 13 | −5.67 | 0.12 | −5.86 | 0.13 | −7.00 | 0.15 | −4.41 | 0.10 | −6.47 | 0.14 | −5.81 | 0.13 | −5.34 | 0.12 | −4.19 | 0.09 | 46 |
| 14 | −10.26 | 0.24 | −7.01 | 0.16 | −5.35 | 0.12 | −6.37 | 0.15 | −12.46 | 0.29 | −6.70 | 0.16 | −7.76 | 0.18 | −7.24 | 0.17 | 43 |
| 15 | −9.02 | 0.21 | −6.41 | 0.15 | −5.56 | 0.13 | −6.60 | 0.15 | −9.79 | 0.23 | −9.12 | 0.21 | −7.27 | 0.17 | −6.73 | 0.16 | 43 |
| 16 | −8.52 | 0.19 | −6.45 | 0.15 | −4.22 | 0.10 | −7.13 | 0.16 | −7.73 | 0.18 | −5.05 | 0.11 | −7.83 | 0.18 | −6.03 | 0.14 | 44 |
| 17 | −7.44 | 0.17 | −7.57 | 0.17 | −5.19 | 0.12 | −10.63 | 0.24 | −9.32 | 0.21 | −6.25 | 0.14 | −6.44 | 0.15 | −5.53 | 0.13 | 44 |
| 18 | −8.06 | 0.18 | −7.86 | 0.17 | −6.63 | 0.15 | −6.93 | 0.15 | −11.23 | 0.25 | −7.21 | 0.16 | −6.81 | 0.15 | −6.03 | 0.13 | 45 |
| 19 | −7.62 | 0.17 | −7.69 | 0.17 | −6.62 | 0.15 | −5.81 | 0.13 | −7.84 | 0.17 | −6.14 | 0.14 | −6.34 | 0.14 | −5.84 | 0.13 | 45 |
| 20 | −9.37 | 0.22 | −9.62 | 0.22 | −5.75 | 0.13 | −8.02 | 0.19 | −11.38 | 0.26 | −7.60 | 0.18 | −6.57 | 0.15 | −6.57 | 0.15 | 43 |
| 21 | −9.67 | 0.22 | −8.37 | 0.19 | −6.58 | 0.15 | −7.96 | 0.19 | −10.71 | 0.25 | −6.21 | 0.14 | −7.01 | 0.16 | −7.51 | 0.17 | 43 |
| # | 1T2W | 2KID | Cl_01 | Cl_02 | Cl_03 | Cl_04 | Cl_05 | Cl_06 | Ene(BW) * |
|---|---|---|---|---|---|---|---|---|---|
| 2 | 0.003 | 0.000 | 0.000 | 0.013 | 0.978 | 0.000 | 0.006 | 0.000 | −11.86 |
| 10 | 0.388 | 0.069 | 0.022 | 0.020 | 0.462 | 0.040 | 0.000 | 0.000 | −9.11 |
| 11 | 0.109 | 0.023 | 0.017 | 0.020 | 0.722 | 0.008 | 0.023 | 0.078 | −7.69 |
| 12 | 0.079 | 0.335 | 0.008 | 0.014 | 0.519 | 0.012 | 0.029 | 0.004 | −8.99 |
| 13 | 0.058 | 0.079 | 0.527 | 0.007 | 0.219 | 0.073 | 0.033 | 0.005 | −6.55 |
| 14 | 0.025 | 0.000 | 0.000 | 0.000 | 0.974 | 0.000 | 0.000 | 0.000 | −12.40 |
| 15 | 0.169 | 0.002 | 0.001 | 0.003 | 0.614 | 0.199 | 0.009 | 0.004 | −9.48 |
| 16 | 0.578 | 0.018 | 0.000 | 0.057 | 0.153 | 0.002 | 0.182 | 0.009 | −8.12 |
| 17 | 0.004 | 0.005 | 0.000 | 0.889 | 0.099 | 0.001 | 0.001 | 0.000 | −10.46 |
| 18 | 0.005 | 0.004 | 0.000 | 0.001 | 0.988 | 0.001 | 0.001 | 0.000 | −11.19 |
| 19 | 0.248 | 0.276 | 0.047 | 0.012 | 0.354 | 0.021 | 0.029 | 0.013 | −7.56 |
| 20 | 0.032 | 0.048 | 0.000 | 0.003 | 0.914 | 0.002 | 0.000 | 0.000 | −11.21 |
| 21 | 0.145 | 0.017 | 0.001 | 0.008 | 0.823 | 0.000 | 0.002 | 0.004 | −10.47 |
Disclaimer/Publisher’s Note: The statements, opinions and data contained in all publications are solely those of the individual author(s) and contributor(s) and not of MDPI and/or the editor(s). MDPI and/or the editor(s) disclaim responsibility for any injury to people or property resulting from any ideas, methods, instructions or products referred to in the content. |
© 2024 by the authors. Licensee MDPI, Basel, Switzerland. This article is an open access article distributed under the terms and conditions of the Creative Commons Attribution (CC BY) license (https://creativecommons.org/licenses/by/4.0/).
Share and Cite
Shulga, D.A.; Kudryavtsev, K.V. Ensemble Docking as a Tool for the Rational Design of Peptidomimetic Staphylococcus aureus Sortase A Inhibitors. Int. J. Mol. Sci. 2024, 25, 11279. https://doi.org/10.3390/ijms252011279
Shulga DA, Kudryavtsev KV. Ensemble Docking as a Tool for the Rational Design of Peptidomimetic Staphylococcus aureus Sortase A Inhibitors. International Journal of Molecular Sciences. 2024; 25(20):11279. https://doi.org/10.3390/ijms252011279
Chicago/Turabian StyleShulga, Dmitry A., and Konstantin V. Kudryavtsev. 2024. "Ensemble Docking as a Tool for the Rational Design of Peptidomimetic Staphylococcus aureus Sortase A Inhibitors" International Journal of Molecular Sciences 25, no. 20: 11279. https://doi.org/10.3390/ijms252011279
APA StyleShulga, D. A., & Kudryavtsev, K. V. (2024). Ensemble Docking as a Tool for the Rational Design of Peptidomimetic Staphylococcus aureus Sortase A Inhibitors. International Journal of Molecular Sciences, 25(20), 11279. https://doi.org/10.3390/ijms252011279

