Secondary Dengue Infection Elicits Earlier Elevations in IL-6 and IL-10 Levels
Abstract
1. Introduction
2. Results
2.1. Characteristics of the Study Population
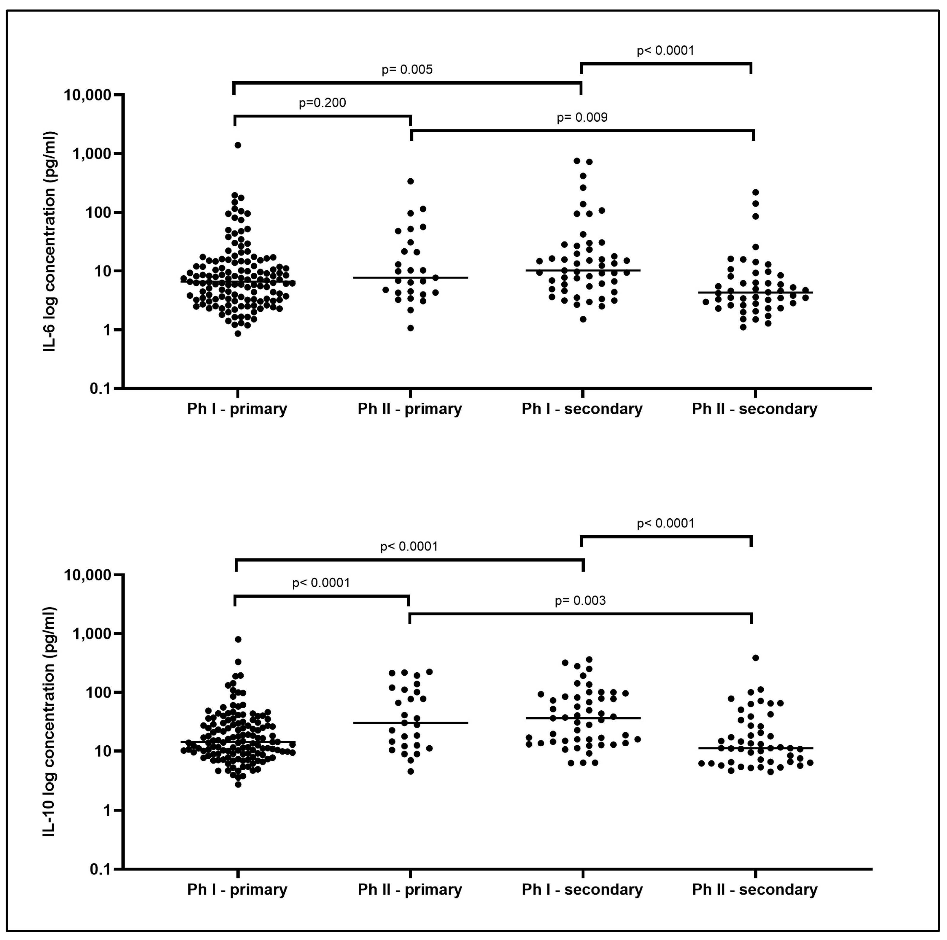
2.2. Cytokine Levels According to Febrile Phases and Type of Infection
2.3. Laboratory Findings
2.4. Characteristics of Hospitalized Patients
3. Discussion
Study Limitations
4. Materials and Methods
4.1. Samples and Study Design
4.2. Classification of Phases and Type of Infection
4.3. Biochemical Assays
4.4. Cytokine Determination in Serum Samples
Statistical Analysis
4.5. Ethical Aspects
5. Conclusions
Supplementary Materials
Author Contributions
Funding
Institutional Review Board Statement
Informed Consent Statement
Data Availability Statement
Acknowledgments
Conflicts of Interest
References
- WHO. Dengue and Severe Dengue, Fact Sheets; World Health Organization: Geneva, Switzerland, 2020; Available online: https://www.who.int/news-room/fact-sheets/detail/Dengue-and-severe-Dengue (accessed on 22 April 2024).
- Puc, I.; Ho, T.C.; Yen, K.L.; Vats, A.; Tsai, J.J.; Chen, P.L.; Chien, Y.W.; Lo, Y.C.; Perng, G.C. Cytokine Signature of Dengue Patients at Different Severity of the Disease. Int. J. Mol. Sci. 2021, 22, 2879. [Google Scholar] [CrossRef] [PubMed]
- Centers for Disease Control and Prevention. Clinical Features of Dengue. Available online: https://www.cdc.gov/dengue/hcp/clinical-signs/index.html (accessed on 22 June 2024).
- Hubert, B.; Halstead, S.B. Dengue 1 virus and dengue hemorrhagic fever, French Polynesia, 2001. Emerg. Infect. Dis. 2009, 15, 1265–1270. [Google Scholar] [CrossRef]
- Guzman, M.G.; Alvarez, M.; Halstead, S.B. Secondary infection as a risk factor for dengue hemorrhagic fever/dengue shock syndrome: An historical perspective and role of antibody-dependent enhancement of infection. Arch. Virol. 2013, 158, 1445–1459. [Google Scholar] [CrossRef]
- Katzelnick, L.C.; Gresh, L.; Halloran, M.E.; Mercado, J.C.; Kuan, G.; Gordon, A.; Balmaseda, A.; Harris, E. Antibody-dependent enhancement of severe dengue disease in humans. Science 2017, 358, 929–932. [Google Scholar] [CrossRef] [PubMed]
- Wijeratne, D.T.; Fernando, S.; Gomes, L.; Jeewandara, C.; Ginneliya, A.; Samarasekara, S.; Wijewickrama, A.; Hardman, C.S.; Ogg, G.S.; Malavige, G.N. Quantification of dengue virus specific T cell responses and correlation with viral load and clinical disease severity in acute dengue infection. PLoS Negl. Trop. Dis. 2018, 12, e0006540. [Google Scholar] [CrossRef] [PubMed]
- Srikiatkhachorn, A.; Mathew, A.; Rothman, A.L. Immune-mediated cytokine storm and its role in severe dengue. Semin. Immunopathol. 2017, 39, 563–574. [Google Scholar] [CrossRef]
- Patro, A.R.K.; Mohanty, S.; Prusty, B.K.; Singh, D.K.; Gaikwad, S.; Saswat, T.; Chattopadhyay, S.; Das, B.K.; Tripathy, R.; Ravindran, B. Cytokine Signature Associated with Disease Severity in Dengue. Viruses 2019, 11, 34. [Google Scholar] [CrossRef]
- Kamaladasa, A.; Gomes, L.; Wijesinghe, A.; Jeewandara, C.; Toh, Y.X.; Jayathilaka, D.; Ogg, G.S.; Fink, K.; Malavige, G.N. Altered monocyte response to the dengue virus in those with varying severity of past dengue infection. Antiviral. Res. 2019, 169, 104554. [Google Scholar] [CrossRef]
- Rachman, A.; Rinaldi, I. Coagulopathy in dengue infection and the role of interleukin-6. Acta Med. Indones. 2006, 38, 105–108. [Google Scholar]
- Imad, H.A.; Phumratanaprapin, W.; Phonrat, B.; Chotivanich, K.; Charunwatthana, P.; Muangnoicharoen, S.; Khusmith, S.; Tantawichien, T.; Phadungsombat, J.; Nakayama, E.; et al. Cytokine Expression in Dengue Fever and Dengue Hemorrhagic Fever Patients with Bleeding and Severe Hepatitis. Am. J. Trop. Med. Hyg. 2020, 102, 943–950. [Google Scholar] [CrossRef]
- Nwe, K.M.; Ngwe Tun, M.M.; Myat, T.W.; Sheng Ng, C.F.; Htun, M.M.; Lin, H.; Hom, N.S.; Soe, A.M.; Elong Ngono, A.; Hamano, S.; et al. Acute-phase Serum Cytokine Levels and Correlation with Clinical Outcomes in Children and Adults with Primary and Secondary Dengue Virus Infection in Myanmar between 2017 and 2019. Pathogens 2022, 11, 558. [Google Scholar] [CrossRef] [PubMed]
- Friberg, H.; Beaumier, C.M.; Park, S.; Pazoles, P.; Endy, T.P.; Mathew, A.; Currier, J.R.; Jarman, R.G.; Anderson, K.B.; Hatch, S.; et al. Protective versus pathologic pre-exposure cytokine profiles in dengue virus infection. PLoS Negl. Trop. Dis. 2018, 12, e0006975. [Google Scholar] [CrossRef] [PubMed]
- Pongpan, S.; Patumanond, J.; Wisitwong, A.; Tawichasri, C.; Namwongprom, S. Validation of dengue infection severity score. Risk Manag. Healthc. Policy 2014, 7, 45–49. [Google Scholar] [CrossRef] [PubMed][Green Version]
- Tran, L.; Radwan, I.; Low, S.K.; Hashan, M.R.; Gomaa, M.D.; Abdelmongy, M.; Abdelaziz, A.I.; Mohamed, A.; Tawfik, G.M.; Mizukami, S.; et al. Role of cytokines produced by T helper immune-modulators in dengue pathogenesis: A systematic review and meta-analysis. Acta Trop. 2021, 216, 105823. [Google Scholar] [CrossRef] [PubMed]
- Tsai, T.T.; Chuang, Y.J.; Lin, Y.S.; Wan, S.W.; Chen, C.L.; Lin, C.F. An emerging role for the anti-inflammatory cytokine interleukin-10 in dengue virus infection. J. Biomed. Sci. 2013, 20, 40. [Google Scholar] [CrossRef]
- Rathakrishnan, A.; Wang, S.M.; Hu, Y.; Khan, A.M.; Ponnampalavanar, S.; Lum, L.C.S.; Manikam, R.; Sekaran, S.D. Cytokine expression profile of dengue patients at different phases of illness. PLoS ONE 2012, 7, e52215. [Google Scholar] [CrossRef]
- de la Cruz Hernández, S.I.; Puerta-Guardo, H.N.; Flores Aguilar, H.; González Mateos, S.; López Martinez, I.; Ortiz-Navarrete, V.; Ludert, J.E.; del Angel, R.M. Primary dengue virus infections induce differential cytokine production in Mexican patients. Mem. Inst. Oswaldo Cruz. 2016, 111, 161–167. [Google Scholar] [CrossRef]
- Dayarathna, S.; Jeewandara, C.; Gomes, L.; Somathilaka, G.; Jayathilaka, D.; Vimalachandran, V.; Wijewickrama, A.; Narangoda, E.; Idampitiya, D.; Ogg, G.S.; et al. Similarities and differences between the ‘cytokine storms’ in acute dengue and COVID-19. Sci. Rep. 2020, 10, 19839. [Google Scholar] [CrossRef] [PubMed]
- Malavige, G.N.; Jeewandara, C.; Ogg, G.S. Dysfunctional Innate Immune Responses and Severe Dengue. Front. Cell Infect. Microbiol. 2020, 10, 590004. [Google Scholar] [CrossRef]
- Duyen, H.T.; Ngoc, T.V.; Ha, D.T.; Hang, V.T.; Kieu, N.T.; Young, P.R.; Farrar, J.J.; Simmons, C.P.; Wolbers, M.; Wills, B.A. Kinetics of plasma viremia and soluble nonstructural protein 1 concentrations in dengue: Differential effects according to serotype and immune status. J. Infect. Dis. 2011, 203, 1292–1300. [Google Scholar] [CrossRef]
- Malavige, G.N.; Jeewandara, C.; Alles, K.M.; Salimi, M.; Gomes, L.; Kamaladasa, A.; Jayaratne, S.D.; Ogg, G.S. Suppression of virus specific immune responses by IL-10 in acute dengue infection. PLoS Negl. Trop. Dis. 2013, 7, e2409. [Google Scholar] [CrossRef] [PubMed]
- Said, E.A.; Al-Reesi, I.; Al-Shizawi, N.; Jaju, S.; Al-Balushi, M.S.; Koh, C.Y.; Al-Jabri, A.A.; Jeyaseelan, L. Defining IL-6 levels in healthy individuals: A meta-analysis. J. Med. Virol. 2021, 93, 3915–3924. [Google Scholar] [CrossRef]
- Sarris, A.H.; Kliche, K.O.; Pethambaram, P.; Preti, A.; Tucker, S.; Jackow, C.; Messina, O.; Pugh, W.; Hagemeister, F.B.; McLaughlin, P.; et al. Interleukin-10 levels are often elevated in serum of adults with Hodgkin’s disease and are associated with inferior failure-free survival. Ann. Oncol. 1999, 10, 433–440. [Google Scholar] [CrossRef] [PubMed]
- Sangkaew, S.; Ming, D.; Boonyasiri, A.; Honeyford, K.; Kalayanarooj, S.; Yacoub, S.; Dorigatti, I.; Holmes, A. Risk predictors of progression to severe disease during the febrile phase of dengue: A systematic review and meta-analysis. Lancet Infect. Dis. 2021, 21, 1014–1026. [Google Scholar] [CrossRef] [PubMed] [PubMed Central]
- Green, S.; Rothman, A. Immunopathological mechanisms in dengue and dengue hemorrhagic fever. Curr. Opin. Infect. Dis. 2006, 19, 429–436. [Google Scholar] [CrossRef] [PubMed]
- Sierra, B.; Perez, A.B.; Vogt, K.; Garcia, G.; Schmolke, K.; Aguirre, E.; Alvarez, M.; Kern, F.; Kourí, G.; Volk, H.D.; et al. Secondary heterologous dengue infection risk: Disequilibrium between immune regulation and inflammation? Cell Immunol. 2010, 262, 134–140. [Google Scholar] [CrossRef]
- Tsheten, T.; Clements, A.C.A.; Gray, D.J.; Adhikary, R.K.; Furuya-Kanamori, L.; Wangdi, K. Clinical predictors of severe dengue: A systematic review and meta-analysis. Infect. Dis. Poverty 2021, 10, 123. [Google Scholar] [CrossRef]
- Flichman, D.M.; Pereson, M.J.; Baré, P.; Espindola, S.L.; Carballo, G.M.; Albrecht, A.; Agote, F.; Alter, A.; Bartoli, S.; Blanco, S.; et al. Epidemiology of Dengue in Argentina: Antibodies seroprevalence in blood donors and circulating serotypes. J. Clin. Virol. 2022, 147, 105078. [Google Scholar] [CrossRef]
- Boletín Integrado de Vigilancia SE19/2020. 2020; pp. 1–47. Available online: https://bancos.salud.gob.ar/recurso/boletin-integrado-de-vigilancia-n495-se19-2020 (accessed on 20 April 2024).
- Anderson, K.B.; Gibbons, R.V.; Cummings, D.A.; Nisalak, A.; Green, S.; Libraty, D.H.; Jarman, R.G.; Srikiatkhachorn, A.; Mammen, M.P.; Darunee, B.; et al. A shorter time interval between first and second dengue infections is associated with protection from clinical illness in a school-based cohort in Thailand. J. Infect. Dis. 2014, 209, 360–368. [Google Scholar] [CrossRef]
- Wang, W.H.; Urbina, A.N.; Chang, M.R.; Assavalapsakul, W.; Lu, P.L.; Chen, Y.H.; Wang, S.F. Dengue hemorrhagic fever—A systemic literature review of current perspectives on pathogenesis, prevention and control. J. Microbiol. Immunol. Infect. 2020, 53, 963–978. [Google Scholar] [CrossRef]
- Tuyen, T.T.; Viet, N.T.; Hang, N.T.; Giang, N.T.; Anh, D.D.; Anh, D.T.; Hung, H.V.; Quyet, D.; Toan, N.L.; Cam, T.D.; et al. Proinflammatory Cytokines Are Modulated in Vietnamese Patients with Dengue Fever. Viral. Immunol. 2020, 33, 514–520. [Google Scholar] [CrossRef] [PubMed]
- Santiago, G.A.; Vergne, E.; Quiles, Y.; Cosme, J.; Vazquez, J.; Medina, J.F.; Medina, F.; Colón, C.; Margolis, H.; Muñoz-Jordán, J.L. Analytical and clinical performance of the CDC real time RT-PCR assay for detection and typing of dengue virus. PLoS Negl. Trop. Dis. 2013, 7, e2311, Erratum in PLoS Negl. Trop. Dis. 2013, 7. [Google Scholar] [CrossRef]


| Characteristics | Total (n = 259) | Phase I (n = 184) | Phase II (n = 75) | p |
|---|---|---|---|---|
| Median age * | 44 y (29–63) | 41 y (29–60) | 51 y (29–72) | 0.031 |
| Female gender (%) | 137 (52.9) | 98 (53.3) | 39 (52) | 0.891 |
| Dengue serotype (%) # | ||||
| 1 | 177 (86.3) | 131 (82.9) | 46 (97.9) | |
| 4 | 28 (13.7) | 27 (17.1) | 1 (2.1) | 0.007 |
| Infection (%) | ||||
| Primary | 160 (61.8) | 133 (72.3) | 27 (36.0) | |
| Secondary | 99 (38.2) | 51 (27.7) | 48 (64.0) | <0.001 |
| Clinical Parameters | Total (n = 259) | Phase I (n = 184) | Phase II (n = 75) | p |
|---|---|---|---|---|
| WBC < 5000/µL (%) | 170 (65.6) | 119 (65.0) | 51 (68.9) | 0.663 |
| Platelets < 100,000/µL (%) | 29 (11) | 14 (7.8) | 15 (20.8) | 0.007 |
| AST ≥ ULN (U/L) # (%) | 98 (46.7) | 65 (41.7) | 33 (61.1) | 0.017 |
| ALT ≥ ULN (U/L) # (%) | 63 (30) | 45 (28.8) | 18 (33.3) | 0.606 |
| Albumin g/dL # | 4.1 (3.9–4.4) | 4.21 (3.9–4.4) | 4.04 (3.8–4.2) | 0.005 |
| Bilirubin mg/dL # | 0.49 (0.34–0.73) | 0.48 (0.34–0.73) | 0.50 (0.34–0.74) | 0.391 |
| Total protein g/dL # | 6.99 (6.7–7.3) | 6.99 (6.7–7.4) | 7.00 (6.7–7.2) | 0.446 |
| Characteristics | IL-6 * | p | IL-10 * | p |
|---|---|---|---|---|
| WBC 5000/µL | ||||
| < | 4.3 (2.9–7.6) | 0.891 | 14.0 (9.8–37.6) | 0.014 |
| > | 3.8 (2.3–10.7) | 6.6 (5.7–11.2) | ||
| Platelets 100,000/µL | ||||
| < | 10.7 (3.5–15.7) | 0.020 | 42.3 (11.6–100.6) | 0.002 |
| > | 4.2 (2.6–6.2) | 10.8 (6.2–18.0) | ||
| AST ULN (U/L) # | ||||
| < | 3.3 (2.0–8.5) | 0.252 | 7.6 (5.7–13.5) | 0.006 |
| > | 4.9 (3.5–10.7) | 17.2 (11.3–42.3) | ||
| ALT ULN (U/L) # | ||||
| < | 3.5 (2.8–6.3) | 0.082 | 11.2 (6.3–20.5) | 0.330 |
| > | 6.2 (3.5–15.2) | 17.2 (8.3–30.5) |
| Characteristics | Outpatients (n = 233) | Hospitalized (n = 26) | p |
|---|---|---|---|
| Age * (years) | 42 (28–62) | 57 (40–74) | 0.007 |
| Female gender (%) | 121 (51.9) | 16 (61.5) | 0.235 |
| Infection | |||
| Primary | 145 (62.2) | 15 (57.7) | |
| Secondary | 88 (37.8) | 11 (42.3) | 0.401 |
| WBC < 5000/µL (%) # | 152 (65.8) | 18 (69.2) | 0.455 |
| Platelets < 100,000/µL # | 19 (8.4) | 10 (40) | <0.001 |
| IL-6 pg/mL | 6.21 (3.2–14.7) | 11.07 (7.4–62.8) | <0.001 |
| IL-10 pg/mL | 16.07 (9.4–40.8) | 21.72 (11.5–62.6) | 0.235 |
| AST ≥ ULN (U/L) # | 83 (44.4) | 15 (65.2) | 0.047 |
| ALT ≥ ULN (U/L) # | 56 (29.9) | 7 (30.4) | 0.566 |
Disclaimer/Publisher’s Note: The statements, opinions and data contained in all publications are solely those of the individual author(s) and contributor(s) and not of MDPI and/or the editor(s). MDPI and/or the editor(s) disclaim responsibility for any injury to people or property resulting from any ideas, methods, instructions or products referred to in the content. |
© 2024 by the authors. Licensee MDPI, Basel, Switzerland. This article is an open access article distributed under the terms and conditions of the Creative Commons Attribution (CC BY) license (https://creativecommons.org/licenses/by/4.0/).
Share and Cite
Espindola, S.L.; Fay, J.; Carballo, G.M.; Pereson, M.J.; Aloisi, N.; Badano, M.N.; Ferreras, J.; Argüelles, C.; Pezzarini, S.; Chuit, R.; et al. Secondary Dengue Infection Elicits Earlier Elevations in IL-6 and IL-10 Levels. Int. J. Mol. Sci. 2024, 25, 11238. https://doi.org/10.3390/ijms252011238
Espindola SL, Fay J, Carballo GM, Pereson MJ, Aloisi N, Badano MN, Ferreras J, Argüelles C, Pezzarini S, Chuit R, et al. Secondary Dengue Infection Elicits Earlier Elevations in IL-6 and IL-10 Levels. International Journal of Molecular Sciences. 2024; 25(20):11238. https://doi.org/10.3390/ijms252011238
Chicago/Turabian StyleEspindola, Sonia L., Jessica Fay, Graciela M. Carballo, Matías J. Pereson, Natalia Aloisi, María Noel Badano, Julián Ferreras, Carina Argüelles, Simón Pezzarini, Roberto Chuit, and et al. 2024. "Secondary Dengue Infection Elicits Earlier Elevations in IL-6 and IL-10 Levels" International Journal of Molecular Sciences 25, no. 20: 11238. https://doi.org/10.3390/ijms252011238
APA StyleEspindola, S. L., Fay, J., Carballo, G. M., Pereson, M. J., Aloisi, N., Badano, M. N., Ferreras, J., Argüelles, C., Pezzarini, S., Chuit, R., Miretti, M., Di Lello, F. A., & Baré, P. (2024). Secondary Dengue Infection Elicits Earlier Elevations in IL-6 and IL-10 Levels. International Journal of Molecular Sciences, 25(20), 11238. https://doi.org/10.3390/ijms252011238

