Hybrid Albumin-Decorated Lipid-Nanocarrier-Mediated Delivery of Polyphenol-Rich Sambucus nigra L. in a Potential Multiple Antitumoural Therapy
Abstract
1. Introduction
2. Results and Discussion
2.1. Particle Size, Surface Charge, and Entrapment Efficiency of Lipid and Hybrid Protein–Lipid Nanocarriers Loaded with Sambucus nigra
2.2. FT-IR Spectroscopy of NLC-SambucusN-BSA
2.3. Fluorescence Behaviour of Conventional and Hybrid NLC-SambucusN
2.4. In Vitro Assessment of Antioxidant Activity
2.5. In Vitro Antitumour Potential of NLC-I and II-SambucusN-BSA
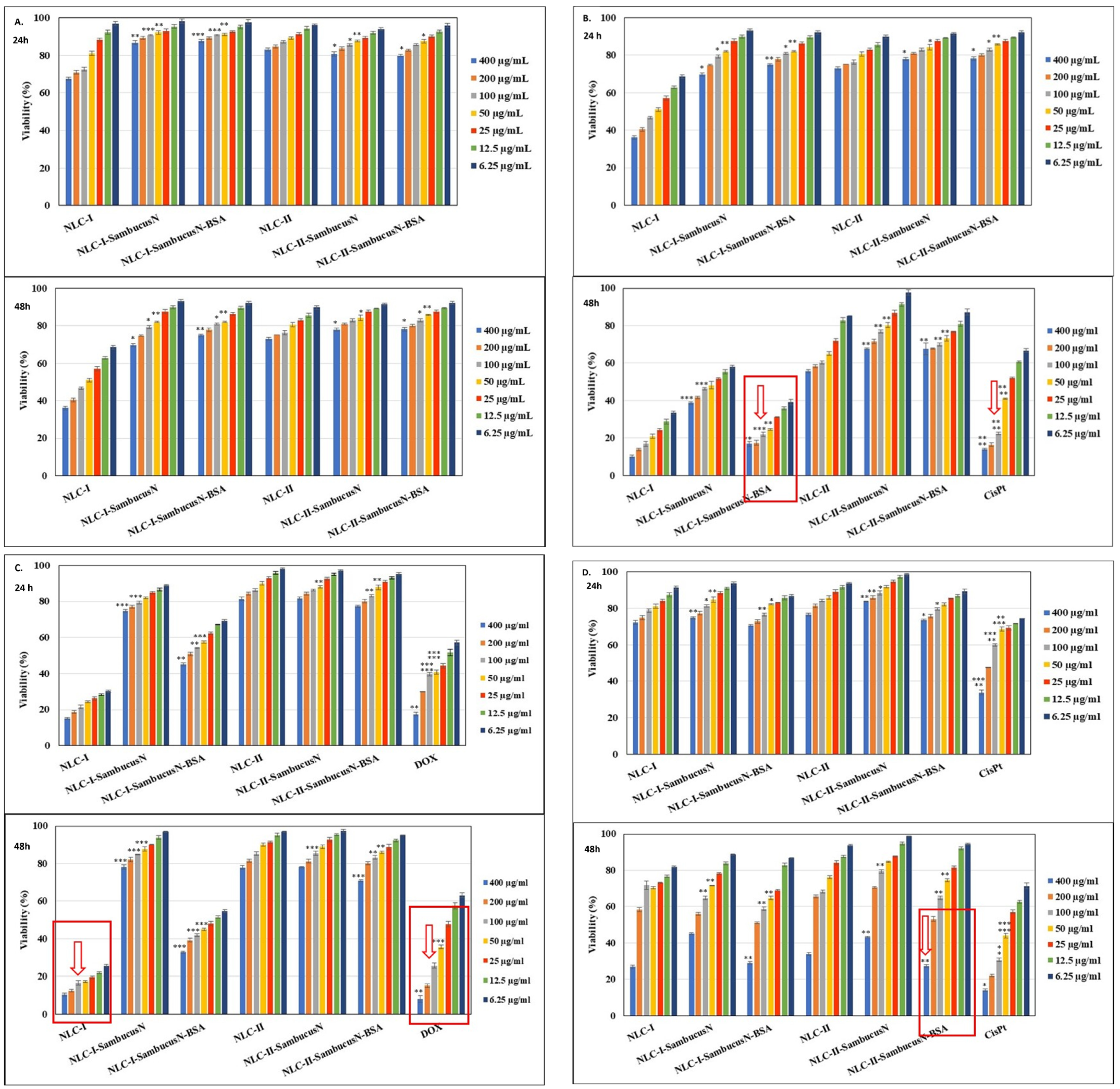
2.5.1. Cell Cytotoxicity of the Conventional and Hybrid BSA-Decorated NLC-SambucusN

2.5.2. Real-Time Cell Analysis of Proliferation of Tumour Cells Treated with Lipid and Hybrid Nanocarriers




2.5.3. The Effect of the Hybrid Albumin-Decorated NLC-SambucusN on the Apoptosis Process


2.5.4. Influence of NLC-SambucusN and NLC-SambucusN-BSA on the Cell Cycles of Normal and Tumour Cells


3. Materials and Methods
3.1. Materials
3.2. Preparation of Conventional and Hybrid BSA-Decorated Nanostructured Lipid Carriers
3.3. Cell Cultures and Treatments
3.4. Characterisation Methods
3.4.1. Characterisation of Sambucus nigra Extract
3.4.2. Particle Size and Polydispersity Index
3.4.3. Zeta Potential Measurements
3.4.4. Spectroscopic Characterisation (ATR-FTIR)
3.4.5. Fluorescence Assay
3.4.6. Entrapment Efficiency
3.4.7. ABTS-Scavenging Activity
3.4.8. Real-Time Cell Analysis (RTCA)
3.4.9. Cytotoxicity Assay (MTS)
3.4.10. Apoptosis Assay Performed Using Flow Cytometry
3.4.11. Cell Cycle Analysis
3.4.12. Statistical Analysis
4. Conclusions
Author Contributions
Funding
Institutional Review Board Statement
Informed Consent Statement
Data Availability Statement
Conflicts of Interest
References
- Kudarha, R.R.; Sawant, K.K. Albumin based versatile multifunctional nanocarriers for cancer therapy: Fabrication, surface modification, multimodal therapeutics and imaging approaches. Mater. Sci. Eng. C 2017, 81, 607–626. [Google Scholar] [CrossRef] [PubMed]
- Patel, A.; Redingerd, N.; Richter, A.; Woods, A.; Neumann, P.R.; Keegan, G.; Childerhouse, N.; Imming, P.; Schaible, U.E.; Forbesa, B.; et al. In vitro and in vivo antitubercular activity of benzothiazinone-loaded human serum albumin nanocarriers designed for inhalation. J. Control. Release 2020, 328, 339–349. [Google Scholar] [CrossRef] [PubMed]
- Liang, X.; Mu, M.; Chen, B.; Chuan, D.; Zhao, N.; Fan, R.; Tang, X.; Chen, H.; Han, B.; Guo, G. BSA-assisted synthesis of nanoreactors with dual pH and glutathione responses for ferroptosis and photodynamic synergistic therapy of colorectal cancer. Mater. Today Adv. 2022, 16, 100308. [Google Scholar] [CrossRef]
- Lei, C.; Liu, X.R.; Chen, Q.B.; Li, Y.; Li Zhou, J.; Zhou, L.Y.; Zou, T. Hyaluronic acid and albumin-based nanoparticles for drug delivery. J. Control. Release 2021, 331, 416–433. [Google Scholar] [CrossRef]
- Cao, H.; Zou, L.; He, B.; Zeng, L.; Huang, Y.; Yu, H.; Zhang, P.; Yin, Q.; Zhang, Z.; Li, Y. Albumin biomimetic nanocorona improves tumor targeting and penetration for synergistic therapy of metastatic breast cancer. Adv. Funct. Mater. 2017, 27, 1605679. [Google Scholar] [CrossRef]
- Lin, T.; Zhao, P.; Jiang, Y.; Tang, Y.; Jin, H.; Pan, Z.; He, H.; Yang, V.C.; Huang, Y. Blood-brain-barrier-penetrating albumin nanoparticles for biomimetic drug delivery via albumin-binding protein pathways for antiglioma therapy. ACS Nano 2016, 10, 9999–10012. [Google Scholar] [CrossRef]
- Asrorov, A.M.; Mukhamedov, N.; Kayumov, M.; Yashinov, A.S.; Wali, A.; Yili, A.; Mirzaakhmedov, S.Y.; Huang, Y. Albumin is a reliable drug-delivering molecule: Highlighting points in cancer therapy. Med. Drug Discov. 2024, 22, 100186. [Google Scholar] [CrossRef]
- Radwan, S.E.S.; El-Moslemany, R.M.; Mehann, R.A.; Thabet, E.H.; Abdelfattah, E.Z.A.; El-Kamela, A. Chitosan-coated bovine serum albumin nanoparticles for topical tetrandrine delivery in glaucoma: In vitro and in vivo assessment. Drug Deliv. 2022, 29, 1150–1163. [Google Scholar] [CrossRef]
- Piao, L.; Li, H.; Teng, L.; Yung, B.C.; Sugimoto, Y.; Brueggemeier, R.W.; Lee, R.J. Human serum albumin-coated lipid nanoparticles for delivery of siRNA to breast cancer. Nanomedicine 2013, 9, 122–129. [Google Scholar] [CrossRef]
- Sabzichi, M.; Mohammadian, J.; Asare-Addo, K.; Nokhodchi, A. Surface functionalization of lipidic core nanoparticles with albumin: A great opportunity for quinacrine in lung cancer therapy. J. Drug Deliv. Technol. 2022, 75, 103632. [Google Scholar] [CrossRef]
- Gao, Y.; Li, J.; Huang, D.; Huang, S.; Li, H.; Tong, H.; Shi, J.; Yin, Z.; Xia, B. Multifunctional bovine serum albumin-based nanocarriers with endosomal escaping and NIR light-controlled release to overcome multidrug resistance of breast cancer cells. J. Drug Deliv. Technol. 2022, 77, 103869. [Google Scholar] [CrossRef]
- Ghadi, R.; Pandey, P.K.; Gabhale, A.; Wadikar, A.; Dharshini, M.; Kuche, K.; Date, T.; Jain, S. Genipin-crosslinked albumin nanoparticles containing neratinib and silibinin: A dual-death therapy for triple negative breast cancer. Int. J. Pharm. 2023, 648, 123570. [Google Scholar] [CrossRef] [PubMed]
- Marcelino, H.R.; Solgadi, A.; Cheron, M.; Tabosa do Egito, E.S.; Ponchel, G. Exploring the permeability of Amphotericin B through serum albumin dispersions and lipid nanocarriers for oral delivery. Int. J. Pharm. 2023, 646, 123444. [Google Scholar] [CrossRef] [PubMed]
- Yaghmur, A.; Østergaard, J.; Mu, H. Lipid nanoparticles for targeted delivery of anticancer therapeutics: Recent advances in development of siRNA and lipoprotein-mimicking nanocarriers. Adv. Drug Deliv. Rev. 2023, 203, 115136. [Google Scholar] [CrossRef]
- Haddadzadegan, S.; Dorkoosh, F.; Bernkop-Schnürch, A. Oral delivery of therapeutic peptides and proteins: Technology landscape of lipid-based nanocarriers. Adv. Drug Deliv. Rev. 2022, 182, 114097. [Google Scholar] [CrossRef]
- Wang, W.; Huang, Z.; Li, Y.; Wang, W.; Shi, J.; Fu, F.; Huang, Y.; Pan, X.; Wu, C. Impact of particle size and pH on protein corona formation of solid lipid nanoparticles: A proof-of-concept study. Acta Pharm. Sin. B 2021, 11, 1030–1046. [Google Scholar] [CrossRef]
- Tincu, R.; Mihaila, M.; Bostan, M.; Teodorescu, F.; Istrati, D.; Badea, N.; Lacatusu, I. Novel bovine serum albumin decorated–nanostructured lipid carriers able to modulate apoptosis and cell cycle response in ovarian, breast, and colon tumoral cells. Pharmaceutics 2023, 15, 1125. [Google Scholar] [CrossRef]
- Kovács, A.N.; Katona, G.; Juhász, Á.; Balogh, G.T.; Csapó, E. Albumin-hyaluronic acid colloidal nanocarriers: Effect of human and bovine serum albumin for intestinal ibuprofen release enhancement. J. Mol. Liq. 2022, 351, 118614. [Google Scholar] [CrossRef]
- Alexander, A.; Ajazuddin; Patel, R.J.; Saraf, S.; Saraf, S. Recent expansion of pharmaceutical nanotechnologies and targeting strategies in the field of phytopharmaceuticals for the delivery of herbal extracts and bioactives. J. Control. Release 2016, 241, 110–124. [Google Scholar] [CrossRef]
- Lacatusu, I.; Iordache, T.A.; Mihaila, M.; Mihaiescu, D.E.; Pop, A.L.; Badea, N. Multifaceted role of dual herbal principles loaded-lipid nanocarriers in providing high therapeutic efficacy. Pharmaceutics 2021, 13, 1511. [Google Scholar] [CrossRef]
- Mansi, K.; Kumar, R.; Jindal, N.; Singh, K. Biocompatible nanocarriers: An emerging platform for augmenting the antiviral attributes of bioactive polyphenols: A review. J. Drug Deliv. Technol. 2023, 81, 104269. [Google Scholar] [CrossRef]
- Lacatusu, I.; Badea, N.; Udeanu, D.; Coc, L.; Pop, A.; Cioates Negut, C.; Tanase, C.; Stan, R.; Meghea, A. Improved anti-obesity effect of herbal active and endogenous lipids co-loaded lipid nanocarriers: Preparation, in vitro and in vivo evaluation. Mater. Sci. Eng. C 2019, 99, 12–24. [Google Scholar] [CrossRef] [PubMed]
- Lacatusu, I.; Badea, N.; Badea, G.; Brasoveanu, L.; Stan, R.; Ott, C.; Oprea, O.; Meghea, A. Ivy leaves extract-based lipid nanocarriers and their bioefficacy on antioxidant and antitumor activities. RSC Adv. 2016, 6, 77243–77255. [Google Scholar] [CrossRef]
- Lacatusu, I.; Istrati, D.; Bordei, N.; Popescu, M.; Seciu, A.M.; Panteli, L.M.; Badea, N. Synergism of plant extract and vegetable oils-based lipid nanocarriers: Emerging trends in development of advanced cosmetic prototype products. Mater. Sci. Eng. C 2020, 108, 110412. [Google Scholar] [CrossRef] [PubMed]
- Młynarczyk, K.; Walkowiak-Tomczak, D.; Łysiak, G.P. Bioactive properties of Sambucus nigra L. as a functional ingredient for food and pharmaceutical industry. J. Funct. Foods 2018, 40, 377–390. [Google Scholar] [CrossRef]
- Dominguez, R.; Pateiro, M.; Munekata, P.E.S.; Santos López, E.M.; Rodriguez, J.A.; Barros, L.; Lorenzo, J.M. Potential use of elderberry (Sambucus nigra L.) as natural colorant and antioxidant in the food industry: A review. Foods 2021, 10, 2713. [Google Scholar] [CrossRef]
- Kinoshita, E.; Hayashi, K.; Katayama, H.; Hayashi, T.; Obata, A. Anti-influenza virus effects of elderberry juice and its fractions. Biosci. Biotechnol. Biochem. 2012, 76, 1633–1638. [Google Scholar] [CrossRef]
- Salvador, A.C.; Król, E.; Lemos, V.C.; Santos, S.A.O.; Bento, F.P.M.S.; Costa, C.P.; Almeida, A.; Szczepankiewicz, D.; Kulczyński, B.; Krejpcio, Z.; et al. Effect of elderberry (Sambucus nigra L.) extract supplementation in STZ-induced diabetic rats fed with a high-fat diet. Int. J. Mol. Sci. 2017, 18, 13. [Google Scholar] [CrossRef]
- Mahmoudi, M.; Ebrahimzadeh, M.A.; Dooshan, A.; Arimi, A.; Ghasemi, N.; Fathiazad, F. Antidepressant activities of Sambucus ebulus and Sambucus nigra. Eur. Rev. Med. Pharmacol. Sci. 2014, 18, 3350–3353. [Google Scholar]
- Thole, J.M.; Burns, T.F.; Kraft, L.A.; Sueiro, Y.H.; Kang, J.J.; Gills, J.J.; Cuendet, M.; Pezzuto, J.M.; Seigler, D.S.; Lila, M.A. A comparative evaluation of the anticancer properties of European and American elderberry fruits. J. Med. Food 2006, 9, 498–504. [Google Scholar] [CrossRef]
- Reyes-Farias, M.; Carrasco-Pozo, C. The anti-cancer effect of quercetin: Molecular implications in cancer metabolism. Int. J. Mol. Sci. 2019, 20, 3177. [Google Scholar] [CrossRef] [PubMed]
- Pham, H.N.T.; Sakoff, J.A.; Vuong, Q.V.; Bowyer, M.C.; Scarlett, C.J. Comparative cytotoxic activity between kaempferol and gallic acid against various cancer cell lines. Data Brief. 2018, 21, 1033–1103. [Google Scholar] [CrossRef] [PubMed]
- Huang, S.; Wang, L.-L.; Xue, N.-N.; Li, C.; Guo, H.-H.; Ren, T.-K.; Zhan, Y.; Li, W.-B.; Zhang, J.; Chen, X.-G.; et al. Chlorogenic acid effectively treats cancers through induction of cancer cell differentiation. Theranostics 2019, 9, 6745–6763. [Google Scholar] [CrossRef] [PubMed]
- Banach, M.; Khaidakov, B.; Korewo, D.; Wesierska, M.; Cyplik, W.; Kujawa, J.; Ahrné, L.M.; Kujawski, W. The chemical and cytotoxic properties of Sambucus nigra extracts—A natural food colorant. Sustainability 2021, 13, 12702. [Google Scholar] [CrossRef]
- Pereira, D.I.; Amparo, T.R.; Almeida, T.C.; Costa, F.S.F.; Brandão, G.C.; dos Santos, O.D.H.; da Silva, G.N.; Bianco de Souza, G.H. Cytotoxic activity of butanolic extract from Sambucus nigra L. flowers in natura and vehiculated in micelles in bladder cancer cells and fibroblasts. Nat. Prod. Res. 2020, 36, 1100–1104. [Google Scholar] [CrossRef]
- Liu, W.; Xu, J.; Wu, S.; Liu, Y.; Yu, X.; Chen, J.; Tang, X.; Wang, Z.; Zhu, X.; Li, X. Selective anti-proliferation of HER2-positive breast cancer cells by anthocyanins identified by high-throughput screening. PLoS ONE 2013, 8, e81586. [Google Scholar] [CrossRef]
- Wang, F.; Wang, L.; Qu, C.; Chen, L.; Geng, Y.; Cheng, C.; Yu, S.; Wang, D.; Yang, L.; Meng, Z.; et al. Kaempferol induces ROS-dependent apoptosis in pancreatic cancer cells via TGM2-mediated Akt/MTOR signaling. BMC Cancer 2021, 21, 396. [Google Scholar] [CrossRef]
- Glensk, M.; Czapínska, E.; Wózniak, M.; Ceremuga, I.; Wlodarczyk, M.; Terlecki, G.; Ziólkowski, P.; Seweryn, E. Triterpenoid acids as important antiproliferative constituents of European elderberry fruits. Nutr. Cancer 2017, 69, 643–651. [Google Scholar] [CrossRef]
- Khan, K.; Javed, Z.; Sadia, H.; Sharifi-Rad, J.; Cho, W.C.; Luparello, C. Quercetin and microRNA interplay in apoptosis regulation in ovarian cancer. Curr. Pharm. Des. 2020, 27, 2328–2336. [Google Scholar] [CrossRef]
- Ward, A.B.; Mir, H.; Kapur, N.; Gales, D.N.; Carriere, P.P.; Singh, S. Quercetin inhibits prostate cancer by attenuating cell survival and inhibiting anti-apoptotic pathways. World J. Surg. Oncol. 2018, 16, 108. [Google Scholar] [CrossRef]
- Del Bianco-Rondeau, M.; Robert-Halabi, M.; Bloom, S.; Rabasa-Lhoret, R.; Tardif, J.-C.; Lordkipanidzé, M.; Marquis-Gravel, G. Aspirin for primary cardiovascular prevention in patients with diabetes: Uncertainties and opportunities. Thromb. Haemost. 2022, 122, 1443–1453. [Google Scholar] [CrossRef] [PubMed]
- Wang, L.; Pan, X.; Jiang, L.; Chu, Y.; Gao, S.; Jiang, X.; Zhang, Y.; Chen, Y.; Luo, S.; Peng, C. The biological activity mechanism of chlorogenic acid and its applications in food industry: A review. Front. Nutr. 2022, 9, 943911. [Google Scholar] [CrossRef]
- Zhu, S.; Liu, C.; Wang, S.; Zhang, Q.; Zhao, J.; Song, L. Chlorogenic acid induces apoptosis, inhibits metastasis and improves antitumor immunity in breast cancer via the NF-KB signaling pathway. Oncol. Rep. 2021, 45, 717–727. [Google Scholar]
- Ren, Y.; Meyer, G.; Anderson, A.T.; Lauber, K.M.; Gallucci, J.C.; Gao, G.; Kinghorn, A.D. Development of potential therapeutic agents from black elderberries (the Fruits of Sambucus nigra L.). Molecules 2024, 29, 2971. [Google Scholar] [CrossRef] [PubMed]
- Mendes, D.; Valentão, P.; Oliveira, M.; Andrade, P.; Videira, R.A. A nanophytosomes formulation based on elderberry anthocyanins and Codium lipids to mitigate mitochondrial dysfunctions. Biomed. Pharmacother. 2021, 143, 112157. [Google Scholar] [CrossRef]
- Xia, M.; Li, M.; Pinheiro de Souza, T.S.; Barrow, C.; Dunshea, F.R.; Suleria, H.A.R. LC-ESI-QTOF-MS2 characterization of phenolic compounds in different lentil (Lens culinaris M.) samples and their antioxidant capacity. Front. Biosci. 2023, 28, 44. [Google Scholar] [CrossRef]
- Qazimi, B.; Stanoeva, J.P.; Cvetanoska, M.; Geskovski, N.; Dragusha, S.; Koraqi, H.; Qazimi, V.; Ejup, V. Phenolic compound composition of Sambucus nigra L. wild-growing plants from Kosovo. Turk. J. Pharm. Sci. 2023, 20, 380–389. [Google Scholar] [CrossRef]
- Tzima, K.; Putsakum, G.; Rai, D.K. Antioxidant guided fractionation of blackberry polyphenols shows synergistic role of catechins and ellagitannins. Molecules 2023, 28, 1933. [Google Scholar] [CrossRef]
- Ma, C.; Dunshea, F.R.; Suleria, H.A.R. LC-ESI-QTOF/MS characterization of phenolic compounds in palm fruits (Jelly and Fishtail Palm) and their potential antioxidant activities. Antioxidants 2019, 8, 483. [Google Scholar] [CrossRef]
- Ali, A.; Wu, H.; Ponnampalam, E.N.; Cottrell, J.J.; Dunshea, F.R.; Suleria, H.A.R. Comprehensive profiling of most widely used spices for their phenolic compounds through LC-ESI-QTOF-MS2 and their antioxidant potential. Antioxidants 2021, 10, 721. [Google Scholar] [CrossRef]
- Tang, J.; Dunshea, F.R.; Suleria, H.A.R. LC-ESI-QTOF/MS characterization of phenolic compounds from medicinal plants (Hops and Juniper Berries) and their antioxidant activity. Foods 2020, 9, 7. [Google Scholar] [CrossRef] [PubMed]
- Zhu, Z.; Zhong, B.; Yang, Z.; Zhao, W.; Shi, L.; Aziz, A.; Rauf, A.; Aljohani, A.S.M.; Alhumaydhi, F.A.; Suleria, H.A.R. LC-ESI-QTOF-MS/MS characterization and estimation of the antioxidant potential of phenolic compounds from different parts of the lotus (Nelumbo nucifera) seed and rhizome. ACS Omega 2022, 7, 14630–14642. [Google Scholar] [CrossRef] [PubMed]
- ISO 14502-1; Determination of Substances Characteristic of Green and Black Tea, Part 1: Content of Total Polyphenols in Tea—Colorimetric Method Using Folin-Ciocalteu Reagent, First Edition. International Organization for Standardization: Geneva, Switzerland, 2005.
- Tayeh, N.; Rungassamy, T.; Albani, J.R. Fluorescence spectral resolution of tryptophan residues in bovine and human serum albumins. J. Pharm. Biomed. Anal. 2009, 50, 107–116. [Google Scholar] [CrossRef] [PubMed]
- Nishihira, V.S.K.; Rubim, A.M.; Brondani, M.; dos Santos, J.T.; Pohl, A.R.; Friedrich, J.F.; Dotto de Lara, J.; Nunes, C.M.; Feksa, L.R.; Simão, E.; et al. In vitro and in silico protein corona formation evaluation of curcumin and capsaicin loaded-solid lipid nanoparticles. Toxicol. Vitr. 2019, 61, 104598. [Google Scholar] [CrossRef]
- Yu, X.; Cai, X.; Luo, L.; Wang, J.; Ma, M.; Wang, M.; Zeng, L. Influence of tea polyphenol and bovine serum albumin on tea cream formation by multiple spectroscopy methods and molecular docking. Food Chem. 2020, 333, 127432. [Google Scholar] [CrossRef]
- Das, R.P.; Singh, B.G.; Kunwar, A.; Ramani, M.V.; Subbaraju, G.V.; Hassan, P.A.; Priyadarsini, K.I. Tuning the binding, release and cytotoxicity of hydrophobic drug by Bovine Serum Albumin nanoparticles: Influence of particle size. Colloids Surf. B 2017, 158, 682–688. [Google Scholar] [CrossRef]
- Ngo, V.; Duennwald, M.L. Nrf2 and Oxidative Stress: A General Overview of Mechanisms and Implications in Human Disease. Antioxidants 2022, 11, 2345. [Google Scholar] [CrossRef]
- Yin, Z.; Zheng, T.; Ho, C.-T.; Huang, Q.; Wu, Q.; Zhang, M. Improving the stability and bioavailability of tea polyphenols by encapsulations: A review. Food Sci. Hum. Wellness 2022, 11, 537–556. [Google Scholar] [CrossRef]
- Vujanović, M.; Majkić, T.; Zengin, G.; Beara, I.; Cvetanović, A.; Mahomoodally, M.F.; Radojković, M. Advantages of contemporary extraction techniques for the extraction of bioactive constituents from black elderberry (Sambucus nigra L.) flowers. Ind. Crops Prod. 2019, 136, 93–101. [Google Scholar]
- Wójciak, M.; Ziemlewska, A.; Zagórska-Dziok, I.; Nizioł-Łukaszewska, Z.; Szczepanek, D.; Oniszczuk, T.; Sowa, I. Anti-inflammatory and protective effects of water extract and bioferment from Sambucus nigra fruit in LPS-induced human skin fibroblasts. Int. J. Mol. Sci. 2023, 24, 10286. [Google Scholar] [CrossRef]
- Huguet-Casquero, A.; Moreno-Sastre, M.; López-Méndez, T.B.; Gainza, E.; Pedraz, J.L. Encapsulation of oleuropein in nanostructured lipid carriers: Biocompatibility and antioxidant efficacy in lung epithelial cells. Pharmaceutics 2020, 12, 429. [Google Scholar] [CrossRef] [PubMed]
- Schaich, K.M.; Tian, X.; Xie, J. Hurdles and pitfalls in measuring antioxidant efficacy: A critical evaluation of ABTS, DPPH, and ORAC assays. J. Funct. Foods 2015, 14, 111–125. [Google Scholar] [CrossRef]
- Rohmah, M.; Rahmadi, A.; Raharjo, S. Bioaccessibility and antioxidant activity of β-carotene loaded nanostructured lipid carrier (NLC) from binary mixtures of palm stearin and palm olein. Heliyon 2022, 8, e08913. [Google Scholar] [CrossRef] [PubMed]
- Mihaila, M.; Hotnog, C.M.; Bostan, M.; Munteanu, A.C.; Vacaroiu, I.A.; Brasoveanu, L.I.; Uivarosi, V. Anticancer activity of some ruthenium (III) complexes with quinolone antibiotics: In vitro cytotoxicity, cell cycle modulation, and apoptosis-inducing properties in LoVo colon cancer cell line. Appl. Sci. 2021, 11, 8594–8613. [Google Scholar] [CrossRef]
- Botezatu, A.; Iancu, I.V.; Plesa, A.; Manda, D.; Popa, O.; Bostan, M.; Mihaila, M.; Albulescu, A.; Fudulu, A.; Vladoiu, S.V.; et al. Methylation of tumour suppressor genes associated with thyroid cancer. Cancer Biomark. 2019, 25, 53–65. [Google Scholar] [CrossRef]
- Bostan, M.; Petrica-Matei, G.G.; Ion, G.; Radu, N.; Mihaila, M.; Hainarosie, R.; Brasoveanu, L.I.; Roman, V.; Constantin, C.; Neagu, M.T. Cisplatin effect on head and neck squamous cell carcinoma cells is modulated by ERK1/2 protein kinases. Exp. Ther. Med. 2019, 18, 5041–5051. [Google Scholar] [CrossRef]
- Bostan, M.; Petrica-Matei, G.G.; Radu, N.; Hainarosie, R.; Stefanescu, C.D.; Diaconu, C.C.; Roman, V. The effect of resveratrol or curcumin on head and neck cancer cells sensitivity to the cytotoxic effects of cisplatin. Nutrients 2020, 12, 2596. [Google Scholar] [CrossRef]
- Stecoza, C.E.; Nitulescu, G.M.; Draghici, C.; Caproiu, M.T.; Olaru, O.T.; Bostan, M.; Mihaila, M. Synthesis and anticancer evaluation of new 1,3,4-oxadiazole derivatives. Pharmaceuticals 2021, 14, 438–453. [Google Scholar] [CrossRef]
- Strugała, P.; Loi, S.; Bażanów, B.; Kuropka, P.; Kucharska, A.Z.; Włoch, A.; Gabrielska, J. A comprehensive study on the biological activity of elderberry extract and cyanidin 3-O-glucoside and their interactions with membranes and human serum albumin. Molecules 2018, 23, 2566. [Google Scholar] [CrossRef]
- Wang, X.; Yang, Y.; An, Y.; Fang, G. The Mechanism of anticancer action and potential clinical use of kaempferol in the treatment of breast cancer. Biomed. Pharmacother. 2019, 117, 109086. [Google Scholar] [CrossRef]
- Khorsandi, L.; Orazizadeh, M.; Niazvand, F.; Abbaspour, M.R.; Mansouri, E.; Khodadadi, A. Quercetin induces apoptosis and necroptosis in MCF-7 breast cancer cells. Bratisl. Med. J. 2017, 118, 123–128. [Google Scholar] [CrossRef] [PubMed]
- Stępień, A.E.; Trojniak, J.; Tabarkiewicz, J. Health-promoting properties: Anti-inflammatory and anticancer properties of Sambucus nigra L. flowers and fruits. Molecules 2023, 28, 6235. [Google Scholar] [CrossRef] [PubMed]
- Ma, X.; Ning, S. Cyanidin-3-glucoside attenuates the angiogenesis of breast cancer via inhibiting STAT3/VEGF pathway. Phytother. Res. 2019, 33, 81–89. [Google Scholar] [CrossRef] [PubMed]
- Jablonská, E.; Kubásek, J.; Vojtěch, D.; Ruml, T.; Lipov, J. Test conditions can significantly affect the results of in vitro cytotoxicity testing of degradable metallic biomaterials. Sci. Rep. 2021, 11, 6628. [Google Scholar] [CrossRef]
- Russo, A.; Formisano, C.; Rigano, D.; Senatore, F.; Delfine, S.; Cardile, V.; Rosselli, S.; Bruno, M. Chemical composition and anti-cancer activity of essential oils of Mediterranean sage (Salvia officinalis L.) grown in different environmental conditions. Food Chem. Toxicol. 2013, 55, 42–47. [Google Scholar] [CrossRef]
- Filip, G.A.; Florea, A.; Olteanu, D.; Clichici, S.; David, L.; Moldovan, B.; Cenariu, M.; Scrobota, I.; Potara, M.; Baldea, I. Biosynthesis of silver nanoparticles using Sambucus nigra L. fruit extract for targeting cell death in oral dysplastic cells. Mater. Sci. Eng. C 2021, 123, 111974. [Google Scholar] [CrossRef]
- Sibuyi, N.R.S.; Thipe, V.C.; Panjtan-Amiri, K.; Meyer, M.; Katti, K.V. Green synthesis of gold nanoparticles using Acai berry and Elderberry extracts and investigation of their effect on prostate and pancreatic cancer cells. Nanobiomedicine 2021, 8, 1849543521995310. [Google Scholar] [CrossRef]
- Tincu, C.-E.; Andritoiu, C.V.; Popa, M.; Ochiuz, L. Recent advancements and strategies for overcoming the blood-brain barrier using albumin-based drug delivery systems to treat brain cancer, with a focus on glioblastoma. Polymers 2023, 15, 3969. [Google Scholar] [CrossRef]
- Taguchi, K.; Okamoto, Y.; Matsumoto, K.; Otagiri, M.; Chuang, V.T.G. When albumin meets liposomes: A feasible drug carrier for biomedical applications. Pharmaceuticals 2021, 14, 296. [Google Scholar] [CrossRef]
- Ion, S.; Olanescu, F.; Teodorescu, F.; Tincu, R.; Gheorghe, D.; Pârvulescu, V.I.; Tudorache, M. DES-Based biocatalysis as a green alternative for the L-menthyl ester production based on L-menthol acylation. Molecules 2022, 27, 5273. [Google Scholar] [CrossRef]
- Lacatusu, I.; Badea, G.; Popescu, M.; Bordei, N.; Istrati, D.; Moldovan, L.; Seciu, A.M.; Pandeli, M.I.; Rasit, I.; Badea, N. Marigold extract, azelaic acid and black caraway oil into lipid nanocarriers provides a strong anti-inflammatory effect in vivo. Ind. Crops Prod. 2017, 109, 141–150. [Google Scholar] [CrossRef]
- Niculae, G.; Lacatusu, I.; Badea, N.; Oprea, O.; Meghea, A. Optimization of lipid nanoparticles composition for sunscreen encapsulation. U.P.B. Sci. Bull. Ser. B 2013, 75, 79–92. [Google Scholar]





Disclaimer/Publisher’s Note: The statements, opinions and data contained in all publications are solely those of the individual author(s) and contributor(s) and not of MDPI and/or the editor(s). MDPI and/or the editor(s) disclaim responsibility for any injury to people or property resulting from any ideas, methods, instructions or products referred to in the content. |
© 2024 by the authors. Licensee MDPI, Basel, Switzerland. This article is an open access article distributed under the terms and conditions of the Creative Commons Attribution (CC BY) license (https://creativecommons.org/licenses/by/4.0/).
Share and Cite
Tincu, R.; Mihaila, M.; Bostan, M.; Istrati, D.; Badea, N.; Lacatusu, I. Hybrid Albumin-Decorated Lipid-Nanocarrier-Mediated Delivery of Polyphenol-Rich Sambucus nigra L. in a Potential Multiple Antitumoural Therapy. Int. J. Mol. Sci. 2024, 25, 11206. https://doi.org/10.3390/ijms252011206
Tincu R, Mihaila M, Bostan M, Istrati D, Badea N, Lacatusu I. Hybrid Albumin-Decorated Lipid-Nanocarrier-Mediated Delivery of Polyphenol-Rich Sambucus nigra L. in a Potential Multiple Antitumoural Therapy. International Journal of Molecular Sciences. 2024; 25(20):11206. https://doi.org/10.3390/ijms252011206
Chicago/Turabian StyleTincu, Robert, Mirela Mihaila, Marinela Bostan, Daniela Istrati, Nicoleta Badea, and Ioana Lacatusu. 2024. "Hybrid Albumin-Decorated Lipid-Nanocarrier-Mediated Delivery of Polyphenol-Rich Sambucus nigra L. in a Potential Multiple Antitumoural Therapy" International Journal of Molecular Sciences 25, no. 20: 11206. https://doi.org/10.3390/ijms252011206
APA StyleTincu, R., Mihaila, M., Bostan, M., Istrati, D., Badea, N., & Lacatusu, I. (2024). Hybrid Albumin-Decorated Lipid-Nanocarrier-Mediated Delivery of Polyphenol-Rich Sambucus nigra L. in a Potential Multiple Antitumoural Therapy. International Journal of Molecular Sciences, 25(20), 11206. https://doi.org/10.3390/ijms252011206

