Inhibitory Effects of New Epicatechin Oligomers on Nitric Oxide Production
Abstract
1. Introduction
2. Results and Discussion
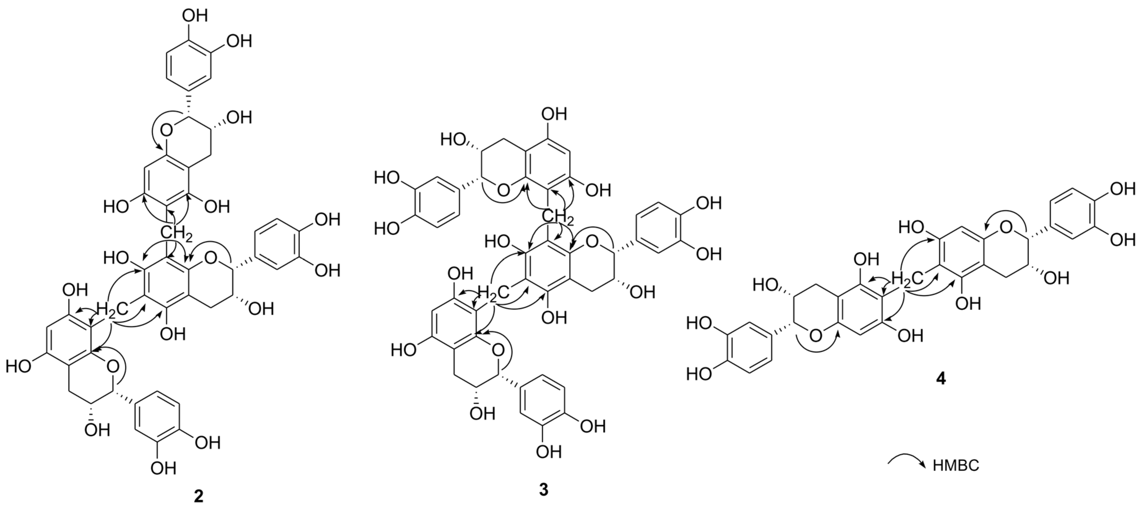
2.1. Isolation and Characterization of New Procyanidins
2.2. Inhibitory Activities on NO Production and iNOS Expression
3. Materials and Methods
3.1. Chemicals and Instruments
3.2. Sample Preparation and Isolation Procedure
3.3. Cell Culture
3.4. Cell Viability Assay
3.5. Measurement of Nitric Oxide Production
3.6. Western Blot Analysis
3.7. Statistical Analysis
4. Conclusions
Supplementary Materials
Author Contributions
Funding
Institutional Review Board Statement
Informed Consent Statement
Data Availability Statement
Conflicts of Interest
References
- Nathan, C.; Ding, A. Nonresolving Inflammation. Cell 2010, 140, 871–882. [Google Scholar] [CrossRef] [PubMed]
- Lyons, C.R. The Role of Nitric Oxide in Inflammation. Adv. Immunol. 1995, 60, 323–371. [Google Scholar] [PubMed]
- Laroux, F.S.; Pavlick, K.P.; Hines, I.N.; Kawachi, S.; Harada, H.; Bharwani, S.; Hoffman, J.M.; Grisham, M.B. Role of Nitric Oxide in Inflammation. Acta Physiol. Scand. 2001, 173, 113–118. [Google Scholar] [CrossRef] [PubMed]
- Suschek, C.V.; Schnorr, O.; Kolb-Bachofen, V. The Role of iNOS in Chronic Inflammatory Processes In Vivo: Is it Damage-Promoting, Protective, or Active at all? Curr. Mol. Med. 2004, 4, 763–775. [Google Scholar] [CrossRef]
- Borges, G.; Ottaviani, J.I.; van der Hooft, J.J.J.; Schroeter, H.; Crozier, A. Absorption, Metabolism, Distribution and Excretion of (−)-Epicatechin: A Review of Recent Findings. Mol. Aspects Med. 2018, 61, 18–30. [Google Scholar] [CrossRef]
- Bernatova, I. Biological Activities of (−)-Epicatechin and (−)-Epicatechin-Containing Foods: Focus on Cardiovascular and Neuropsychological Health. Biotechnol. Adv. 2018, 36, 666–681. [Google Scholar] [CrossRef]
- Qu, Z.; Liu, A.; Li, P.; Liu, C.; Xiao, W.; Huang, J.; Liu, Z. Advances in Physiological Functions and Mechanisms of (−)-Epicatechin. Crit. Rev. Food Sci. Nutr. 2020, 61, 211–233. [Google Scholar] [CrossRef]
- Dehn, S.; Chapman, R.; Jolliffe, K.A.; Perrier, S. Synthetic Strategies for the Design of Peptide/Polymer Conjugates. Polym. Rev. 2011, 51, 214–234. [Google Scholar] [CrossRef]
- Carocho, M.; Ferreira, I.C.F.R. A Review on Antioxidants, Prooxidants and Related Controversy: Natural and Synthetic Compounds, Screening and Analysis Methodologies and Future Perspectives. Food Chem. Toxicol. 2013, 51, 15–25. [Google Scholar] [CrossRef]
- Dharini, M.; Jaspin, S.; Mahendran, R. Cold plasma reactive species: Generation, properties, and interaction with food biomolecules. Food Chem. 2023, 405, 134746. [Google Scholar] [CrossRef]
- Choi, S.H.; Jeong, G.H.; Lee, K.-B.; Jo, C.; Kim, T.H. A Green Chemical Oligomerization of Phloroglucinol Induced by Plasma as Novel α-Glucosidase Inhibitors. Biosci. Biotechnol. Biochem. 2018, 82, 2059–2063. [Google Scholar] [CrossRef] [PubMed]
- Jeong, G.H.; Park, E.K.; Kim, T.H. Anti-Diabetic Effects of Trans-Resveratrol Byproducts Induced by Plasma Treatment. Food Res. Int. 2019, 119, 119–125. [Google Scholar] [CrossRef]
- Jeong, G.H.; Park, S.; Kim, S.B.; Jo, C.; Kim, T.H. Molecular hybridization based on (−)-epigallocatechin gallate as a new class of antiglycation agents. Biosci. Biotechnol. Biochem. 2021, 85, 1069–1076. [Google Scholar] [CrossRef] [PubMed]
- Su, C.T.; Singleton, V.L. Identification of Three Flavan-3-ols from Grapes. Phytochemistry 1969, 8, 1553–1558. [Google Scholar]
- Berregi, I.; Santos, J.I.; Del Campo, G.; Miranda, J.I. Quantitative Determination of (−)-Epicatechin in Cider Apple Juices by 1H NMR. Talanta 2003, 61, 139–145. [Google Scholar] [CrossRef] [PubMed]
- Slade, D.; Ferreira, D.; Marais, J.P.J. Circular Dichroism, a Powerful Tool for the Assessment of Absolute Configuration of Flavonoids. Phytochemistry 2005, 66, 2177–2215. [Google Scholar] [CrossRef]
- Hwang, T.-H.; Kashiwada, Y.; Nonaka, G.-I.; Nishioka, I. 4-Carboxymethyl Flavan-3-ols and Procyanidins from Davallia divaricata. Phytochemistry 1990, 29, 279–282. [Google Scholar] [CrossRef]
- Ma, Q.; Xie, H.; Li, S.; Zhang, R.; Zhang, M.; Wei, X. Flavonoids from the Pericarps of Litchi chinensis. J. Agric. Food Chem. 2014, 62, 1073–1078. [Google Scholar] [CrossRef]
- Meng, X.H.; Liu, C.; Fan, R.; Zhu, L.-F.; Yang, S.-X.; Zhu, H.-T.; Wang, D.; Yang, C.-R.; Zhang, Y.-J. Antioxidative Flavan-3-ol Dimers from the Leaves of Camellia fangchengensis. J. Agric. Food Chem. 2018, 66, 247–254. [Google Scholar] [CrossRef]
- Giustarini, D.; Rossi, R.; Milzani, A.; Dalle-Donne, I. Nitrite and Nitrate Measurement by Griess Reagent in Human Plasma: Evaluation of Interferences and Standardization. Methods Enzymol. 2008, 440, 361–380. [Google Scholar]
- Ciapetti, G.; Cenni, E.; Pratelli, L.; Pizzoferrato, A. In Vitro Evaluation of Cell/Biomaterial Interaction by MTT Assay. Biomaterials 1993, 14, 359–364. [Google Scholar] [CrossRef]





| 2 | 3 | 4 | |||||
|---|---|---|---|---|---|---|---|
| Position | δH (J in Hz) 2 | δC, Type 3 | δH (J in Hz) 2 | δC, Type 3 | δH (J in Hz) 2 | δC, Type 3 | |
| C | 2 | 4.71 (br s) | 80.3, CH | 4.95 (br s) | 81.5, CH | 4.78 (br s) | 79.9, CH |
| 3 | 4.05 (m) | 67.2, CH | 4.15 (m) | 67.1, CH | 4.15 (m) | 67.5, CH | |
| 4 | 2.78 (dd, 16.8, 4.2) 2.62 (dd, 16.8, 3.0) | 29.3, CH2 | 2.84 (dd, 16.2, 4.2) 2.74 (dd, 16.2, 3.0) | 29.6, CH2 | 2.88 (dd, 16.8, 4.8) 2.75 (dd, 16.8, 3.0) | 29.7, CH2 | |
| A | 4a | ― | 100.6, C | ― | 102.1, C | ― | 101.6, C |
| 5 | ― | 155.2, C | ― | 154.4, C | ― | 155.4, C | |
| 6 | ― | 106.5, C | 5.96 (s) | 96.6, CH | ― | 108.2, C | |
| 7 | ― | 155.8, C | ― | 151.4, C | ― | 153.7, C | |
| 8 | 5.93 (s) | 96.7, CH | ― | 106.3, C | 6.04 (s) | 96.0, CH | |
| 8a | ― | 153.8, C | ― | 155.2, C | ― | 155.3, C | |
| 9 | 3.79 (d, 15.6) 3.72 (d, 15.6) | 17.1, CH2 | 3.79 (s) | 17.9, CH2 | 3.74 (s) | 17.8, CH2 | |
| B | 1′ | ― | 131.7, C | ― | 131.0, C | ― | 132.2, C |
| 2′ | 6.96 (br s) | 115.4, CH | 7.04 (d, 1.8) | 115.6, CH | 6.94 (d, 2.4) | 115.3, CH | |
| 3′ | ― | 145.7, C | ― | 146.4, C | ― | 145.8, C | |
| 4′ | ― | 146.0, C | ― | 145.9, C | ― | 145.9, C | |
| 5′ | 6.69 (d, 8.4) | 116.0, CH | 6.78 (d, 8.4) | 116.1, CH | 6.74 (d, 7.8) | 115.9, CH | |
| 6′ | 6.65 (dd, 8.4, 1.8) | 119.7, CH | 6.91 (dd, 8.4, 1.8) | 120.1, CH | 6.77 (dd, 7.8, 2.4) | 119.4, CH | |
| F | 2 | 4.57 (br s) | 80.1, CH | 5.00 (br s) | 81.7, CH | 4.78 (br s) | 79.9, CH |
| 3 | 4.10 (m) | 66.9, CH | 4.20 (m) | 67.0, CH | 4.15 (m) | 67.5, CH | |
| 4 | 2.68 (dd, 16.8, 4.2) 2.60 (dd, 16.8, 3.0) | 29.2, CH2 | 2.90 (dd, 16.2, 4.2) 2.80 (dd, 16.2, 3.0) | 29.5, CH2 | 2.88 (dd, 16.8, 4.8) 2.75 (dd, 16.8, 3.0) | 29.7, CH2 | |
| D | 4a | ― | 101.6, C | ― | 101.1, C | ― | 101.6, C |
| 5 | ― | 151.8, C | ― | 155.4, C | ― | 155.4, C | |
| 6 | ― | 107.4, C | ― | 108.0, C | ― | 108.2, C | |
| 7 | ― | 153.3, C | ― | 155.3, C | ― | 153.7, C | |
| 8 | ― | 108.2, C | ― | 109.1, C | 6.04 (s) | 96.0, CH | |
| 8a | ― | 152.0, C | ― | 151.3, C | ― | 155.3, C | |
| 10 | 3.96 (d, 15.6) 3.89 (d, 15.6) | 17.7, CH2 | 3.75 (d, 15.6) 3.71 (d, 15.6) | 17.8, CH2 | ― | ― | |
| E | 1′ | ― | 131.9, C | ― | 130.9, C | ― | 132.2, C |
| 2′ | 6.86 (br s) | 115.3, CH | 7.10 (d, 1.8) | 115.7, CH | 6.94 (d, 2.4) | 115.3, CH | |
| 3′ | ― | 145.8, C | ― | 146.2, C | ― | 145.8, C | |
| 4′ | ― | 146.1, C | ― | 145.8, C | ― | 145.9, C | |
| 5′ | 6.71 (br s) | 115.9, CH | 6.82 (d, 8.4) | 116.2, CH | 6.74 (d, 7.8) | 115.9, CH | |
| 6′ | 6.72 (br s) | 119.6, CH | 6.87 (dd, 8.4, 1.8) | 120.0, CH | 6.77 (dd, 7.8, 2.4) | 119.4, CH | |
| I | 2 | 4.91 (br s) | 81.2, CH | 4.75 (br s) | 79.8, CH | ||
| 3 | 4.19 (m) | 66.8, CH | 4.12 (m) | 67.5, CH | |||
| 4 | 2.86 (dd, 16.8, 4.2) 2.79 (dd, 16.8, 3.0) | 29.1, CH2 | 2.78 (dd, 16.2, 4.8) 2.70 (dd, 16.2, 3.0) | 29.7, CH2 | |||
| G | 4a | ― | 100.7, C | ― | 101.5, C | ||
| 5 | ― | 154.9, C | ― | 153.8, C | |||
| 6 | 6.03 (s) | 97.2, CH | 6.08 (s) | 97.1, CH | |||
| 7 | ― | 153.0, C | ― | 153.3, C | |||
| 8 | ― | 106.7, C | ― | 107.5, C | |||
| 8a | ― | 156.2, C | ― | 156.4, C | |||
| H | 1′ | ― | 131.1, C | ― | 132.3, C | ||
| 2′ | 7.05 (d, 1.8) | 115.6, CH | 6.92 (d, 1.8) | 115.3, CH | |||
| 3′ | ― | 145.9, C | ― | 146.5, C | |||
| 4′ | ― | 146.2, C | ― | 146.1, C | |||
| 5′ | 6.78 (d, 7.8) | 116.1, CH | 6.72 (d, 8.4) | 115.9, CH | |||
| 6′ | 6.85 (dd, 7.8, 1.8) | 119.8, CH | 6.75 (d, 8.4, 1.8) | 119.4, CH | |||
Disclaimer/Publisher’s Note: The statements, opinions and data contained in all publications are solely those of the individual author(s) and contributor(s) and not of MDPI and/or the editor(s). MDPI and/or the editor(s) disclaim responsibility for any injury to people or property resulting from any ideas, methods, instructions or products referred to in the content. |
© 2024 by the authors. Licensee MDPI, Basel, Switzerland. This article is an open access article distributed under the terms and conditions of the Creative Commons Attribution (CC BY) license (https://creativecommons.org/licenses/by/4.0/).
Share and Cite
Jeong, G.H.; Lee, H.; Chung, B.Y.; Bai, H.-W. Inhibitory Effects of New Epicatechin Oligomers on Nitric Oxide Production. Int. J. Mol. Sci. 2024, 25, 11022. https://doi.org/10.3390/ijms252011022
Jeong GH, Lee H, Chung BY, Bai H-W. Inhibitory Effects of New Epicatechin Oligomers on Nitric Oxide Production. International Journal of Molecular Sciences. 2024; 25(20):11022. https://doi.org/10.3390/ijms252011022
Chicago/Turabian StyleJeong, Gyeong Han, Hanui Lee, Byung Yeoup Chung, and Hyoung-Woo Bai. 2024. "Inhibitory Effects of New Epicatechin Oligomers on Nitric Oxide Production" International Journal of Molecular Sciences 25, no. 20: 11022. https://doi.org/10.3390/ijms252011022
APA StyleJeong, G. H., Lee, H., Chung, B. Y., & Bai, H.-W. (2024). Inhibitory Effects of New Epicatechin Oligomers on Nitric Oxide Production. International Journal of Molecular Sciences, 25(20), 11022. https://doi.org/10.3390/ijms252011022

