α-L-Fucosidases from an Alpaca Faeces Metagenome: Characterisation of Hydrolytic and Transfucosylation Potential
Abstract
1. Introduction
2. Results and Discussion
2.1. Isolation and Bioinformatic Analysis of α-L-Fucosidases
2.2. Gene Expression, Protein Synthesis, and Purification of α-L-Fucosidases
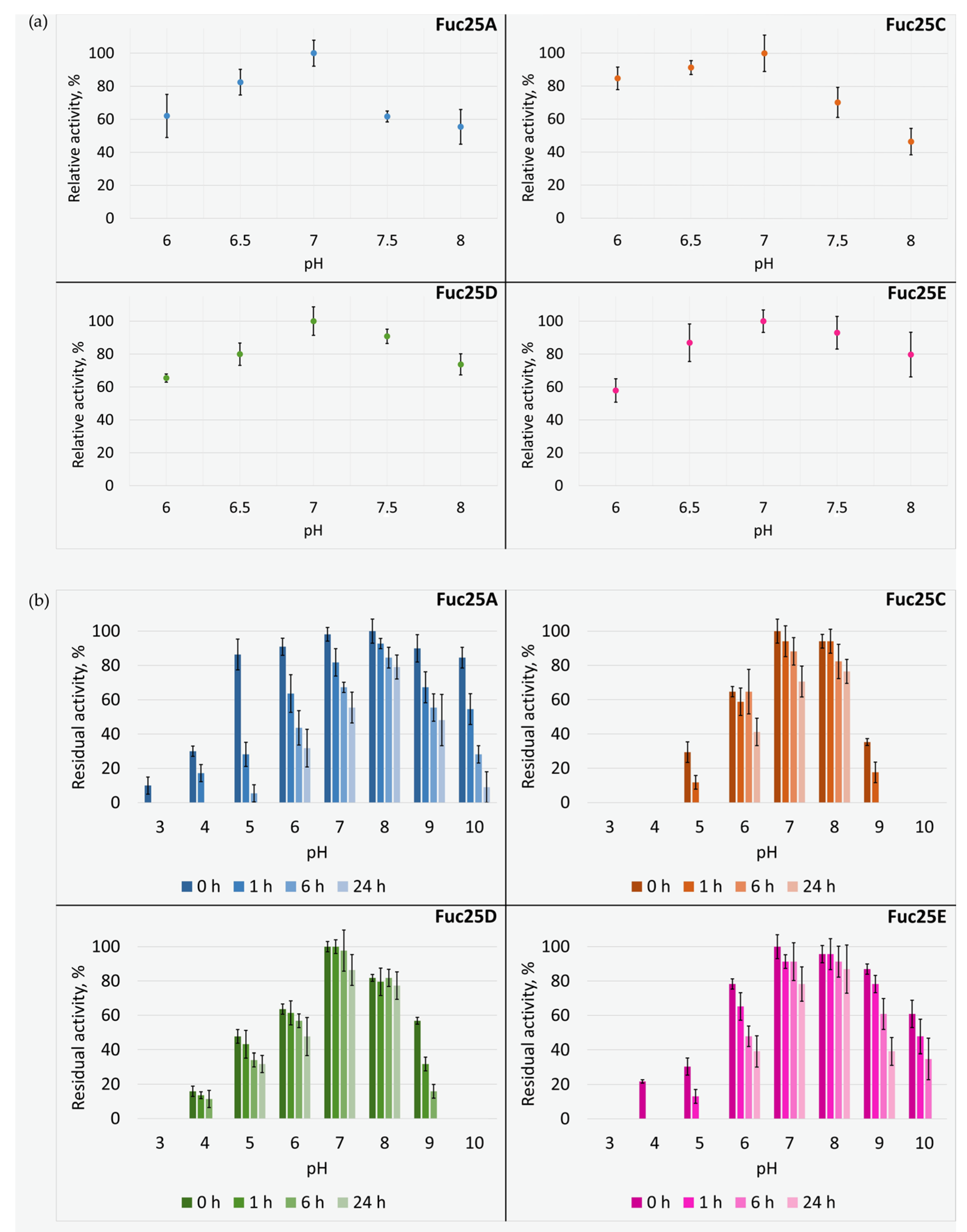
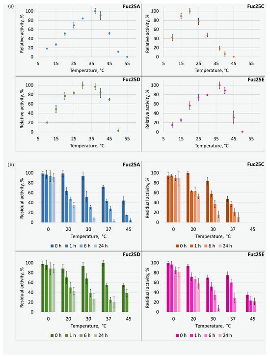
2.3. Characterisations of α-L-Fucosidases for Hydrolytic Activity
2.4. Transfucosylation Catalysed by Fuc25A, Fuc25C, Fuc25D, and Fuc25E
3. Materials and Methods
3.1. Materials
3.2. DNA Extraction, Construction, Screening of Metagenomic Library, and DNA Sequencing
3.3. Sequence, Phylogeny, and Structure Model Analysis
3.4. Overexpression and Purification of Enzymes
3.5. Characterisation of α-L-Fucosidases Hydrolytic Activity
3.6. Characterisation of the Transfucosylation of the Recombinant α-L-Fucosidases
3.7. Determination of the Hydrolysis of 2′-Fucosyllactose and 3-Fucosyllactose Catalysed by the Recombinant α-L-Fucosidases Using TLC
3.8. Determination of Transfucosylation Activity Using HPLC-MS
4. Conclusions
Supplementary Materials
Author Contributions
Funding
Institutional Review Board Statement
Informed Consent Statement
Data Availability Statement
Conflicts of Interest
References
- Srivastava, J.; Sunthar, P.; Balaji, P.V. The glycan alphabet is not universal: A hypothesis. Microb. Genom. 2020, 6, mgen000452. [Google Scholar] [CrossRef] [PubMed]
- Thomès, L.; Bojar, D. The Role of Fucose-Containing Glycan Motifs Across Taxonomic Kingdoms. Front. Mol. Biosci. 2021, 8, 755577. [Google Scholar] [CrossRef] [PubMed]
- Schneider, M.; Al-Shareffi, E.; Haltiwanger, R.S. Biological functions of fucose in mammals. Glycobiology 2017, 27, 601–618. [Google Scholar] [CrossRef] [PubMed]
- Garber, J.M.; Hennet, T.; Szymanski, C.M. Significance of fucose in intestinal health and disease. Mol. Microbiol. 2021, 115, 1086–1093. [Google Scholar] [CrossRef] [PubMed]
- Masi, A.C.; Stewart, C.J. Untangling human milk oligosaccharides and infant gut microbiome. iScience 2022, 25, 103542. [Google Scholar] [CrossRef] [PubMed]
- Bode, L. Human milk oligosaccharides: Every baby needs a sugar mama. Glycobiology 2012, 22, 1147–1162. [Google Scholar] [CrossRef] [PubMed]
- Carr, L.E.; Virmani, M.D.; Rosa, F.; Munblit, D.; Matazel, K.S.; Elolimy, A.A.; Yeruva, L. Role of Human Milk Bioactives on Infants’ Gut and Immune Health. Front. Immunol. 2021, 12, 604080. [Google Scholar] [CrossRef] [PubMed]
- Shivakoti, R.; Slogrove, A.L.; Laughton, B.; Shafiq, M.; Schoeman, E.; Glashoff, R.H.; Leu, C.S.; Wang, S.; Bode, L.; Aldrovandi, G.; et al. Mitigating Infectious morbidity and Growth deficits in HIV-exposed uninfected infanTs with human Milk Oligosaccharide (MIGH-T MO): A randomised trial protocol. BMJ Open 2022, 12, e069116. [Google Scholar] [CrossRef]
- Cheng, L.; Kong, C.; Walvoort, M.T.C.; Faas, M.M.; de Vos, P. Human Milk Oligosaccharides Differently Modulate Goblet Cells Under Homeostatic, Proinflammatory Conditions and ER Stress. Mol. Nutr. Food Res. 2020, 64, 1900976. [Google Scholar] [CrossRef]
- Rousseaux, A.; Brosseau, C.; Le Gall, S.; Piloquet, H.; Barbarot, S.; Bodinier, M. Human Milk Oligosaccharides: Their Effects on the Host and Their Potential as Therapeutic Agents. Front. Immunol. 2021, 12, 680911. [Google Scholar] [CrossRef]
- Donovan, S.M.; Comstock, S.S. Human Milk Oligosaccharides Influence Neonatal Mucosal and Systemic Immunity. Ann. Nutr. Metab. 2017, 69 (Suppl. S2), 41–51. [Google Scholar] [CrossRef] [PubMed]
- Wang, J.; Chen, M.S.; Wang, R.S.; Hu, J.Q.; Liu, S.; Wang, Y.Y.F.; Xing, X.L.; Zhang, B.W.; Liu, J.M.; Wang, S. Current Advances in Structure–Function Relationships and Dose-Dependent Effects of Human Milk Oligosaccharides. J. Agric. Food Chem. 2022, 70, 6328–6353. [Google Scholar] [CrossRef] [PubMed]
- Cheng, Y.-J.; Yeung, C.-Y. Recent advance in infant nutrition: Human milk oligosaccharides. Pediatr. Neonatol. 2021, 62, 347–353. [Google Scholar] [CrossRef] [PubMed]
- Zhang, A.; Sun, L.; Bai, Y.; Yu, H.; McArthur, J.B.; Chen, X.; Atsumi, S. Microbial production of human milk oligosaccharide lactodifucotetraose. Metab. Eng. 2021, 66, 12–20. [Google Scholar] [CrossRef] [PubMed]
- Han, N.R.; Yu, S.; Yun, E.J.; Jin, Y.-S.; Kim, K.H. Production of colanic acid hydrolysate and its use in the production of fucosylated oligosaccharides by engineered Saccharomyces cerevisiae. Process Biochem. 2022, 122, 332–340. [Google Scholar] [CrossRef]
- Zhong, R.; Gao, L.; Chen, Z.; Yuan, S.; Chen, X.; Zhao, C. Chemoenzymatic synthesis of fucosylated oligosaccharides using Thermosynechococcus α1-2-fucosyltransferase and their application in the regulation of intestinal microbiota. Food Chem. X 2021, 12, 100152. [Google Scholar] [CrossRef] [PubMed]
- Liu, P.; Zhang, H.; Wang, Y.; Chen, X.; Jin, L.; Xu, L.; Xiao, M. Screening and characterization of an α-L-fucosidase from Bacteroides fragilis NCTC9343 for synthesis of fucosyl-N-acetylglucosamine disaccharides. Appl. Microbiol. Biotechnol. 2020, 104, 7827–7840. [Google Scholar] [CrossRef] [PubMed]
- Zeuner, B.; Meyer, A.S. Enzymatic transfucosylation for synthesis of human milk oligosaccharides. Carbohydr. Res. 2020, 493, 108029. [Google Scholar] [CrossRef]
- Krasnova, L.; Wong, C.-H. Oligosaccharide Synthesis and Translational Innovation. J. Am. Chem. Soc. 2019, 141, 3735–3754. [Google Scholar] [CrossRef]
- Zeuner, B.; Teze, D.; Muschiol, J.; Meyer, A.S. Synthesis of Human Milk Oligosaccharides: Protein Engineering Strategies for Improved Enzymatic Transglycosylation. Molecules 2019, 24, 2033. [Google Scholar] [CrossRef]
- Wu, H.; Owen, C.D.; Juge, N. Structure and function of microbial α-l-fucosidases: A mini review. Essays Biochem. 2023, 67, 399–414. [Google Scholar] [CrossRef]
- Zeuner, B.; Muschiol, J.; Holck, J.; Lezyk, M.; Gedde, M.R.; Jers, C.; Mikkelsen, J.D.; Meyer, A.S. Substrate specificity and transfucosylation activity of GH29 α-l-fucosidases for enzymatic production of human milk oligosaccharides. N. Biotechnol. 2018, 41, 34–45. [Google Scholar] [CrossRef] [PubMed]
- Sulzenbacher, G.; Bignon, C.; Nishimura, T.; Tarling, C.A.; Withers, S.G.; Henrissat, B.; Bourne, Y. Crystal structure of Thermotoga maritima α-L-fucosidase: Insights into the catalytic mechanism and the molecular basis for fucosidosis. J. Biol. Chem. 2004, 279, 13119–13128. [Google Scholar] [CrossRef] [PubMed]
- Lezyk, M.; Jers, C.; Kjaerulff, L.; Gotfredsen, C.H.; Mikkelsen, M.D.; Mikkelsen, J.D. Novel α-L-Fucosidases from a Soil Metagenome for Production of Fucosylated Human Milk Oligosaccharides. PLoS ONE 2016, 11, e0147438. [Google Scholar] [CrossRef] [PubMed]
- Hinsu, A.T.; Tulsani, N.J.; Panchal, K.J.; Pandit, R.J.; Jyotsana, B.; Dafale, N.A.; Patil, N.V.; Purohit, H.J.; Joshi, C.G.; Jakhesara, S.J. Characterizing rumen microbiota and CAZyme profile of Indian dromedary camel (Camelus dromedarius) in response to different roughages. Sci. Rep. 2021, 11, 9400. [Google Scholar] [CrossRef] [PubMed]
- Bedenice, D.; Resnick-Sousa, J.; Bookbinder, L.; Trautwein, V.; Creasey, H.N.; Widmer, G. The association between fecal microbiota, age and endoparasitism in adult alpacas. PLoS ONE 2022, 17, e0272556. [Google Scholar] [CrossRef] [PubMed]
- Grootaert, H.; Van Landuyt, L.; Hulpiau, P.; Callewaert, N. Functional exploration of the GH29 fucosidase family. Glycobiology 2020, 30, 735–745. [Google Scholar] [CrossRef]
- Sakurama, H.; Tsutsumi, E.; Ashida, H.; Katayama, T.; Yamamoto, K.; Kumagai, H. Differences in the Substrate Specificities and Active-Site Structures of Two α-l-Fucosidases (Glycoside Hydrolase Family 29) from Bacteroides thetaiotaomicron. Biosci. Biotechnol. Biochem. 2012, 76, 1022–1024. [Google Scholar] [CrossRef]
- Perna, V.N.; Barrett, K.; Meyer, A.S.; Zeuner, B. Substrate specificity and transglycosylation capacity of α-L-fucosidases across GH29 assessed by bioinformatics-assisted selection of functional diversity. Glycobiology 2023, 33, 396–410. [Google Scholar] [CrossRef]
- Cobucci-Ponzano, B.; Trincone, A.; Giordano, A.; Rossi, M.; Moracci, M. Identification of an archaeal alpha-L-fucosidase encoded by an interrupted gene. Production of a functional enzyme by mutations mimicking programmed −1 frameshifting. J. Biol. Chem. 2003, 278, 14622–14631. [Google Scholar] [CrossRef]
- Robb, C.S.; Robb, C.S.; Hobbs, J.K.; Pluvinage, B.; Reintjes, G.; Klassen, L.; Monteith, S.; Giljan, G.; Amundsen, C.; Vickers, C.; et al. Metabolism of a hybrid algal galactan by members of the human gut microbiome. Nat. Chem. Biol. 2022, 18, 501–510. [Google Scholar] [CrossRef]
- Koval’ová, T.; Koval, T.; Benešová, E.; Vodičková, P.; Spiwok, V.; Lipovová, P.; Dohnálek, J. Active site complementation and hexameric arrangement in the GH family 29; a structure–function study of α-l-fucosidase isoenzyme 1 from Paenibacillus thiaminolyticus. Glycobiology 2019, 29, 59–73. [Google Scholar] [CrossRef]
- Fährrolfes, R.; Bietz, S.; Flachsenberg, F.; Meyder, A.; Nittinger, E.; Otto, T.; Volkamer, A.; Rarey, M. ProteinsPlus: A web portal for structure analysis of macromolecules. Nucleic Acids Res. 2017, 45, W337–W343. [Google Scholar] [CrossRef] [PubMed]
- Volkamer, A.; Kuhn, D.; Rippmann, F.; Rarey, M. DoGSiteScorer: A web server for automatic binding site prediction, analysis and druggability assessment. Bioinformatics 2012, 28, 2074–2075. [Google Scholar] [CrossRef]
- Diedrich, K.; Krause, B.; Berg, O.; Rarey, M. PoseEdit: Enhanced ligand binding mode communication by interactive 2D diagrams. J. Comput. Aided Mol. Des. 2023, 37, 491–503. [Google Scholar] [CrossRef] [PubMed]
- Leibly, D.J.; Nguyen, T.N.; Kao, L.T.; Hewitt, S.N.; Barrett, L.K.; Van Voorhis, W.C. Stabilizing Additives Added during Cell Lysis Aid in the Solubilization of Recombinant Proteins. PLoS ONE 2012, 7, e52482. [Google Scholar] [CrossRef]
- Silchenko, A.S.; Rubtsov, N.K.; Zueva, A.O.; Kusaykin, M.I.; Rasin, A.B.; Ermakova, S.P. Fucoidan-active α-L-fucosidases of the GH29 and GH95 families from a fucoidan degrading cluster of the marine bacterium Wenyingzhuangia fucanilytica. Arch. Biochem. Biophys. 2022, 728, 109373. [Google Scholar] [CrossRef]
- Zhang, Z.; Li, Y.; Wu, M.; Gao, Z.; Wu, B.; He, B. Identification and Characterization of a Novel α-L-Fucosidase from Enterococcus gallinarum and Its Application for Production of 2′-Fucosyllactose. Int. J. Mol. Sci. 2023, 24, 11555. [Google Scholar] [CrossRef]
- Megson, Z.A.; Koerdt, A.; Schuster, H.; Ludwig, R.; Janesch, B.; Frey, A.; Naylor, K.; Wilson, I.B.H.; Stafford, G.P.; Messner, P.; et al. Characterization of an α-l-fucosidase from the periodontal pathogen Tannerella forsythia. Virulence 2015, 6, 282–292. [Google Scholar] [CrossRef]
- Fan, S.; Zhang, H.; Chen, X.; Lu, L.; Xu, L.; Xiao, M. Cloning, characterization, and production of three α-l-fucosidases from Clostridium perfringens ATCC 13124. J. Basic Microbiol. 2016, 56, 347–357. [Google Scholar] [CrossRef]
- Sela, D.A.; Garrido, D.; Lerno, L.; Wu, S.; Tan, K.; Eom, H.J.; Joachimiak, A.; Lebrilla, C.B.; Mills, D.A. Bifidobacterium longum subsp. infantis ATCC 15697 α-Fucosidases Are Active on Fucosylated Human Milk Oligosaccharides. Appl. Env. Microbiol. 2012, 78, 795–803. [Google Scholar] [CrossRef] [PubMed]
- Jesús, R.-D.; Vicente, M.; Yebra, M.J. Utilization of Natural Fucosylated Oligosaccharides by Three Novel α-l-Fucosidases from a Probiotic Lactobacillus casei Strain. Appl. Environ. Microbiol. 2011, 77, 703–705. [Google Scholar] [CrossRef]
- Heath, A.M.; Navarre, C.B.; Simpkins, A.; Purohit, R.C.; Pugh, D.G. A comparison of surface and rectal temperatures between sheared and non-sheared alpacas (Lama pacos). Small Rumin. Res. 2001, 39, 19–23. [Google Scholar] [CrossRef] [PubMed]
- Bishnoi, R.; Mahajan, S.; Ramya, T.N.C. An F-type lectin domain directs the activity of Streptosporangium roseum alpha-l-fucosidase. Glycobiology 2018, 28, 860–875. [Google Scholar] [CrossRef] [PubMed]
- Kostopoulos, I.; Elzinga, J.; Ottman, N.; Klievink, J.T.; Blijenberg, B.; Aalvink, S.; Boeren, S.; Mank, M.; Knol, J.; de Vos, W.M.; et al. Akkermansia muciniphila uses human milk oligosaccharides to thrive in the early life conditions in vitro. Sci. Rep. 2020, 10, 14330. [Google Scholar] [CrossRef]
- Wu, H.; Rebello, O.; Crost, E.H.; Owen, C.D.; Walpole, S.; Bennati-Granier, C.; Ndeh, D.; Monaco, S.; Hicks, T.; Colvile, A.; et al. Fucosidases from the human gut symbiont Ruminococcus gnavus. Cell. Mol. Life Sci. 2021, 78, 675–693. [Google Scholar] [CrossRef]
- Berteau, O.; McCort, I.; Goasdoué, N.; Tissot, B.; Daniel, R. Characterization of a new α-l-fucosidase isolated from the marine mollusk Pecten maximus that catalyzes the hydrolysis of α-l-fucose from algal fucoidan (Ascophyllum nodosum). Glycobiology 2002, 12, 273–282. [Google Scholar] [CrossRef]
- Guzmán-Rodríguez, F.; Alatorre-Santamaría, S.; Gómez-Ruiz, L.; Rodríguez-Serrano, G.; García-Garibay, M.; Cruz-Guerrero, A. Employment of fucosidases for the synthesis of fucosylated oligosaccharides with biological potential. Biotechnol. Appl. Biochem. 2019, 66, 172–191. [Google Scholar] [CrossRef]
- Rodríguez-Díaz, J.; Carbajo, R.J.; Pineda-Lucena, A.; Monedero, V.; Yebra, M.J. Synthesis of fucosyl-N-acetylglucosamine disaccharides by transfucosylation using α-L-fucosidases from Lactobacillus casei. Appl. Environ. Microbiol. 2013, 79, 3847–3850. [Google Scholar] [CrossRef]
- Benešová, E.; Lipovová, P.; Krejzová, J.; Kovaľová, T.; Buchtová, P.; Spiwok, V.; Králová, B. Alpha-l-Fucosidase Isoenzyme iso2 from Paenibacillus thiaminolyticus. BMC Biotechnol. 2015, 15, 36. [Google Scholar] [CrossRef]
- Becerra, J.E.; Rodríguez-Díaz, J.; Gozalbo-Rovira, R.; Palomino-Schätzlein, M.; Zúñiga, M.; Monedero, V.; Yebra, M.J. Unique Microbial Catabolic Pathway for the Human Core N-Glycan Constituent Fucosyl-α-1,6-N-Acetylglucosamine-Asparagine. mBio 2020, 11, e02804-19. [Google Scholar] [CrossRef]
- Dramou, P.; Tarannum, N. 3—Molecularly Imprinted Catalysts: Synthesis and Applications. In Molecularly Imprinted Catalysts; Li, S., Cao, S., Piletsky, S.A., Turner, A.P.F., Eds.; Elsevier: Amsterdam, The Netherlands, 2016; pp. 35–53. [Google Scholar] [CrossRef]
- Ambrogi, V.; Bottacini, F.; Cao, L.; Kuipers, B.; Schoterman, M.; van Sinderen, D. Galacto-oligosaccharides as infant prebiotics: Production, application, bioactive activities and future perspectives. Crit. Rev. Food Sci. Nutr. 2023, 63, 753–766. [Google Scholar] [CrossRef] [PubMed]
- Valladares-Diestra, K.K.; de Souza Vandenberghe, L.P.; Vieira, S.;; Goyzueta-Mamani, L.D.; de Mattos, P.B.G.; Manzoki, M.C.; Soccol, V.T.; Soccol, C.R. The Potential of Xylooligosaccharides as Prebiotics and Their Sustainable Production from Agro-Industrial by-Products. Foods 2023, 12, 2681. [Google Scholar] [CrossRef] [PubMed]
- Wiciński, M.; Sawicka, E.; Gębalski, J.; Kubiak, K.; Malinowski, B. Human Milk Oligosaccharides: Health Benefits, Potential Applications in Infant Formulas, and Pharmacology. Nutrients 2020, 12, 266. [Google Scholar] [CrossRef] [PubMed]
- Klontz, E.H.; Li, C.; Kihn, K.; Fields, J.K.; Beckett, D.; Snyder, G.A.; Wintrode, P.L.; Deredge, D.; Wang, L.X.; Sundberg, E.J. Structure and dynamics of an α-fucosidase reveal a mechanism for highly efficient IgG transfucosylation. Nat. Commun. 2020, 11, 6204. [Google Scholar] [CrossRef] [PubMed]
- Stanislauskienė, R.; Kutanovas, S.; Kalinienė, L.; Bratchikov, M.; Meškys, R. Tetramethylpyrazine-Inducible Promoter Region from Rhodococcus jostii TMP1. Molecules 2018, 23, 7. [Google Scholar] [CrossRef] [PubMed]
- Urbelienė, N.; Kutanovas, S.; Meškienė, R.; Gasparavičiūtė, R.; Tauraitė, D.; Koplūnaitė, M.; Meškys, R. Application of the uridine auxotrophic host and synthetic nucleosides for a rapid selection of hydrolases from metagenomic libraries. Microb. Biotechnol. 2019, 12, 148–160. [Google Scholar] [CrossRef] [PubMed]
- Madeira, F.; Pearce, M.; Tivey, A.R.; Basutkar, P.; Lee, J.; Edbali, O.; Madhusoodanan, N.; Kolesnikov, A.; Lopez, R. Search and sequence analysis tools services from EMBL-EBI in 2022. Nucleic Acids Res. 2022, 50, gkac240. [Google Scholar] [CrossRef]
- Zheng, J.; Ge, Q.; Yan, Y.; Zhang, X.; Huang, L.; Yin, Y. dbCAN3: Automated carbohydrate-active enzyme and substrate annotation. Nucleic Acids Res. 2023, 51, W115–W121. [Google Scholar] [CrossRef]
- Drula, E.; Garron, M.-L.; Dogan, S.; Lombard, V.; Henrissat, B.; Terrapon, N. The carbohydrate-active enzyme database: Functions and literature. Nucleic Acids Res. 2022, 50, D571–D577. [Google Scholar] [CrossRef]
- Godzik, W.L.A. Cd-hit: A fast program for clustering and comparing large sets of protein or nucleotide sequences. Bioinformatics 2006, 22, 1658–1659. [Google Scholar] [CrossRef]
- Katoh, K.; Standley, D.M. MAFFT multiple sequence alignment software version 7: Improvements in performance and usability. Mol. Biol. Evol. 2013, 30, 772–780. [Google Scholar] [CrossRef] [PubMed]
- Darriba, D.; Posada, D.; Kozlov, A.M.; Stamatakis, A.; Morel, B.; Flouri, T. ModelTest-NG: A New and Scalable Tool for the Selection of DNA and Protein Evolutionary Models. Mol. Biol. Evol. 2020, 37, 291–294. [Google Scholar] [CrossRef] [PubMed]
- Kozlov, A.M.; Darriba, D.; Flouri, T.; Morel, B.; Stamatakis, A. RAxML-NG: A fast, scalable and user-friendly tool for maximum likelihood phylogenetic inference. Bioinformatics 2019, 35, 4453–4455. [Google Scholar] [CrossRef] [PubMed]
- Engelberger, F.; Galaz-Davison, P.; Bravo, G.; Rivera, M.; Ramírez-Sarmiento, C.A. Developing and Implementing Cloud-Based Tutorials That Combine Bioinformatics Software, Interactive Coding, and Visualization Exercises for Distance Learning on Structural Bioinformatics. J. Chem. Educ. 2021, 98, 1801–1807. [Google Scholar] [CrossRef]
- Letunic, I.; Bork, P. Interactive Tree of Life (iTOL) v5: An online tool for phylogenetic tree display and annotation. Nucleic Acids Res. 2021, 49, W293–W296. [Google Scholar] [CrossRef] [PubMed]
- Gabler, F.; Nam, S.Z.; Till, S.; Mirdita, M.; Steinegger, M.; Söding, J.; Lupas, A.N.; Alva, V. Protein Sequence Analysis Using the MPI Bioinformatics Toolkit. Curr. Protoc. Bioinform. 2020, 72, e108. [Google Scholar] [CrossRef]
- Zimmermann, L.; Stephens, A.; Nam, S.Z.; Rau, D.; Kübler, J.; Lozajic, M.; Gabler, F.; Söding, J.; Lupas, A.N.; Alva, V. A Completely Reimplemented MPI Bioinformatics Toolkit with a New HHpred Server at its Core. J. Mol. Biol. 2018, 430, 2237–2243. [Google Scholar] [CrossRef]
- Pettersen, E.F.; Goddard, T.D.; Huang, C.C.; Couch, G.S.; Greenblatt, D.M.; Meng, E.C.; Ferrin, T.E. UCSF Chimera—A visualization system for exploratory research and analysis. J. Comput. Chem. 2004, 25, 1605–1612. [Google Scholar] [CrossRef]
- Waterhouse, A.M.; Procter, J.B.; Martin, D.M.A.; Clamp, M.; Barton, G.J. Jalview Version 2—A multiple sequence alignment editor and analysis workbench. Bioinformatics 2009, 25, 1189–1191. [Google Scholar] [CrossRef]
- Lowry, O.H.; Rosebrough, N.J.; Farr, A.L.; Randall, R.J. Protein measurement with the Folin phenol reagent. J. Biol. Chem. 1951, 193, 265–275. [Google Scholar] [CrossRef] [PubMed]
- Bornsheurer, U.; Musidlowska-Persson, A.; Trauthwein, H. New Artificial Esterase, Useful e.g., in Washing Compositions and for Enantioselective Reaction or Hydrolysis of Carboxylic Acid Derivatives, Comprises That It Is Derived from Porcine Liver Esterase by Site-Specific Mutation. DE10258327A1, 24 June 2004. Available online: https://patents.google.com/patent/DE10258327A1/en (accessed on 5 September 2023).
- Prism. The Data Obtained Were Processed by Non-Linear Regression to Produce a Michaelis-Menten Kinetic Model Close to the Experimentally Obtained Values, Version 9.5.1. The Analysis Was Performed Using GraphPad Prism Version 9.5.1 for Windows. GraphPad Software: San Diego, CA, USA, 2023.









| Enzyme | Surface, Å2 | Volume, Å3 | Depth, Å | Hydrophobicity | Enclosure |
|---|---|---|---|---|---|
| Fuc25A | 373.90 | 267.33 | 12.34 | 0.50 | 0.15 |
| Fuc25C | 583.66 | 723.19 | 22.28 | 0.38 | 0.41 |
| Fuc25D | 1128.84 | 848.64 | 28.95 | 0.42 | 0.12 |
| Fuc25E | 647.08 | 522.03 | 17.02 | 0.46 | 0.17 |
| Enzyme | Vmax, μM s–1 | KM, μM | kcat, s–1 | kcat/KM, μM–1 s–1 |
|---|---|---|---|---|
| Fuc25A | 1.007 ± 0.040 | 333.8 ± 21.4 | 12.08 ± 0.48 | 0.036 ± 0.003 |
| Fuc25C | 0.590 ± 0.096 | 1401.1 ± 373.6 | 1.64 ± 0.27 | 0.001 ± 0.000 |
| Fuc25D | 0.504 ± 0.027 | 79.7 ± 8.6 | 28.87 ± 1.56 | 0.364 ± 0.022 |
| Fuc25E | 0.305 ± 0.008 | 85.1 ± 12.9 | 4.08 ± 0.10 | 0.049 ± 0.007 |
| Acceptor Compound | Fuc25A | Fuc25D | Fuc25C | Fuc25E |
|---|---|---|---|---|
| Monosaccharides | ||||
| D-Glucose | + | + | + | + |
| D-Galactose | + | + | + | + |
| D-Fructose | + | + | + | + |
| L-Fucose | Traces * | Traces * | Traces * | + |
| N-Acetylglucosamine | + | + | + | + |
| L-Rhamnose | + | + | Traces * | + |
| D-Ribose | + | + | + | + |
| D-Xylose | + | + | + | + |
| D-Mannose | + | + | + | + |
| Disaccharides | ||||
| Lactose | + | + | + | + |
| Maltose | + | + | + | + |
| Amino acids | ||||
| L-Serine | + | + | + | + |
| L-Threonine | + | + | + | + |
| D-Serine | + | + | + | + |
| D-Threonine | + | + | + | + |
Disclaimer/Publisher’s Note: The statements, opinions and data contained in all publications are solely those of the individual author(s) and contributor(s) and not of MDPI and/or the editor(s). MDPI and/or the editor(s) disclaim responsibility for any injury to people or property resulting from any ideas, methods, instructions or products referred to in the content. |
© 2024 by the authors. Licensee MDPI, Basel, Switzerland. This article is an open access article distributed under the terms and conditions of the Creative Commons Attribution (CC BY) license (https://creativecommons.org/licenses/by/4.0/).
Share and Cite
Krupinskaitė, A.; Stanislauskienė, R.; Serapinas, P.; Rutkienė, R.; Gasparavičiūtė, R.; Meškys, R.; Stankevičiūtė, J. α-L-Fucosidases from an Alpaca Faeces Metagenome: Characterisation of Hydrolytic and Transfucosylation Potential. Int. J. Mol. Sci. 2024, 25, 809. https://doi.org/10.3390/ijms25020809
Krupinskaitė A, Stanislauskienė R, Serapinas P, Rutkienė R, Gasparavičiūtė R, Meškys R, Stankevičiūtė J. α-L-Fucosidases from an Alpaca Faeces Metagenome: Characterisation of Hydrolytic and Transfucosylation Potential. International Journal of Molecular Sciences. 2024; 25(2):809. https://doi.org/10.3390/ijms25020809
Chicago/Turabian StyleKrupinskaitė, Agnė, Rūta Stanislauskienė, Pijus Serapinas, Rasa Rutkienė, Renata Gasparavičiūtė, Rolandas Meškys, and Jonita Stankevičiūtė. 2024. "α-L-Fucosidases from an Alpaca Faeces Metagenome: Characterisation of Hydrolytic and Transfucosylation Potential" International Journal of Molecular Sciences 25, no. 2: 809. https://doi.org/10.3390/ijms25020809
APA StyleKrupinskaitė, A., Stanislauskienė, R., Serapinas, P., Rutkienė, R., Gasparavičiūtė, R., Meškys, R., & Stankevičiūtė, J. (2024). α-L-Fucosidases from an Alpaca Faeces Metagenome: Characterisation of Hydrolytic and Transfucosylation Potential. International Journal of Molecular Sciences, 25(2), 809. https://doi.org/10.3390/ijms25020809

