Abstract
The development of new nanocontainers for hydrophobic drugs is one of the most important tasks of drug delivery. Dendrimers with hydrophobic interiors and soluble terminal groups have already been used as drug carriers. However, the most convenient candidates for this purpose are peptide dendrimers since their interiors could be modified by hydrophobic amino acid residues with a greater affinity for the transported molecules. The goal of this work is to perform the first molecular dynamics study of the complex formation of fullerenes C60 and C70 with Lys-2Gly, Lys G2, and Lys G3 peptide dendrimers in water. We carried out such simulations for six different systems and demonstrated that both fullerenes penetrate all these dendrimers and form stable complexes with them. The density and hydrophobicity inside the complex are greater than in dendrimers without fullerene, especially for complexes with Lys-2Gly dendrimers. It makes the internal regions of complexes less accessible to water and counterions and increases electrostatic and zeta potential compared to single dendrimers. The results for complexes based on Lys G2 and Lys G3 dendrimers are similar but less pronounced. Thus, all considered peptide dendrimers and especially the Lys-2Gly dendrimer could be used as nanocontainers for the delivery of fullerenes.
1. Introduction
Classical dendrimers are regular star-like (starburst) macromolecules that originate from a single core and branch in each generation. They have a well-defined molecular weight, nanoscale size, low polydispersity, and multivalency. Dendrimers can be used in many industrial, biomedical, and pharmaceutical applications due to their unique properties [1]. They are considered nanocontainers for drug and gene delivery since they can form complexes with different bioactive molecules [2]. The diversity of chemical structures of dendrimers and the possibility of their modification facilitates the development of delivery systems with desired properties for various drug molecules [3]. The formation of such complexes depends on the nature of the interaction between the dendrimer and guest molecules. This may be simple physical entrapment or encapsulation due to hydrophobic, electrostatic interactions, or hydrogen bonding [4]. The use of a dendrimer-based system can also help achieve controlled and targeted delivery to specific tissues and organs [5]. Dendrimer scaffolds protect the transported molecules from premature enzymatic degradation and early release and helps cross the biological membranes, improving their pharmacokinetics and bioavailability [6,7,8,9,10].
To achieve successful delivery and reduce adverse side effects, a reliable and safe delivery system should be non-cytotoxic, non-inflammatory, bioavailable, and biodegradable [11]. Polyamidoamine (PAMAM) and polypropyleneimine (PPI) dendrimers are well studied and well characterized as dendrimer-based delivery systems [12]. However, an important obstacle to the clinical use of these synthetic dendrimers is their toxicity. Various strategies have been developed to address the limitations due to the toxicity of dendrimer carriers [13,14]. For example, terminal groups of the dendrimers can be modified by PEGylation [15], acetylation [16], amino acids, or short peptides [17,18]. In this aspect, peptide dendrimers have some advantages because they consist of natural amino acid residues [19,20]. Poly-L-lysine (PLL) dendrimers are well-known representatives of peptide dendrimers. In recent years, drug formulations based on lysine dendrimers have been widely studied [21,22,23,24,25], and their safety and biodegradability have been demonstrated. It has been shown that peptide dendrimers themselves have antibacterial [26,27,28,29,30], antiviral [31,32], and antiangiogenic properties [33,34,35,36]. Moreover, the use of peptide dendrimers together with transported drug molecules can provide a synergistic effect of their action on cancer cells [37]. In addition, a peptide dendrimer can be synthesized with almost any desired set of amino acid residues [38,39,40,41,42] to improve the encapsulation of entrapped bioactive molecules.
The encapsulation ability of dendrimers helps overcome the difficulties associated with poor solubility and aggregation of guest molecules [25], allowing the use of smaller drug doses [43]. The possibility of delivering bioactive molecules using dendrimers was demonstrated, for example, for enoxaparin [44], berberine [45], quercetin [46], resveratrol [47], curcumin [48], anticancer drugs such as doxorubicin [49,50], and paclitaxel [51,52]. There were also many MD simulation works on the interaction of dendrimers with other bioactive molecules. See, for example, the experimental and simulation study of drug-loading into dendrimer [53], the MD study of acetyl-terminated PAMAM dendrimers for the pH-sensitive delivery of irinotecan and fluorouracil [54], MD simulations of carbon quantum dots PAMAM dendrimer nanocomposites [55], PAMAM dendrimers with G-actin [56], dendrimers with si-RNA [57], and cationic pyridylphenylene dendrimers with multicomponent anionic liposomes [58].
One of the bioactive molecules, whose biomedical applications are limited by its low water solubility, is fullerene [59]. Fullerene molecules are very attractive from a biological point of view due to their sizes of about 1 nm. However, they tend to form aggregates in water solutions. Aggregation leads to a fundamentally different interaction with biological structures due to the different sizes and properties of aggregates [60]. Since the discovery of fullerenes [61], opportunities for their use in biomedicine have been investigated [62,63]. Fullerenes have even been considered a promising drug delivery system; however, clinical trials have barely been started yet [63,64]. Fullerenes have antioxidative [65,66,67], antibacterial [68], antiviral [69], and antitumor [70,71,72] activities.
To improve the solubility of fullerene, the most commonly used method is to obtain its water-soluble derivatives via the attachment to many hydroxyl, carboxyl, or hydrophilic amino groups [73,74]. It was shown that the conjugation of fullerenes with cyclodextrins [75], peptides [76], and hydrophilic ethylene glycol spacers [77] significantly increases their solubility [78,79]. However, multiple functionalization of fullerenes decreases their bioactivity. The encapsulation of fullerenes into carbon nanotubes [80,81] and liposomes [82] has been proposed as a possible route for their delivery. In attempts to combine the beneficial properties of dendrimers and fullerenes, one resorted to the development of conjugates of fullerenes with dendrimers [83,84,85,86,87,88,89,90,91,92,93,94,95,96,97], as well as to the functionalization of dendrimers by fullerenes. Besides experimental work in this direction, there are several computer simulation works on dendrimer–fullerene conjugates [98,99,100].
However, investigations of guest–host complexes of fullerenes with dendrimers are poorly represented in the literature [101,102,103,104]. Perhaps this is due to the difficulties in obtaining the stable encapsulation of fullerenes into a dendrimer macromolecule. The purpose of this work is to study the possibility of creating complexes between a peptide dendrimer and fullerene. Since both of these nanosized molecules exhibit antitumor activity [37,105,106], we can assume that the strong synergetic effect [107] of their combination is possible. Another advantage of using peptide dendrimers is the ability to tune the interaction of the dendrimer with the guest molecule. This could be carried out not only by changing terminal groups but also by adding or changing amino acid residues in inner segments of peptide dendrimers. The use of different hydrophobicity of amino acid residues in the inner segments [108,109,110,111] could make it possible to achieve a suitable hydrophobic environment for the fullerene inside the dendrimer.
2. Results and Discussion
2.1. Formation of a Dendrimer–Fullerene Complex
In order to trace the formation of the dendrimer–fullerene complex and its stability, we calculated the time dependence of the distance, d(t), between the centers of mass of the dendrimer and fullerene molecules, as well as the time dependencies of the size of the subsystem consisting of the dendrimer and fullerene. The time dependencies of the distance between the dendrimers and fullerenes are shown in Figure 1. As can be seen from this figure, at the beginning of the simulation, the distances have large initial values of ~4–6 nm since the fullerene molecule was initially placed quite far from the center of mass of the dendrimer. At first, the d(t) curves fluctuate strongly for some time in all systems and then begin to decrease gradually due to intermolecular interactions between the dendrimer and the fullerene. Later, we can observe an abrupt step-like decrease in the value of d(t). After this, in most cases, the function d(t) practically does not change with time and fluctuates slightly near the average value close to 1 nm or less. This means that fullerenes are adsorbed on dendrimers, forming stable complexes with them. For some systems (Lys-2Gly + C60 (Figure 1a) and Lys G3 + C70 (Figure 1f)), the d(t) after the abrupt decrease continues to decrease slightly, reaching a constant value of d in the region 200–250 ns of the first half of total 500ns trajectory, which is used to establish equilibrium in the system.
Figure 1.
Distance between the centers of mass of the dendrimer and fullerene molecules in the system: (a) Lys-2Gly + C60, (b) Lys G2 + C60, (c) Lys G3 + C60, (d) Lys-2Gly + C70, (e) Lys G2 + C70, (f) Lys G3 + C70 at the first 250 ns of a trajectory (before and after the formation of complex). For each system, the three different initial conformations (positions of fullerene) were used and marked by different colors. The abrupt decrease in the distance reflects the formation of dendrimer–fullerene complexes.
Thus, we can conclude that in all the systems considered, a stable dendrimer–fullerene complex is formed after 250 ns of simulation.
A similar characteristic that makes it possible to study the process of formation of the dendrimer–fullerene complex is the radius of gyration, Rg [112]
where mi and ri are the mass index and radius vector of the i-th atom of the dendrimer–fullerene subsystem, and Ntot is the total number of atoms in a dendrimer–fullerene complex.
The time dependence of the radius of gyration, Rg(t), describes the process of equilibration of the size of the dendrimer–fullerene subsystem and the formation of their complex. Unlike d(t), the change in the value of Rg(t) of this subsystem occurs not only due to a change in distance between dendrimer and fullerene but also due to fluctuations of the Rg of the dendrimer, which, unlike fullerene, is not a rigid molecule.
As can be seen in Figure 2, the subsystems have large initial radii of gyration Rg(t = 0) since, at the beginning of the simulation, the fullerene is placed quite far from the center of mass of the dendrimer. The behavior of the Rg(t) curves is similar to that of d(t) in Figure 1. The sizes of the resulting Rg of the complexes are about 1 nm. After the jump, the value of Rg decreases significantly and then remains practically unchanged with time. Thus, we can conclude that in all the systems under consideration the dendrimer forms a complex with fullerene.
Figure 2.
Radius of gyration (Rg) of dendrimer and fullerene in the system: (a) Lys-2Gly + C60, (b) Lys G2 + C60, (c) Lys G3 + C60, (d) Lys-2Gly + C70, (e) Lys G2 + C70, (f) Lys G3 + C70 at the first 250 ns of a trajectory (before and after the formation of complex). For each system, the three different initial conformations (positions of fullerene) were used and marked by different colors. The abrupt decrease in the radius of gyration reflects the formation of dendrimer–fullerene complexes.
2.2. Analysis of the Structure and Properties of Dendrimer–Fullerene Complexes Snapshots, Shapes, Sizes, and Distances between Dendrimer and Fullerene in Complexes
To demonstrate the relative position of the dendrimer and fullerene molecules in the complex, we present snapshots of these systems at the end of the simulation (after 500 ns) in Figure 3. It can be clearly seen that in all cases, the fullerene is located inside the dendrimer or, at least, between its branches. The additional visual analysis of snapshots confirms that after the first approach to the dendrimer, the fullerene molecule stays in contact with it all the time. This is in good agreement with the results presented in Figure 1 and Figure 2.
Figure 3.
Snapshots of the dendrimer–fullerene system after 500 ns of simulation: (a) Lys-2Gly + C60, (b) Lys-2Gly + C70, (c) Lys G2 + C60, (d) Lys G2 + C70, (e) Lys G3 + C60, (f) Lys G3 + C70.
Based on the obtained trajectories, it is possible to calculate the equilibrium characteristics of the complexes and the dendrimer and fullerene molecules included in them (see Table 1).
Table 1.
The asphericity α, the radius of gyration Rg of the dendrimer, and the dendrimer–fullerene complex, as well as mean square distance d between the centers of mass of the fullerene and dendrimer.
To determine the shape of the complexes, we calculated the asphericity [113,114]:
The values of α = 0 and α = 1 correspond to the spherical and the elongated shape of the macromolecule, respectively. The values of asphericity are given in Table 1. Previously we established that for the dendrimers considered in this article, the asphericity of an individual dendrimer macromolecule is very close to zero in aqueous solution, i.e., the dendrimers in water have a shape close to spherical.
According to Table 1, for all complexes, except for Lys G3 + C60, the values of asphericity are smaller compared to that of dendrimer. However, even for Lys G3 + C60, α increases slightly, which means that the shape of Lys G3 + C60 complex remains close to spherical. This confirms that the sizes of the complexes can be described by one characteristic—the radius of gyration (Rg). Also, to describe the structure of the resulting complexes, it will be sufficient to use the radial distribution functions described below.
For all the studied complexes in the equilibrium state, the size (Rg) of the dendrimer complex with fullerene is close to the size of an individual dendrimer (see Table 1). Moreover, for all complexes, Rg, a decrease in the amplitude of Rg fluctuations is observed compared to the individual dendrimer. This happens because the hydrophobic fullerene tries to “hide” inside the dendrimer using the internal hydrophobic fragments of this macromolecule, which leads to the fullerene “gluing” the neighboring branches of the dendrimer and, as a result, decreases fluctuations and the average size of the complex. This is especially clearly visible if we consider the distribution function P(Rg) over the radius of gyration Rg (Figure 4). As can be seen from this figure, the distribution of P(Rg) for the complexes becomes narrower. This is especially noticeable for the complexes of Lys-2Gly with fullerenes.
Figure 4.
Distribution function for the radius of gyration (Rg) of an individual dendrimer (in the absence of fullerene) and complexes of the dendrimer with C60 or C70. For Lys-2Gly (a), Lys G2 (b) and Lys G3 (c).
To understand the degree of fullerene encapsulation, it is necessary to study the relative position of the dendrimer and fullerene molecules in the complex. For this purpose, the average distance from the center of mass of the dendrimer to the center of mass of the fullerene was calculated (see Table 1). It turned out that in the case of the Lys-2Gly + C60 and Lys-2Gly + C70 complexes, the distance between the centers of mass of the dendrimer and fullerene is the smallest (about 0.5–0.6 nm). This means very good penetration of the fullerene deep into the dendrimer, probably due to the greater length and flexibility of the glycine spacers between the branching points of the Lys-2Gly dendrimer. In the case of the Lys G2 and Lys G3 complexes with fullerenes, the distance between the centers of mass is slightly larger (about 0.7–0.8 nm) since these dendrimers have shorter and stiffer spacers. Therefore, in the latter case, a situation may arise when the fullerene is attached to the more external parts of the dendrimer branches. To obtain a deeper understanding of the internal structure of the complex, the next subsection examines the radial distribution functions of the atoms of the molecules in the complex.
2.3. Radial Distribution Functions
As shown in the previous subsection, the dendrimer–fullerene complex formed in all the considered systems. However, the degree of fullerene encapsulation may depend on the type of dendrimer and/or fullerene used. To obtain detailed information about the internal structure of the complex, the radial density distribution functions were calculated:
where ρ(r) (in g/cm3) is the average density of the thin spherical layer at a distance r from the complex (or a dendrimer) center of mass, and is the average total mass of atoms in the same layer of volume V(r). The dependencies ρ(r) are presented in Figure 5.
Figure 5.
Density distribution for the dendrimer, fullerene, and the dendrimer–fullerene complex: (a) Lys-2Gly + C60 and (b) Lys-2Gly + C70, (c) Lys G2 + C60 and (d) Lys-G2 + C70, (e) Lys G3 + C60, and (f) Lys G3 + C70.
It can be clearly seen that the relative positions of the dendrimer and fullerene in different complexes differ. In the case of Lys-2Gly (Figure 5a,b), the shape of the ρ(r) curves indicates that this dendrimer encapsulates fullerene quite well. In this case, the atoms of the Lys-2Gly dendrimer are displaced from the center of the mass region by fullerene and replaced by fullerene atoms. In the case of Lys G2 (Figure 5c,d, the displacement of the dendrimer atoms from the center of mass by fullerene atoms is also observed, but it is less pronounced. As for Lys G3 (Figure 5e,f), the maxima of ρ(r) curves for the dendrimer and fullerene are observed near the same distances from the center (dendrimer and fullerene atoms coexist there).
To understand whether dendrimer–fullerene interactions depend only on the radial distance r or whether there is an additional angular dependence [115], we plotted the two-dimensional sectoral radial mass distributions relative to the center of mass of the dendrimer (Figure 6).
Figure 6.
Two-dimensional sectoral radial distribution of mass of the dendrimer relative to its center of mass. The spherical sectors in which the functions were calculated using a vector directed from the center of mass of the dendrimer to the center of mass of the fullerene. The center of the sphere coincides with the center of mass of the dendrimer. The partition of a sphere into a set of spherical sectors is similar to the partition described in [115]. The difference is that we divided each sector into the upper (left) and lower (right) parts and calculated not only the angular distribution but also the radial distribution from the center of mass on each 2D plot. (a) Lys-2Gly + C60 and (b) Lys-2Gly + C70, (c) Lys G2 + C60 and (d) Lys-G2 + C70, (e) Lys G3 + C60, and (f) Lys G3 + C70.
In Figure 6, the area of the reduced dendrimer density (dark blue), close to the center of the figure, corresponds to the position of the fullerene. It can be seen that for all systems, the dendrimer atoms are located constantly (yellow area), often (yellow-green area), and less often (green area) around the fullerene. It is important to note that the largest number of dendrimer atoms (yellow region) are located near the fullerene and form a region of constant contact with it but do not form a closed shell around it. However, regions with fewer atoms (yellow-green and green), located on average at a slightly greater distance from it, completely surround the fullerene and protect it on all sides (at least partially) from contact with water. To summarize this part of the work, it should be noted that the encapsulation of fullerene with the Lys-2Gly dendrimer is more effective compared to other studied lysine dendrimers (Lys G2 and Lys G3). Apparently, this may be due to the longer and more flexible glycine spacers of this dendrimer, in contrast to the shorter and more rigid spacers of the other two lysine dendrimers.
2.4. Electrostatic Properties of the Dendrimer–Fullerene Complex and Individual Dendrimer
One of the most promising applications of dendrimers is encapsulation and delivery of drugs. As shown above, the dimensions of the dendrimer practically do not change after encapsulation of fullerene.
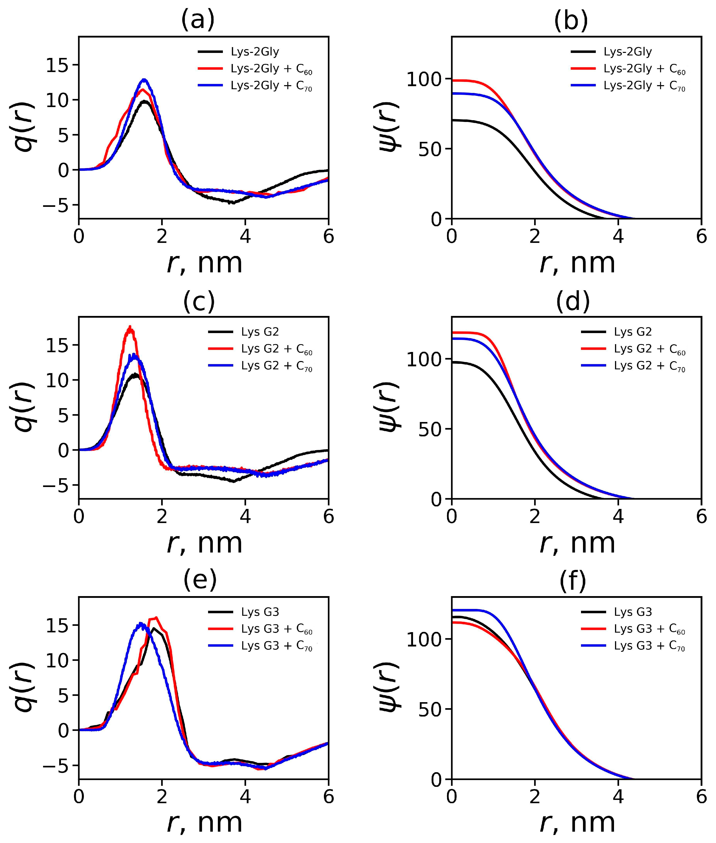
In this section, we studied how the encapsulation of fullerene affects the electrostatic characteristics of the dendrimer–fullerene complex compared to those of an individual dendrimer in an aqueous solution. For this purpose, the radial charge distribution of the dendrimer and counterions, q(r), was calculated. Then, using q(r), we solved the Poisson equation numerically and obtained the distribution of the electrostatic potential, ψ(r) [116,117,118] (Figure 7). The averaged electrostatic characteristics and the number of hydrogen bonds between the dendrimer and water are given in Table 2. In Figure 7a,c, for the complexes of Lys-2Gly and Lys G2 with fullerenes, we can observe an increase in the height of the positive peak of q(r) compared to that for the separate dendrimers while the negative peak of q(r) is smaller and wider. The electrostatic potential for these two complexes is also stronger for these complexes compared to single dendrimers, especially at low values of r. At the same time, the formation of the complexes of Lys G3 with fullerenes leads to less pronounced changes in the electrostatic parameters compared to those for the separate dendrimer (Figure 7e,f), especially at higher distances r from the center of mass of this dendrimer.
Figure 7.
Electrostatic characteristics of the dendrimers and their complexes with fullerenes: the radial charge distribution, q(r), (a,c,e) and electrostatic potential, ψ(r), (b,d,f) for Lys-2Gly (a,b), Lys G2 (c,d), and Lys G3 (e,f).
Table 2.
Electrostatic properties: the maximal cumulative charge, Qmax, and the ζ potential; the number of hydrogen bonds (NHB) of the dendrimer/dendrimer–fullerene complex with water.
In the case of Lys-2Gly and Lys G2, a change in the charge distribution and electrostatic potential of the dendrimer–fullerene complexes leads to a slight increase in the maximal cumulative charge, Qmax (see Table 2). At the same time, a significant increase (by 1.5–1.7 times) in the ζ potential of these complexes compared to these parameters for individual dendrimers occurs. As for Lys G3, the ζ potential of its complexes with fullerenes C60 and C70 increase slightly (by 1.07 and 1.13 times, correspondingly). The number of hydrogen bonds between all dendrimer–fullerene complexes and water molecules was different but approximately the same as between the corresponding dendrimer and water (see Table 2).
3. Materials and Methods
In this work, we studied the possibility of the formation of complexes of lysine-based peptide dendrimers with fullerenes in an aqueous solution using the molecular dynamics (MD) method. The MD simulations were carried out using the GROMACS package [119]. AMBER-99SB-ILDN was used as the force field [120]. The lysine dendrimers of the second (Lys G2) and third (Lys G3) generations and the lysine-based dendrimer (Lys-2Gly) with double insertions of glycine amino acid residues (2Gly) between neighboring branching points of Lys G2 dendrimer were considered (Figure 8). We used the full atomic models of these dendrimers. Table 3 contains some structural parameters of the dendrimers under consideration.
Figure 8.
The chemical structure of (a) the lysine dendrimer of the second generation, Lys G2, and (b) the lysine dendrimer of the third generation, Lys G3; (c) the second-generation lysine-based dendrimer with double glycine (2Gly) insertions between adjacent branching points, Lys-2Gly.
Table 3.
Characteristics of dendrimers: the molecular mass of the dendrimer (Md), the charge (Qbare), the number of positively charged terminal NH3+ groups (Nend), the total number of amino acid residues in the insertions (Nins), the total number of amino acid residues in the dendrimer (Nres).
The initial conformations of the dendrimers were taken from previous work [121]. The topologies and partial charges of fullerenes C60 and C70 were prepared using an electronic resource [122]. At the initial moment of time, the fullerene molecule was placed at a certain distance from the dendrimer. For each of the six systems (three dendrimers and two types of fullerenes), three different initial conformations of the system (positions of fullerene) were used. For this, we shifted the center of mass of the fullerene relative to the center of mass of the dendrimer along one of three different axes, X, Y, or Z, by the same distance of the order of 4.5 nm so that the fullerene in all cases was outside the dendrimer surface but not too far from it. The preparation for the simulation included the following stages: First, the corresponding dendrimer and fullerene molecules were immersed in an aqueous solution. According to normal pH, the terminal groups of the dendrimer were protonated. Then, chlorine counterions were added to satisfy the electrical neutrality condition of the simulated systems.
The final equilibration was carried out for 250 ns in an NPT ensemble using a Nose–Hoover thermostat and a Parrinello–Rahman barostat. The simulation parameters were exactly the same as in our previous works [121]. After equilibration, the simulation was continued, and the length of the productive trajectory was equal to 250 ns. This trajectory was used to calculate different average values, distribution functions, and time-dependent properties at equilibrium using both GROMACS tools and developed computer programs for linear polymers [123,124,125,126,127,128], dendrimers [129,130,131,132,133].
4. Conclusions
In this work, atomistic molecular dynamics simulations were used for the first time to study the possibility of the complexation of fullerenes with amphiphilic peptide dendrimers. Six systems were considered, containing one of three peptide dendrimers (Lys-2Gly, Lys G2, and Lys G3) and one of two types of fullerenes (C60 and C70) in an aqueous solution. It was shown that in all six considered systems, a dendrimer–fullerene complex is formed. In addition, it turned out that fullerene can be encapsulated quite close to the center of the dendrimer. In most of the complexes considered, the density and hydrophobicity of the internal region of the complex are greater than that of a single dendrimer, which makes it less accessible to water and counterions. This reduces the number of counterions inside the complex and increases its zeta potential. At the same time, the fullerene “glues” the branches of the dendrimer, which reduces fluctuations and the overall dimensions of the complex. It was found that in all the complexes considered, the dendrimer surrounds the fullerene molecule with its branches, hiding it from water. It was demonstrated that the dendrimer Lys-2Gly exhibits the best encapsulating properties for both types of fullerenes. It is concluded that all the considered peptide dendrimers and especially the Lys-2Gly dendrimer can be good nanocontainers for the delivery of fullerenes.
Author Contributions
Conceptualization, V.V.B., S.E.M., O.V.S., I.M.N. and D.A.M.; methodology, V.V.B., S.E.M., O.V.S., I.M.N. and D.A.M.; software, S.E.M., V.V.B., N.N.S. and O.V.S.; validation, V.V.B., S.E.M. and N.N.S.; formal analysis, S.E.M., V.V.B., N.N.S. and O.V.S.; investigation, S.E.M., V.V.B., O.V.S. and I.M.N.; resources, I.M.N. and D.A.M.; data curation, I.M.N. and D.A.M. All authors have read and agreed to the published version of the manuscript.
Funding
This work is supported by the Russian Science Foundation (grants No. 23-13-00144).
Institutional Review Board Statement
Not applicable.
Informed Consent Statement
Not applicable.
Data Availability Statement
Data is contained within the article.
Conflicts of Interest
The authors declare no conflicts of interest.
References
- González Corrales, D.; Fernández Rojas, N.; Solís Vindas, G.; Santamaría Muñoz, M.; Chavarría Rojas, M.; Matarrita Brenes, D.; Rojas Salas, M.F.; Madrigal Redondo, G. Dendrimers and Their Applications. J. Drug Deliv. Ther. 2022, 12, 151–158. [Google Scholar] [CrossRef]
- Ziemba, B.; Borowiec, M.; Franiak-Pietryga, I. There and Back Again: A Dendrimer’s Tale. Drug Chem. Toxicol. 2022, 45, 2169–2184. [Google Scholar] [CrossRef] [PubMed]
- Samad, A.; Alam, M.; Saxena, K. Dendrimers: A Class of Polymers in the Nanotechnology for the Delivery of Active Pharmaceuticals. Curr. Pharm. Des. 2009, 15, 2958–2969. [Google Scholar] [CrossRef] [PubMed]
- D’Emanuele, A.; Attwood, D. Dendrimer-Drug Interactions. Adv. Drug Deliv. Rev. 2005, 57, 2147–2162. [Google Scholar] [CrossRef] [PubMed]
- Madaan, K.; Kumar, S.; Poonia, N.; Lather, V.; Pandita, D. Dendrimers in Drug Delivery and Targeting: Drug-Dendrimer Interactions and Toxicity Issues. J. Pharm. Bioallied Sci. 2014, 6, 139–150. [Google Scholar] [CrossRef] [PubMed]
- Allen, T.M.; Cullis, P.R. Drug Delivery Systems: Entering the Mainstream. Science 2004, 303, 1818–1822. [Google Scholar] [CrossRef]
- Sosnik, A.; Carcaboso, A.; Chiappetta, D. Polymeric Nanocarriers: New Endeavors for the Optimization of the Technological Aspects of Drugs. Recent Pat. Biomed. Eng. 2008, 1, 43–59. [Google Scholar] [CrossRef]
- Tyshenko, M.G. Medical Nanotechnology Using Genetic Material and the Need for Precaution in Design and Risk Assessments. Int. J. Nanotechnol. 2008, 5, 116–123. [Google Scholar] [CrossRef]
- Veldhoen, S.; Laufer, S.; Restle, T. Recent Developments in Peptide-Based Nucleic Acid Delivery. Int. J. Mol. Sci. 2008, 9, 1276–1320. [Google Scholar] [CrossRef]
- Cheng, Y.; Xu, T. The Effect of Dendrimers on the Pharmacodynamic and Pharmacokinetic Behaviors of Non-Covalently or Covalently Attached Drugs. Eur. J. Med. Chem. 2008, 43, 2291–2297. [Google Scholar] [CrossRef]
- Karande, P.; Trasatti, J.P.; Chandra, D. Novel Approaches for the Delivery of Biologics to the Central Nervous System. In Novel Approaches and Strategies for Biologics, Vaccines and Cancer Therapies; Elsevier: Amsterdam, The Netherlands, 2015; pp. 59–88. [Google Scholar]
- Surekha, B.; Kommana, N.S.; Dubey, S.K.; Kumar, A.V.P.; Shukla, R.; Kesharwani, P. PAMAM Dendrimer as a Talented Multifunctional Biomimetic Nanocarrier for Cancer Diagnosis and Therapy. Colloids Surf. B Biointerfaces 2021, 204, 111837. [Google Scholar] [CrossRef] [PubMed]
- Janaszewska, A.; Lazniewska, J.; Trzepiński, P.; Marcinkowska, M.; Klajnert-Maculewicz, B. Cytotoxicity of Dendrimers. Biomolecules 2019, 9, 330. [Google Scholar] [CrossRef] [PubMed]
- Chis, A.A.; Dobrea, C.; Morgovan, C.; Arseniu, A.M.; Rus, L.L.; Butuca, A.; Juncan, A.M.; Totan, M.; Vonica-Tincu, A.L.; Cormos, G.; et al. Applications and Limitations of Dendrimers in Biomedicine. Molecules 2020, 25, 3982. [Google Scholar] [CrossRef] [PubMed]
- Luong, D.; Kesharwani, P.; Deshmukh, R.; Mohd Amin, M.C.I.; Gupta, U.; Greish, K.; Iyer, A.K. PEGylated PAMAM Dendrimers: Enhancing Efficacy and Mitigating Toxicity for Effective Anticancer Drug and Gene Delivery. Acta Biomater. 2016, 43, 14–29. [Google Scholar] [CrossRef] [PubMed]
- Kolhatkar, R.B.; Kitchens, K.M.; Swaan, P.W.; Ghandehari, H. Surface Acetylation of Polyamidoamine (PAMAM) Dendrimers Decreases Cytotoxicity While Maintaining Membrane Permeability. Bioconjug. Chem. 2007, 18, 2054–2060. [Google Scholar] [CrossRef]
- Carvalho, M.R.; Carvalho, C.R.; Maia, F.R.; Caballero, D.; Kundu, S.C.; Reis, R.L.; Oliveira, J.M. Peptide-Modified Dendrimer Nanoparticles for Targeted Therapy of Colorectal Cancer. Adv. Ther. 2019, 2, 1900132. [Google Scholar] [CrossRef]
- Kharwade, R.; More, S.; Warokar, A.; Agrawal, P.; Mahajan, N. Starburst Pamam Dendrimers: Synthetic Approaches, Surface Modifications, and Biomedical Applications. Arab. J. Chem. 2020, 13, 6009–6039. [Google Scholar] [CrossRef]
- Santos, S.S.; Gonzaga, R.V.; Silva, J.V.; Savino, D.F.; Prieto, D.; Shikay, J.M.; Silva, R.S.; Paulo, L.H.A.; Ferreira, E.I.; Giarolla, J. Peptide Dendrimers: Drug/Gene Delivery and Other Approaches. Can. J. Chem. 2017, 95, 907–916. [Google Scholar] [CrossRef]
- Sapra, R.; Verma, R.P.; Maurya, G.P.; Dhawan, S.; Babu, J.; Haridas, V. Designer Peptide and Protein Dendrimers: A Cross-Sectional Analysis. Chem. Rev. 2019, 119, 11391–11441. [Google Scholar] [CrossRef]
- Sadler, K.; Tam, J.P. Peptide Dendrimers: Applications and Synthesis. Rev. Mol. Biotechnol. 2002, 90, 195–229. [Google Scholar] [CrossRef]
- Singh, S.K.; Sharma, V.K. Dendrimers: A Class of Polymer in the Nanotechnology for Drug Delivery. In Nanomedicine for Drug Delivery and Therapeutics; John Wiley & Sons, Inc.: Hoboken, NJ, USA, 2013; pp. 373–409. ISBN 9781118414095. [Google Scholar]
- Martinho, N.; Silva, L.C.; Florindo, H.F.; Brocchini, S.; Zloh, M.; Barata, T.S. Rational Design of Novel, Fluorescent, Tagged Glutamic Acid Dendrimers with Different Terminal Groups and in Silico Analysis of Their Properties. Int. J. Nanomed. 2017, 12, 7053–7073. [Google Scholar] [CrossRef] [PubMed]
- Hsu, H.; Bugno, J.; Lee, S.; Hong, S. Dendrimer-based Nanocarriers: A Versatile Platform for Drug Delivery. WIREs Nanomed. Nanobiotechnol. 2017, 9, 1–21. [Google Scholar] [CrossRef] [PubMed]
- Palmerston Mendes, L.; Pan, J.; Torchilin, V. Dendrimers as Nanocarriers for Nucleic Acid and Drug Delivery in Cancer Therapy. Molecules 2017, 22, 1401. [Google Scholar] [CrossRef] [PubMed]
- Kuang, T.; Fu, D.; Chang, L.; Yang, Z.; Chen, Z.; Jin, L.; Chen, F.; Peng, X. Recent Progress in Dendrimer-Based Gene Delivery Systems. Curr. Org. Chem. 2016, 20, 1820–1826. [Google Scholar] [CrossRef]
- Pompilio, A.; Geminiani, C.; Mantini, P.; Siriwardena, T.N.; Di Bonaventura, I.; Reymond, J.L.; Di Bonaventura, G. Peptide Dendrimers as “Lead Compounds” for the Treatment of Chronic Lung Infections by Pseudomonas Aeruginosa in Cystic Fibrosis Patients: In Vitro and in Vivo Studies. Infect. Drug Resist. 2018, 11, 1767–1782. [Google Scholar] [CrossRef] [PubMed]
- Ben Jeddou, F.; Falconnet, L.; Luscher, A.; Siriwardena, T.; Reymond, J.-L.; van Delden, C.; Köhler, T. Adaptive and Mutational Responses to Peptide Dendrimer Antimicrobials in Pseudomonas Aeruginosa. Antimicrob. Agents Chemother. 2020, 64, e02040-19. [Google Scholar] [CrossRef] [PubMed]
- Kawano, Y.; Jordan, O.; Hanawa, T.; Borchard, G.; Patrulea, V. Are Antimicrobial Peptide Dendrimers an Escape from ESKAPE? Adv. Wound Care 2020, 9, 378–395. [Google Scholar] [CrossRef]
- Cañas-Arranz, R.; de León, P.; Forner, M.; Defaus, S.; Bustos, M.J.; Torres, E.; Andreu, D.; Blanco, E.; Sobrino, F. Immunogenicity of a Dendrimer B2T Peptide Harboring a T-Cell Epitope From FMDV Non-Structural Protein 3D. Front. Vet. Sci. 2020, 7, 498. [Google Scholar] [CrossRef]
- Mhlwatika, Z.; Aderibigbe, B. Application of Dendrimers for the Treatment of Infectious Diseases. Molecules 2018, 23, 2205. [Google Scholar] [CrossRef]
- Kandeel, M.; Al-Taher, A.; Park, B.K.; Kwon, H.; Al-Nazawi, M. A Pilot Study of the Antiviral Activity of Anionic and Cationic Polyamidoamine Dendrimers against the Middle East Respiratory Syndrome Coronavirus. J. Med. Virol. 2020, 92, 1665–1670. [Google Scholar] [CrossRef]
- Crespo, L.; Sanclimens, G.; Pons, M.; Giralt, E.; Royo, M.; Albericio, F. Peptide and Amide Bond-Containing Dendrimers. Chem. Rev. 2005, 105, 1663–1681. [Google Scholar] [CrossRef] [PubMed]
- Johansson, E.M.V.; Crusz, S.A.; Kolomiets, E.; Buts, L.; Kadam, R.U.; Cacciarini, M.; Bartels, K.-M.; Diggle, S.P.; Cámara, M.; Williams, P.; et al. Inhibition and Dispersion of Pseudomonas Aeruginosa Biofilms by Glycopeptide Dendrimers Targeting the Fucose-Specific Lectin LecB. Chem. Biol. 2008, 15, 1249–1257. [Google Scholar] [CrossRef] [PubMed]
- Gorain, B.; Choudhury, H.; Pandey, M.; Mohd Amin, M.C.I.; Singh, B.; Gupta, U.; Kesharwani, P. Dendrimers as Effective Carriers for the Treatment of Brain Tumor. In Nanotechnology-Based Targeted Drug Delivery Systems for Brain Tumors; Elsevier: Amsterdam, The Netherlands, 2018; pp. 267–305. [Google Scholar]
- Cooper, B.M.; Iegre, J.; O’Donovan, D.H.; Ölwegård Halvarsson, M.; Spring, D.R. Peptides as a Platform for Targeted Therapeutics for Cancer: Peptide–Drug Conjugates (PDCs). Chem. Soc. Rev. 2021, 50, 1480–1494. [Google Scholar] [CrossRef] [PubMed]
- Gorzkiewicz, M.; Kopeć, O.; Janaszewska, A.; Konopka, M.; Pędziwiatr-Werbicka, E.; Tarasenko, I.I.; Bezrodnyi, V.V.; Neelov, I.M.; Klajnert-Maculewicz, B. Poly(Lysine) Dendrimers Form Complexes with SiRNA and Provide Its Efficient Uptake by Myeloid Cells: Model Studies for Therapeutic Nucleic Acid Delivery. Int. J. Mol. Sci. 2020, 21, 3138. [Google Scholar] [CrossRef]
- Sheveleva, N.N.; Markelov, D.A.; Vovk, M.A.; Mikhailova, M.E.; Tarasenko, I.I.; Neelov, I.M.; Lähderanta, E. NMR Studies of Excluded Volume Interactions in Peptide Dendrimers. Sci. Rep. 2018, 8, 8916. [Google Scholar] [CrossRef] [PubMed]
- Sheveleva, N.N.; Markelov, D.A.; Vovk, M.A.; Mikhailova, M.E.; Tarasenko, I.I.; Tolstoy, P.M.; Neelov, I.M.; Lähderanta, E. Lysine-Based Dendrimer with Double Arginine Residues. RSC Adv. 2019, 9, 18018–18026. [Google Scholar] [CrossRef] [PubMed]
- Sheveleva, N.N.; Markelov, D.A.; Vovk, M.A.; Tarasenko, I.I.; Mikhailova, M.E.; Ilyash, M.Y.; Neelov, I.M.; Lahderanta, E. Stable Deuterium Labeling of Histidine-Rich Lysine-Based Dendrimers. Molecules 2019, 24, 2481. [Google Scholar] [CrossRef]
- Sheveleva, N.N.; Bezrodnyi, V.V.; Mikhtaniuk, S.E.; Shavykin, O.V.; Neelov, I.M.; Tarasenko, I.I.; Vovk, M.A.; Mikhailova, M.E.; Penkova, A.V.; Markelov, D.A. Local Orientational Mobility of Collapsed Dendrimers. Macromolecules 2021, 54, 11083–11092. [Google Scholar] [CrossRef]
- Bezrodnyi, V.V.; Mikhtaniuk, S.E.; Shavykin, O.V.; Neelov, I.M.; Sheveleva, N.N.; Markelov, D.A. Size and Structure of Empty and Filled Nanocontainer Based on Peptide Dendrimer with Histidine Spacers at Different PH. Molecules 2021, 26, 6552. [Google Scholar] [CrossRef]
- Santos, A.; Veiga, F.; Figueiras, A. Dendrimers as Pharmaceutical Excipients: Synthesis, Properties, Toxicity and Biomedical Applications. Materials 2020, 13, 65. [Google Scholar] [CrossRef]
- Bai, S.; Thomas, C.; Ahsan, F. Dendrimers as a Carrier for Pulmonary Delivery of Enoxaparin, a Low-Molecular Weight Heparin. J. Pharm. Sci. 2007, 96, 2090–2106. [Google Scholar] [CrossRef] [PubMed]
- Gupta, L.; Sharma, A.K.; Gothwal, A.; Khan, M.S.; Khinchi, M.P.; Qayum, A.; Singh, S.K.; Gupta, U. Dendrimer Encapsulated and Conjugated Delivery of Berberine: A Novel Approach Mitigating Toxicity and Improving in Vivo Pharmacokinetics. Int. J. Pharm. 2017, 528, 88–99. [Google Scholar] [CrossRef]
- Madaan, K.; Lather, V.; Pandita, D. Evaluation of Polyamidoamine Dendrimers as Potential Carriers for Quercetin, a Versatile Flavonoid. Drug Deliv. 2016, 23, 254–262. [Google Scholar] [CrossRef]
- Pentek, T.; Newenhouse, E.; O’Brien, B.; Chauhan, A. Development of a Topical Resveratrol Formulation for Commercial Applications Using Dendrimer Nanotechnology. Molecules 2017, 22, 137. [Google Scholar] [CrossRef]
- Falconieri, M.; Adamo, M.; Monasterolo, C.; Bergonzi, M.; Coronnello, M.; Bilia, A. New Dendrimer-Based Nanoparticles Enhance Curcumin Solubility. Planta Med. 2016, 83, 420–425. [Google Scholar] [CrossRef]
- Zhang, M.; Zhu, J.; Zheng, Y.; Guo, R.; Wang, S.; Mignani, S.; Caminade, A.M.; Majoral, J.P.; Shi, X. Doxorubicin-Conjugated PAMAM Dendrimers for pH-Responsive Drug Release and Folic Acid-Targeted Cancer Therapy. Pharmaceutics 2018, 10, 162. [Google Scholar] [CrossRef]
- Almuqbil, R.M.; Heyder, R.S.; Bielski, E.R.; Durymanov, M.; Reineke, J.J.; da Rocha, S.R.P. Dendrimer Conjugation Enhances Tumor Penetration and Efficacy of Doxorubicin in Extracellular Matrix-Expressing 3D Lung Cancer Models. Mol. Pharm. 2020, 17, 1648–1662. [Google Scholar] [CrossRef]
- Teow, H.M.; Zhou, Z.; Najlah, M.; Yusof, S.R.; Abbott, N.J.; D’Emanuele, A. Delivery of paclitaxel across cellular barriers using a dendrimer-based nanocarrier. Int. J. Pharm. 2013, 441, 701–711. [Google Scholar] [CrossRef]
- Jain, N.K.; Tare, M.S.; Mishra, V.; Tripathi, P.K. The development, characterization and in vivo antiovarian cancer activity of poly(propylene imine) (PPI)-antibody conjugates containing encapsulated paclitaxel. Nanomed. Nanotechnol. Biol. Med. 2015, 11, 207–218. [Google Scholar] [CrossRef] [PubMed]
- Zhou, L.; Li, J.; Yu, B.; Zhang, J.; Hu, H.; Cong, H.; Shen, Y. The drug loading behavior of PAMAM dendrimer: Insights from experimental and simulation study. Sci. China Technol. Sci. 2023, 66, 1129–1140. [Google Scholar] [CrossRef]
- Hsu, C.-Y.; Rajhi, A.A.; Ali, E.; Chandra, S.; Ahmed, H.H.; Adhab, Z.H.; Alkhayyat, A.S.; Alsalamy, A.; Saadh, M.J. Acetyl-terminated PAMAM dendrimers for pH-sensitive delivery of irinotecan and fluorouracil: A molecular dynamics simulation study. Chem. Phys. Lett. 2023, 832, 140876. [Google Scholar] [CrossRef]
- Wolski, P.; Panczyk, T.; Brzyska, A. Molecular Dynamics Simulations of Carbon Quantum Dots Polyamidoamine Dendrimer Nanocomposites. J. Phys. Chem. C 2023, 127, 16740–16750. [Google Scholar] [CrossRef]
- Shen, Z.-L.; Tian, W.-D.; Chen, K.; Ma, Y.-Q. Molecular dynamics simulation of G-actin interacting with PAMAM dendrimers. J. Mol. Graph. Model. 2018, 84, 145–151. [Google Scholar] [CrossRef] [PubMed]
- Stojceski, F.; Grasso, G.; Pallante, L.; Danani, A. Molecular and Coarse-Grained Modeling to Characterize and Optimize Dendrimer-Based Nanocarriers for Short Interfering RNA Delivery. ACS Omega 2020, 5, 2978–2986. [Google Scholar] [CrossRef] [PubMed]
- Trosheva, K.S.; Sorokina, S.A.; Efimova, A.A.; Semenyuk, P.I.; Berkovich, A.K.; Yaroslavov, A.A.; Shifrina, Z.B. Interaction of multicomponent anionic liposomes with cationic pyridylphenylene dendrimer: Does the complex behavior depend on the liposome composition? BBA Biomembr. 2021, 1863, 183761. [Google Scholar] [CrossRef]
- Chawla, P.; Chawla, V.; Maheshwari, R.; Saraf, S.A.; Saraf, S.K. Fullerenes: From Carbon to Nanomedicine. Mini-Rev. Med. Chem. 2010, 10, 662–677. [Google Scholar] [CrossRef]
- Song, M.; Liu, S.; Yin, J.; Wang, H. Interaction of Human Serum Album and C60 Aggregates in Solution. Int. J. Mol. Sci. 2011, 12, 4964–4974. [Google Scholar] [CrossRef]
- Kroto, H.W.; Heath, J.R.; O’Brien, S.C.; Curl, R.F.; Smalley, R.E. C60: Buckminsterfullerene. Nature 1985, 318, 162–163. [Google Scholar] [CrossRef]
- Torres, V.M.; Srdjenovic, B. Biomedical Application of Fullerenes. In Handbook on Fullerene: Synthesis, Properties and Applications; Verner, R.F., Benvegnu, C., Eds.; Nova Science Publishers, Inc.: Hauppauge, NY, USA, 2011; pp. 199–239. [Google Scholar]
- Moussa, F. [60]Fullerene and Derivatives for Biomedical Applications. In Nanobiomaterials; Elsevier: Amsterdam, The Netherlands, 2018; pp. 113–136. [Google Scholar]
- Kazemzadeh, H.; Mozafari, M. Fullerene-Based Delivery Systems. Drug Discov. Today 2019, 24, 898–905. [Google Scholar] [CrossRef]
- Gharbi, N.; Pressac, M.; Hadchouel, M.; Szwarc, H.; Wilson, S.R.; Moussa, F. [60]Fullerene Is a Powerful Antioxidant in Vivo with No Acute or Subacute Toxicity. Nano Lett. 2005, 5, 2578–2585. [Google Scholar] [CrossRef]
- Roy, P.; Bag, S.; Chakraborty, D.; Dasgupta, S. Exploring the Inhibitory and Antioxidant Effects of Fullerene and Fullerenol on Ribonuclease A. ACS Omega 2018, 3, 12270–12283. [Google Scholar] [CrossRef]
- Zhao, P.-F.; Liu, Z.-Q. Attaching a Dipeptide to Fullerene as an Antioxidant Hybrid against DNA Oxidation. Chem. Res. Toxicol. 2021, 34, 2366–2374. [Google Scholar] [CrossRef] [PubMed]
- Lyon, D.Y.; Adams, L.K.; Falkner, J.C.; Alvarez, P.J.J. Antibacterial Activity of Fullerene Water Suspensions: Effects of Preparation Method and Particle Size. Environ. Sci. Technol. 2006, 40, 4360–4366. [Google Scholar] [CrossRef] [PubMed]
- Piotrovsky, L.B.; Kiselev, O.I. Fullerenes and Viruses. Fuller. Nanotub. Carbon Nanostruct. 2005, 12, 397–403. [Google Scholar] [CrossRef]
- Cheng, L.; Wang, C.; Feng, L.; Yang, K.; Liu, Z. Functional Nanomaterials for Phototherapies of Cancer. Chem. Rev. 2014, 114, 10869–10939. [Google Scholar] [CrossRef] [PubMed]
- Chen, Z.; Mao, R.; Liu, Y. Fullerenes for Cancer Diagnosis and Therapy: Preparation, Biological and Clinical Perspectives. Curr. Drug Metab. 2012, 13, 1035–1045. [Google Scholar] [CrossRef]
- Fernandes, N.B.; Shenoy, R.U.K.; Kajampady, M.K.; DCruz, C.E.M.; Shirodkar, R.K.; Kumar, L.; Verma, R. Fullerenes for the Treatment of Cancer: An Emerging Tool. Environ. Sci. Pollut. Res. 2022, 29, 58607–58627. [Google Scholar] [CrossRef]
- Kokubo, K.; Matsubayashi, K.; Tategaki, H.; Takada, H.; Oshima, T. Facile Synthesis of Highly Water-Soluble Fullerenes More Than Half-Covered by Hydroxyl Groups. ACS Nano 2008, 2, 327–333. [Google Scholar] [CrossRef]
- Anilkumar, P.; Lu, F.; Cao, L.; Luo, P.G.; Liu, J.-H.; Sahu, S.; Tackett, K.N., II; Wang, Y.; Sun, Y.-P. Fullerenes for Applications in Biology and Medicine. Curr. Med. Chem. 2011, 18, 2045–2059. [Google Scholar] [CrossRef]
- Giacalone, F.; D’Anna, F.; Giacalone, R.; Gruttadauria, M.; Riela, S.; Noto, R. Cyclodextrin-[60]Fullerene Conjugates: Synthesis, Characterization, and Electrochemical Behavior. Tetrahedron Lett. 2006, 47, 8105–8108. [Google Scholar] [CrossRef]
- Zhang, L.W.; Yang, J.; Barron, A.R.; Monteiro-Riviere, N.A. Endocytic Mechanisms and Toxicity of a Functionalized Fullerene in Human Cells. Toxicol. Lett. 2009, 191, 149–157. [Google Scholar] [CrossRef] [PubMed]
- Lu, F.; Haque, S.A.; Yang, S.-T.; Luo, P.G.; Gu, L.; Kitaygorodskiy, A.; Li, H.; Lacher, S.; Sun, Y.-P. Aqueous Compatible Fullerene−Doxorubicin Conjugates. J. Phys. Chem. C 2009, 113, 17768–17773. [Google Scholar] [CrossRef] [PubMed][Green Version]
- Yang, X.; Ebrahimi, A.; Li, J.; Cui, Q. Fullerene-Biomolecule Conjugates and Their Biomedicinal Applications. Int. J. Nanomed. 2014, 9, 77–92. [Google Scholar] [CrossRef] [PubMed]
- Biswas, R.; Batista Da Rocha, C.; Bennick, R.A.; Zhang, J. Water-Soluble Fullerene Monoderivatives for Biomedical Applications. ChemMedChem 2023, 18, e202300296. [Google Scholar] [CrossRef] [PubMed]
- Smith, B.W.; Monthioux, M.; Luzzi, D.E. Encapsulated C60 in Carbon Nanotubes. Nature 1998, 396, 323–324. [Google Scholar] [CrossRef]
- Simon, F.; Peterlik, H.; Pfeiffer, R.; Bernardi, J.; Kuzmany, H. Fullerene Release from the inside of Carbon Nanotubes: A Possible Route toward Drug Delivery. Chem. Phys. Lett. 2007, 445, 288–292. [Google Scholar] [CrossRef]
- Zhou, Z. Liposome Formulation of Fullerene-Based Molecular Diagnostic and Therapeutic Agents. Pharmaceutics 2013, 5, 525–541. [Google Scholar] [CrossRef] [PubMed]
- Hahn, U.; Vögtle, F.; Nierengarten, J.-F. Synthetic Strategies towards Fullerene-Rich Dendrimer Assemblies. Polymers 2012, 4, 501–538. [Google Scholar] [CrossRef]
- Nishioka, T.; Tashiro, K.; Aida, T.; Zheng, J.-Y.; Kinbara, K.; Saigo, K.; Sakamoto, S.; Yamaguchi, K. Molecular Design of a Novel Dendrimer Porphyrin for Supramolecular Fullerene/Dendrimer Hybridization. Macromolecules 2000, 33, 9182–9184. [Google Scholar] [CrossRef]
- Kay, K.-Y.; Han, K.-J.; Yu, Y.-J.; Park, Y.D. Dendritic fullerenes (C60) with photoresponsive azobenzene groups. Tetrahedron Lett. 2002, 43, 5053–5056. [Google Scholar] [CrossRef]
- Rio, Y.; Accorsi, G.; Nierengarten, H.; Rehspringer, J.-L.; Honerlage, B.; Kopitkovas, G.; Chugreev, A.; Dorsselaer, A.V.; Armaroli, N.; Nierengarten, J.-F. Fullerodendrimers with peripheral triethyleneglycol chains: Synthesis, mass spectrometric characterization, and photophysical properties. New J. Chem. 2002, 26, 1146–1154. [Google Scholar] [CrossRef]
- Takaguchi, Y.; Sako, Y.; Yanagimoto, Y.; Tsuboi, S.; Motoyoshiya, J.; Aoyama, H.; Wakahara, T.; Akasaka, T. Facile and reversible synthesis of an acidic water-soluble poly(amidoamine) fullerodendrimer. Tetrahedron Lett. 2003, 44, 5777–5780. [Google Scholar] [CrossRef]
- Takaguchi, Y.; Yanagimoto, Y.; Fujima, S.; Tsuboi, S. Photooxygenation of Olefins, Phenol, and Sulfide Using Fullerodendrimer as Catalyst. Chem. Lett. 2004, 33, 1142–1143. [Google Scholar] [CrossRef]
- Jensen, A.W.; Maru, B.S.; Zhang, X.; Mohanty, D.K.; Fahlman, B.D.; Swanson, D.R.; Tomalia, D.A. Preparation of Fullerene-Shell Dendrimer-Core Nanoconjugates. Nano Lett. 2005, 5, 1171–1173. [Google Scholar] [CrossRef]
- Hahn, U.; Cardinali, F.; Nierengarten, J.-F. Supramolecular chemistry for the self-assembly of fullerene-rich dendrimers. New J. Chem. 2007, 31, 1128–1138. [Google Scholar] [CrossRef]
- Chai, M.; Jensen, A.W.; Abdelhady, H.G.; Tomalia, D.A. AFM Analysis of C60 and a Poly(amido amine) Dendrimer-C60 Nanoconjugate. J. Nanosci. Nanotechnol. 2007, 7, 1401–1405. [Google Scholar] [CrossRef]
- Scanu, D.; Yevlampieva, N.P.; Deschenaux, R. Polar and Electrooptical Properties of [60]Fullerene-Containing Poly(benzyl ether) Dendrimers in Solution. Macromolecules 2007, 40, 1133–1139. [Google Scholar] [CrossRef]
- Hahn, U.; Nierengarten, J.-F.; Vögtle, F.; Listorti, A.; Monti, F.; Armaroli, N. Fullerene-rich dendrimers: Divergent synthesis and photophysical properties. New J. Chem. 2009, 33, 337–344. [Google Scholar] [CrossRef]
- Hahn, U.; Nierengarten, J.-F.; Delavaux-Nicot, B.; Monti, F.; Chiorboli, C.; Armaroli, N. Fullerodendrimers with a perylenediimide core. New J. Chem. 2011, 35, 2234–2244. [Google Scholar] [CrossRef]
- Kim, J.; Yun, M.H.; Lee, J.; Kim, J.Y.; Wudl, F.; Yang, C. A synthetic approach to a fullerene-rich dendron and its linear polymer via ring-opening metathesis polymerization. Chem. Commun. 2011, 47, 3078. [Google Scholar] [CrossRef]
- Hung, C.-H.; Chang, W.-W.; Liu, S.-C.; Wu, S.-J.; Chu, C.-C.; Tsai, Y.-J.; Imae, T. Self-aggregation of amphiphilic [60]fullerenyl focal point functionalized PAMAM dendrons into pseudodendrimers: DNA binding involving dendriplex formation. J. Biomed. Mater. Res. Part A 2015, 103, 1595–1604. [Google Scholar] [CrossRef] [PubMed]
- Vonlanthen, M.; Gonzalez-Ortega, J.; Porcu, P.; Ruiu, A.; Rodríguez-Alba, E.; Cevallos-Vallejo, A.; Rivera, E. Pyrene-labeled dendrimers functionalized with fullerene C60 or porphyrin core as light harvesting antennas. Synth. Met. 2018, 245, 195–201. [Google Scholar] [CrossRef]
- Schonberger, H.; Schwab, C.H.; Hirsch, A.; Gasteiger, J. Molecular Modeling of Fullerene Dendrimers. J. Mol. Model. 2000, 6, 379–395. [Google Scholar] [CrossRef]
- Nierengarten, J.-F. Dendritic encapsulation of active core molecules. C. R. Chim. 2003, 6, 725–733. [Google Scholar] [CrossRef]
- Kujawski, M.; Rakesh, L.; Gala, K.; Jensen, A.; Fahlman, B.; Feng, Z.R.; Mohanty, D.K. Molecular Dynamics Simulation of Polyamidoamine Dendrimer-Fullerene Conjugates:Generations Zero Through Four. J. Nanosci. Nanotechnol. 2007, 7, 1670–1674. [Google Scholar] [CrossRef] [PubMed]
- Bhattacharya, P.; Kim, S.H.; Chen, P.; Chen, R.; Spuches, A.M.; Brown, J.M.; Lamm, M.H.; Ke, P.C. Dendrimer-fullerenol soft-condensed nanoassembly. J. Phys. Chem. C 2012, 116, 15775–15781. [Google Scholar] [CrossRef] [PubMed][Green Version]
- Albrecht, K.; Kasai, Y.; Kuramoto, Y.; Yamamoto, K. Dynamic control of dendrimer–fullerene association by axial coordination to the core. Chem. Commun. 2013, 49, 6861. [Google Scholar] [CrossRef]
- Albrecht, K.; Kasai, Y.; Kuramoto, Y.; Yamamoto, K. A fourth-generation carbazole-phenylazomethine dendrimer as a size-selective host for fullerenes. Chem. Commun. 2013, 49, 865–867. [Google Scholar] [CrossRef]
- Eckert, J.-F.; Byrne, D.; Nicoud, J.-F.; Oswald, L.; Nierengarten, J.-F.; Numata, M.; Ikeda, A.; Shinkai, S.; Armaroli, N. Polybenzyl Ether Dendrimers for the Complexation of [60]Fullerenes. New J. Chem. 2000, 24, 749–758. [Google Scholar] [CrossRef]
- Gorzkiewicz, M.; Konopka, M.; Janaszewska, A.; Tarasenko, I.I.; Sheveleva, N.N.; Gajek, A.; Neelov, I.M.; Klajnert-Maculewicz, B. Application of New Lysine-Based Peptide Dendrimers D3K2 and D3G2 for Gene Delivery: Specific Cytotoxicity to Cancer Cells and Transfection in Vitro. Bioorg. Chem. 2020, 95, 103504. [Google Scholar] [CrossRef]
- Ikeda, A.; Doi, Y.; Nishiguchi, K.; Kitamura, K.; Hashizume, M.; Kikuchi, J.; Yogo, K.; Ogawa, T.; Takeya, T. Induction of Cell Death by Photodynamic Therapy with Water-Soluble Lipid-Membrane-Incorporated [60]Fullerene. Org. Biomol. Chem. 2007, 5, 1158. [Google Scholar] [CrossRef] [PubMed]
- Kulchitsky, V.A.; Alexandrova, R.; Suziedelis, K.; Paschkevich, S.G.; Potkin, V.I. Perspectives of Fullerenes, Dendrimers, and Heterocyclic Compounds Application in Tumor Treatment. Recent Pat. Nanomed. 2015, 4, 82–89. [Google Scholar] [CrossRef]
- Markelov, D.A.; Mazo, M.A.; Balabaev, N.K.; Gotlib, Y.Y. Temperature Dependence of the Structure of a Carbosilane Dendrimer with Terminal Cyanobiphenyl Groups: Molecular-Dynamics Simulation. Polym. Sci. Ser. A 2013, 55, 53–60. [Google Scholar] [CrossRef]
- Markelov, D.A.; Polotsky, A.A.; Birshtein, T.M. Formation of a “Hollow” Interior in the Fourth-Generation Dendrimer with Attached Oligomeric Terminal Segments. J. Phys. Chem. B 2014, 118, 14961–14971. [Google Scholar] [CrossRef] [PubMed]
- Chen, C.; Tang, P.; Qiu, F.; Shi, A.C. Density Functional Study for Homodendrimers and Amphiphilic Dendrimers. J. Phys. Chem. B 2016, 120, 5553–5563. [Google Scholar] [CrossRef] [PubMed]
- Markelov, D.A.; Semisalova, A.S.; Mazo, M.A. Formation of a Hollow Core in Dendrimers in Solvents. Macromol. Chem. Phys. 2021, 222, 2100085. [Google Scholar] [CrossRef]
- Kłos, J.S.; Sommer, J.-U. Properties of Dendrimers with Flexible Spacer-Chains: A Monte Carlo Study. Macromolecules 2009, 42, 4878–4886. [Google Scholar] [CrossRef]
- Rudnick, J.; Gaspari, G. The Aspherity of Random Walks. J. Phys. A Math. Gen. 1986, 19, L191–L193. [Google Scholar] [CrossRef]
- Theodorou, D.N.; Suter, U.W. Shape of Unperturbed Linear Polymers: Polypropylene. Macromolecules 1985, 18, 1206–1214. [Google Scholar] [CrossRef]
- Roberts, B.P.; Scanlon, M.J.; Krippner, G.Y.; Chalmers, D.K. Molecular Dynamics of Poly(L-lysine) Dendrimers with Naphthalene Disulfonate Caps. Macromolecules 2009, 42, 2775–2783. [Google Scholar] [CrossRef]
- Ohshima, H. Theory of Colloid and Interfacial Electric Phenomena; Interface Science and Technology; Academic Press: Cambridge, MA, USA, 2006; Volume 12, p. 473. ISBN 9780123706423. [Google Scholar]
- Eslami, H.; Khani, M.; Muller-Plathe, F. Gaussian Charge Distributions for Incorporation of Electrostatic Interactions in Dissipative Particle Dynamics: Application to Self-Assembly of Surfactants. J. Chem. Theory Comput. 2019, 15, 4197–4207. [Google Scholar] [CrossRef] [PubMed]
- Delgado, A.V.; Gonzalez-Caballero, F.; Hunter, R.J.; Koopal, L.K.; Lyklema, J. Measurement and interpretation of electrokinetic phenomena. Pure Appl. Chem. 2005, 77, 1753–1805. [Google Scholar] [CrossRef]
- Abraham, M.J.; Murtola, T.; Schulz, R.; Páll, S.; Smith, J.C.; Hess, B.; Lindahl, E. GROMACS: High Performance Molecular Simulations through Multi-Level Parallelism from Laptops to Supercomputers. SoftwareX 2015, 1–2, 19–25. [Google Scholar] [CrossRef]
- Lindorff-Larsen, K.; Piana, S.; Palmo, K.; Maragakis, P.; Klepeis, J.L.; Dror, R.O.; Shaw, D.E. Improved Side-Chain Torsion Potentials for the Amber Ff99SB Protein Force Field. Proteins Struct. Funct. Bioinform. 2010, 78, 1950–1958. [Google Scholar] [CrossRef] [PubMed]
- Mikhtaniuk, S.; Bezrodnyi, V.; Shavykin, O.; Neelov, I.; Sheveleva, N.; Penkova, A.; Markelov, D. Comparison of Structure and Local Dynamics of Two Peptide Dendrimers with the Same Backbone but with Different Side Groups in Their Spacers. Polymers 2020, 12, 1657. [Google Scholar] [CrossRef]
- Stroet, M.; Caron, B.; Visscher, K.M.; Geerke, D.P.; Malde, A.K.; Mark, A.E. Automated Topology Builder Version 3.0: Prediction of Solvation Free Enthalpies in Water and Hexane. J. Chem. Theory Comput. 2018, 14, 5834–5845. [Google Scholar] [CrossRef] [PubMed]
- Darinskii, A.; Gotlib, Y.Y.; Lyulin, A.; Neyelov, L.M. Computer Simulation of Local Dynamics of a Polymer Chain in the Orienting Field of the Liquid Crystal Type. Polym. Sci. USSR 1991, 33, 1116–1125. [Google Scholar] [CrossRef]
- Ennari, J.A.; Elomaa, M.; Neelov, I.; Sundholm, F. Modeling of water-free and water containing solid polyelectrolytes. Polymer 2000, 41, 985–990. [Google Scholar] [CrossRef]
- Ennari, J.; Neelov, I.; Sundholm, F. Molecular dynamics simulation of the PEO sulfonic acid anion in water. Comput. Theor. Polym. Sci. 2000, 10, 403–410. [Google Scholar] [CrossRef]
- Neelov, I.M.; Binder, K. Brownian dynamics of grafted polymer chains: Time dependent properties. Macromol. Theory Simul. 1995, 4, 1063–1084. [Google Scholar] [CrossRef]
- Neelov, I.M.; Adolf, D.B.; McLeish, T.C.B.; Paci, E. Molecular Dynamics Simulation of Dextran Extension by Constant Force in Single Molecule AFM. Biophys. J. 2006, 91, 3579–3588. [Google Scholar] [CrossRef]
- Gowdy, J.; Batchelor, M.; Neelov, I.; Paci, E. Nonexponential Kinetics of Loop Formation in Proteins and Peptides: A Signature of Rugged Free Energy Landscapes? J. Phys. Chem. B 2017, 121, 9518–9525. [Google Scholar] [CrossRef] [PubMed]
- Bezrodnyi, V.V.; Shavykin, O.V.; Mikhtaniuk, S.E.; Neelov, I.M.; Sheveleva, N.N.; Markelov, D.A. Why the Orientational Mobility in Arginine and Lysine Spacers of Peptide Dendrimers Designed for Gene Delivery Is Different? Int. J. Mol. Sci. 2020, 21, 9749. [Google Scholar] [CrossRef] [PubMed]
- Shavykin, O.V.; Neelov, I.M.; Darinskii, A.A. Is the Manifestation of the Local Dynamics in the Spin–Lattice NMR Relaxation in Dendrimers Sensitive to Excluded Volume Interactions? Phys. Chem. Chem. Phys. 2016, 18, 24307–24317. [Google Scholar] [CrossRef] [PubMed]
- Shavykin, O.V.; Mikhailov, I.V.; Darinskii, A.A.; Neelov, I.M.; Leermakers, F.A.M. Effect of an Asymmetry of Branching on Structural Characteristics of Dendrimers Revealed by Brownian Dynamics Simulations. Polymer 2018, 146, 256–266. [Google Scholar] [CrossRef]
- Shavykin, O.V.; Leermakers, F.A.M.; Neelov, I.M.; Darinskii, A.A. Self-Assembly of Lysine-Based Dendritic Surfactants Modeled by the Self-Consistent Field Approach. Langmuir 2018, 34, 1613–1626. [Google Scholar] [CrossRef]
- Mikhailov, I.V.; Darinskii, A.A. Does symmetry of branching affect the properties of dendrimers? Polym. Sci. Ser. A 2014, 56, 534–544. [Google Scholar] [CrossRef]
Disclaimer/Publisher’s Note: The statements, opinions and data contained in all publications are solely those of the individual author(s) and contributor(s) and not of MDPI and/or the editor(s). MDPI and/or the editor(s) disclaim responsibility for any injury to people or property resulting from any ideas, methods, instructions or products referred to in the content. |
© 2024 by the authors. Licensee MDPI, Basel, Switzerland. This article is an open access article distributed under the terms and conditions of the Creative Commons Attribution (CC BY) license (https://creativecommons.org/licenses/by/4.0/).







