Genome-Wide Identification and Role of the bHLH Gene Family in Dendrocalamus latiflorus Flowering Regulation
Abstract
1. Introduction
2. Results
2.1. bHLH TFs in D. latiflorus
2.2. Phylogenetic Analysis of the DlbHLHs
2.3. Gene Structure and Conserved Motifs of DlbHLHs
2.4. Chromosomal Location, Collinearity, and Evolution Analysis of DlbHLHs
2.5. Cis-Acting Elements in DlbHLH Promoters
2.6. Transcription Factor Binding Sites (TFBSs) in DlbHLH Promoters
2.7. Protein–Protein Interaction Network of the DlbHLH Members
2.8. Expression Patterns of DlbHLHs in Four Flower Developmental Stages
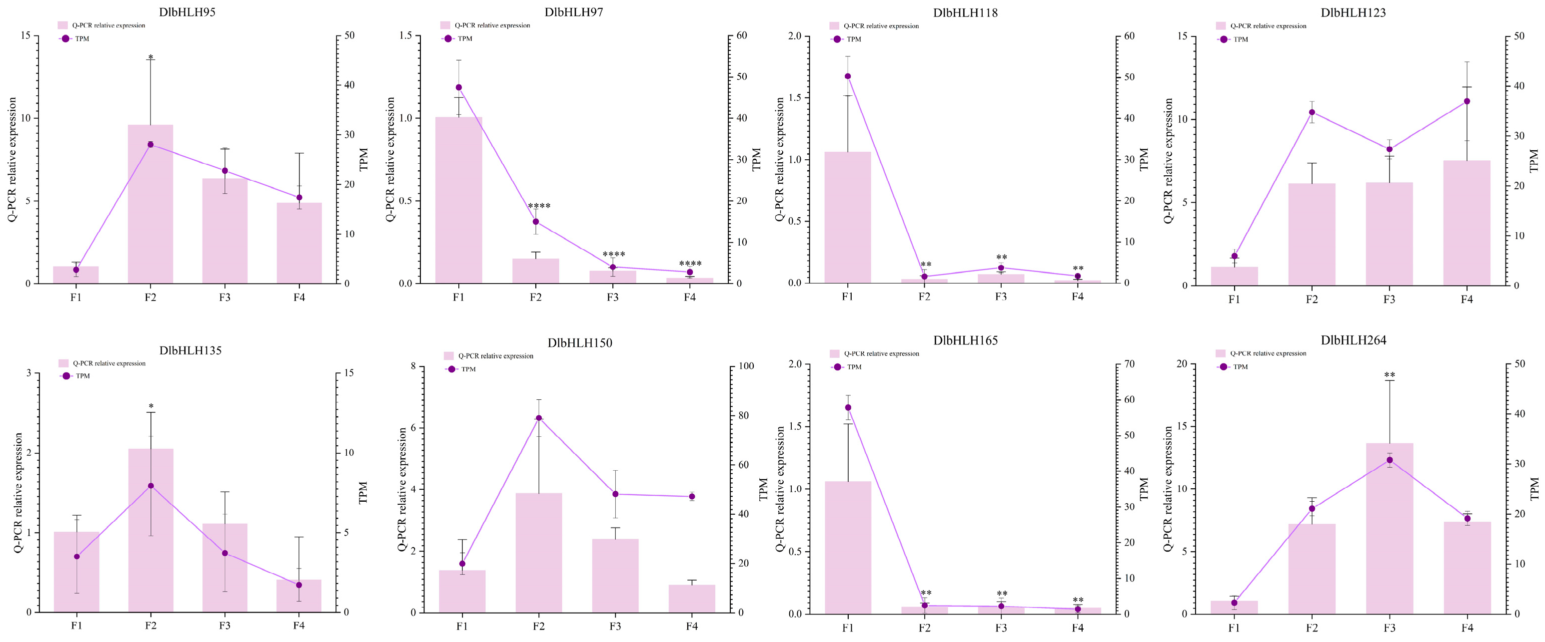
2.9. Validation of DlbHLH Expression
3. Discussion
4. Materials and Methods
4.1. Plant Materials
4.2. RNA-Seq and Transcriptome Data Analysis
4.3. qRT-PCR Validation
4.4. Identification of D. latiflorus bHLH Transcription Factor Family
4.5. Bioinformatic Analysis of D. latiflorus bHLH Transcription Factor Family
4.6. Phylogeny, Gene Duplications, and Selection Pressure Analysis
5. Conclusions
Supplementary Materials
Author Contributions
Funding
Institutional Review Board Statement
Informed Consent Statement
Data Availability Statement
Conflicts of Interest
References
- Cho, L.-H.; Yoon, J.; An, G. The Control of Flowering Time by Environmental Factors. Plant J. 2017, 90, 708–719. [Google Scholar] [CrossRef] [PubMed]
- Tian, Z.; Liu, X.; Fan, Z.; Liu, J.; Pimm, S.L.; Liu, L.; Garcia, C.; Songer, M.; Shao, X.; Skidmore, A.; et al. The next Widespread Bamboo Flowering Poses a Massive Risk to the Giant Panda. Biol. Conserv. 2019, 234, 180–187. [Google Scholar] [CrossRef]
- Zheng, X.; Lin, S.; Fu, H.; Wan, Y.; Ding, Y. The Bamboo Flowering Cycle Sheds Light on Flowering Diversity. Front. Plant Sci. 2020, 11, 381. [Google Scholar] [CrossRef] [PubMed]
- Böhlenius, H.; Huang, T.; Charbonnel-Campaa, L.; Brunner, A.M.; Jansson, S.; Strauss, S.H.; Nilsson, O. CO/FT Regulatory Module Controls Timing of Flowering and Seasonal Growth Cessation in Trees. Science 2006, 312, 1040–1043. [Google Scholar] [CrossRef] [PubMed]
- Keeley, J.E.; Bond, W.J. Mast Flowering and Semelparity in Bamboos: The Bamboo Fire Cycle Hypothesis. Am. Nat. 1999, 154, 383–391. [Google Scholar] [CrossRef] [PubMed]
- Wu, C.; Cheng, Z.; Gao, J. Mysterious Bamboo Flowering Phenomenon: A Literature Review and New Perspectives. Sci. Total Environ. 2024, 911, 168695. [Google Scholar] [CrossRef]
- Fornara, F.; De Montaigu, A.; Coupland, G. SnapShot: Control of Flowering in Arabidopsis. Cell 2010, 141, 550–550.e2. [Google Scholar] [CrossRef]
- Bouché, F.; Lobet, G.; Tocquin, P.; Périlleux, C. FLOR-ID: An Interactive Database of Flowering-Time Gene Networks in Arabidopsis thaliana. Nucleic Acids Res. 2016, 44, D1167–D1171. [Google Scholar] [CrossRef]
- Ferré-D’Amaré, A.R.; Prendergast, G.C.; Ziff, E.B.; Burley, S.K. Recognition by Max of Its Cognate DNA through a Dimeric b/HLH/Z Domain. Nature 1993, 363, 38–45. [Google Scholar] [CrossRef]
- Hao, Y.; Zong, X.; Ren, P.; Qian, Y.; Fu, A. Basic Helix-Loop-Helix (bHLH) Transcription Factors Regulate a Wide Range of Functions in Arabidopsis. Int. J. Mol. Sci. 2021, 22, 7152. [Google Scholar] [CrossRef]
- Liu, H.; Wang, K.; Yang, J.; Wang, X.; Mei, Q.; Qiu, L.; Ma, F.; Mao, K. The Apple Transcription Factor MdbHLH4 Regulates Plant Morphology and Fruit Development by Promoting Cell Enlargement. Plant Physiol. Biochem. 2023, 205, 108207. [Google Scholar] [CrossRef] [PubMed]
- Huang, Y.; Xing, X.; Jin, J.; Tang, Y.; Ding, L.; Song, A.; Chen, S.; Chen, F.; Jiang, J.; Fang, W. CmbHLH110, a Novel bHLH Transcription Factor, Accelerates Flowering in Chrysanthemum. Hortic. Plant J. 2024, S2468014124000232. [Google Scholar] [CrossRef]
- Guo, H.; Yang, H.; Mockler, T.C.; Lin, C. Regulation of Flowering Time by Arabidopsis Photoreceptors. Science 1998, 279, 1360–1363. [Google Scholar] [CrossRef] [PubMed]
- Liu, H.; Yu, X.; Li, K.; Klejnot, J.; Yang, H.; Lisiero, D.; Lin, C. Photoexcited CRY2 Interacts with CIB1 to Regulate Transcription and Floral Initiation in Arabidopsis. Science 2008, 322, 1535–1539. [Google Scholar] [CrossRef] [PubMed]
- Liu, Y.; Li, X.; Ma, D.; Chen, Z.; Wang, J.; Liu, H. CIB 1 and CO Interact to Mediate CRY 2-dependent Regulation of Flowering. EMBO Rep. 2018, 19, e45762. [Google Scholar] [CrossRef]
- Ledent, V.; Vervoort, M. The Basic Helix-Loop-Helix Protein Family: Comparative Genomics and Phylogenetic Analysis. Genome Res. 2001, 11, 754–770. [Google Scholar] [CrossRef]
- Xiang, M.; Ding, W.; Wu, C.; Wang, W.; Ye, S.; Cai, C.; Hu, X.; Wang, N.; Bai, W.; Tang, X.; et al. Production of Purple Ma Bamboo (Dendrocalamus latiflorus Munro) with Enhanced Drought and Cold Stress Tolerance by Engineering Anthocyanin Biosynthesis. Planta 2021, 254, 50. [Google Scholar] [CrossRef]
- Wang, R.; Guo, Z.; Cai, C.; Zhang, J.; Bian, F.; Sun, S.; Wang, Q. Practices and Roles of Bamboo Industry Development for Alleviating Poverty in China. Clean Technol. Environ. Policy 2021, 23, 1687–1699. [Google Scholar] [CrossRef]
- Zhu, P.; Yang, J.; Yang, D.; Xu, Y.; He, T.; Rong, J.; Zheng, Y.; Chen, L. Identification and Characterization of the Cupin_1 Domain-Containing Proteins in Ma Bamboo (Dendrocalamus latiflorus) and Their Potential Role in Rhizome Sprouting. Front. Plant Sci. 2023, 14, 1260856. [Google Scholar] [CrossRef]
- Taylor, A.H.; Zisheng, Q. Regeneration from seed of Sinarundinaria fangiana, a bamboo, in the wolong giant panda reserve, Sichuan, China. Am. J. Bot. 1988, 75, 1065–1073. [Google Scholar] [CrossRef]
- Yang, D.; Yang, J.; Wan, J.; Xu, Y.; Li, L.; Rong, J.; Chen, L.; He, T.; Zheng, Y. Genome-Wide Identification of MIKCc-Type MADS-Box Family Gene and Floral Organ Transcriptome Characterization in Ma Bamboo (Dendrocalamus latiflorus Munro). Genes 2022, 14, 78. [Google Scholar] [CrossRef] [PubMed]
- Wang, X.; Wang, Y.; Yang, G.; Zhao, L.; Zhang, X.; Li, D.; Guo, Z. Complementary Transcriptome and Proteome Analyses Provide Insight into the Floral Transition in Bamboo (Dendrocalamus latiflorus Munro). Int. J. Mol. Sci. 2020, 21, 8430. [Google Scholar] [CrossRef] [PubMed]
- Gao, F.; Dubos, C. The Arabidopsis bHLH Transcription Factor Family. Trends Plant Sci. 2024, 29, 668–680. [Google Scholar] [CrossRef] [PubMed]
- Guo, X.-J.; Wang, J.-R. Global Identification, Structural Analysis and Expression Characterization of bHLH Transcription Factors in Wheat. BMC Plant Biol. 2017, 17, 90. [Google Scholar] [CrossRef]
- Yin, Y.; Yan, Z.; Guan, J.; Huo, Y.; Wang, T.; Li, T.; Cui, Z.; Ma, W.; Wang, X.; Chen, W. Two Interacting Basic Helix-Loop-Helix Transcription Factors Control Flowering Time in Rice. Plant Physiol. 2023, 192, 205–221. [Google Scholar] [CrossRef]
- Toledo-Ortiz, G.; Huq, E.; Quail, P.H. The Arabidopsis Basic/Helix-Loop-Helix Transcription Factor Family[W]. Plant Cell 2003, 15, 1749–1770. [Google Scholar] [CrossRef]
- Pires, N.; Dolan, L. Origin and Diversification of Basic-Helix-Loop-Helix Proteins in Plants. Mol. Biol. Evol. 2010, 27, 862–874. [Google Scholar] [CrossRef]
- Xu, J.; Xu, H.; Zhao, H.; Liu, H.; Xu, L.; Liang, Z. Genome-Wide Investigation of bHLH Genes and Expression Analysis under Salt and Hormonal Treatments in Andrographis Paniculata. Ind. Crops Prod. 2022, 183, 114928. [Google Scholar] [CrossRef]
- Wang, R.; Li, Y.; Gao, M.; Han, M.; Liu, H. Genome-Wide Identification and Characterization of the bHLH Gene Family and Analysis of Their Potential Relevance to Chlorophyll Metabolism in Raphanus sativus L. BMC Genom. 2022, 23, 548. [Google Scholar] [CrossRef]
- Fajardo, D.; Saint Jean, R.; Lyons, P.J. Acquisition of New Function through Gene Duplication in the Metallocarboxypeptidase Family. Sci. Rep. 2023, 13, 2512. [Google Scholar] [CrossRef]
- Ding, A.; Ding, A.; Li, P.; Wang, J.; Cheng, T.; Bao, F.; Zhang, Q. Genome-Wide Identification and Low-Temperature Expression Analysis of bHLH Genes in Prunus Mume. Front. Genet. 2021, 12, 762135. [Google Scholar] [CrossRef] [PubMed]
- Yu, J.; Xie, Q.; Li, C.; Dong, Y.; Zhu, S.; Chen, J. Comprehensive Characterization and Gene Expression Patterns of LBD Gene Family in Gossypium. Planta 2020, 251, 81. [Google Scholar] [CrossRef] [PubMed]
- Wittkopp, P.J.; Kalay, G. Cis-Regulatory Elements: Molecular Mechanisms and Evolutionary Processes Underlying Divergence. Nat. Rev. Genet. 2012, 13, 59–69. [Google Scholar] [CrossRef] [PubMed]
- Sasaki-Sekimoto, Y.; Jikumaru, Y.; Obayashi, T.; Saito, H.; Masuda, S.; Kamiya, Y.; Ohta, H.; Shirasu, K. Basic Helix-Loop-Helix Transcription Factors JASMONATE-ASSOCIATED MYC2-LIKE1 (JAM1), JAM2, and JAM3 Are Negative Regulators of Jasmonate Responses in Arabidopsis. Plant Physiol. 2013, 163, 291–304. [Google Scholar] [CrossRef] [PubMed]
- Wang, H.; Li, Y.; Pan, J.; Lou, D.; Hu, Y.; Yu, D. The bHLH Transcription Factors MYC2, MYC3, and MYC4 Are Required for Jasmonate-Mediated Inhibition of Flowering in Arabidopsis. Mol. Plant 2017, 10, 1461–1464. [Google Scholar] [CrossRef]
- Xing, S.; Quodt, V.; Chandler, J.; Höhmann, S.; Berndtgen, R.; Huijser, P. SPL8 Acts Together with the Brassinosteroid-Signaling Component BIM1 in Controlling Arabidopsis Thaliana Male Fertility. Plants 2013, 2, 416–428. [Google Scholar] [CrossRef]
- Wu, L.; Wang, K.; Chen, M.; Su, W.; Liu, Z.; Guo, X.; Ma, M.; Qian, S.; Deng, Y.; Wang, H.; et al. ALLENE OXIDE SYNTHASE (AOS) Induces Petal Senescence through a Novel JA-Associated Regulatory Pathway in Arabidopsis. Physiol. Mol. Biol. Plants 2024, 30, 199–212. [Google Scholar] [CrossRef]
- Liu, Y.; Li, X.; Li, K.; Liu, H.; Lin, C. Multiple bHLH Proteins Form Heterodimers to Mediate CRY2-Dependent Regulation of Flowering-Time in Arabidopsis. PLoS Genet. 2013, 9, e1003861. [Google Scholar] [CrossRef]
- Ito, S.; Song, Y.H.; Josephson-Day, A.R.; Miller, R.J.; Breton, G.; Olmstead, R.G.; Imaizumi, T. FLOWERING BHLH Transcriptional Activators Control Expression of the Photoperiodic Flowering Regulator CONSTANS in Arabidopsis. Proc. Natl. Acad. Sci. USA 2012, 109, 3582–3587. [Google Scholar] [CrossRef]
- Kazan, K.; Manners, J.M. MYC2: The Master in Action. Mol. Plant 2013, 6, 686–703. [Google Scholar] [CrossRef]
- Wang, Y.; Chen, K.-P.; Yao, Q. Progress of studies on bHLH transcription factor families. Yi Chuan 2008, 30, 821–830. [Google Scholar] [CrossRef] [PubMed]
- Zhu, Z.; Liang, H.; Chen, G.; Li, F.; Wang, Y.; Liao, C.; Hu, Z. The bHLH Transcription Factor SlPRE2 Regulates Tomato Fruit Development and Modulates Plant Response to Gibberellin. Plant Cell Rep. 2019, 38, 1053–1064. [Google Scholar] [CrossRef]
- Ikeda, M.; Mitsuda, N.; Ishizuka, T.; Satoh, M.; Ohme-Takagi, M. The CIB1 Transcription Factor Regulates Light- and Heat-Inducible Cell Elongation via a Two-Step HLH/bHLH System. J. Exp. Bot. 2021, 72, 1795–1808. [Google Scholar] [CrossRef] [PubMed]
- Li, X.; Cao, H.; Yu, D.; Xu, K.; Zhang, Y.; Shangguan, X.; Zheng, X.; Yang, Z.; Li, C.; Pan, X.; et al. SlbHLH152, a bHLH Transcription Factor Positively Regulates Iron Homeostasis in Tomato. Plant Sci. 2023, 335, 111821. [Google Scholar] [CrossRef] [PubMed]
- Jin, K.; Wang, Y.; Zhuo, R.; Xu, J.; Lu, Z.; Fan, H.; Huang, B.; Qiao, G. TCP Transcription Factors Involved in Shoot Development of Ma Bamboo (Dendrocalamus latiflorus Munro). Front. Plant Sci. 2022, 13, 884443. [Google Scholar] [CrossRef]
- Zheng, Y.; Yang, D.; Rong, J.; Chen, L.; Zhu, Q.; He, T.; Chen, L.; Ye, J.; Fan, L.; Gao, Y.; et al. Allele-Aware Chromosome-Scale Assembly of the Allopolyploid Genome of Hexaploid Ma Bamboo (Dendrocalamus latiflorus Munro). J. Integr. Plant Biol. 2022, 64, 649–670. [Google Scholar] [CrossRef]
- Feller, A.; Machemer, K.; Braun, E.L.; Grotewold, E. Evolutionary and Comparative Analysis of MYB and bHLH Plant Transcription Factors. Plant J. 2011, 66, 94–116. [Google Scholar] [CrossRef] [PubMed]
- Cannon, S.B.; Mitra, A.; Baumgarten, A.; Young, N.D.; May, G. The Roles of Segmental and Tandem Gene Duplication in the Evolution of Large Gene Families in Arabidopsis Thaliana. BMC Plant Biol. 2004, 4, 10. [Google Scholar] [CrossRef] [PubMed]
- Liang, J.; Fang, Y.; An, C.; Yao, Y.; Wang, X.; Zhang, W.; Liu, R.; Wang, L.; Aslam, M.; Cheng, Y.; et al. Genome-Wide Identification and Expression Analysis of the bHLH Gene Family in Passion Fruit (Passiflora edulis) and Its Response to Abiotic Stress. Int. J. Biol. Macromol. 2023, 225, 389–403. [Google Scholar] [CrossRef]
- Liu, M.; Qiao, G.; Jiang, J.; Yang, H.; Xie, L.; Xie, J.; Zhuo, R. Transcriptome Sequencing and De Novo Analysis for Ma Bamboo (Dendrocalamus latiflorus Munro) Using the Illumina Platform. PLoS ONE 2012, 7, e46766. [Google Scholar] [CrossRef]
- Guo, L.; Sun, X.; Li, Z.; Wang, Y.; Fei, Z.; Jiao, C.; Feng, J.; Cui, D.; Feng, X.; Ding, Y.; et al. Morphological Dissection and Cellular and Transcriptome Characterizations of Bamboo Pith Cavity Formation Reveal a Pivotal Role of Genes Related to Programmed Cell Death. Plant Biotechnol. J. 2019, 17, 982–997. [Google Scholar] [CrossRef] [PubMed]
- Xu, Y.; Wong, M.; Yang, J.; Ye, Z.; Jiang, P.; Zheng, S. Dynamics of Carbon Accumulation During the Fast Growth Period of Bamboo Plant. Bot. Rev. 2011, 77, 287–295. [Google Scholar] [CrossRef]
- Goossens, J.; Mertens, J.; Goossens, A. Role and Functioning of bHLH Transcription Factors in Jasmonate Signalling. EXBOTJ 2016, 68, 1333–1347. [Google Scholar] [CrossRef] [PubMed]
- Biswas, P.; Chakraborty, S.; Dutta, S.; Pal, A.; Das, M. Bamboo Flowering from the Perspective of Comparative Genomics and Transcriptomics. Front. Plant Sci. 2016, 7, 1900. [Google Scholar] [CrossRef]
- Riboni, M.; Robustelli Test, A.; Galbiati, M.; Tonelli, C.; Conti, L. ABA-Dependent Control of GIGANTEA Signalling Enables Drought Escape via up-Regulation of FLOWERING LOCUS T in Arabidopsis Thaliana. J. Exp. Bot. 2016, 67, 6309–6322. [Google Scholar] [CrossRef]
- Fang, Y.; Guo, D.; Wang, Y.; Wang, N.; Fang, X.; Zhang, Y.; Li, X.; Chen, L.; Yu, D.; Zhang, B.; et al. Rice Transcriptional Repressor OsTIE1 Controls Anther Dehiscence and Male Sterility by Regulating JA Biosynthesis. Plant Cell 2024, 36, 1697–1717. [Google Scholar] [CrossRef]
- Pertea, M.; Kim, D.; Pertea, G.M.; Leek, J.T.; Salzberg, S.L. Transcript-Level Expression Analysis of RNA-Seq Experiments with HISAT, StringTie and Ballgown. Nat. Protoc. 2016, 11, 1650–1667. [Google Scholar] [CrossRef]
- Liao, Y.; Smyth, G.K.; Shi, W. feature Counts: An Efficient General Purpose Program for Assigning Sequence Reads to Genomic Features. Bioinformatics 2014, 30, 923–930. [Google Scholar] [CrossRef]
- Love, M.I.; Huber, W.; Anders, S. Moderated Estimation of Fold Change and Dispersion for RNA-Seq Data with DESeq2. Genome Biol. 2014, 15, 550. [Google Scholar] [CrossRef]
- Chen, C.; Chen, H.; Zhang, Y.; Thomas, H.R.; Frank, M.H.; He, Y.; Xia, R. TBtools: An Integrative Toolkit Developed for Interactive Analyses of Big Biological Data. Mol. Plant 2020, 13, 1194–1202. [Google Scholar] [CrossRef]
- Liu, M.; Jiang, J.; Han, X.; Qiao, G.; Zhuo, R. Validation of Reference Genes Aiming Accurate Normalization of qRT-PCR Data in Dendrocalamus latiflorus Munro. PLoS ONE 2014, 9, e87417. [Google Scholar] [CrossRef]
- Camacho, C.; Coulouris, G.; Avagyan, V.; Ma, N.; Papadopoulos, J.; Bealer, K.; Madden, T.L. BLAST+: Architecture and Applications. BMC Bioinform. 2009, 10, 421. [Google Scholar] [CrossRef]
- Mistry, J.; Chuguransky, S.; Williams, L.; Qureshi, M.; Salazar, G.A.; Sonnhammer, E.L.L.; Tosatto, S.C.E.; Paladin, L.; Raj, S.; Richardson, L.J.; et al. Pfam: The Protein Families Database in 2021. Nucleic Acids Res 2021, 49, D412–D419. [Google Scholar] [CrossRef]
- Potter, S.C.; Luciani, A.; Eddy, S.R.; Park, Y.; Lopez, R.; Finn, R.D. HMMER Web Server: 2018 Update. Nucleic Acids Res. 2018, 46, W200–W204. [Google Scholar] [CrossRef]
- Paysan-Lafosse, T.; Blum, M.; Chuguransky, S.; Grego, T.; Pinto, B.L.; Salazar, G.A.; Bileschi, M.L.; Bork, P.; Bridge, A.; Colwell, L.; et al. InterPro in 2022. Nucleic Acids Res 2023, 51, D418–D427. [Google Scholar] [CrossRef] [PubMed]
- Duvaud, S.; Gabella, C.; Lisacek, F.; Stockinger, H.; Ioannidis, V.; Durinx, C. Expasy, the Swiss Bioinformatics Resource Portal, as Designed by Its Users. Nucleic Acids Res. 2021, 49, W216–W227. [Google Scholar] [CrossRef]
- Horton, P.; Park, K.-J.; Obayashi, T.; Fujita, N.; Harada, H.; Adams-Collier, C.J.; Nakai, K. WoLF PSORT: Protein Localization Predictor. Nucleic Acids Res. 2007, 35, W585–W587. [Google Scholar] [CrossRef] [PubMed]
- Bailey, T.L.; Johnson, J.; Grant, C.E.; Noble, W.S. The MEME Suite. Nucleic Acids Res. 2015, 43, W39–W49. [Google Scholar] [CrossRef]
- Lescot, M. PlantCARE, a Database of Plant Cis-Acting Regulatory Elements and a Portal to Tools for in Silico Analysis of Promoter Sequences. Nucleic Acids Res. 2002, 30, 325–327. [Google Scholar] [CrossRef]
- Guo, A.-Y.; Chen, X.; Gao, G.; Zhang, H.; Zhu, Q.-H.; Liu, X.-C.; Zhong, Y.-F.; Gu, X.; He, K.; Luo, J. PlantTFDB: A Comprehensive Plant Transcription Factor Database. Nucleic Acids Res. 2007, 36, D966–D969. [Google Scholar] [CrossRef]
- Edgar, R.C. MUSCLE: Multiple Sequence Alignment with High Accuracy and High Throughput. Nucleic Acids Res. 2004, 32, 1792–1797. [Google Scholar] [CrossRef] [PubMed]
- Capella-Gutiérrez, S.; Silla-Martínez, J.M.; Gabaldón, T. trimAl: A Tool for Automated Alignment Trimming in Large-Scale Phylogenetic Analyses. Bioinformatics 2009, 25, 1972–1973. [Google Scholar] [CrossRef] [PubMed]
- Minh, B.Q.; Schmidt, H.A.; Chernomor, O.; Schrempf, D.; Woodhams, M.D.; Von Haeseler, A.; Lanfear, R. IQ-TREE 2: New Models and Efficient Methods for Phylogenetic Inference in the Genomic Era. Mol. Biol. Evol. 2020, 37, 1530–1534. [Google Scholar] [CrossRef] [PubMed]
- Letunic, I.; Bork, P. Interactive Tree of Life (iTOL) v5: An Online Tool for Phylogenetic Tree Display and Annotation. Nucleic Acids Res. 2021, 49, W293–W296. [Google Scholar] [CrossRef]
- Wang, Y.; Tang, H.; Wang, X.; Sun, Y.; Joseph, P.V.; Paterson, A.H. Detection of Colinear Blocks and Synteny and Evolutionary Analyses Based on Utilization of MCScanX. Nat. Protoc. 2024, 19, 2206–2229. [Google Scholar] [CrossRef]
- He, W.; Yang, J.; Jing, Y.; Xu, L.; Yu, K.; Fang, X. NGenomeSyn: An Easy-to-Use and Flexible Tool for Publication-Ready Visualization of Syntenic Relationships across Multiple Genomes. Bioinformatics 2023, 39, btad121. [Google Scholar] [CrossRef]








Disclaimer/Publisher’s Note: The statements, opinions and data contained in all publications are solely those of the individual author(s) and contributor(s) and not of MDPI and/or the editor(s). MDPI and/or the editor(s) disclaim responsibility for any injury to people or property resulting from any ideas, methods, instructions or products referred to in the content. |
© 2024 by the authors. Licensee MDPI, Basel, Switzerland. This article is an open access article distributed under the terms and conditions of the Creative Commons Attribution (CC BY) license (https://creativecommons.org/licenses/by/4.0/).
Share and Cite
Zeng, M.-Y.; Zhu, P.-K.; Tang, Y.; Lin, Y.-H.; He, T.-Y.; Rong, J.-D.; Zheng, Y.-S.; Chen, L.-Y. Genome-Wide Identification and Role of the bHLH Gene Family in Dendrocalamus latiflorus Flowering Regulation. Int. J. Mol. Sci. 2024, 25, 10837. https://doi.org/10.3390/ijms251910837
Zeng M-Y, Zhu P-K, Tang Y, Lin Y-H, He T-Y, Rong J-D, Zheng Y-S, Chen L-Y. Genome-Wide Identification and Role of the bHLH Gene Family in Dendrocalamus latiflorus Flowering Regulation. International Journal of Molecular Sciences. 2024; 25(19):10837. https://doi.org/10.3390/ijms251910837
Chicago/Turabian StyleZeng, Mei-Yin, Peng-Kai Zhu, Yu Tang, Yu-Han Lin, Tian-You He, Jun-Dong Rong, Yu-Shan Zheng, and Ling-Yan Chen. 2024. "Genome-Wide Identification and Role of the bHLH Gene Family in Dendrocalamus latiflorus Flowering Regulation" International Journal of Molecular Sciences 25, no. 19: 10837. https://doi.org/10.3390/ijms251910837
APA StyleZeng, M.-Y., Zhu, P.-K., Tang, Y., Lin, Y.-H., He, T.-Y., Rong, J.-D., Zheng, Y.-S., & Chen, L.-Y. (2024). Genome-Wide Identification and Role of the bHLH Gene Family in Dendrocalamus latiflorus Flowering Regulation. International Journal of Molecular Sciences, 25(19), 10837. https://doi.org/10.3390/ijms251910837

