Fem-1 Gene of Chinese White Pine Beetle (Dendroctonus armandi): Function and Response to Environmental Treatments
Abstract
1. Introduction
2. Results
2.1. Sequencing Analysis of Dafem-1
2.2. Analysis of Expression Levels of Dafem-1A, Dafem-1B, and Dafem-1C across Various Developmental Stages
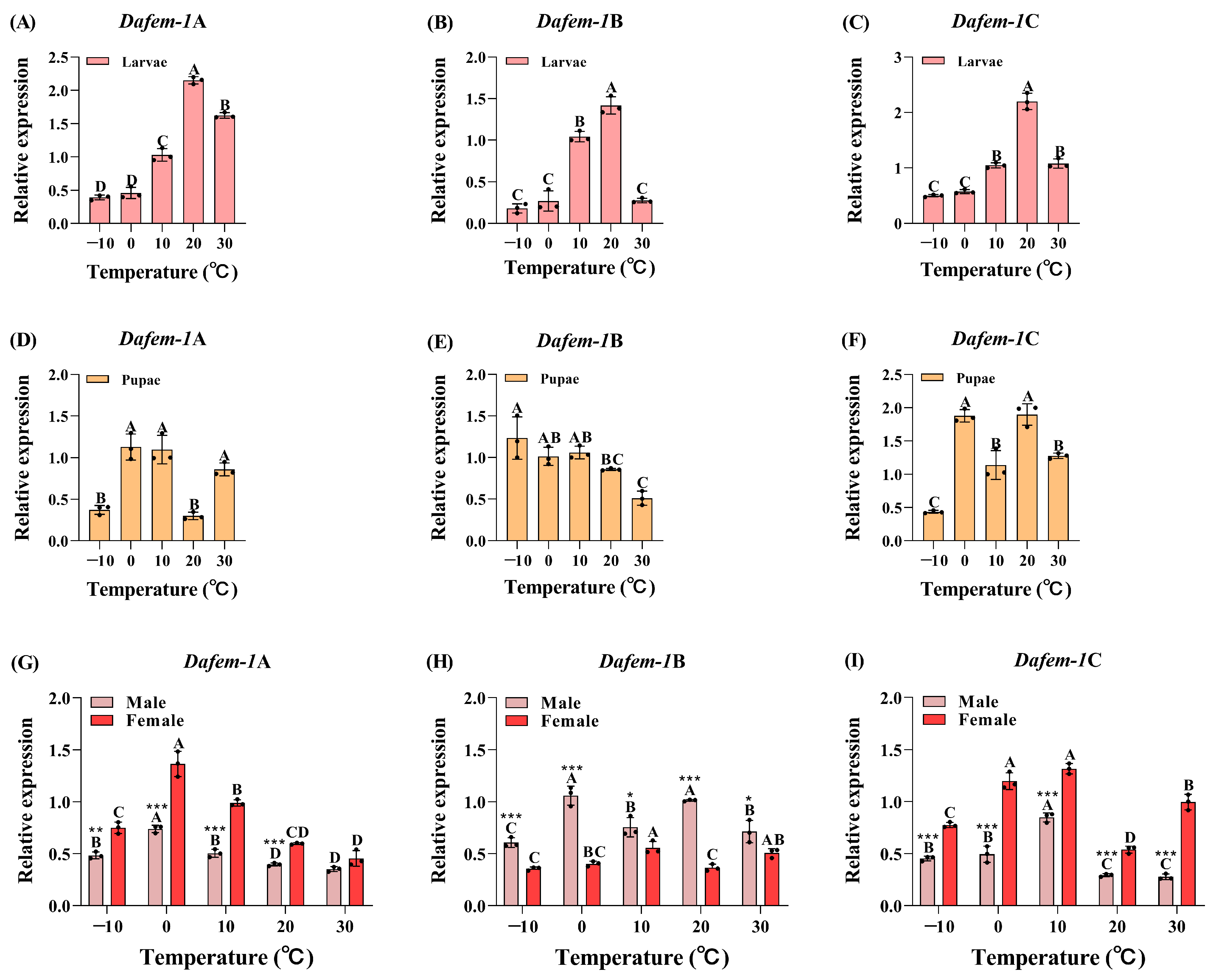
2.3. Analysis of Dafem-1A, Dafem-1B, and Dafem-1C Expression under Different Temperatures
2.4. Analysis of Dafem-1A, Dafem-1B, and Dafem-1C Expression in Different Nutrients
2.5. Analysis of Dafem-1A, Dafem-1B, and Dafem-1C Expression in Feeding Duration Treatment
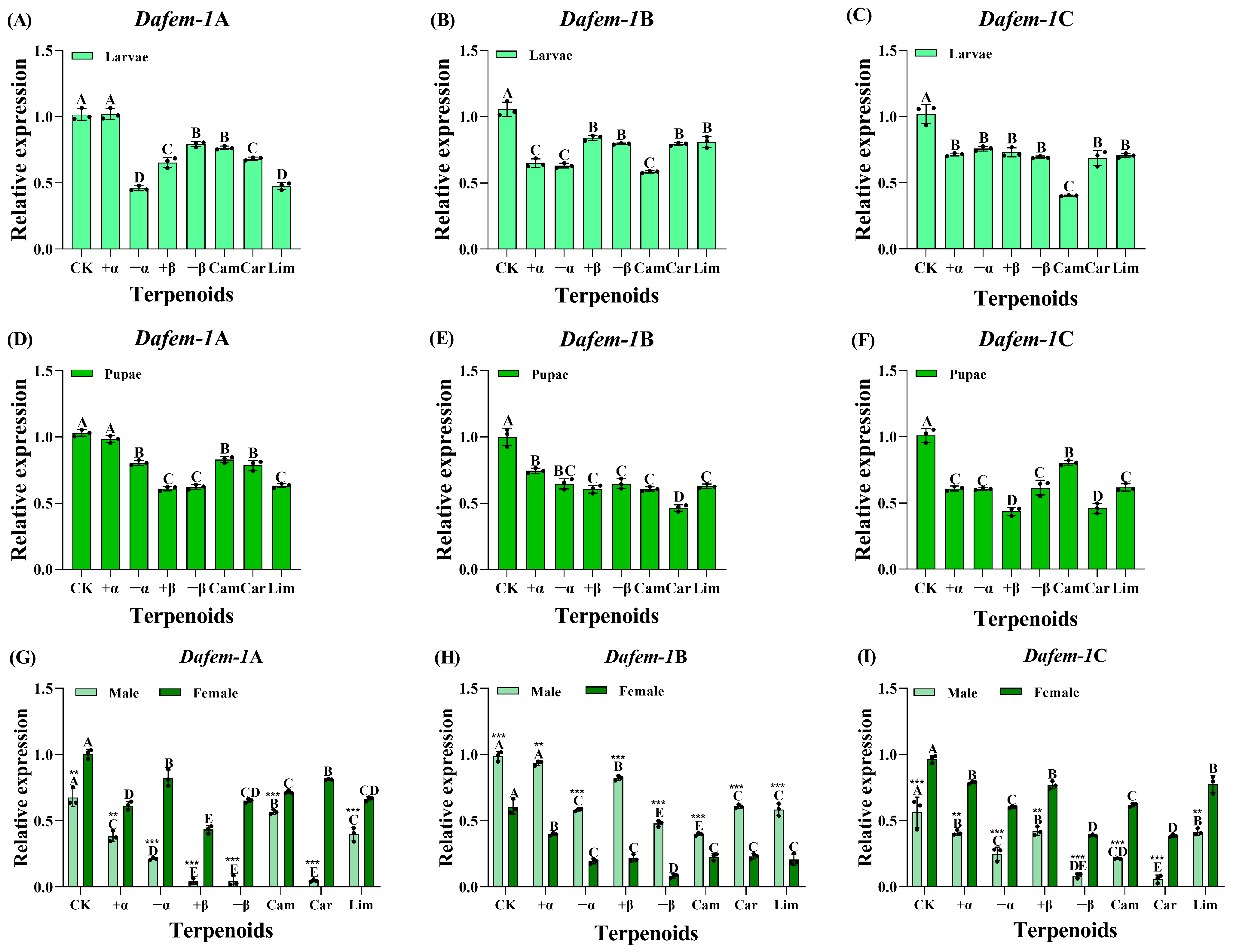
2.6. Analysis of Dafem-1A, Dafem-1B, and Dafem-1C Expression in Terpenoid Treatments
2.7. Analysis of Dafem-1A, Dafem-1B, and Dafem-1C Expression in RNAi Treatment
3. Discussion
4. Materials and Methods
4.1. Insect Sample
4.2. Total RNA Isolation and cDNA Synthesis
4.3. Amplification of Genes, Cloning, and Sequence Analyses of Dafem-1
4.4. Sequence Analyses of Dafem-1
4.5. Different Environment Treatments of D. armandi
4.6. RNAi
4.7. Quantitative Real-Time PCR
4.8. Statistical Analysis
4.8.1. Different Developmental Stages
4.8.2. Different Temperature Treatments
4.8.3. Different Nutrient Treatments
4.8.4. Different Feeding Duration Treatments
4.8.5. Different Terpenoid Treatments
4.8.6. RNAi Treatments
Supplementary Materials
Author Contributions
Funding
Institutional Review Board Statement
Informed Consent Statement
Data Availability Statement
Acknowledgments
Conflicts of Interest
References
- Wang, H.M.; Wang, T.T.; Liu, Y.; Zeng, F.Y.; Zhang, H.F.; Decock, C.; Zhang, X.Y.; Lu, Q. Diversity of ophiostomatoid fungi associated with Dendroctonus armandi infesting Pinus armandii in western China. J. Fungi 2022, 8, 214. [Google Scholar] [CrossRef] [PubMed]
- Liu, B.; Chen, H. Disruption of CYP6DF1 and CYP6DJ2 increases the susceptibility of Dendroctonus armandi to (+)-Alpha-pinene. Pestic. Biochem. Phys. 2022, 188, 105270. [Google Scholar] [CrossRef]
- Zhao, L.; Zhou, H.; Ramaswamy, H.; Wang, S. Developing effective treatment protocols to control bark beetle (Scolytidae: Dendroctonus armandi) in wood using radio frequency heating and forced hot air. Trans. ASABE 2018, 61, 1979–1984. [Google Scholar] [CrossRef]
- Chen, G.F.; Song, Y.S.; Wang, P.X.; Chen, J.Y.; Zhang, Z.; Wang, S.M.; Huang, X.B.; Zhang, Q.H. Semiochemistry of Dendroctonus armandi Tsai and Li (Coleoptera: Curculionidae: Scolytinae): Both female-produced aggregation pheromone and host tree kairomone are critically important. Chemoecology 2015, 25, 135–145. [Google Scholar] [CrossRef]
- Zhao, L.; Ramaswamy, H.; Wang, S.J. Thermal-death kinetics of the bark beetle (Dendroctonus armandi; Coleoptera: Scolytidae). Scand. J. Forest Res. 2018, 33, 735–740. [Google Scholar] [CrossRef]
- Xie, S.A.; Lv, S.J. An improved lure for trapping the bark beetle Dendroctonus armandi (Coleoptera: Scolytinae). Eur. J. Entomol. 2012, 109, 569–577. [Google Scholar] [CrossRef]
- Schedl, T. The role of cell-cell interactions in postembryonic development of the Caenorhabditis elegans germ line. Curr. Opin. Genet. Dev. 1991, 1, 185–190. [Google Scholar] [CrossRef]
- Spence, A.M.; Coulson, A.; Hodgkin, J. The product of fem-1, a nematode sex determining gene, contains a motif found in cell cycle control proteins and receptors for cell-cell interactions. Cell 1990, 60, 981–990. [Google Scholar] [CrossRef]
- Hodgkin, J.; Doniach, T.; Shen, M. The sex determination pathway in the nematode Caenorhabditis elegans: Variations on a theme. Cold Spring Harb. Symp. Quant. Biol. 1985, 50, 585–593. [Google Scholar] [CrossRef]
- Ventura-Holman, T.; Lu, D.Y.; Si, X.H.; Izevbigie, E.B.; Maher, J.F. The fem1C genes: Conserved members of the fem1 gene family in vertebrates. Gene 2003, 314, 133–139. [Google Scholar] [CrossRef]
- Ventura-Holman, T.; Seldin, M.F.; Li, W.; Maher, J.F. The murine fem1 gene family: Homologs of the Caenorhabditis elegans sex-determination protein FEM-1. Genomics 1998, 54, 221–230. [Google Scholar] [CrossRef] [PubMed]
- Ventura-Holman, T.; Maher, J.F. Sequence, organization, and expression of the human fem1B gene. Biochem. Biophys. Res. Commun. 2000, 267, 317–320. [Google Scholar] [CrossRef] [PubMed]
- Goodarzi, M.O.; Maher, J.F.; Cui, J.; Guo, X.; Taylor, K.D.; Azziz, R. FEM1A and FEM1B: Novel candidate genes for polycystic ovary syndrome. Hum. Reprod. 2008, 23, 2842–2849. [Google Scholar] [CrossRef]
- Song, C.W.; Cui, Z.X.; Hui, M.; Liu, Y.; Li, Y.D. Molecular characterization and expression profile of three Fem-1 genes in Eriocheir sinensis provide a new insight into crab sex determining mechanism. Comp. Biochem. Phys. B 2015, 189, 6–14. [Google Scholar] [CrossRef]
- Ma, K.Y.; Liu, Z.Q.; Lin, J.Y.; Li, J.L.; Qiu, G.F. Molecular characterization of a novel ovary-specific gene fem-1 homolog from the oriental river prawn, Macrobrachium nipponense. Gene 2016, 575, 244–252. [Google Scholar] [CrossRef] [PubMed]
- Rahman, N.M.A.; Fu, H.; Qiao, H.; Jin, S.; Bai, H.; Zhang, W.; Jiang, F.W.; Liang, G.; Sun, S.; Gong, Y.; et al. Molecular cloning and expression analysis of Fem-1b from oriental river prawn Macrobrachium nipponense. Genet. Mol. Res. 2016, 15, gmr.15027950. [Google Scholar] [CrossRef]
- Zhou, L.X.; Liu, X.; Ye, B.Q.; Liu, Y.; Tan, S.P.; Ma, K.Y.; Qiu, G.F. Molecular characterization of ovary-specific gene Mrfem-1 and siRNA-mediated regulation on targeting Mrfem-1 in the giant freshwater prawn, Macrobrachium rosenbergii. Gene 2020, 754, 144891. [Google Scholar] [CrossRef]
- Krakow, D.; Sebald, E.; King, L.M.; Cohn, D.H. Identification of human FEM1A, the ortholog of a C. elegans sex-differentiation gene. Gene 2001, 279, 213–219. [Google Scholar] [CrossRef]
- Itoh, Y.; Kampf, K.; Arnold, A.P. Disruption of FEM1C-W gene in zebra finch: Evolutionary insights on avian ZW genes. Chromosoma 2009, 118, 323–334. [Google Scholar] [CrossRef][Green Version]
- Teaniniuraitemoana, V.; Huvet, A.; Levy, P.; Klopp, C.; Lhuillier, E.; Gaertner-Mazouni, N.; Gueguen, Y.; Le Moullac, G. Gonad transcriptome analysis of pearl oyster Pinctada margaritifera: Identification of potential sex differentiation and sex determining genes. BMC Genom. 2014, 15, 491. [Google Scholar] [CrossRef]
- Shi, Y.; Liu, W.G.; He, M.X. Proteome and transcriptome analysis of ovary, intersex gonads, and testis reveals potential key sex reversal/differentiation genes and mechanism in scallop Chlamys nobilis. Mar. Biotechnol. 2018, 20, 220–245. [Google Scholar] [CrossRef] [PubMed]
- Zhang, Y.; Miao, G.D.; Fazhan, H.; Waiho, K.; Zheng, H.P.; Li, S.K.; Ikhwanuddin, M.; Ma, H.Y. Transcriptome-seq provides insights into sex-preference pattern of gene expression between testis and ovary of the crucifix crab (Charybdis feriatus). Physiol. Genom. 2018, 50, 393–405. [Google Scholar] [CrossRef] [PubMed]
- Li, W.H.; Yuan, M.R.; Wu, Y.Q.; Xu, R.A. Identification of genes expressed differentially in female and male gametes of Sipunculus nudus. Aquac. Res. 2020, 51, 3780–3789. [Google Scholar] [CrossRef]
- Shi, Y.; Yao, G.Y.; Zhang, H.; Jia, H.X.; Xiong, P.P.; He, M.X. Proteome and transcriptome analysis of gonads reveals intersex in Gigantidas haimaensis. BMC Genom. 2022, 23, 174. [Google Scholar] [CrossRef]
- Potiyanadech, W.; Choomee, C.; Chotigeat, W. Transcriptome profiling of banana shrimp (Fenneropenaeus merguiensis) ovaries and testes: Insights into FoxL2. PLoS ONE 2023, 18, e292782. [Google Scholar] [CrossRef]
- Zamore, P.D. RNA interference: Listening to the sound of silence. Nat. Struct. Biol. 2001, 8, 746–750. [Google Scholar] [CrossRef]
- Fire, A.; Xu, S.; Montgomery, M.K.; Kostas, S.A.; Driver, S.E.; Mello, C.C. Potent and specific genetic interference by doublestranded RNA in Caenorhabditis elegans. Nature 1998, 391, 806–811. [Google Scholar] [CrossRef] [PubMed]
- Adams Mark, D.; Celniker Susan, E.; Holt Robert, A.; Evans Cheryl, A.; Gocayne Jeannine, D.; Amanatides Peter, G.; Scherer Steven, E.; Li Peter, W.; Hoskins Roger, A.; Galle Richard, F.; et al. The genome sequence of Drosophila melanogaster. Science 2000, 287, 2185–2195. [Google Scholar] [CrossRef]
- Baum, J.A.; Bogaert, T.; Clinton, W.; Heck, G.R.; Feldmann, P.; Ilagan, O.; Johnson, S.; Plaetinck, G.; Munyikwa, T.; Pleau, M.; et al. Control of coleopteran insect pests through RNA interference. Nat. Biotechnol. 2007, 25, 1322–1326. [Google Scholar] [CrossRef]
- Price, D.R.G.; Gatehouse, J.A. RNAi-mediated crop protection against insects. Trends Biotechnol. 2008, 26, 393–400. [Google Scholar] [CrossRef]
- Huvenne, H.; Smagghe, G. Mechanisms of dsRNA uptake in insects and potential of RNAi for pest control: A review. J. Insect Physiol. 2010, 56, 227–235. [Google Scholar] [CrossRef] [PubMed]
- Schlüns, H.; Crozier, R.H. Relish regulates expression of antimicrobial peptide genes in the honeybee, Apis mellifera, shown by RNA interference. Insect Mol. Biol. 2007, 16, 753–759. [Google Scholar] [CrossRef] [PubMed]
- Marco Antonio, D.S.; Guidugli-Lazzarini, K.R.; do Nascimento, A.M.; Paulino Simoes, Z.L.; Hartfelder, K. RNAi-mediated silencing of vitellogenin gene function turns honeybee (Apis mellifera) workers into extremely precocious foragers. Naturwissenschaften 2008, 95, 953–961. [Google Scholar] [CrossRef] [PubMed]
- Lum, L.; Yao, S.; Mozer, B.; Rovescalli, A.; Von Kessler, D.; Nirenberg, M.; Beachy, P.A. Identification of hedgehog pathway components by RNAi in Drosophila cultured cells. Science 2003, 299, 2039–2045. [Google Scholar] [CrossRef]
- Dietzl, G.; Chen, D.; Schnorrer, F.; Su, K.C.; Barinova, Y.; Fellner, M.; Gasser, B.; Kinsey, K.; Oppel, S.; Scheiblauer, S.; et al. A genome-wide transgenic RNAi library for conditional gene inactivation in Drosophila. Nature 2007, 448, 151–156. [Google Scholar] [CrossRef]
- Arakane, Y.; Hogenkamp, D.G.; Zhu, Y.C.; Kramer, K.J.; Specht, C.A.; Beeman, R.W.; Kanost, M.R.; Muthukrishnan, S. Characterization of two chitin synthase genes of the red flour beetle, Tribolium castaneum, and alternate exon usage in one of the genes during development. Insect Biochem. Mol. Biol. 2004, 34, 291–304. [Google Scholar] [CrossRef]
- Suzuki, Y.; Truman, J.W.; Riddiford, L.M. The role of Broad in the development of Tribolium castaneum: Implications for the evolution of the holometabolous insect pupa. Development 2008, 135, 569–577. [Google Scholar] [CrossRef]
- Chen, X.; Tian, H.; Zou, L.; Tang, B.; Hu, J.; Zhang, W. Disruption of Spodoptera exigua larval development by silencing chitin synthase gene A with RNA interference. Bull. Entomol. Res. 2008, 98, 613–619. [Google Scholar] [CrossRef]
- Tian, H.; Peng, H.; Yao, Q.; Chen, H.; Xie, Q.; Tang, B.; Zhang, W. Developmental control of a Lepidopteran pest Spodoptera exigua by ingestion of bacteria expressing dsRNA of a non-midgut gene. PLoS ONE 2009, 4, e6225. [Google Scholar] [CrossRef]
- Terenius, O.; Papanicolaou, A.; Garbutt, J.S.; Eleftherianos, I.; Huvenne, H.; Kanginakudru, S.; Albrechtsen, M.; An, C.; Aymeric, J.-L.; Barthel, A.; et al. RNA interference in Lepidoptera: An overview of successful and unsuccessful studies and implications for experimental design. J. Insect Physiol. 2011, 57, 231–245. [Google Scholar] [CrossRef]
- Bhargava, A.; Clifton, M.S.; Mhsake, P.; Liao, M.; Pothoulakis, C.; Leeman, S.E.; Grady, E.F. Local injection of dsRNA targeting calcitonin receptor-like receptor (CLR) ameliorates Clostridium difficile toxin A-induced ileitis. Proc. Natl. Acad. Sci. USA 2013, 110, 731–736. [Google Scholar] [CrossRef] [PubMed]
- Yu, N.; Christiaens, O.; Liu, J.; Niu, J.; Cappelle, K.; Caccia, S.; Huvenne, H.; Smagghe, G. Delivery of dsRNA for RNAi in insects: An overview and future directions. Insect Sci. 2012, 20, 4–14. [Google Scholar] [CrossRef] [PubMed]
- Zheng, J.B.; Chen, L.R.; Jia, Y.Y.; Chi, M.L.; Li, F.; Cheng, S.; Liu, S.L.; Liu, Y.N.; Gu, Z.M. Genomic structure, expression, and functional characterization of the Fem-1 gene family in the redclaw crayfish, Cherax quadricarinatus. Gen. Comp. Endocr. 2022, 316, 113961. [Google Scholar] [CrossRef]
- Zhao, M.Z.; Dai, L.L.; Sun, Y.Y.; Fu, D.Y.; Chen, H. The pheromone verbenone and its function in Dendroctonus armandi (Coleoptera: Curculionidae: Scolytinae). Eur. J. Entomol. 2017, 114, 53–60. [Google Scholar] [CrossRef][Green Version]
- Dai, L.; Zheng, J.; Wang, Y.; Sun, Y.; Chen, H. Survival physiology and sex ratio of the Chinese white pine beetle Dendroctonus armandi (Coleoptera: Scolytinae) during host colonization and overwintering. Bull. Entomol. Res. 2020, 110, 115–122. [Google Scholar] [CrossRef]
- Kimble, J.; Edgar, L.; Hirsh, D. Specification of male development in Caenorhabditis elegans: The fem genes. Dev. Biol. 1984, 105, 234–239. [Google Scholar] [CrossRef] [PubMed]
- Edgar, L.G.; Hirsh, D. Use of a psoralen-induced phenocopy to study genes controlling spermatogenesis in Caenorhabditis elegans. Dev. Biol. 1985, 111, 108–118. [Google Scholar] [CrossRef]
- Hodgkin, J. Sex determination in the nematode C. elegans: Analysis of tra-3 suppressors and characterization of fem genes. Genetics 1986, 114, 15–52. [Google Scholar] [CrossRef]
- Nigro, R.G.; Campos, M.C.C.; Perondini, A.L.P. Temperature and the progeny sex-ratio in Sciara ocellaris (Diptera, Sciaridae). Genet. Mol. Biol. 2007, 30, 152–158. [Google Scholar] [CrossRef]
- Godley, B.J.; Broderick, A.C.; Glen, F.; Hays, G.C. Temperature-dependent sex determination of Ascension Island green turtles. Mar. Ecol. Prog. Ser. 2002, 226, 115–124. [Google Scholar] [CrossRef]
- Wei, Y.Y.; Song, B.J.; Yuan, S.L. Dynamics of a ratio-dependent population model for green sea turtle with age structure. J. Theor. Biol. 2021, 516, 110614. [Google Scholar] [CrossRef] [PubMed]
- Taylor, P.W.; Perez-Staples, D.; Weldon, C.W.; Collins, S.R.; Fanson, B.G.; Yap, S.; Smallridge, C. Post-teneral nutrition as an influence on reproductive development, sexual performance and longevity of Queensland fruit flies. J. Appl. Entomol. 2013, 137, 113–125. [Google Scholar] [CrossRef]
- Gomez-Simuta, Y.; Diaz-Fleisher, F.; Arredondo, J.; Diaz-Santiz, E.; Perez-Staples, D. Precocious Mexican fruit fly methoprene-fed males inhibit female receptivity and perform sexually as mature males. J. Appl. Entomol. 2017, 141, 266–273. [Google Scholar] [CrossRef]
- Utgès, M.E.; Vilardi, J.C.; Oropeza, A.; Toledo, J.; Liedo, P. Pre-release diet effect on field survival and dispersal of Anastrepha ludens and Anastrepha obliqua (Diptera: Tephritidae). J. Appl. Entomol. 2013, 137, 163–177. [Google Scholar] [CrossRef]
- Yu, J.M.; Dai, L.L.; Zhang, R.R.; Li, Z.; Pham, T.; Chen, H. Isolation and expression of HMG-CoA synthase and HMG-CoA reductase genes in different development stages, tissues and treatments of the Chinese white pine beetle, Dendroctonus armandi (Curculionidae: Scolytinae). Comp. Biochem. Physiol. B Biochem. Mol. Biol. 2015, 187, 62–70. [Google Scholar] [CrossRef]
- Sun, Y.Y.; Dai, L.L.; Kang, X.T.; Fu, D.Y.; Gao, H.M.; Chen, H. Isolation and expression of five genes in the mevalonate pathway of the Chinese white pine beetle, Dendroctonus armandi (Curculionidae: Scolytinae). Arch. Insect Biochem. Physiol. 2021, 106, e21760. [Google Scholar] [CrossRef]
- Liu, B.; Fu, D.Y.; Gao, H.M.; Ning, H.; Sun, Y.Y.; Chen, H.; Tang, M. Cloning and expression of the neuropeptide F and neuropeptide F receptor genes and their regulation of food intake in the Chinese white pine beetle Dendroctonus armandi. Front. Physiol. 2021, 12, 662651. [Google Scholar] [CrossRef]
- Smith, R.H. Effect of monoterpene vapors on the western pine beetle. J. Econ. Entomol. 1965, 58, 509–510. [Google Scholar] [CrossRef]
- López, M.F.; Cano-Ramírez, C.; Shibayama, M.; Zúñiga, G. α-pinene and myrcene induce ultrastructural change in the midgut of Dendroctonus valens (Coleoptera: Curculionida: Scolytinae). Ann. Entomol. Soc. Am. 2011, 104, 553–561. [Google Scholar] [CrossRef]
- Reid, M.L.; Purcell, J.R.C. Condition-dependent tolerance of monoterpenes in an insect herbivore. Arthropod Plant Interact. 2011, 5, 331–337. [Google Scholar] [CrossRef]
- Li, Z.M.; Dai, L.L.; Chu, H.L.; Fu, D.Y.; Sun, Y.Y.; Chen, H. Identification, expression patterns, and functional characterization of chemosensory proteins in Dendroctonus armandi (Coleoptera: Curculionidae: Scolytinae). Front. Physiol. 2018, 9, 291. [Google Scholar] [CrossRef] [PubMed]
- Dai, L.L.; Gao, H.M.; Ye, J.Q.; Fu, D.Y.; Sun, Y.Y.; Chen, H. Isolation of CarE genes from the Chinese white pine beetle Dendroctonus armandi (Curculionidae: Scolytinae) and their response to host chemical defense. Pest Manag. Sci. 2019, 75, 986–997. [Google Scholar] [CrossRef] [PubMed]
- Ishihara, S.; Shibata, T. Mutual interaction in network motifs robustly sharpens gene expression in developmental processes. J. Theor. Biol. 2008, 252, 131–144. [Google Scholar] [CrossRef]
- Zhuo, J.C.; Hu, Q.L.; Zhang, H.H.; Zhang, M.Q.; Jo, S.B.; Zhang, C.X. Identification and functional analysis of the doublesex gene in the sexual development of a hemimetabolous insect, the brown planthopper. Insect Biochem. Mol. Biol. 2018, 102, 31–42. [Google Scholar] [CrossRef]
- Wang, Y.H.; Chen, X.E.; Liu, Z.L.; Xu, J.; Lia, X.W.; Bia, H.L.; Andongma, A.A.; Niu, C.Y.; Huang, Y.P. Mutation of doublesex induces sex-specific sterility of the diamondback moth Plutella xylostella. Insect Biochem. Mol. Biol. 2019, 112, 103180. [Google Scholar] [CrossRef] [PubMed]
- Wang, J.; Chen, H.; Tang, M. Community structure of gut bacteria of Dendroctonus armandi (Coleoptera: Curculionidae: Scolytinae) larvae during overwintering stage. Sci. Rep. 2017, 7, 14242. [Google Scholar] [CrossRef]
- Wang, J.; Gao, G.Q.; Zhang, R.R.; Dai, L.L.; Chen, H. Metabolism and cold tolerance of Chinese white pine beetle Dendroctonus armandi (Coleoptera: Curculionidae: Scolytinae) during the overwintering period. Agric. Forest Entomol. 2017, 19, 10–22. [Google Scholar] [CrossRef]
- Fletcher, S.J.; Reeves, P.T.; Hoang, B.T.; Mitter, N. A perspective on RNAi-based biopesticides. Front. Plant Sci. 2020, 11, 51. [Google Scholar] [CrossRef] [PubMed]
- Singewar, K.; Fladung, M. Double-stranded RNA (dsRNA) technology to control forest insect pests and fungal pathogens: Challenges and opportunities. Funct. Integr. Genom. 2023, 23, 185. [Google Scholar] [CrossRef]
- Dai, L.; Wang, C.; Zhang, X.; Yu, J.; Zhang, R.; Chen, H. Two CYP4 genes of the Chinese white pine beetle, Dendroctonus armandi (Curculionidae: Scolytinae), and their transcript levels under different development stages and treatments. Insect Mol. Biol. 2014, 23, 598–610. [Google Scholar] [CrossRef]
- Le, S.Q.; Gascuel, O. An improved general amino acid replacement matrix. Mol. Biol. Evol. 2008, 25, 1307–1320. [Google Scholar] [CrossRef] [PubMed]
- Tamura, K.; Stecher, G.; Kumar, S. MEGA11 molecular evolutionary genetics analysis version 11. Mol. Biol. Evol. 2021, 38, 3022–3027. [Google Scholar] [CrossRef]
- Fu, D.Y.; Dai, L.L.; Gao, H.M.; Sun, Y.Y.; Liu, B.; Chen, H. Identification, expression patterns and RNA interference of Aquaporins in Dendroctonus armandi (Coleoptera: Scolytinae) larvae during overwintering. Front. Physiol. 2019, 10, 967. [Google Scholar] [CrossRef] [PubMed]
- Wang, H.L. Study on the artificial feeding of Dendroctonus armandi. Ph.D. Thesis, Northwest A & F University, Xianyang, China, 2019. Available online: https://kns.cnki.net/kcms2/article/abstract?v=Fc1KeZPKhRFKWRdf7ySS-Z-IWkw_9tGNrdqC7RavJi1eU56zf1jFb9XaQBXRqvVfuAq1POW4MP5vyemjoEsWZxv1wqZL0U-HFKWb2usfvwTbnuy9fowyIWClSX5cr7cB7FI9fKnx-QXMozvLIHQlepFjhzu6o11Qt3_PzIPDmb4=&uniplatform=NZKPT (accessed on 25 September 2024).
- Liu, B.; Chen, H. Disruption of carboxylesterase DaEST3 reduces tolerance to host allelochemicals in Dendroctonus armandi. Arthropod Plant Interact. 2023, 17, 673–685. [Google Scholar] [CrossRef]
- Liu, B.; Fu, D.Y.; Ning, H.; Tang, M.; Chen, H. Identification and functional characterization of the sulfakinin and sulfakinin receptor in the Chinese white pine beetle Dendroctonus armandi. Front. Physiol. 2022, 13, 927890. [Google Scholar] [CrossRef]
- Bewick, V.; Cheek, L.; Ball, J. Statistics review 9: One-way analysis of variance. Crit. Care 2004, 8, 130–136. [Google Scholar] [CrossRef]
- Gandhi, R.; Smith, H.N.; Mahomed, N.N.; Rizek, R.; Bhandari, M. Incorrect use of the student t test in randomized trials of bilateral hip and knee arthroplasty patients. J. Arthroplast. 2017, 29, 184–188. [Google Scholar] [CrossRef]








| Gene Name | ORF Size (Aa/Bp) a | Mw (kDa) a | IP a |
|---|---|---|---|
| Dafem-1A | 630/2180 | 17.86 | 4.92 |
| Dafem-1B | 662/2307 | 18.92 | 4.90 |
| Dafem-1C | 650/2173 | 17.84 | 4.92 |
| Gene Name | Dafem-1A | Dafem-1B | Dafem-1C |
|---|---|---|---|
| Dafem-1A | - | 43.04% a/38.13% b | 45.31% a/31.87% b |
| Dafem-1B | 49.17% a/38.13%b | - | 43.04% a/26.09% b |
| Dafem-1C | 45.31% a/31.87%b | 49.17% a/26.09% b | - |
| Groups | Emergence Rate (%) | Sex Ratio (Male:Female) |
|---|---|---|
| CK | 60.9 | 3.2:2.89 |
| Dafem-1A-RNAi | 26.9 | 3.1:1.2 |
| Dafem-1B-RNAi | 24.6 | 0.9:3.7 |
| Dafem-1C-RNAi | 25.4 | 2.3:0.5 |
Disclaimer/Publisher’s Note: The statements, opinions and data contained in all publications are solely those of the individual author(s) and contributor(s) and not of MDPI and/or the editor(s). MDPI and/or the editor(s) disclaim responsibility for any injury to people or property resulting from any ideas, methods, instructions or products referred to in the content. |
© 2024 by the authors. Licensee MDPI, Basel, Switzerland. This article is an open access article distributed under the terms and conditions of the Creative Commons Attribution (CC BY) license (https://creativecommons.org/licenses/by/4.0/).
Share and Cite
Wang, J.; Liao, S.; Lin, H.; Wei, H.; Mao, X.; Wang, Q.; Chen, H. Fem-1 Gene of Chinese White Pine Beetle (Dendroctonus armandi): Function and Response to Environmental Treatments. Int. J. Mol. Sci. 2024, 25, 10349. https://doi.org/10.3390/ijms251910349
Wang J, Liao S, Lin H, Wei H, Mao X, Wang Q, Chen H. Fem-1 Gene of Chinese White Pine Beetle (Dendroctonus armandi): Function and Response to Environmental Treatments. International Journal of Molecular Sciences. 2024; 25(19):10349. https://doi.org/10.3390/ijms251910349
Chicago/Turabian StyleWang, Jiajin, Songkai Liao, Haoyu Lin, Hongjian Wei, Xinjie Mao, Qi Wang, and Hui Chen. 2024. "Fem-1 Gene of Chinese White Pine Beetle (Dendroctonus armandi): Function and Response to Environmental Treatments" International Journal of Molecular Sciences 25, no. 19: 10349. https://doi.org/10.3390/ijms251910349
APA StyleWang, J., Liao, S., Lin, H., Wei, H., Mao, X., Wang, Q., & Chen, H. (2024). Fem-1 Gene of Chinese White Pine Beetle (Dendroctonus armandi): Function and Response to Environmental Treatments. International Journal of Molecular Sciences, 25(19), 10349. https://doi.org/10.3390/ijms251910349

