Differential Effect of Omega-3 Fatty Acids on Platelet Inhibition by Antiplatelet Drugs In Vitro
Abstract
1. Introduction
2. Results
2.1. Estimation of Antiplatelet Drug’s Effective Concentration That Inhibits by up to 30% Platelet Aggregation Induced by Various Agonists
2.2. Dose-Dependent Inhibitory Effect of DHA and EPA on Platelet Aggregation Induced by Various Agonists
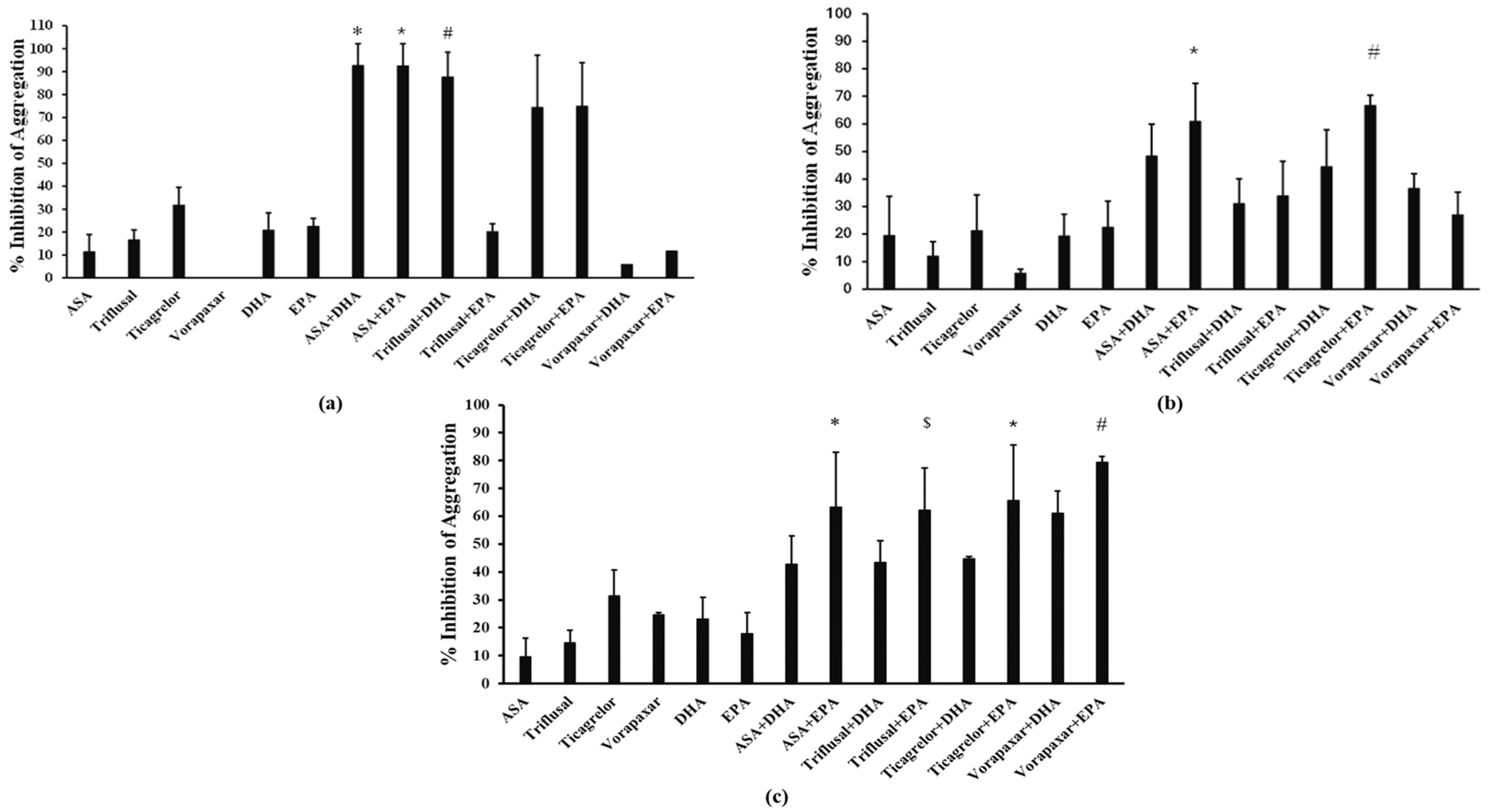
2.3. Effects of DHA or EPA Combinations with Antiplatelet Drugs on Platelet Aggregation Induced by AA
2.4. Effects of Combinations of DHA or EPA with Antiplatelet Drugs on Platelet Aggregation Induced by ADP
2.5. Effects of DHA or EPA Combinations with Antiplatelet Drugs on Human Platelet Aggregation Induced by TRAP-6
2.6. Effects of DHA or EPA Combinations with Antiplatelet Drugs on P-Selectin Membrane Expression and PAC-1 Binding
3. Discussion
4. Materials and Methods
4.1. Chemicals and Reagents
4.2. Platelet Aggregation Studies
4.3. P-Selectin Membrane Expression and PAC-1 Binding
4.4. Statistics
Author Contributions
Funding
Institutional Review Board Statement
Informed Consent Statement
Data Availability Statement
Acknowledgments
Conflicts of Interest
References
- Michaeloudes, C.; Christodoulides, S.; Christodoulou, P.; Kyriakou, T.C.; Patrikios, I.; Stephanou, A. Variability in the Clinical Effects of the Omega-3 Polyunsaturated Fatty Acids DHA and EPA in Cardiovascular Disease—Possible Causes and Future Considerations. Nutrients 2023, 15, 4830. [Google Scholar] [CrossRef] [PubMed]
- Cholewski, M.; Tomczykowa, M.; Tomczyk, M. A comprehensive review of chemistry, sources and bioavailability of omega-3 fatty acids. Nutrients 2018, 10, 1662. [Google Scholar] [CrossRef] [PubMed]
- Strobel, C.; Jahreis, G.; Kuhnt, K. Survey of n-3 and n-6 polyunsaturated fatty acids in fish and fish products. Lipids Health Dis. 2012, 11, 144. [Google Scholar] [CrossRef] [PubMed]
- Lewinska, A.; Zebrowski, J.; Duda, M.; Gorka, A.; Wnuk, M. Fatty Acid Profile and Biological Activities of Linseed and Rapeseed Oils. Molecules 2015, 20, 22872–22880. [Google Scholar] [CrossRef]
- Bernasconi, A.A.; Wiest, M.M.; Lavie, C.J.; Milani, R.V.; Laukkanen, J.A. Effect of Omega-3 Dosage on Cardiovascular Outcomes: An Updated Meta-Analysis and Meta-Regression of Interventional Trials. Mayo Clin. Proc. 2021, 96, 304–313. [Google Scholar] [CrossRef] [PubMed]
- Casula, M.; Soranna, D.; Catapano, A.L.; Corrao, G. Long-term effect of high dose omega-3 fatty acid supplementation for secondary prevention of cardiovascular outcomes: A meta-analysis of randomized, double blind, placebo controlled trials. Atheroscler. Suppl. 2013, 14, 243–251. [Google Scholar] [CrossRef]
- Watanabe, Y.; Tatsuno, I. Prevention of Cardiovascular Events with Omega-3 Polyunsaturated. Off. J. Jpn. Atheroscler. Soc. Asian Pac. Soc. Atheroscler. Vasc. Dis. 2019, 26, 183–198. [Google Scholar]
- Goel, A.; Pothineni, N.V.; Singhal, M.; Paydak, H.; Saldeen, T.; Mehta, J.L. Fish, fish oils and cardioprotection: Promise or fish tale? Int. J. Mol. Sci. 2018, 19, 3703. [Google Scholar] [CrossRef] [PubMed]
- Mach, F.; Baigent, C.; Catapano, A.L.; Koskinas, K.C.; Casula, M.; Badimon, L.; Chapman, M.J.; De Backer, G.G.; Delgado, V.; Ference, B.A.; et al. 2019 ESC/EAS Guidelines for the management of dyslipidaemias: Lipid modification to reduce cardiovascular risk. Eur. Heart J. 2020, 41, 111–188. [Google Scholar] [CrossRef]
- Liu, Q.K. Triglyceride-lowering and anti-inflammatory mechanisms of omega-3 polyunsaturated fatty acids for atherosclerotic cardiovascular risk reduction. J. Clin. Lipidol. 2021, 15, 556–568. [Google Scholar] [CrossRef]
- Caffrey, C.; Leamy, A.; O’Sullivan, E.; Zabetakis, I.; Lordan, R.; Nasopoulou, C. Cardiovascular Diseases and Marine Oils: A Focus on Omega-3 Polyunsaturated Fatty Acids and Polar Lipids. Mar. Drugs 2023, 21, 549. [Google Scholar] [CrossRef] [PubMed]
- Mason, R.P.; Libby, P.; Bhatt, D.L. Emerging Mechanisms of Cardiovascular Protection for the Omega-3 Fatty Acid Eicosapentaenoic Acid. Arterioscler. Thromb. Vasc. Biol. 2020, 40, 1135–1147. [Google Scholar] [CrossRef] [PubMed]
- O’Connell, T.D.; Mason, R.P.; Budoff, M.J.; Navar, A.M.; Shearer, G.C. Mechanistic insights into cardiovascular protection for omega-3 fatty acids and their bioactive lipid metabolites. Eur Hear. J. Suppl. 2020, 22, J3–J20. [Google Scholar] [CrossRef]
- Bhatt, D.L.; Steg, P.G.; Miller, M.; Brinton, E.A.; Jacobson, T.A.; Ketchum, S.B.; Doyle, R.T., Jr.; Juliano, R.A.; Jiao, L.; Granowitz, C.; et al. Cardiovascular Risk Reduction with Icosapent Ethyl for Hypertriglyceridemia. N. Engl. J. Med. 2019, 380, 11–22. [Google Scholar] [CrossRef]
- Thachil, J. Antiplatelet therapy-a summary for the general physicians. Clin. Med. J. R. Coll. Physicians Lond. 2016, 16, 152–160. [Google Scholar] [CrossRef]
- Periayah, M.H.; Halim, A.S.; Saad, A.Z.M. Mechanism action of platelets and crucial blood coagulation pathways in Hemostasis. Int. J. Hematol. Oncol. Stem Cell Res. 2017, 11, 319–327. [Google Scholar]
- Gundlund, A.; Xian, Y.; Peterson, E.D.; Butt, J.H.; Gadsbøll, K.; Bjerring Olesen, J.; Køber, L.; Torp-Pedersen, C.; Gislason, G.H.; Fosbøl, E.L. Prestroke and Poststroke Antithrombotic Therapy in Patients with Atrial Fibrillation: Results From a Nationwide Cohort. JAMA Netw. Open 2018, 1, e180171. [Google Scholar] [CrossRef] [PubMed]
- Shrestha, S.; Coy, S.; Bekelis, K. Oral Antiplatelet and Anticoagulant Agents in the Prevention and Management of Ischemic Stroke. Curr. Pharm. Des. 2017, 23, 1377–1391. [Google Scholar] [CrossRef]
- Mackman, N.; Bergmeier, W.; Stouffer, G.A.; Weitz, J.I. Therapeutic strategies for thrombosis: New targets and approaches. Nat. Rev. Drug Discov. 2020, 19, 333–352. [Google Scholar] [CrossRef]
- Metharom, P.; Berndt, M.C.; Baker, R.I.; Andrews, R.K. Current state and novel approaches of antiplatelet therapy. Arterioscler. Thromb. Vasc. Biol. 2015, 35, 1327–1338. [Google Scholar] [CrossRef]
- Smith, W.L. Prostanoid biosynthesis and mechanisms of action. Am. J. Physiol. 1992, 263 Pt 2, F181–F191. [Google Scholar] [CrossRef] [PubMed]
- Reilly, M.; Fitzgerald, G.A. Cellular activation by thromboxane A2 and other eicosanoids. Eur. Heart J. 1993, 14 (Suppl. K), 88–93. [Google Scholar] [PubMed]
- Roderick, P.J.; Wilkes, H.C.; Meade, T.W. The gastrointestinal toxicity of aspirin: An overview of randomised controlled trials. Br. J. Clin. Pharmacol. 1993, 35, 219–226. [Google Scholar] [CrossRef] [PubMed]
- Lavie, C.J.; Howden, C.W.; Scheiman, J.; Tursi, J. Upper Gastrointestinal Toxicity Associated with Long-Term Aspirin Therapy: Consequences and Prevention. Curr. Probl. Cardiol. 2017, 42, 146–164. [Google Scholar] [CrossRef]
- Cruz-Fernández, J.M.; López-Bescós, L.; García-Dorado, D.; López García-Aranda, V.; Cabadés, A.; Martín-Jadraque, L.; Velasco, J.; Castro-Beiras, A.; Torres, F.; Marfil, F.; et al. Randomized comparative trial of triflusal and aspirin following acute myocardial infarction. Eur. Heart J. 2000, 21, 457–465. [Google Scholar] [CrossRef]
- Culebras, A.; Rotta-Escalante, R.; Vila, J.; Domínguez, R.; Abiusi, G.; Famulari, A.; Rey, R.; Bauso-Tosselli, L.; Gori, H.; Ferrari, J.; et al. Triflusal vs aspirin for prevention of cerebral infarction: A randomized stroke study. Neurology 2004, 62, 1073–1080. [Google Scholar] [CrossRef]
- Kalantzi, K.I.; Ntalas, I.V.; Chantzichristos, V.G.; Tsoumani, M.E.; Adamopoulos, D.; Asimakopoulos, C.; Bourdakis, A.; Darmanis, P.; Dimitriadou, A.; Gkiokas, S.; et al. Comparison of Triflusal with Aspirin in the Secondary Prevention of Atherothrombotic Events; A Randomised Clinical Trial. Curr. Vasc. Pharmacol. 2018, 17, 635–643. [Google Scholar] [CrossRef]
- van Giezen, J.J.J.; Sidaway, J.; Glaves, P.; Kirk, I.; Björkman, J.A. Ticagrelor inhibits adenosine uptake in vitro and enhances adenosine-mediated hyperemia responses in a canine model. J. Cardiovasc. Pharmacol. Ther. 2012, 17, 164–172. [Google Scholar] [CrossRef] [PubMed]
- Degrauwe, S.; Pilgrim, T.; Aminian, A.; Noble, S.; Meier, P.; Iglesias, J.F. Dual antiplatelet therapy for secondary prevention of coronary artery disease. Open Hear. 2017, 4, 1–16. [Google Scholar] [CrossRef]
- Morrow, D.A.; Braunwald, E.; Bonaca, M.P.; Ameriso, S.F.; Dalby, A.J.; Fish, M.P.; Fox, K.A.A.; Lipka, L.J.; Liu, X.; Nicolau, J.C.; et al. Vorapaxar in the secondary prevention of atherothrombotic events. N. Engl. J. Med. 2012, 366, 1404–1413. [Google Scholar] [CrossRef]
- Virani, S.S.; Morris, P.B.; Agarwala, A.; Ballantyne, C.M.; Birtcher, K.K.; Kris-Etherton, P.M.; Ladden-Stirling, A.B.; Miller, M.; Orringer, C.E.; Stone, N.J. 2021 ACC Expert Consensus Decision Pathway on the Management of ASCVD Risk Reduction in Patients with Persistent Hypertriglyceridemia: A Report of the American College of Cardiology Solution Set Oversight Committee. J. Am. Coll. Cardiol. 2021, 78, 960–993. [Google Scholar] [CrossRef] [PubMed]
- Toth, P.P.; Chapman, M.J.; Parhofer, K.G.; Nelson, J.R. Differentiating EPA from EPA/DHA in cardiovascular risk reduction. Am. Hear J. Plus Cardiol. Res. Pract. 2022, 17, 100148. [Google Scholar] [CrossRef] [PubMed]
- Shaikh, S.R. Biophysical and biochemical mechanisms by which dietary N-3 polyunsaturated fatty acids from fish oil disrupt membrane lipid rafts. J. Nutr. Biochem. 2012, 23, 101–105. [Google Scholar] [CrossRef]
- Nelson, J.R.; Budoff, M.J.; Wani, O.R.; Le, V.; Patel, D.K.; Nelson, A.; Nemiroff, R.L. EPA’s pleiotropic mechanisms of action: A narrative review. Postgrad. Med. 2021, 133, 651–664. [Google Scholar] [CrossRef]
- Huang, J.; Li, X.; Shi, X.; Zhu, M.; Wang, J.; Huang, S.; Huang, X.; Wang, H.; Li, L.; Deng, H.; et al. Platelet integrin αiIbβ3: Signal transduction, regulation, and its therapeutic targeting. J. Hematol. Oncol. 2019, 12, 26. [Google Scholar] [CrossRef]
- von Hundelshausen, P.; Schmitt, M.M.N. Platelets and their chemokines in atherosclerosis-clinical applications. Front. Physiol. 2014, 5, 294. [Google Scholar] [CrossRef]
- Tsoumani, M.E.; Kalantzi, K.I.; Dimitriou, A.A.; Ntalas, I.V.; Goudevenos, I.A.; Tselepis, A.D. Antiplatelet efficacy of long-term treatment with clopidogrel besylate in patients with a history of acute coronary syndrome: Comparison with clopidogrel hydrogen sulfate. Angiology 2012, 63, 547–551. [Google Scholar] [CrossRef] [PubMed]
- Goudevenos, J.; Tselepis, A.D.; Tsoukatos, D.; Grekas, G.; Kritikakos, J.; Sideris, D. Platelet aggregability to platelet activating factor at rest and after exercise in patients with coronary artery disease. Eur. Heart J. 1995, 16, 1036–1043. [Google Scholar] [CrossRef]
- Tzakos, A.G.; Kontogianni, V.G.; Tsoumani, M.; Kyriakou, E.; Hwa, J.; Rodrigues, F.A.; Tselepis, A.D. Exploration of the antiplatelet activity profile of betulinic acid on human platelets. J. Agric. Food Chem. 2012, 60, 6977–6983. [Google Scholar] [CrossRef]
- Mitsios, J.V.; Tambaki, A.P.; Abatzis, M.; Biris, N.; Sakarellos-Daitsiotis, M.; Sakarellos, C.; Soteriadou, K.; Goudevenos, J.; Elisaf, M.; Tsoukatos, D.; et al. Effect of synthetic peptides corresponding to residues 313–332 of the alphaIIb subunit on platelet activation and fibrinogen binding to alphaIIbbeta3. Eur. J. Biochem. 2004, 271, 855–862. [Google Scholar] [CrossRef]
- Stylos, E.; Chatziathanasiadou, M.V.; Tsiailanis, A.; Kellici, T.F.; Tsoumani, M.; Kostagianni, A.D.; Deligianni, M.; Tselepis, A.D.; Tzakos, A.G. Tailoring naringenin conjugates with amplified and triple antiplatelet activity profile: Rational design, synthesis, human plasma stability and in vitro evaluation. Biochim. Biophys. Acta –Gen. Subj. 2017, 1861, 2609–2618. [Google Scholar] [CrossRef] [PubMed]
- Kontogianni, V.G.; Tsoumani, M.E.; Kellici, T.F.; Mavromoustakos, T.; Gerothanassis, I.P.; Tselepis, A.D.; Tzakos, A.G. Deconvoluting the dual antiplatelet activity of a plant extract. J. Agric. Food Chem. 2016, 64, 4511–4521. [Google Scholar] [CrossRef] [PubMed]
- Tsiailanis, A.; Tsoumani, M.; Stylos, E.K.; Chatziathanasiadou, M.V.; Kellici, T.F.; Mavromoustakos, T.; Tselepis, A.D.; Tzakos, A.G. Designing Natural Product Hybrids Bearing Triple Antiplatelet Profile and Evaluating Their Human Plasma Stability. Methods Mol. Biol. 2018, 1824, 371–385. [Google Scholar] [PubMed]
- Mitsios, J.V.; Stamos, G.; Rodis, F.I.; Tsironis, L.D.; Stanica, M.R.; Sakarellos, C.; Tsoukatos, D.; Tsikaris, V.; Tselepis, A.D. Investigation of the role of adjacent amino acids to the 313–320 sequence of the alphaIIb subunit on platelet activation and fibrinogen binding to alphaIIbbeta3. Platelets 2006, 17, 277–282. [Google Scholar] [CrossRef]



| AA | ADP | TRAP-6 | ||||
|---|---|---|---|---|---|---|
| Combinations | Sum of Inhibitory Effects (%) | Experimental Inhibition (%) | Sum of Inhibitory Effects (%) | Experimental Inhibition (%) | Sum of Inhibitory Effects (%) | Experimental Inhibition (%) |
| ASA + DHA | 31.87 ± 7.78 | 92.66 ± 9.52 * | 38.92 ± 21.89 | 47.40 ± 6.45 | 32.62 ± 18.05 | 42.74 ± 10.21 |
| ASA + EPA | 34.63 ± 9.08 | 92.59 ± 7.04 ** | 42.01 ± 23.45 | 61.92 ± 11.61 | 27.43 ± 12.75 | 63.21 ± 19.89 |
| Triflusal + DHA | 37.00 ± 5.60 | 89.10 ± 6.20 *** | 31.36 ± 12.67 | 31.07 ± 8.98 | 37.76 ± 15.86 | 43.42 ± 7.80 |
| Triflusal + EPA | 39.76 ± 6.90 | 39.50 ± 9.50 | 34.45 ± 14.53 | 33.89 ± 12.47 | 32.57 ± 10.56 | 62.24 ± 13.61 |
| Ticagrelor + DHA | 52.19 ± 10.13 | 77.12 ± 18.62 | 40.46 ± 19.54 | 45.72 ± 12.74 | 54.45 ± 22.16 | 44.76 ± 2.30 |
| Ticagrelor + EPA | 54.95 ± 11.16 | 79.03 ± 15.08 | 43.73 ± 21.40 | 67.40 ± 8.71 | 49.26 ± 16.86 | 67.71 ± 9.18 |
| Vorapaxar + DHA | 20.38 ± 1.30 | <20% | 26.51 ± 9.79 | 38.83 ± 7.15 | 47.71 ± 13.42 | 60.14 ± 9.23 |
| Vorapaxar + EPA | 23.14 ± 2.60 | <20% | 29.60 ± 11.62 | 27.38 ± 9.08 | 42.52 ± 8.12 | 81.71 ± 3.01 $ |
| Membrane Expression of P-Selectin (CD62-PE) | Membrane Expression of αIIbβ3 (PAC-1-FITC) | |
|---|---|---|
| Inhibition (%) | Inhibition (%) | |
| DHA 1000 µM | 3.38 ± 4.78 | 47.07 ± 27.67 |
| EPA 1000 µM | 6.49 ± 9.17 | 52.46 ± 10.07 |
| ASA 25 µM | 12.8 ± 18.11 | 14.57 ± 20.61 |
| Tic 0.5 µM | 51.13 ± 30.21 | 58.86 ± 11.36 |
| Vor 0.25 µM | 0.21 ± 0.30 | 15.67 ± 14.15 |
| Triflusal 500 µM | 0.00 ± 0.00 | 18.21 ± 25.76 |
| ASA + DHA | 31.00 ± 43.84 | 51.21 ± 49.20 |
| ASA + EPA | 14.50 ± 20.51 | 49.45 ± 10.54 |
| Tic + DHA | 42.78 ± 46.00 | 92.27 ± 7.79 |
| Tic + EPA | 35.22 ± 33.81 | 80.14 ± 1.41 |
| Trifl + DHA | 15.63 ± 20.32 | 63.84 ± 18.61 |
| Trifl + EPA | 3.94 ± 4.33 | 48.38 ± 1.95 |
| Vor + DHA | 7.46 ± 10.50 | 52.73 ± 7.74 |
| Vor + EPA | 21.4 ± 8.66 | 68.38 ± 5.12 |
| Membrane Expression of P-Selectin (CD62-PE) | Membrane Expression of αIIbβ3 (PAC-1-FITC) | |
|---|---|---|
| Inhibition (%) | Inhibition (%) | |
| DHA 1000 µM | 6.18 ± 5.74 | 38.84 ± 13.67 |
| EPA 1000 µM | 16.34 ± 14.15 | 62.43 ± 25.25 |
| ASA 25 µM | 0.00 ± 0.00 | 0.00 ± 0.00 |
| Tic 0.5 µM | 31.00 ± 21.97 | 50.56 ± 10.44 |
| Vor 0.25 µM | 41.26 ± 6.59 | 54.85 ± 12.13 |
| Triflusal 500 µM | 4.11 ± 5.82 | 0.00 ± 0.00 |
| ASA + DHA | 14.34 ± 8.04 | 22.17 ± 4.48 |
| ASA + EPA | 33.57 ± 9.08 | 33.83 ± 5.41 |
| Tic + DHA | 44.35 ± 33.60 | 81.51 ± 11.57 |
| Tic + EPA | 67.29 ± 9.03 | 78.86 ± 14.29 |
| Trifl + DHA | 38.29 ± 16.75 | 35.38 ± 4.53 |
| Trifl + EPA | 23.95 ± 9.08 | 26.89 ± 2.67 |
| Vor + DHA | 68.56 ± 11.24 | 85.13 ± 23.67 |
| Vor + EPA | 66.44 ± 14.81 | 93.35 ± 9.41 |
Disclaimer/Publisher’s Note: The statements, opinions and data contained in all publications are solely those of the individual author(s) and contributor(s) and not of MDPI and/or the editor(s). MDPI and/or the editor(s) disclaim responsibility for any injury to people or property resulting from any ideas, methods, instructions or products referred to in the content. |
© 2024 by the authors. Licensee MDPI, Basel, Switzerland. This article is an open access article distributed under the terms and conditions of the Creative Commons Attribution (CC BY) license (https://creativecommons.org/licenses/by/4.0/).
Share and Cite
Koutsaliaris, I.K.; Pantazi, D.; Tsouka, A.N.; Argyropoulou, O.; Tellis, C.C.; Tselepis, A.D. Differential Effect of Omega-3 Fatty Acids on Platelet Inhibition by Antiplatelet Drugs In Vitro. Int. J. Mol. Sci. 2024, 25, 10136. https://doi.org/10.3390/ijms251810136
Koutsaliaris IK, Pantazi D, Tsouka AN, Argyropoulou O, Tellis CC, Tselepis AD. Differential Effect of Omega-3 Fatty Acids on Platelet Inhibition by Antiplatelet Drugs In Vitro. International Journal of Molecular Sciences. 2024; 25(18):10136. https://doi.org/10.3390/ijms251810136
Chicago/Turabian StyleKoutsaliaris, Ioannis K., Despoina Pantazi, Aikaterini N. Tsouka, Ourania Argyropoulou, Constantinos C. Tellis, and Alexandros D. Tselepis. 2024. "Differential Effect of Omega-3 Fatty Acids on Platelet Inhibition by Antiplatelet Drugs In Vitro" International Journal of Molecular Sciences 25, no. 18: 10136. https://doi.org/10.3390/ijms251810136
APA StyleKoutsaliaris, I. K., Pantazi, D., Tsouka, A. N., Argyropoulou, O., Tellis, C. C., & Tselepis, A. D. (2024). Differential Effect of Omega-3 Fatty Acids on Platelet Inhibition by Antiplatelet Drugs In Vitro. International Journal of Molecular Sciences, 25(18), 10136. https://doi.org/10.3390/ijms251810136

