Molecular Aspects of the Interactions between Selected Benzodiazepines and Common Adulterants/Diluents: Forensic Application of Theoretical Chemistry Methods
Abstract
1. Introduction
2. Results
2.1. Determination of the Appropriate Level of Theory
2.2. Comparison between Experimental and Theoretical 13C NMR and IR Spectra of Lorazepam
2.3. Molecular Dynamics Study of the Interactions of Lorazepam/Alprazolam with Adulterants/Diluents
2.4. DFT/QTAIM Study of the Interactions of Lorazepam/Alprazolam with Adulterants/Diluents
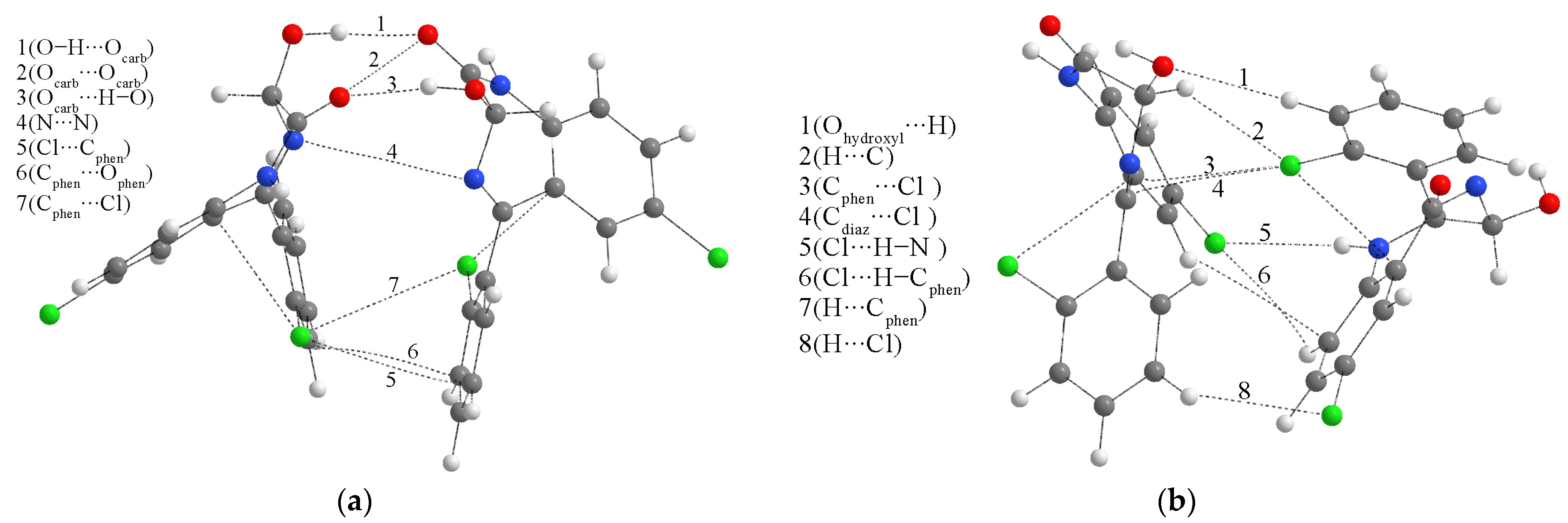
2.4.1. Lorazepam and Paracetamol/Caffeine
2.4.2. Lorazepam and Glucose/Lactose
2.4.3. Alprazolam and Paracetamol/Caffeine
2.4.4. Alprazolam and Glucose/Lactose
3. Discussion
4. Materials and Methods
4.1. Chemicals
4.2. Extraction of Lorazepam from Comercial Tablets
4.3. Theoretical Analysis
4.4. Molecular Dynamics Simulations
5. Conclusions
Supplementary Materials
Author Contributions
Funding
Institutional Review Board Statement
Informed Consent Statement
Data Availability Statement
Acknowledgments
Conflicts of Interest
References
- Gravielle, M.C.; Faris, R.; Russek, S.J.; Farb, D.H. GABA Induces Activity Dependent Delayed-onset Uncoupling of GABA/Benzodiazepine Site Interactions in Neocortical Neurons. J. Biol. Chem. 2005, 280, 20954–20960. [Google Scholar] [CrossRef]
- Verma, S.; Kumar, S. A Mini Review on Synthetic Approaches and Biological Activities of Benzodiazepines. Mini. Rev. Org. Chem. 2017, 14, 453–468. [Google Scholar] [CrossRef]
- Manchester, K.R.; Lomas, E.C.; Waters, L.; Dempsey, F.C.; Maskell, P.D. The emergence of new psychoactive substance (NPS) benzodiazepines: A review. Drug Test. Anal. 2018, 10, 37–53. [Google Scholar] [CrossRef]
- Moosmann, B.; Auwärter, V. Designer Benzodiazepines: Another Class of New Psychoactive Substances. In New Psychoactive Substances. Handbook of Experimental Pharmacology; Springer: Berlin/Heidelberg, Germany, 2018; pp. 383–410. [Google Scholar]
- dos Santos, C.; Bruni, A.T. Evaluation of Density Functional Theory-Generated Data for Infrared Spectroscopy of Novel Psychoactive Substances Using Unsupervised Learning. Psychoactives 2024, 3, 265–284. [Google Scholar] [CrossRef]
- Zawilska, J.B.; Wojcieszak, J. An expanding world of new psychoactive substances—Designer benzodiazepines. Neurotoxicology 2019, 73, 8–16. [Google Scholar] [CrossRef]
- Albano, G.D.; Malta, G.; La Spina, C.; Rifiorito, A.; Provenzano, V.; Triolo, V.; Vaiano, F.; Bertol, E.; Zerbo, S.; Argo, A. Toxicological Findings of Self-Poisoning Suicidal Deaths: A Systematic Review by Countries. Toxics 2022, 10, 654. [Google Scholar] [CrossRef]
- Cato, V.; Holländare, F.; Nordenskjöld, A.; Sellin, T. Association between benzodiazepines and suicide risk: A matched case-control study. BMC Psychiatry 2019, 19, 317. [Google Scholar] [CrossRef]
- Kaviani, S.; Shahab, S.; Sheikhi, M. Adsorption of alprazolam drug on the B12N12 and Al12N12 nano-cages for biological applications: A DFT study. Phys. E Low-Dimens. Syst. Nanostruct. 2021, 126, 114473. [Google Scholar] [CrossRef]
- Kalwani, R.; Van Buskirk, J. Are benzodiazepines effective for treatment of generalized anxiety disorder? Evidence-Based Pract. 2017, 20, E8–E9. [Google Scholar] [CrossRef]
- Zugliani, M.M.; Cabo, M.C.; Nardi, A.E.; Perna, G.; Freire, R.C. Pharmacological and Neuromodulatory Treatments for Panic Disorder: Clinical Trials from 2010 to 2018. Psychiatry Investig. 2019, 16, 50–58. [Google Scholar] [CrossRef]
- González Alonso, S.; Catalá, M.; Maroto, R.R.; Gil, J.L.R.; de Miguel, Á.G.; Valcárcel, Y. Pollution by psychoactive pharmaceuticals in the Rivers of Madrid metropolitan area (Spain). Environ. Int. 2010, 36, 195–201. [Google Scholar] [CrossRef]
- Riss, J.; Cloyd, J.; Gates, J.; Collins, S. Benzodiazepines in epilepsy: Pharmacology and pharmacokinetics. Acta Neurol. Scand. 2008, 118, 69–86. [Google Scholar] [CrossRef]
- Fawcett, J.A.; Kravitz, H.M. Alprazolam: Pharmacokinetics, Clinical Efficacy, and Mechanism of Action. Pharmacother. J. Hum. Pharmacol. Drug Ther. 1982, 2, 243–253. [Google Scholar] [CrossRef]
- Verster, J.C.; Volkerts, E.R. Clinical Pharmacology, Clinical Efficacy, and Behavioral Toxicity of Alprazolam: A Review of the Literature. CNS Drug Rev. 2004, 10, 45–76. [Google Scholar] [CrossRef]
- Ildiz, G.O.; Tabanez, A.M.; Nunes, A.; Roque, J.P.L.; Justino, L.L.G.; Ramos, M.L.; Fausto, R. Molecular structure, spectroscopy and photochemistry of alprazolam. J. Mol. Struct. 2022, 1247, 131295. [Google Scholar] [CrossRef]
- Brigo, F.; Lattanzi, S. Anti-convulsant Agents: Benzodiazepines (Clobazam, Clonazepam, Diazepam, Lorazepam, Midazolam). In NeuroPsychopharmacotherapy; Springer International Publishing: Cham, Switzerland, 2022; pp. 3753–3760. [Google Scholar]
- Coomber, R. The Adulteration of Drugs: What Dealers Do to Illicit Drugs, and What They Think is Done to Them. Addict. Res. 1997, 5, 297–306. [Google Scholar] [CrossRef]
- da Silva, A.F.; Grobério, T.S.; Zacca, J.J.; Maldaner, A.O.; Braga, J.W.B. Cocaine and adulterants analysis in seized drug samples by infrared spectroscopy and MCR-ALS. Forensic Sci. Int. 2018, 290, 169–177. [Google Scholar] [CrossRef]
- Cole, C.; Jones, L.; McVeigh, J.; Kicman, A.; Syed, Q.; Bellis, M. Adulterants in illicit drugs: A review of empirical evidence. Drug Test. Anal. 2011, 3, 89–96. [Google Scholar] [CrossRef]
- Di Trana, A.; Berardinelli, D.; Montanari, E.; Berretta, P.; Basile, G.; Huestis, M.A.; Busardò, F.P. Molecular Insights and Clinical Outcomes of Drugs of Abuse Adulteration: New Trends and New Psychoactive Substances. Int. J. Mol. Sci. 2022, 23, 14619. [Google Scholar] [CrossRef]
- Grobério, T.S.; Zacca, J.J.; Botelho, É.D.; Talhavini, M.; Braga, J.W.B. Discrimination and quantification of cocaine and adulterants in seized drug samples by infrared spectroscopy and PLSR. Forensic Sci. Int. 2015, 257, 297–306. [Google Scholar] [CrossRef] [PubMed]
- Pérez-Alfonso, C.; Galipienso, N.; Garrigues, S.; de la Guardia, M. A green method for the determination of cocaine in illicit samples. Forensic Sci. Int. 2014, 237, 70–77. [Google Scholar] [CrossRef]
- Marcelo, M.C.A.; Mariotti, K.C.; Ferrão, M.F.; Ortiz, R.S. Profiling cocaine by ATR–FTIR. Forensic Sci. Int. 2015, 246, 65–71. [Google Scholar] [CrossRef] [PubMed]
- Rodrigues, C.H.P.; de, O. Mascarenhas, R.; Bruni, A.T. In Silico Infrared Spectroscopy as a Benchmark for Identifying Seized Samples Suspected of Being N-Ethylpentylone. Psychoactives 2022, 2, 1–22. [Google Scholar] [CrossRef]
- Džodić, J.; Milenković, D.; Marković, M.; Marković, Z.; Dimić, D. Application of Quantum–Chemical Methods in the Forensic Prediction of Psychedelic Drugs’ Spectra (IR, NMR, UV–VIS, and MS): A Case Study of LSD and Its Analogs. Appl. Sci. 2023, 13, 2984. [Google Scholar] [CrossRef]
- Staack, R.F.; Paul, L.D.; Schmid, D.; Roider, G.; Rolf, B. Proof of a 1-(3-chlorophenyl)piperazine (mCPP) intake—Use as adulterant of cocaine resulting in drug–drug interactions? J. Chromatogr. B 2007, 855, 127–133. [Google Scholar] [CrossRef]
- Lau, C.E.; Wang, Y.; Falk, J.L. Differential Reinforcement of Low Rate Performance, Pharmacokinetics and Pharmacokinetic-Pharmacodynamic Modeling: Independent Interaction of Alprazolam and Caffeine. J. Pharmacol. Exp. Ther. 1997, 281, 1013–1029. [Google Scholar]
- Kaplan, G.B.; Tai, N.T.; Greenblatt, D.J.; Shader, R.I. Separate and combined effects of caffeine and alprazolam on motor activity and benzodiazepine receptor binding in vivo. Psychopharmacology 1990, 101, 539–544. [Google Scholar] [CrossRef]
- File, S.E.; Bond, A.J.; Lister, R.G. Interaction between effects of caffeine and lorazepam in performance tests and self-ratings. J. Clin. Psychopharmacol. 1982, 2, 102–106. [Google Scholar] [CrossRef]
- Spálovská, D.; Maříková, T.; Kohout, M.; Králík, F.; Kuchař, M.; Setnička, V. Methylone and pentylone: Structural analysis of new psychoactive substances. Forensic Toxicol. 2019, 37, 366–377. [Google Scholar] [CrossRef]
- Wu, X.; Cañamares, M.V.; Kakoulli, I.; Sanchez-Cortes, S. Chemical Characterization and Molecular Dynamics Simulations of Bufotenine by Surface-Enhanced Raman Scattering (SERS) and Density Functional Theory (DFT). J. Phys. Chem. Lett. 2022, 13, 5831–5837. [Google Scholar] [CrossRef]
- Sapse, A.-M. Quantum Chemical Calculations Applied to Systems of Forensic Interest. In Forensic Science Advances and Their Application in the Judiciary System; CRC Press: Boca Raton, FL, USA, 2011; pp. 63–104. [Google Scholar]
- Vega, D.R.; Baggio, R.; Russi, S. 8-Chloro-1-methyl-6-phenyl-4H-1,2,4-triazolo[4,3-a][1,4]benzodiazepine dihydrate. Acta Crystallogr. Sect. C Cryst. Struct. Commun. 1999, 55, 2094–2096. [Google Scholar] [CrossRef]
- Chananont, P.; Hamor, T.A.; Martin, I.L. The structures of 7-chloro-5-(2-chlorophenyl)-1,3-dihydro-2H-1,4-benzodiazepin-2-one and 7-chloro-5-(2-chlorophenyl)-1,3-dihydro-1-methyl-2H-1,4-benzodiazepin-2-one. Acta Crystallogr. Sect. B Struct. Crystallogr. Cryst. Chem. 1981, 37, 1371–1375. [Google Scholar] [CrossRef]
- Popović, G.; Sladić, D.; Stefanović, V.; Pfendt, L. Study on protolytic equilibria of lorazepam and oxazepam by UV and NMR spectroscopy. J. Pharm. Biomed. Anal. 2003, 31, 693–699. [Google Scholar] [CrossRef] [PubMed]
- Govindarajan, M.; Ganasan, K.; Periandy, S.; Karabacak, M. Experimental (FT-IR and FT-Raman), electronic structure and DFT studies on 1-methoxynaphthalene. Spectrochim. Acta Part A Mol. Biomol. Spectrosc. 2011, 79, 646–653. [Google Scholar] [CrossRef] [PubMed]
- Suvitha, A.; Periandy, S.; Boomadevi, S.; Govindarajan, M. Vibrational frequency analysis, FT-IR, FT-Raman, ab initio, HF and DFT studies, NBO, HOMO–LUMO and electronic structure calculations on pycolinaldehyde oxime. Spectrochim. Acta Part A Mol. Biomol. Spectrosc. 2014, 117, 216–224. [Google Scholar] [CrossRef]
- Jamróz, M.H. VEDA 4 Program Warsaw 2004. Available online: https://smmg.pl/software/veda/ (accessed on 15 July 2024).
- Ramalingam, M.; Sundaraganesan, N.; Saleem, H.; Swaminathan, J. Experimental (FTIR and FT-Raman) and ab initio and DFT study of vibrational frequencies of 5-amino-2-nitrobenzoic acid. Spectrochim. Acta Part A Mol. Biomol. Spectrosc. 2008, 71, 23–30. [Google Scholar] [CrossRef]
- Sevvanthi, S.; Muthu, S.; Aayisha, S.; Ramesh, P.; Raja, M. Spectroscopic (FT-IR, FT-Raman and UV-Vis), computational (ELF, LOL, NBO, HOMO-LUMO, Fukui, MEP) studies and molecular docking on benzodiazepine derivatives-heterocyclic organic arenes. Chem. Data Collect. 2020, 30, 100574. [Google Scholar] [CrossRef]
- Saddik, R.; Brandán, S.A.; Mortada, S.; Baydere, C.; Roby, O.; Dege, N.; Tighadouini, S.; Tahiri, M.; Faouzi, M.A.; Karrouchi, K. Synthesis, crystal structure, Hirshfeld surface analysis, DFT and antihyperglycemic activity of 9-allyl-2,3,9,10a-tetrahydrobenzo[b]cyclopenta[e][1,4]diazepin-10(1H)-one. J. Mol. Struct. 2023, 1283, 135283. [Google Scholar] [CrossRef]
- Al-Otaibi, J.S. Detailed quantum mechanical studies on bioactive benzodiazepine derivatives and their adsorption over graphene sheets. Spectrochim. Acta Part A Mol. Biomol. Spectrosc. 2020, 235, 118333. [Google Scholar] [CrossRef]
- Mary, Y.S.; Miniyar, P.B.; Mary, Y.S.; Resmi, K.S.; Panicker, C.Y.; Armaković, S.; Armaković, S.J.; Thomas, R.; Sureshkumar, B. Synthesis and spectroscopic study of three new oxadiazole derivatives with detailed computational evaluation of their reactivity and pharmaceutical potential. J. Mol. Struct. 2018, 1173, 469–480. [Google Scholar] [CrossRef]
- Hajji, M.; Mtiraoui, H.; Amiri, N.; Msaddek, M.; Guerfel, T. Crystallographic and first-principles density functional theory study on the structure, noncovalent interactions, and chemical reactivity of 1,5-benzodiazepin-2-ones derivatives. Int. J. Quantum Chem. 2019, 119, e26000. [Google Scholar] [CrossRef]
- Kasalović, M.P.; Jelača, S.; Milanović, Ž.; Maksimović-Ivanić, D.; Mijatović, S.; Lađarević, J.; Božić, B.; Marković, Z.; Dunđerović, D.; Rüffer, T.; et al. Novel triphenyltin(iv) compounds with carboxylato N -functionalized 2-quinolones as promising potential anticancer drug candidates: In vitro and in vivo evaluation. Dalt. Trans. 2024, 53, 8298–8314. [Google Scholar] [CrossRef] [PubMed]
- Soliman, S.M.; Albering, J.; Abu-Youssef, M.A.M. Structural analyses of two new highly distorted octahedral copper(II) complexes with quinoline-type ligands; Hirshfeld, AIM and NBO studies. Polyhedron 2017, 127, 36–50. [Google Scholar] [CrossRef]
- Hazarika, Z.; Jha, A.N. Computational Analysis of the Silver Nanoparticle–Human Serum Albumin Complex. ACS Omega 2020, 5, 170–178. [Google Scholar] [CrossRef]
- Solimini, R.; Rotolo, M.C.; Pellegrini, M.; Minutillo, A.; Pacifici, R.; Busardò, F.P.; Zaami, S. Adulteration Practices of Psychoactive Illicit Drugs: An Updated Review. Curr. Pharm. Biotechnol. 2017, 18, 524–530. [Google Scholar] [CrossRef]
- Zhao, Y.; Truhlar, D.G. Density Functionals for Noncovalent Interaction Energies of Biological Importance. J. Chem. Theory Comput. 2007, 3, 289–300. [Google Scholar] [CrossRef]
- Zhao, Y.; Truhlar, D.G. Assessment of Model Chemistries for Noncovalent Interactions. J. Chem. Theory Comput. 2006, 2, 1009–1018. [Google Scholar] [CrossRef]
- Krishnakumar, V.; Prabavathi, N. Simulation of IR and Raman spectral based on scaled DFT force fields: A case study of 2-amino 4-hydroxy 6-trifluoromethylpyrimidine, with emphasis on band assignment. Spectrochim. Acta Part A Mol. Biomol. Spectrosc. 2008, 71, 449–457. [Google Scholar] [CrossRef]
- Bhaskarapillai, A.; Parayil, S.; Santhamma, J.; Mangalam, D.; Anandakumar, V.M.T. Exploring the structural and electronic characteristics of phenethylamine derivatives: A density functional theory approach. J. Eng. Appl. Sci. 2024, 71, 136. [Google Scholar] [CrossRef]
- Gak Simić, K.; Đorđević, I.; Lazić, A.; Radovanović, L.; Petković-Benazzouz, M.; Rogan, J.; Trišović, N.; Janjić, G. On the supramolecular outcomes of fluorination of cyclohexane-5-spirohydantoin derivatives. CrystEngComm 2021, 23, 2606–2622. [Google Scholar] [CrossRef]
- Shili, A.; Ayadi, A.; Taboukhat, S.; Zouari, N.; Sahraoui, B.; El-Ghayoury, A. Azo-based phenylthiophene Schiff bases: Syntheses, crystal structures and optical properties. J. Mol. Struct. 2020, 1222, 128933. [Google Scholar] [CrossRef]
- Shobana, D.; Sudha, S.; Dimić, D. Structural elucidation and Z-scan investigation of NLO E-N’-(4-formylbenzylidene)furan-2-carbohydrazide hydrate crystal. Opt. Mater. 2024, 152, 115437. [Google Scholar] [CrossRef]
- Kolodziejczyk, W.; Kar, S.; Hill, G.A.; Leszczynski, J. A comprehensive computational analysis of cathinone and its metabolites using quantum mechanical approaches and docking studies. Struct. Chem. 2016, 27, 1291–1302. [Google Scholar] [CrossRef]
- Sahai, M.A.; Opacka-Juffry, J. Molecular mechanisms of action of stimulant novel psychoactive substances that target the high-affinity transporter for dopamine. Neuronal Signal. 2021, 5, NS20210006. [Google Scholar] [CrossRef]
- Sahai, M.A.; Davidson, C.; Khelashvili, G.; Barrese, V.; Dutta, N.; Weinstein, H.; Opacka-Juffry, J. Combined in vitro and in silico approaches to the assessment of stimulant properties of novel psychoactive substances—The case of the benzofuran 5-MAPB. Prog. Neuro-Psychopharmacol. Biol. Psychiatry 2017, 75, 1–9. [Google Scholar] [CrossRef]
- Afroz Bakht, M.; Alharthi, A.I.; Thangaiyan, P.; Ahmad, A.; Ali, I.; Thomas, R. Interaction of serotonin and histamine with water and ethanol: Evidence from theoretical investigations. Comput. Theor. Chem. 2023, 1228, 114299. [Google Scholar] [CrossRef]
- Srivastava, S.K.; Singh, V.B. Spectroscopic signatures and structural motifs in isolated and hydrated serotonin: A computational study. RSC Adv. 2015, 5, 28141–28157. [Google Scholar] [CrossRef]
- Daboe, M.; Parlak, C.; Direm, A.; Alver, Ö.; Ramasami, P. Interaction between escitalopram and ibuprofen or paracetamol: DFT and molecular docking on the drug–drug interactions. J. Biomol. Struct. Dyn. 2024, 42, 672–686. [Google Scholar] [CrossRef]
- Koch, U.; Popelier, P.L.A. Characterization of C-H-O Hydrogen Bonds on the Basis of the Charge Density. J. Phys. Chem. 1995, 99, 9747–9754. [Google Scholar] [CrossRef]
- Bandoli, G.; Clemente, D.A. Crystal, molecular, and electronic structure of an antianxiety agent: 7-chloro-5-(2-chlorophenyl)-1,3-dihydro-3-hydroxy-1,4-benzodiazepin-2-one. J. Chem. Soc. Perkin Trans. 1976, 2, 413. [Google Scholar] [CrossRef]
- Frisch, M.J.; Trucks, G.W.; Schlegel, H.B.; Scuseria, G.E.; Robb, M.A.; Cheeseman, J.R.; Scalmani, G.; Barone, V.; Mennucci, B.; Petersson, G.A.; et al. Gaussian 09, Revision C.01; Gaussian, Inc.: Wallingford, CT, USA, 2009. [Google Scholar]
- Becke, A.D. Density-functional thermochemistry. III. The role of exact exchange. J. Chem. Phys. 1993, 98, 5648. [Google Scholar] [CrossRef]
- Becke, A.D. Density-functional exchange-energy approximation with correct asymptotic behavior. Phys. Rev. A 1988, 38, 3098–3100. [Google Scholar] [CrossRef]
- Zhao, Y.; Schultz, N.E.; Truhlar, D.G. Design of Density Functionals by Combining the Method of Constraint Satisfaction with Parametrization for Thermochemistry, Thermochemical Kinetics, and Noncovalent Interactions. J. Chem. Theory Comput. 2006, 2, 364–382. [Google Scholar] [CrossRef] [PubMed]
- Zhao, Y.; Truhlar, D.G. The M06 suite of density functionals for main group thermochemistry, thermochemical kinetics, noncovalent interactions, excited states, and transition elements: Two new functionals and systematic testing of four M06-class functionals and 12 other functionals. Theor. Chem. Acc. 2008, 120, 215–241. [Google Scholar] [CrossRef]
- Yanai, T.; Tew, D.P.; Handy, N.C. A new hybrid exchange–correlation functional using the Coulomb-attenuating method (CAM-B3LYP). Chem. Phys. Lett. 2004, 393, 51–57. [Google Scholar] [CrossRef]
- Perdew, J.P.; Burke, K.; Wang, Y. Generalized gradient approximation for the exchange-correlation hole of a many-electron system. Phys. Rev. B-Condens. Matter Mater. Phys. 1996, 54, 16533–16539. [Google Scholar] [CrossRef]
- Dunning, T.H. Gaussian basis sets for use in correlated molecular calculations. I. The atoms boron through neon and hydrogen. J. Chem. Phys. 1989, 90, 1007. [Google Scholar] [CrossRef]
- Grimme, S.; Ehrlich, S.; Goerigk, L. Effect of the damping function in dispersion corrected density functional theory. J. Comput. Chem. 2011, 32, 1456–1465. [Google Scholar] [CrossRef]
- Dennington, R.; Keith, T.; Millam, J. GausView, Version 5; Semichem Inc.: Shawnee Mission, KS, USA, 2009. [Google Scholar]
- Weinhold, F.; Landies, C.R. Discovering Chemistry With Natural Bond Orbitals; John Wiley & Sons, Inc.: Hoboken, NJ, USA, 2012. [Google Scholar]
- Foster, J.P.; Weinhold, F. Natural hybrid orbitals. J. Am. Chem. Soc. 1980, 102, 7211–7218. [Google Scholar] [CrossRef]
- Banfi, D.; Patiny, L. www.nmrdb.org: Resurrecting and Processing NMR Spectra On-line. Chimia 2008, 62, 280. [Google Scholar] [CrossRef]
- Castillo, A.M.; Patiny, L.; Wist, J. Fast and accurate algorithm for the simulation of NMR spectra of large spin systems. J. Magn. Reson. 2011, 209, 123–130. [Google Scholar] [CrossRef] [PubMed]
- Wolinski, K.; Hinton, J.F.; Pulay, P. Efficient implementation of the gauge-independent atomic orbital method for NMR chemical shift calculations. J. Am. Chem. Soc. 1990, 112, 8251–8260. [Google Scholar] [CrossRef]
- Cheeseman, J.R.; Trucks, G.W.; Keith, T.A.; Frisch, M.J. A comparison of models for calculating nuclear magnetic resonance shielding tensors. J. Chem. Phys. 1996, 104, 5497–5509. [Google Scholar] [CrossRef]
- Marenich, A.V.; Cramer, C.J.; Truhlar, D.G. Universal Solvation Model Based on Solute Electron Density and on a Continuum Model of the Solvent Defined by the Bulk Dielectric Constant and Atomic Surface Tensions. J. Phys. Chem. B 2009, 113, 6378–6396. [Google Scholar] [CrossRef]
- Bader, R.F.W. Atoms in molecules. Acc. Chem. Res. 1985, 18, 9–15. [Google Scholar] [CrossRef]
- Bader, R.F.W. A Bond Path: A Universal Indicator of Bonded Interactions. J. Phys. Chem. A 1998, 102, 7314–7323. [Google Scholar] [CrossRef]
- Keith, T.A. AIMAll; TK Gristmill Software: Overland Park, KS, USA, 2016. [Google Scholar]
- Abraham, M.J.; Murtola, T.; Schulz, R.; Páll, S.; Smith, J.C.; Hess, B.; Lindahl, E. GROMACS: High performance molecular simulations through multi-level parallelism from laptops to supercomputers. SoftwareX 2015, 1–2, 19–25. [Google Scholar] [CrossRef]
- Mayo, S.L.; Olafson, B.D.; Goddard, W.A. DREIDING: A generic force field for molecular simulations. J. Phys. Chem. 1990, 94, 8897–8909. [Google Scholar] [CrossRef]
- Hess, B.; Bekker, H.; Berendsen, H.J.C.; Fraaije, J.G.E.M. LINCS: A linear constraint solver for molecular simulations. J. Comput. Chem. 1997, 18, 1463–1472. [Google Scholar] [CrossRef]












| Compound | B3LYP | B3LYP-D3BJ | B3PW91 | CAM-B3LYP | M05-2X | M06-2X | |
|---|---|---|---|---|---|---|---|
| Lorazepam | Bond lengths | 0.017 | 0.015 | 0.014 | 0.014 | 0.013 | 0.014 |
| Bond angles | 1.04 | 0.95 | 1.02 | 0.99 | 0.91 | 0.92 | |
| Alprazolam | Bond lengths | 0.009 | 0.009 | 0.008 | 0.007 | 0.007 | 0.008 |
| Bond angles | 0.59 | 0.52 | 0.56 | 0.58 | 0.50 | 0.52 | |
| ΔE (kJ mol−1) | |||
|---|---|---|---|
| Total Energy | Potential Energy | Coulombic | |
| lorazepam–caffeine | −805.6 | −689.4 | −366.8 |
| lorazepam–paracetamol | −554.0 | −437.5 | −128.3 |
| lorazepam–glucose | −533.9 | −418.0 | −244.1 |
| lorazepam–lactose | −664.0 | −547.4 | −366.8 |
| alprazolam–caffeine | −823.1 | −698.6 | −272.6 |
| alprazolam–paracetamol | −818.6 | −693.4 | −38.23 |
| alprazolam–glucose | −723.9 | −599.1 | −92.61 |
| alprazolam–lactose | −524.8 | −399.6 | −54.22 |
Disclaimer/Publisher’s Note: The statements, opinions and data contained in all publications are solely those of the individual author(s) and contributor(s) and not of MDPI and/or the editor(s). MDPI and/or the editor(s) disclaim responsibility for any injury to people or property resulting from any ideas, methods, instructions or products referred to in the content. |
© 2024 by the authors. Licensee MDPI, Basel, Switzerland. This article is an open access article distributed under the terms and conditions of the Creative Commons Attribution (CC BY) license (https://creativecommons.org/licenses/by/4.0/).
Share and Cite
Džodić, J.; Marković, M.; Milenković, D.; Dimić, D. Molecular Aspects of the Interactions between Selected Benzodiazepines and Common Adulterants/Diluents: Forensic Application of Theoretical Chemistry Methods. Int. J. Mol. Sci. 2024, 25, 10087. https://doi.org/10.3390/ijms251810087
Džodić J, Marković M, Milenković D, Dimić D. Molecular Aspects of the Interactions between Selected Benzodiazepines and Common Adulterants/Diluents: Forensic Application of Theoretical Chemistry Methods. International Journal of Molecular Sciences. 2024; 25(18):10087. https://doi.org/10.3390/ijms251810087
Chicago/Turabian StyleDžodić, Jelica, Milica Marković, Dejan Milenković, and Dušan Dimić. 2024. "Molecular Aspects of the Interactions between Selected Benzodiazepines and Common Adulterants/Diluents: Forensic Application of Theoretical Chemistry Methods" International Journal of Molecular Sciences 25, no. 18: 10087. https://doi.org/10.3390/ijms251810087
APA StyleDžodić, J., Marković, M., Milenković, D., & Dimić, D. (2024). Molecular Aspects of the Interactions between Selected Benzodiazepines and Common Adulterants/Diluents: Forensic Application of Theoretical Chemistry Methods. International Journal of Molecular Sciences, 25(18), 10087. https://doi.org/10.3390/ijms251810087

