A Novel Tetrahydroacridine Derivative with Potent Acetylcholinesterase Inhibitory Properties and Dissociative Capability against Aβ42 Fibrils Confirmed by In Vitro Studies
Abstract
1. Introduction
2. Results and Discussion
2.1. Inhibition of Acetylcholinesterase (AChE) Activity—In Vitro Studies
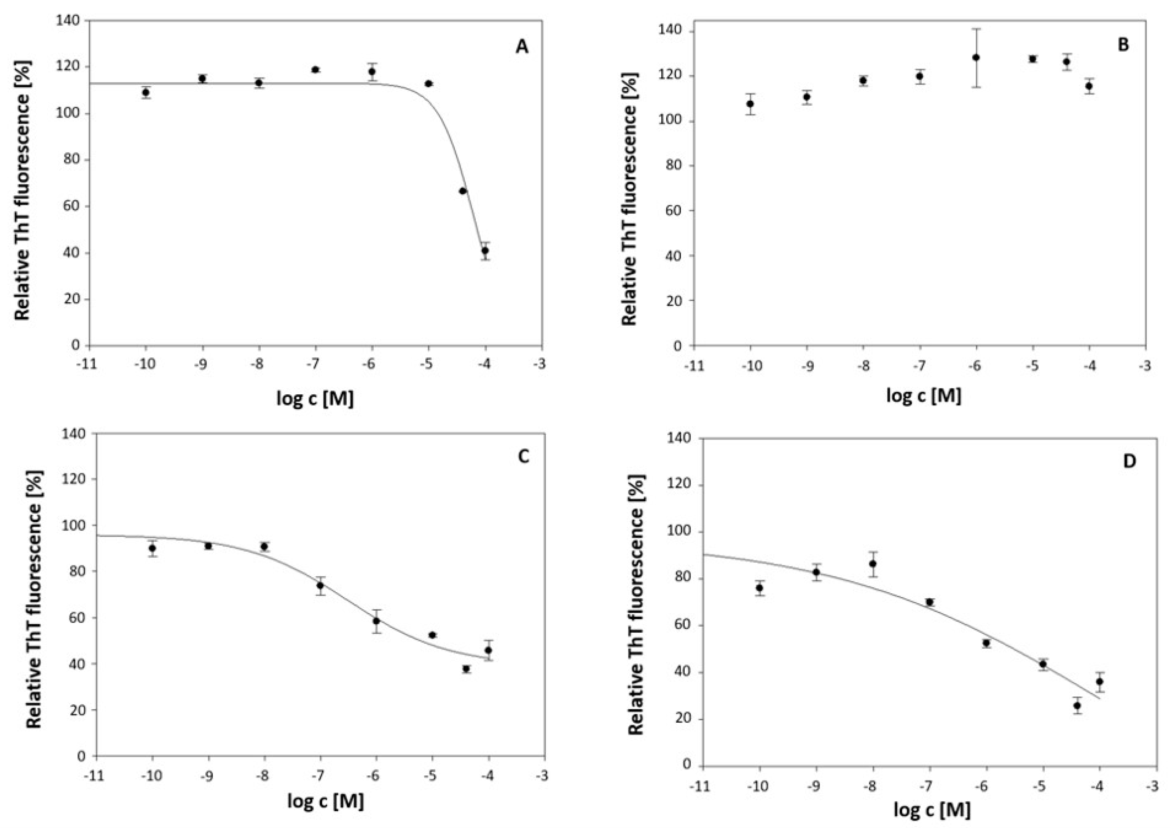
2.2. Effects on the Degradation of Aβ42 Protein Fibrils
2.3. In Vitro Toxicity—Effects on Nerve Cells
2.4. In Vivo Subacute Toxicity
2.5. Acetylcholinesterase (AChE) Activity in Hippocampal Homogenates after Injection of CHDA, Liposomal CHDA, and Rivastigmine
3. Materials and Methods
3.1. Synthesis of CHDA (6-chloro-1,2,3,4,9,10,11,12-octahydro-[1,4]-diazepine-[5,6,7-kl]-acridine Monohydrochloride)
3.2. Preparation of Neat and CHDA-Containing Liposomes
3.3. In Vitro Studies
3.3.1. Inhibition of the Enzyme Acetylcholinesterase (AChE)—IC50 Determination
3.3.2. Formation of Amyloid β 1-42 (Aβ42) Fibrils
3.3.3. Dissociative Activity of Tested Formulations—Thioflavin T (ThT) Fluorescence Assay
3.3.4. Effect of CHDA on the Degradation of Aβ42 Fibrils—Atomic Force Microscopy (AFM)
3.3.5. Effect of CHDA on Neural Cell Viability—Cell Culture and Counting
without formulation − 0.045) × 100.
3.4. In Vivo Studies
3.4.1. Animals and Study Groups—Experimental Procedure
3.4.2. Toxic Effects on Organs as a Result of Repeated Exposure—Blood and Urine Analysis
3.4.3. Determination of Acetylcholinesterase (AChE) Activity in Hippocampal Homogenates after Injection of CHDA, Liposomal CHDA, and Rivastigmine
3.5. Statistical Analysis
4. Conclusions
Supplementary Materials
Author Contributions
Funding
Institutional Review Board Statement
Informed Consent Statement
Data Availability Statement
Conflicts of Interest
References
- Fisar, Z. Linking the Amyloid, Tau, and Mitochondrial Hypotheses of Alzheimer’s Disease and Identifying Promising Drug Targets. Biomolecules 2022, 12, 43. [Google Scholar] [CrossRef] [PubMed]
- Zhang, H.Q.; Jiang, X.F.; Ma, L.N.; Wei, W.; Li, Z.H.; Chang, S.R.; Wen, J.Y.; Sun, J.H.; Li, H. Role of Aβ in Alzheimer’s-related synaptic dysfunction. Front. Cell Dev. Biol. 2022, 10, 14. [Google Scholar] [CrossRef] [PubMed]
- Gauthier, S.; Webster, C.; Servaes, S.; Morais, J.A.; Rosa-Neto, P.J.L. World Alzheimer Report 2022: Life after Diagnosis: Navigating Treatment, Care and Support; Alzheimer’s Disease International: London, UK, 2022; pp. 25–26. [Google Scholar]
- Liu, J.P.; Chang, L.R.; Song, Y.Z.; Li, H.; Wu, Y. The Role of NMDA Receptors in Alzheimer’s Disease. Front. Neurosci. 2019, 13, 22. [Google Scholar] [CrossRef]
- Yaghmaei, E.; Pierce, A.; Lu, H.X.; Patel, Y.M.; Ehwerhemuepha, L.; Rezaie, A.; Sajjadi, S.A.; Rakovski, C. A causal inference study: The impact of the combined administration of Donepezil and Memantine on decreasing hospital and emergency department visits of Alzheimer’s disease patients. PLoS ONE 2023, 18, 13. [Google Scholar] [CrossRef] [PubMed]
- Colovic, M.B.; Krstic, D.Z.; Lazarevic-Pasti, T.D.; Bondzic, A.M.; Vasic, V.M. Acetylcholinesterase Inhibitors: Pharmacology and Toxicology. Curr. Neuropharmacol. 2013, 11, 315–335. [Google Scholar] [CrossRef]
- Gorthi, S.P.; Gupta, D. Alzheimer’s Disease: Treatment Today and Tomorrow. Ann. Indian Acad. Neurol. 2023, 26, 326–333. [Google Scholar] [CrossRef]
- Birks, J.S.; Evans, J.G. Rivastigmine for Alzheimer’s disease. Cochrane Database Syst. Rev. 2015, 2015, CD001191. [Google Scholar]
- Zuliani, G.; Zuin, M.; Romagnoli, T.; Polastri, M.; Cervellati, C.; Brombo, G. Acetyl-cholinesterase-inhibitors reconsidered. A narrative review of post-marketing studies on Alzheimer’s disease. Aging Clin. Exp. Res. 2024, 36, 11. [Google Scholar] [CrossRef]
- Reardon, S. FDA approves Alzheimer’s drug lecanemab amid safety concerns. Nature 2023, 613, 227–228. [Google Scholar] [CrossRef]
- Mojzych, I.; Zawadzka, A.; Kaczynska, K.; Wojciechowski, P.; Zajac, D.; Chotkowski, M.; Wiktorska, K.; Maurin, J.K.; Mazur, M. A tetrahydroacridine derivative and its conjugate with gold nanoparticles: Promising agents for the treatment of Alzheimer’s disease. Phys. Chem. Chem. Phys. 2023, 25, 16796–16806. [Google Scholar] [CrossRef]
- Atri, A. Current and Future Treatments in Alzheimer’s Disease. Semin. Neurol. 2019, 39, 227–240. [Google Scholar] [CrossRef]
- Yiannopoulou, K.G.; Papageorgiou, S.G. Current and Future Treatments in Alzheimer Disease: An Update. J. Cent. Nerv. Syst. Dis. 2020, 12, 12. [Google Scholar] [CrossRef]
- Nordberg, A.; Svensson, A.L. Cholinesterase inhibitors in the treatment of Alzheimer’s disease—A comparison of tolerability and pharmacology. Drug Saf. 1998, 19, 465–480. [Google Scholar] [CrossRef]
- Briggs, R.; Kennelly, S.P.; O’Neill, D. Drug treatments in Alzheimer’s disease. Clin. Med. 2016, 16, 247–253. [Google Scholar] [CrossRef]
- Jevtic, I.I.; Surucic, R.; Tovilovic-Kovacevic, G.; Zogovic, N.; Kostic-Rajacic, S.V.; Andric, D.B.; Penjisevic, J.Z. Multi-target potential of newly designed tacrine-derived cholinesterase inhibitors: Synthesis, computational and pharmacological study. Bioorg. Med. Chem. 2024, 101, 14. [Google Scholar] [CrossRef]
- Sosa, A.F.C.; da Silva, S.M.D.; Morgan, G.P.; Schwartz, D.K.; Kaar, J.L. Mixed Phospholipid Vesicles Catalytically Inhibit and Reverse Amyloid Fibril Formation. J. Phys. Chem. Lett. 2020, 11, 7417–7422. [Google Scholar] [CrossRef]
- Tian, Y.; Liang, R.N.; Kumar, A.; Szwedziak, P.; Viles, J.H. 3D-visualization of amyloid-β oligomer interactions with lipid membranes by cryo-electron tomography. Chem. Sci. 2021, 12, 6896–6907. [Google Scholar] [CrossRef]
- Vu, H.T.; Shimanouchi, T.; Ishikawa, D.; Matsumoto, T.; Yagi, H.; Goto, Y.; Umakoshi, H.; Kuboi, R. Effect of liposome membranes on disaggregation of amyloid β fibrils by dopamine. Biochem. Eng. J. 2013, 71, 118–126. [Google Scholar] [CrossRef]
- Syama, K.; Jakubek, Z.J.; Chen, S.; Zaifman, J.; Tam, Y.Y.C.; Zou, S. Development of lipid nanoparticles and liposomes reference materials (II): Cytotoxic profiles. Sci. Rep. 2022, 12, 11. [Google Scholar] [CrossRef]
- Frigaard, J.; Jensen, J.L.; Galtung, H.K.; Hiorth, M. Stability and cytotoxicity of biopolymer-coated liposomes for use in the oral cavity. Int. J. Pharm. 2023, 645, 11. [Google Scholar] [CrossRef]
- Fava, C.; Cattazzo, F.; Hu, Z.D.; Lippi, G.; Montagnana, M. The role of red blood cell distribution width (RDW) in cardiovascular risk assessment: Useful or hype? Ann. Transl. Med. 2019, 7, 10. [Google Scholar] [CrossRef] [PubMed]
- Yang, K.; Pan, Y.; Yan, B.; Yu, F.R.; Chen, J.; Fu, J.J.; Tian, P.P.; Zhang, F.S. Red blood cell distribution width-standard deviation but not red blood cell distribution width-coefficient of variation as a potential index for the diagnosis of iron-deficiency anemia in mid-pregnancy women. Open Life Sci. 2021, 16, 1213–1218. [Google Scholar]
- Billett, H.H. Hemoglobin and Hematocrit. In Clinical Methods: The History, Physical, and Laboratory Examinations; Walker, H.K., Hall, W.D., Hurst, J.W., Eds.; Butterworth Publishers: Boston, MA, USA, 1990. [Google Scholar]
- Ren, L.X.; Gu, B.; Du, Y.X.; Wu, X.; Liu, X.J.; Wang, H.; Jiang, L.; Guo, Y.; Wang, J.H. Hemoglobin in normal range, the lower the better?-Evidence from a study from Chinese community-dwelling participants. J. Thorac. Dis. 2014, 6, 477–482. [Google Scholar]
- Mathers, R.A.; Evans, G.O.; Bleby, J. Platelet measurements in rat, dog and mouse blood samples using the Sysmex XT-2000iV. Comp. Clin. Pathol. 2013, 22, 815–821. [Google Scholar] [CrossRef]
- Xiao, Y.H.; Zhan, C.L.; Li, J.J.; Wu, J.; Li, X.C.; Zheng, W.L. Comparison of serum biochemistry between specific pathogen-free and conventional aged Wistar rats. Acad. J. First Med. Coll. PLA 2004, 24, 733–735. [Google Scholar]
- Gowda, S.; Desai, P.B.; Kulkarni, S.S.; Hull, V.V.; Math, A.A.; Vernekar, S.N. Markers of renal function tests. N. Am. J. Med. Sci. 2010, 2, 170–173. [Google Scholar] [PubMed]
- Owu, D.U.; Osim, E.E.; Ebong, P.E. Serum liver enzymes profile of Wistar rats following chronic consumption of fresh or oxidized palm oil diets. Acta Trop. 1998, 69, 65–73. [Google Scholar] [CrossRef]
- Ozer, J.; Ratner, M.; Shaw, M.; Bailey, W.; Schomaker, S. The current state of serum biomarkers of hepatotoxicity. Toxicology 2008, 245, 194–205. [Google Scholar] [CrossRef]
- Hammel, P.; Larrey, D.; Bernuau, J.; Kalafat, M.; Freneaux, E.; Babany, G.; Degott, C.; Feldmann, G.; Pessayre, D.; Benhamou, J.P. Acute hepatitis after tetrahydroaminoacridine administration for Alzheimer’s disease. J. Clin. Gastroenterol. 1990, 12, 329–331. [Google Scholar] [CrossRef]
- Röder, P.V.; Wu, B.B.; Liu, Y.X.; Han, W.P. Pancreatic regulation of glucose homeostasis. Exp. Mol. Med. 2016, 48, 19. [Google Scholar] [CrossRef]
- Imafidon, E.C.; Akomolafe, R.O.; Oladele, A.A. Sexually dimorphic proteinuria in Wistar rats: Relevance to clinical models. Pathophysiol. Off. J. Int. Soc. Pathophysiol. 2016, 23, 51–59. [Google Scholar] [CrossRef]
- Cerbai, F.; Giovannini, M.G.; Melani, C.; Enz, A.; Pepeu, G. N1phenethyl-noreymserine, a selective butyrylcholinesterase inhibitor, increases acetylcholine release in rat cerebral cortex: A comparison with donepezil and rivastigmine. Eur. J. Pharmacol. 2007, 572, 142–150. [Google Scholar] [CrossRef] [PubMed]
- Kennedy, J.S.; Polinsky, R.J.; Johnson, B.; Loosen, P.; Enz, A.; Laplanche, R.; Schmidt, D.; Mancione, L.C.; Parris, W.C.V.; Ebert, M.H. Preferential cerebrospinal fluid acetylcholinesterase inhibition by rivastigmine in humans. J. Clin. Psychopharmacol. 1999, 19, 513–521. [Google Scholar] [CrossRef] [PubMed]
- Allen, T.M.; Hansen, C.B.; Guo, L.S.S. Subcutaneous administration of liposomes—A comparison with the intravenous and intraperitoneal routes of injection. Biochim. Biophys. Acta 1993, 1150, 9–16. [Google Scholar] [CrossRef] [PubMed]
- Pulgar, V.M. Transcytosis to Cross the Blood Brain Barrier, New Advancements and Challenges. Front. Neurosci. 2019, 12, 9. [Google Scholar] [CrossRef]
- Teixeira, M.I.; Lopes, C.M.; Amaral, M.H.; Costa, P.C. Current insights on lipid nanocarrier-assisted drug delivery in the treatment of neurodegenerative diseases. Eur. J. Pharm. Biopharm. 2020, 149, 192–217. [Google Scholar] [CrossRef]
- Kumari, S.; Ahsan, S.M.; Kumar, J.M.; Kondapi, A.K.; Rao, N.M. Overcoming blood brain barrier with a dual purpose Temozolomide loaded Lactoferrin nanoparticles for combating glioma (SERP-17-12433). Sci. Rep. 2017, 7, 13. [Google Scholar] [CrossRef]
- Meng, Q.Q.; Wang, A.P.; Hua, H.C.; Jiang, Y.; Wang, Y.Y.; Mu, H.J.; Wu, Z.M.; Sun, K.X. Intranasal delivery of Huperzine A to the brain using lactoferrin-conjugated N-trimethylated chitosan surface-modified PLGA nanoparticles for treatment of Alzheimer’s disease. Int. J. Nanomed. 2018, 13, 705–718. [Google Scholar] [CrossRef]
- Jiang, Y.Y.; Liu, C.Q.; Zhai, W.C.; Zhuang, N.; Han, T.F.; Ding, Z.Y. The Optimization Design of Lactoferrin Loaded HupA Nanoemulsion for Targeted Drug Transport Via Intranasal Route. Int. J. Nanomed. 2019, 14, 9217–9234. [Google Scholar] [CrossRef]
- Ellman, G.L.; Courtney, K.D.; Andres, V.; Featherstone, R.M. A new and rapid colorimetric determination of acetylcholinesterase activity. Biochem. Pharmacol. 1961, 7, 88–95. [Google Scholar] [CrossRef]
- Stine, W.B.; Jungbauer, L.; Yu, C.J.; Ladu, M.J. Preparing Synthetic Aβ in Different Aggregation States. In Alzheimer’s Disease and Frontotemporal Dementia: Methods and Protocols; Roberson, E.D., Ed.; Humana Press Inc.: Totowa, NJ, USA, 2011; Volume 670, pp. 13–32. [Google Scholar]








| NaCl (n = 6) | Rivastigmine (n = 6) | Liposomal CHDA (n = 6) | CHDA (n = 6) | |
|---|---|---|---|---|
| Blood morphology | ||||
| RBC [T/L] | 8.6 ± 0.4 | 7.7 ± 0.4 | 8.00 ± 0.5 | 8.6 ± 0.6 |
| HGB [g/dL] | 16.8 ± 1 | 15.37 ± 1 * | 15.8 ± 1 | 17.1 ± 0.5 |
| HTC [%] | 49.5 ± 5.7 | 45.2 ± 2.7 | 46.8 ± 2.2 | 49.2 ± 1.2 |
| MCV [fL] | 55.9 ± 1.8 | 58.4 ± 1.9 | 58.7 ± 2.7 | 56.9 ± 2.3 |
| MCH [pg] | 19.6 ± 0.6 | 19.8 ± 0.5 | 19.8 ± 1.2 | 19.8 ± 1 |
| MCHC [g/dL] | 35.1 ± 0.7 | 33.97 ± 0.5 | 33.8 ± 0.6 | 34.7 ± 0.5 |
| PLT [G/L] | 1065 ± 67 | 956 ± 163 | 1099 ± 94 | 1038 ± 171 |
| RDW-CV [%] | 16.4 ± 1.1 | 12.6 ± 0.7 * | 12.8 ± 1.8 ** | 17.3 ± 1.6 |
| WBC [G/L] | 9.6 ± 1.4 | 6.3 ± 1.5 | 14.4 ± 14 | 9.9 ± 2.8 |
| Biochemical analysis | ||||
| ALT [U/L] | 54.7 ± 9 | 38.7 ± 20 | 47.3 ± 8 | 59.2 ± 7 |
| AST [U/L] | 132 ± 36 | 112.25 ± 28 | 167.83 ± 53 | 142.25 ± 25 |
| BUN [mg/dL] | 44 ± 9 | 44.00 ± 5 | 54.16 ± 7 | 43.5 ± 3 |
| CREA [mg/dL] | 0.33 ± 0.08 | 0.36 ± 0.14 | 0.31 ± 0.08 | 0.35 ± 0.06 |
| Arterial blood gas analysis | ||||
| pH | 7.38 ± 0.08 | 7.42 ± 0.07 | 7.36 ± 0.03 | 7.36 ± 0.07 |
| pCO2 [mmHg] | 49 ± 12 | 42.5 ± 9 | 48.7 ± 5 | 46 ± 9 |
| HCO3− [mmol/L] | 25.8 ± 2.5 | 25.3 ± 1.7 | 25.5 ± 1.3 | 23.7 ± 1.73 |
| AnGap [mmol/L] | 12.2 ± 1.5 | 13.5 ± 0.6 | 13.7 ± 0.9 | 12.6 ± 0.84 |
| tCO2 [mmol/L] | 27.3 ± 3 | 26.6 ± 2 | 27 ± 1.4 | 25.1 ± 2 |
| BE [mmol/L] | 0.01 ± 1.5 | 1.2 ± 1.2 | −0.3 ± 0.9 | −2.3 ± 1.7 |
| pO2 [mmHg] | 88.5 ± 24 | 80.3 ± 12 | 82.5 ± 9 | 84 ± 21 |
| tHb [g/dL] | 17.2 ± 1.6 | 16 ± 0.7 * | 16 ±0.7 | 17.6 ± 0.4 |
| SaO2 (%) | 92.5 ± 5 | 93 ± 3 | 91 ± 3 | 90.6 ± 5 |
| Na+ [mmol/L] | 139.6 ± 2 | 142 ± 2 | 143 ± 1 | 138 ± 1 |
| K+ [mmol/L] | 5.08 ± 0.9 | 5.8 ± 0.8 | 5.2 ± 0.6 | 6.0 ± 0.5 |
| Cl− [mmol/L] | 106 ± 2 | 109 ± 2 | 109 ± 1 | 107 ± 1 |
| Parameter | NaCl (n = 6) | Rivastigmine (n = 6) | Liposomal CHDA (n = 6) | CHDA (n = 6) |
|---|---|---|---|---|
| GLU [g/L] | negative | negative | negative | negative |
| BIL | negative | negative | negative | negative |
| KET [g/L] | negative | negative | negative | negative |
| SG [g/mL] | 1.017 ± 0.003 | 1.014 ± 0.002 | 1.016 ± 0.002 | 1.016 ± 0.002 |
| BLO [µL−1] | negative | negative | negative | negative |
| pH | 7.75 ± 0.27 | 8.2 ± 0.27 | 7.67 ± 0.47 | 8.05 ± 0.27 |
| PRO [mg/dL] | 30–100 | 30–100 | 30–100 | 30–100 |
| URO [mg/dL] | 0.2 | 0.2 | 0.2 | 0.2 |
| NIT | negative | negative | negative | negative |
| LEU [µL−1] | negative | negative | negative | negative |
Disclaimer/Publisher’s Note: The statements, opinions and data contained in all publications are solely those of the individual author(s) and contributor(s) and not of MDPI and/or the editor(s). MDPI and/or the editor(s) disclaim responsibility for any injury to people or property resulting from any ideas, methods, instructions or products referred to in the content. |
© 2024 by the authors. Licensee MDPI, Basel, Switzerland. This article is an open access article distributed under the terms and conditions of the Creative Commons Attribution (CC BY) license (https://creativecommons.org/licenses/by/4.0/).
Share and Cite
Mojzych, I.; Zawadzka, A.; Andrzejewski, K.; Jampolska, M.; Bednarikova, Z.; Gancar, M.; Gazova, Z.; Mazur, M.; Kaczyńska, K. A Novel Tetrahydroacridine Derivative with Potent Acetylcholinesterase Inhibitory Properties and Dissociative Capability against Aβ42 Fibrils Confirmed by In Vitro Studies. Int. J. Mol. Sci. 2024, 25, 10072. https://doi.org/10.3390/ijms251810072
Mojzych I, Zawadzka A, Andrzejewski K, Jampolska M, Bednarikova Z, Gancar M, Gazova Z, Mazur M, Kaczyńska K. A Novel Tetrahydroacridine Derivative with Potent Acetylcholinesterase Inhibitory Properties and Dissociative Capability against Aβ42 Fibrils Confirmed by In Vitro Studies. International Journal of Molecular Sciences. 2024; 25(18):10072. https://doi.org/10.3390/ijms251810072
Chicago/Turabian StyleMojzych, Ilona, Anna Zawadzka, Kryspin Andrzejewski, Monika Jampolska, Zuzana Bednarikova, Miroslav Gancar, Zuzana Gazova, Maciej Mazur, and Katarzyna Kaczyńska. 2024. "A Novel Tetrahydroacridine Derivative with Potent Acetylcholinesterase Inhibitory Properties and Dissociative Capability against Aβ42 Fibrils Confirmed by In Vitro Studies" International Journal of Molecular Sciences 25, no. 18: 10072. https://doi.org/10.3390/ijms251810072
APA StyleMojzych, I., Zawadzka, A., Andrzejewski, K., Jampolska, M., Bednarikova, Z., Gancar, M., Gazova, Z., Mazur, M., & Kaczyńska, K. (2024). A Novel Tetrahydroacridine Derivative with Potent Acetylcholinesterase Inhibitory Properties and Dissociative Capability against Aβ42 Fibrils Confirmed by In Vitro Studies. International Journal of Molecular Sciences, 25(18), 10072. https://doi.org/10.3390/ijms251810072

