Photodegradation of Amoxicillin in Aqueous Systems: A Review
Abstract
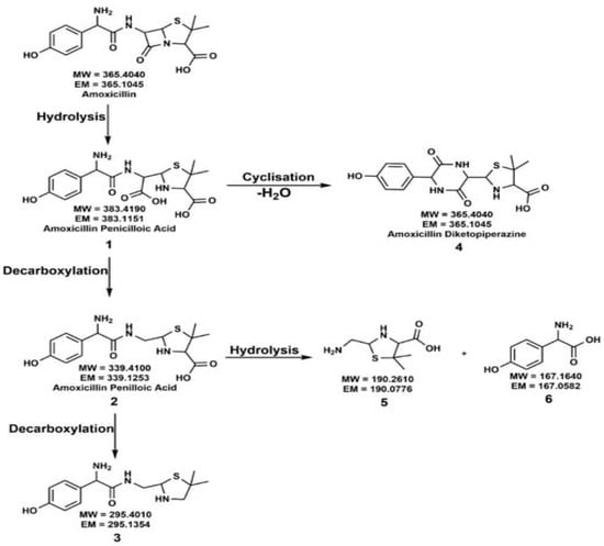
1. Introduction
2. Reported AMX Photodegradation Studies
2.1. TiO2-Containing Catalysts
| No | Catalyst Type | Process Conditions | Degradation Efficiency, % | Degradation Time, h | Ref. |
|---|---|---|---|---|---|
| 1. | TiO2 NPs, 0.2 g/L | UV light irradiation, AMX 10 mg/L | 98.0% | 1 | [22] |
| 2. | TiO2 NPs, 450 mg/L | UV light irradiation (672 W/m2), AMX 30 mg/L, H2O2 (30% w/v) 150 mg/L, pH 7.0 | 80 | 4 | [30] |
| 3. | TiO2 NPs, 563 mg/L | UV irradiation at 365 nm (125 W Hg vapor lamp), 200 mL photoreactor, pH 7.6, AMX 10 mg/L | 90 | 2.5 | [26] |
| 4. | TiO2 NPs, 0.9 g/L | UV light irradiation | 85.3 | 1.5 | [13] |
| 5. | TiO2 NPs, 40 mg | Visible light irradiation, AMX 10 mg/L, 100 mL solution, pH 6 | 50 | 24 | [28] |
| 6. | N-TiO2, 50 mg | Solar light irradiation, H2O2 400 mg/L, pH 5, AMX 25 mg/L | 95.8% | 1 | [15] |
| 7. | nanoTiO2/nano-hydroxyapatite composite, 0.9 g/L | UV light irradiation | 99.5 | 1.5 | [13] |
| 8. | g-C3N4@TiO2 | Visible light irradiation | 100% | 0.33 | [20] |
| 9. | Ag/Ag2O/TiO2 | Visible light irradiation, AMX 20 mg/L, pH 6 | 97.9% | 1.33 | [18] |
| 10. | Cu-TiO2 NPs, 0.40 g/L | Visible light irradiation, AMX 10 mg/L, 100 mL solution, pH 6 | 90 | 24 | [28] |
| 11. | 10%Cu2O/TiO2 nanotubes, 1.5 g/L | Visible light irradiation, AZT 100 μg/mL, pH 7 | 100 | 1.5 | [33] |
| 12. | Zn-doped TiO2 | UV light irradiation, H2O2 550 mL/L, pH 3 | 95 | 1.5 | [34] |
| 13. | TiO2, ZnO, GO-Fe3O4 | UV light irradiation 18 W, AMX 15 mg/L, pH 5 | 27.6 48.6 87.1 | 0.25 0.25 0.25 | [29] |
| 14. | CaTiO3 (0.5 g) and NaCl (0.06 g) as electrolytes | UV light irradiation, intensity 15 W, photoelectrocatalytic, 200 mL AMX 100 mg/L, pH 3, 45 °C | 79 | 2 | [30] |
2.2. Non-TiO2-Based Catalysts
| No | Catalyst Type | Process Conditions | Degradation Efficiency, % | Degradation Time, h | Ref. |
|---|---|---|---|---|---|
| 1. | MIL-53(Al)/ZnO nanocomposite, 1.0 g/L | Visible light irradiation, AMX 10 mg/L, pH 4.5 | 100 | 1 | [39] |
| 2. | Iron NPs (Fe-NPs), 2.5 g/L | UV light irradiation, AMX 10 mg/L, pH 5.6 | 60 | 1 | [37] |
| 3. | C-dots/Sn2Ta2O7/SnO2 nanocomposite | Simulated solar light irradiation, AMX 20 mg/L | 88.3% | 2 | [49] |
| 4. | g-C3N4/BiVO4 microflower | Visible light irradiation | 89.5 | 3 | [50] |
| 5. | WO3 NPs, 0.104 g/L | Sunlight irradiation, AMX 1.0 μM, 50 mL solution, pH 4 | 100 | 3 | [51] |
| 6. | WO3 NPs, 0.104 g/L | Simulated solar irradiation (300 W xenon lamp), AMX 1.0 μM, pH 4, follows pseudo-first-order kinetics, temp. 25 °C | 100 | 3 | [52] |
| 7. | BiVO4 thin film | Visible light irradiation | 97.5 | 1.5 | [53] |
| 8. | Mn-doped Cu2O NPs, 1.0 g/L | Sunlight irradiation, pH 9, AMX 15 mg/L | 92 | 3 | [55] |
| 9. | Cu2O NPs, 1.0 g/L | Sunlight irradiation, pH 9, AMX 15 mg/L | 65 | 3 | [55] |
| 10. | gamma-Fe2O3@SiO2@ZIF8-Ag nanocomposite, catalyst 0.4 g/L | Visible light radiation, pH 5, AMX 10 mg/L | 100 | 1 | [62] |
| 11. | 1% Na-doped hydroxyapatite, 0.1 g | AMX 20 mg/L, 50 mL solution, pH 7 | 60 | 2 | [63] |
2.3. Photolysis Studies
3. Perspective from Reviews Published Earlier in This Area
4. Conclusions
Funding
Institutional Review Board Statement
Data Availability Statement
Acknowledgments
Conflicts of Interest
References
- Rogowska, J.; Cieszynska-Semenowicz, M.; Ratajczyk, W.; Wolska, L. Micropollutants in Treated Wastewater. Ambio 2020, 49, 487–503. [Google Scholar] [CrossRef]
- Javed, M.; Iqbal, S.; Qamar, M.A.; Shariq, M.; Ahmed, I.A.; BaQais, A.; Alzahrani, H.; Ali, S.K.; Masmali, N.A.; Althagafi, T.M.; et al. Fabrication of Effective Co-SnO2/SGCN Photocatalysts for the Removal of Organic Pollutants and Pathogen Inactivation. Crystals 2023, 13, 163. [Google Scholar] [CrossRef]
- Fallatah, A.M.; Alahmari, S.D.; Farid, H.M.T. Facile Synthesis of the MOF Derived ZnMn2O4 Nanorods for Dyes Degradation in Water. J. Mater. Sci. Mater. Electron. 2023, 34, 1630. [Google Scholar] [CrossRef]
- Ghaffar, S.; Abbas, A.; Naeem-ul-Hassan, M.; Assad, N.; Sher, M.; Ullah, S.; Alhazmi, H.A.; Najmi, A.; Zoghebi, K.; Al Bratty, M.; et al. Improved Photocatalytic and Antioxidant Activity of Olive Fruit Extract-Mediated ZnO Nanoparticles. Antioxidants 2023, 12, 1201. [Google Scholar] [CrossRef] [PubMed]
- Helmy, E.T.; Soliman, U.A.; Elbasiony, A.M.; Nguyen, B.-S. CuCe-Ferrite/TiO2 Nanocomposite as an Efficient Magnetically Separable Photocatalyst for Dye Pollutants Decolorization. Top. Catal. 2023, 66, 53–63. [Google Scholar] [CrossRef]
- Dilawar, S.; Albalawi, K.; Khan, A.U.; Tahir, K.; Zaki, M.E.A.; Musad Saleh, E.A.; Almarhoon, Z.M.; Althagafi, T.M.; El-Zahhar, A.A.; El-Bialy, E. Rapid Photodegradation of Toxic Organic Compounds and Photo Inhibition of Bacteria in the Presence of Novel Hydrothermally Synthesized Ag/Mn–ZnO Nanomaterial. Environ. Res. 2023, 231, 116093. [Google Scholar] [CrossRef]
- Qamar, M.A.; Shahid, S.; Javed, M.; Shariq, M.; Fadhali, M.M.; Madkhali, O.; Ali, S.K.; Syed, I.S.; Awaji, M.Y.; Shakir Khan, M.; et al. Accelerated Decoloration of Organic Dyes from Wastewater Using Ternary Metal/g-C3N4/ZnO Nanocomposites: An Investigation of Impact of g-C3N4 Concentration and Ni and Mn Doping. Catalysts 2022, 12, 1388. [Google Scholar] [CrossRef]
- Bessy, T.C.; Sarojoni, V.; El Manna, C.; Sasi, F.S.; Bakri, M.; Johnson, J.; Bindhu, M.R. Optical, Structural, Morphological, Antibacterial, and Photodegradation Characteristics of BaxMg0.8−xFe2O4 (x = 0.2, 0.4, and 0.6) Nanocrystalline Powders Synthesized by Combustion Method. Phys. Status Solidi (a) 2022, 219, 1–8. [Google Scholar] [CrossRef]
- Thilagavathi, T.; Venugopal, D.; Thangaraju, D.; Marnadu, R.; Palanivel, B.; Imran, M.; Shkir, M.; Ubaidullah, M.; AlFaify, S. A Facile Co-Precipitation Synthesis of Novel WO3/NiWO4 Nanocomposite with Improved Photocatalytic Activity. Mater. Sci. Semicond. Process. 2021, 133, 105970. [Google Scholar] [CrossRef]
- Husain Khan, A.; Abdul Aziz, H.; Khan, N.A.; Ahmed, S.; Mehtab, M.S.; Vambol, S.; Vambol, V.; Changani, F.; Islam, S. Pharmaceuticals of Emerging Concern in Hospital Wastewater: Removal of Ibuprofen and Ofloxacin Drugs Using MBBR Method. Int. J. Environ. Anal. Chem. 2023, 103, 140–154. [Google Scholar] [CrossRef]
- Shoeb, M.; Islam, R.; Parvin, N. Antibiotic Resistance. In Transcending Humanitarian Engineering Strategies for Sustainable Futures; IGI Global: Hershey, PA, USA, 2023; pp. 82–105. [Google Scholar]
- World Health Organization. Critically Important Antimicrobials for Human Medicine 6th Revision 2018 Ranking of Medically Important Antimicrobials for Risk Management of Antimicrobial Resistance Due to Non-Human Use; World Health Organization: Geneva, Switzerland, 2019. [Google Scholar]
- Alshandoudi, L.M.; Al Subhi, A.Y.; Al-Isaee, S.A.; Shaltout, W.A.; Hassan, A.F. Static Adsorption and Photocatalytic Degradation of Amoxicillin Using Titanium Dioxide/Hydroxyapatite Nanoparticles Based on Sea Scallop Shells. Environ. Sci. Pollut. Res. 2023, 30, 88704–88723. [Google Scholar] [CrossRef] [PubMed]
- Lalliansanga; Tiwari, D.; Lee, S.-M.; Kim, D.-J. Photocatalytic Degradation of Amoxicillin and Tetracycline by Template Synthesized Nano-Structured Ce3+@TiO2 Thin Film Catalyst. Environ. Res. 2022, 210, 112914. [Google Scholar] [CrossRef]
- Mhemid, R.K.S.; Salman, M.S.; Mohammed, N.A. Comparing the Efficiency of N-Doped TiO2 and Commercial TiO2 as Photo Catalysts for Amoxicillin and Ciprofloxacin Photo-Degradation under Solar Irradiation. J. Environ. Sci. Health Part A 2022, 57, 813–829. [Google Scholar] [CrossRef] [PubMed]
- Ellepola, N.; Rubasinghege, G. Heterogeneous Photocatalysis of Amoxicillin under Natural Conditions and High-Intensity Light: Fate, Transformation, and Mineralogical Impacts. Environments 2022, 9, 77. [Google Scholar] [CrossRef]
- Wang, Y.; Zuo, G.; Kong, J.; Guo, Y.; Xian, Z.; Dai, Y.; Wang, J.; Gong, T.; Sun, C.; Xian, Q. Sheet-on-Sheet TiO2/Bi2MoO6 Heterostructure for Enhanced Photocatalytic Amoxicillin Degradation. J. Hazard. Mater. 2022, 421, 126634. [Google Scholar] [CrossRef]
- Zamani, S.; Rahimi, M.R.; Ghaedi, M. Spinning Disc Photoreactor Based Visible-Light-Driven Ag/Ag2O/TiO2 Heterojunction Photocatalyst Film toward the Degradation of Amoxicillin. J. Environ. Manag. 2022, 303, 114216. [Google Scholar] [CrossRef]
- Aissani, A.; Kameche, M.; Benabbou, K. Synthesis and Characterization of TiO2/LDH Layered Double Hydroxide Composites: Utilization as Photocatalysts for Amoxicillin Degradation under UVA Irradiation. Inorg. Nano-Met. Chem. 2022, 52, 1197–1207. [Google Scholar] [CrossRef]
- Hussien, M.S.A.; Yahia, I.S. Hybrid Multifunctional Core/Shell g-C3N4@TiO2 Heterojunction Nano-Catalytic for Photodegradation of Organic Dye and Pharmaceutical Compounds. Environ. Sci. Pollut. Res. 2021, 28, 29665–29680. [Google Scholar] [CrossRef] [PubMed]
- Gao, B.; Wang, J.; Dou, M.; Xu, C.; Huang, X. Enhanced Photocatalytic Removal of Amoxicillin with Ag/TiO2/Mesoporous g-C3N4 under Visible Light: Property and Mechanistic Studies. Environ. Sci. Pollut. Res. 2020, 27, 7025–7039. [Google Scholar] [CrossRef]
- Alkaim, A.; Aljobree, A. Adsorption and Photocatalytic Degradation of Pharmaceutical Amoxicillin Using TiO2 Nanoparticles in Aqueous Solutions: Oxidative Coupling as Spectrophotometric Method. Int. J. Adv. Sci. Technol. 2020, 29, 5480–5487. [Google Scholar]
- Salimi, M.; Behbahani, M.; Sobhi, H.R.; Gholami, M.; Jonidi Jafari, A.; Rezaei Kalantary, R.; Farzadkia, M.; Esrafili, A. A New Nano-Photocatalyst Based on Pt and Bi Co-Doped TiO2 for Efficient Visible-Light Photo Degradation of Amoxicillin. New J. Chem. 2019, 43, 1562–1568. [Google Scholar] [CrossRef]
- Yılmaz, Ç.H.; Akgeyik, E.; Bougarrani, S.; El Azzouzi, M.; Erdemoğlu, S. Photocatalytic Degradation of Amoxicillin Using Co-Doped TiO2 Synthesized by Reflux Method and Monitoring of Degradation Products by LC–MS/MS. J. Dispers. Sci. Technol. 2020, 41, 414–425. [Google Scholar] [CrossRef]
- Bergamonti, L.; Bergonzi, C.; Graiff, C.; Lottici, P.P.; Bettini, R.; Elviri, L. 3D Printed Chitosan Scaffolds: A New TiO2 Support for the Photocatalytic Degradation of Amoxicillin in Water. Water Res. 2019, 163, 114841. [Google Scholar] [CrossRef] [PubMed]
- Chinnaiyan, P.; Thampi, S.G.; Kumar, M.; Balachandran, M. Photocatalytic Degradation of Metformin and Amoxicillin in Synthetic Hospital Wastewater: Effect of Classical Parameters. Int. J. Environ. Sci. Technol. 2019, 16, 5463–5474. [Google Scholar] [CrossRef]
- Wahyuni, E.T.; Yulikayani, P.Y.; Aprilita, N.H. Enhancement of Visible-Light Photocatalytic Activity of Cu-Doped TiO2 for Photodegradation of Amoxicillin in Water. J. Mater. Environ. Sci. 2020, 11, 670–683. [Google Scholar]
- Fazilati, M. Photocatalytic Degradation of Amoxicillin, Cephalexin, and Tetracycline from Aqueous Solution: Comparison of Efficiency in the Usage of TiO2, ZnO, or GO-Fe3O4 Nanoparticles. Desalin. Water Treat. 2019, 169, 222–231. [Google Scholar] [CrossRef]
- Zhou, L.; Guo, X.; Lai, C.; Wang, W. Electro-Photocatalytic Degradation of Amoxicillin Using Calcium Titanate. Open Chem. 2018, 16, 949–955. [Google Scholar] [CrossRef]
- Verma, M.; Haritash, A.K. Photocatalytic Degradation of Amoxicillin in Pharmaceutical Wastewater: A Potential Tool to Manage Residual Antibiotics. Environ. Technol. Innov. 2020, 20, 101072. [Google Scholar] [CrossRef]
- Balarak, D.; Mengelizadeh, N.; Rajiv, P.; Chandrika, K. Photocatalytic Degradation of Amoxicillin from Aqueous Solutions by Titanium Dioxide Nanoparticles Loaded on Graphene Oxide. Environ. Sci. Pollut. Res. 2021, 28, 49743–49754. [Google Scholar] [CrossRef]
- Huang, D.; Sun, X.; Liu, Y.; Ji, H.; Liu, W.; Wang, C.-C.; Ma, W.; Cai, Z. A Carbon-Rich g-C3N4 with Promoted Charge Separation for Highly Efficient Photocatalytic Degradation of Amoxicillin. Chin. Chem. Lett. 2021, 32, 2787–2791. [Google Scholar] [CrossRef]
- Sharma, M.; Mandal, M.K.; Pandey, S.; Kumar, R.; Dubey, K.K. Visible-Light-Driven Photocatalytic Degradation of Tetracycline Using Heterostructured Cu2O–TiO2 Nanotubes, Kinetics, and Toxicity Evaluation of Degraded Products on Cell Lines. ACS Omega 2022, 7, 33572–33586. [Google Scholar] [CrossRef] [PubMed]
- Nema, S.; Sharma, A.; Rathore, V.K.; Chakraborty, M. Removal of Pharmaceuticals from Aqueous Solutions by Photodegradation Using TiO2 and Sn/Zn/Fe-Doped TiO2 as Photocatalyst Under Ultraviolet and Visible Light. Int. J. Environ. Res. 2024, 18, 12. [Google Scholar] [CrossRef]
- Gadore, V.; Mishra, S.R.; Ahmaruzzaman, M. Bio-Inspired Sustainable Synthesis of Novel SnS2/Biochar Nanocomposite for Adsorption Coupled Photodegradation of Amoxicillin and Congo Red: Effects of Reaction Parameters, and Water Matrices. J. Environ. Manag. 2023, 334, 117496. [Google Scholar] [CrossRef]
- Martins Bernardes Ramos, R.; Paludo, L.C.; Monteiro, P.I.; Maurat da Rocha, L.V.; Veiga de Moraes, C.; Santos, O.O.; Alves, E.R.; Porto Dantas, T.L. Amoxicillin Degradation by Iron Photonanocatalyst Synthetized by Green Route Using Pumpkin (Tetsukabuto) Peel Extract. Talanta 2023, 260, 124658. [Google Scholar] [CrossRef]
- Mmelesi, O.K.; Patala, R.; Nkambule, T.T.I.; Mamba, B.B.; Kefeni, K.K.; Kuvarega, A.T. Effect of Zn Doping on Physico-Chemical Properties of Cobalt Ferrite for the Photodegradation of Amoxicillin and Deactivation of E. coli. Colloids Surf. A Physicochem. Eng. Asp. 2022, 649, 129462. [Google Scholar] [CrossRef]
- Fawzy, A.; Mahanna, H.; Mossad, M. Effective Photocatalytic Degradation of Amoxicillin Using MIL-53(Al)/ZnO Composite. Environ. Sci. Pollut. Res. 2022, 29, 68532–68546. [Google Scholar] [CrossRef] [PubMed]
- Rodríguez-López, L.; Santás-Miguel, V.; Núñez-Delgado, A.; Álvarez-Rodríguez, E.; Pérez-Rodríguez, P.; Arias-Estévez, M. Influence of pH, Humic Acids, and Salts on the Dissipation of Amoxicillin and Azithromycin Under Simulated Sunlight. Span. J. Soil Sci. 2022, 12, 10438. [Google Scholar] [CrossRef]
- Utami, B.A.; Sutanto, H.; Alkian, I.; Sa’Adah, F.; Hidayanto, E. Efficient Degradation of Amoxicillin Using Bi2O3/Fe Synthesized by Microwave-Assisted Precipitation Method. Cogent Eng. 2022, 9, 2119534. [Google Scholar] [CrossRef]
- Le, S.; Zhu, C.; Cao, Y.; Wang, P.; Liu, Q.; Zhou, H.; Chen, C.; Wang, S.; Duan, X. V2O5 Nanodot-Decorated Laminar C3N4 for Sustainable Photodegradation of Amoxicillin under Solar Light. Appl. Catal. B 2022, 303, 120903. [Google Scholar] [CrossRef]
- Van Thuan, D.; Nguyen, T.L.; Pham Thi, H.H.; Thanh, N.T.; Ghotekar, S.; Sharma, A.K.; Binh, M.T.; Nga, T.T.; Pham, T.-D.; Cam, D.P. Development of Indium Vanadate and Silver Deposited on Graphitic Carbon Nitride Ternary Heterojunction for Advanced Photocatalytic Degradation of Residual Antibiotics in Aqueous Environment. Opt. Mater. 2022, 123, 111885. [Google Scholar] [CrossRef]
- Palas, B.; Ersöz, G. Photocatalytic activity of silver doped Self-Assembled supramolecular catalysts for amoxicillin Removal: Investigation of optimum conditions and reaction kinetics. J. Mol. Liq. 2024, 394, 123717. [Google Scholar] [CrossRef]
- Moradi, M.; Hasanvandian, F.; Isari, A.A.; Hayati, F.; Kakavandi, B.; Setayesh, S.R. CuO and ZnO Co-Anchored on g-C3N4 Nanosheets as an Affordable Double Z-Scheme Nanocomposite for Photocatalytic Decontamination of Amoxicillin. Appl. Catal. B 2021, 285, 119838. [Google Scholar] [CrossRef]
- Shi, W.; Liu, Y.; Sun, W.; Hong, Y.; Li, X.; Lin, X.; Guo, F.; Shi, J. Improvement of Synergistic Effect Photocatalytic/Peroxymonosulfate Activation for Degradation of Amoxicillin Using Carbon Dots Anchored on Rod-like CoFe2O4. Chin. J. Chem. Eng. 2022, 52, 136–145. [Google Scholar] [CrossRef]
- Xu, D.; Ma, Y.; Wang, J.; Chen, W.; Tang, Y.; Li, X.; Li, L. Interfacial Engineering of 2D/2D MXene Heterostructures: Face-to-Face Contact for Augmented Photodegradation of Amoxicillin. Chem. Eng. J. 2021, 426, 131246. [Google Scholar] [CrossRef]
- Le, S.; Ma, Y.; He, D.; Wang, X.; Guo, Y. CdS/NH4V4O10 S-Scheme Photocatalyst for Sustainable Photo-Decomposition of Amoxicillin. Chem. Eng. J. 2021, 426, 130354. [Google Scholar] [CrossRef]
- Le, S.; Yang, W.; Chen, G.; Yan, A.; Wang, X. Extensive Solar Light Harvesting by Integrating UPCL C-Dots with Sn2Ta2O7/SnO2: Highly Efficient Photocatalytic Degradation toward Amoxicillin. Environ. Pollut. 2020, 263, 114550. [Google Scholar] [CrossRef]
- Dou, M.; Wang, J.; Gao, B.; Xu, C.; Yang, F. Photocatalytic Difference of Amoxicillin and Cefotaxime under Visible Light by Mesoporous G-C3N4: Mechanism, Degradation Pathway and DFT Calculation. Chem. Eng. J. 2020, 383, 123134. [Google Scholar] [CrossRef]
- Samsudin, M.F.R.; Dumas, A.; Bashiri, R.; Mohamed, N.M.; Sufian, S. Development of the G-C3N4/BiVO4 Microflower Photocatalyst for Photocatalytic Degradation of Amoxicillin and Hydrogen Production. Malays. J. Microsc. 2020, 16, 180–187. [Google Scholar]
- Nguyen, T.T.; Nam, S.-N.; Son, J.; Oh, J. Tungsten Trioxide (WO3)-Assisted Photocatalytic Degradation of Amoxicillin by Simulated Solar Irradiation. Sci. Rep. 2019, 9, 9349. [Google Scholar] [CrossRef]
- Chahkandi, M.; Zargazi, M. New Water Based EPD Thin BiVO4 Film: Effective Photocatalytic Degradation of Amoxicillin Antibiotic. J. Hazard. Mater. 2020, 389, 121850. [Google Scholar] [CrossRef]
- Abazari, R.; Mahjoub, A.R. Amine-Functionalized Al-MOF#@yxSm2O3–ZnO: A Visible Light-Driven Nanocomposite with Excellent Photocatalytic Activity for the Photo-Degradation of Amoxicillin. Inorg. Chem. 2018, 57, 2529–2545. [Google Scholar] [CrossRef]
- Gaim, Y.T.; Yimanuh, S.M.; Kidanu, Z.G. Enhanced Photocatalytic Degradation of Amoxicillin with Mn-Doped Cu2O under Sunlight Irradiation. J. Compos. Sci. 2022, 6, 317. [Google Scholar] [CrossRef]
- Homem, V.; Alves, A.; Santos, L. Amoxicillin Degradation at Ppb Levels by Fenton’s Oxidation Using Design of Experiments. Sci. Total Environ. 2010, 408, 6272–6280. [Google Scholar] [CrossRef]
- Turkay, G.K.; Kumbur, H. Investigation of Amoxicillin Removal from Aqueous Solution by Fenton and Photocatalytic Oxidation Processes. Kuwait J. Sci. 2019, 46, 85–93. [Google Scholar]
- Haddadou, N.; Bensemma, N.; Rekhila, G.; Trari, M.; Taïbi, K. Photoelectrochemical Investigations in Lead-Free Ba (Ti0.950Sc0.025Nb0.025)O3 Ferroelectric Ceramics. Application to Amoxicillin Photodegradation. J. Photochem. Photobiol. A Chem. 2018, 358, 294–299. [Google Scholar] [CrossRef]
- Kattel, E.; Kaur, B.; Trapido, M.; Dulova, N. Persulfate-Based Photodegradation of a Beta-Lactam Antibiotic Amoxicillin in Various Water Matrices. Environ. Technol. 2020, 41, 202–210. [Google Scholar] [CrossRef]
- Beshkar, F.; Al-Nayili, A.; Amiri, O.; Salavati-Niasari, M.; Mousavi-Kamazani, M. Visible Light-Induced Degradation of Amoxicillin Antibiotic by Novel CuI/FePO4 p-n Heterojunction Photocatalyst and Photodegradation Mechanism. J. Alloys Compd. 2022, 892, 162176. [Google Scholar] [CrossRef]
- Silva, I.F.; Teixeira, I.F.; Rios, R.D.F.; do Nascimento, G.M.; Binatti, I.; Victória, H.F.V.; Krambrock, K.; Cury, L.A.; Teixeira, A.P.C.; Stumpf, H.O. Amoxicillin Photodegradation under Visible Light Catalyzed by Metal-Free Carbon Nitride: An Investigation of the Influence of the Structural Defects. J. Hazard. Mater. 2021, 401, 123713. [Google Scholar] [CrossRef]
- Mirzaei, A.; Chen, Z.; Haghighat, F.; Yerushalmi, L. Magnetic Fluorinated Mesoporous G-C3N4 for Photocatalytic Degradation of Amoxicillin: Transformation Mechanism and Toxicity Assessment. Appl. Catal. B 2019, 242, 337–348. [Google Scholar] [CrossRef]
- Al-Musawi, T.J.; Alghamdi, M.I.; Alhachami, F.R.; Zaidan, H.; Mengelizadeh, N.; Asghar, A.; Balarak, D. The application of a new recyclable photocatalyst γ-Fe2O3@SiO2@ZIF8-Ag in the photocatalytic degradation of amoxicillin in aqueous solutions. Environ. Monit. Assess. 2023, 195, 372. [Google Scholar] [CrossRef]
- Tarannum, S.; Hossain, M.S.; Bashar, M.S.; Bahadur, N.M.; Ahmed, S. Amplification of photocatalytic degradation of antibiotics (amoxicillin, ciprofloxacin) by sodium doping in nano-crystallite hydroxyapatite. RSC Adv. 2024, 14, 12386–12396. [Google Scholar] [CrossRef]
- Vettorello, G.; Kuhn, D.; Dalcorso, A.B.; Weber, A.C.; Costa, B.; Cordeiro, S.G.; Schweizer, Y.A.; de Freitas, E.M.; Rieger, A.; Steffens, C.; et al. Degradation of the micropollutant amoxicillin by photolysis and evaluation of the toxicity of byproducts generated in aquatic environments. Sustain. Water Resour. Manag. 2022, 8, 21. [Google Scholar] [CrossRef]
- Zhang, Y.; Xiao, Y.; Zhong, Y.; Lim, T.-T. Comparison of amoxicillin photodegradation in the UV/H2O2 and UV/persulfate systems: Reaction kinetics, degradation pathways, and antibacterial activity. Chem. Eng. J. 2019, 372, 420–428. [Google Scholar] [CrossRef]
- Arsand, J.B.; Hoff, R.B.; Jank, L.; Meirelles, L.N.; Díaz-Cruz, M.S.; Pizzolato, T.M.; Barceló, D. Transformation products of amoxicillin and ampicillin after photolysis in aqueous matrices: Identification and kinetics. Sci. Total Environ. 2018, 642, 954–967. [Google Scholar] [CrossRef]
- Timm, A.; Borowska, E.; Majewsky, M.; Merel, S.; Zwiener, C.; Bräse, S.; Horn, H. Photolysis of four β-lactam antibiotics under simulated environmental conditions: Degradation, transformation products and antibacterial activity. Sci. Total Environ. 2019, 651, 1605–1612. [Google Scholar] [CrossRef]
- Pirsaheb, M.; Hossaini, H.; Raad, N.K.; Kianpour, S.; Hossini, H. A systematic review on photo-Fenton process as an efficient advanced oxidation for degradation of amoxicillin in aqueous environments. Rev. Environ. Health 2023, 38, 313–326. [Google Scholar] [CrossRef]
- Qutob, M.; Shakeel, F.; Alam, P.; Alshehri, S.; Ghoneim, M.M.; Rafatullah, M. A review of radical and non-radical degradation of amoxicillin by using different oxidation process systems. Environ. Res. 2022, 214 Pt 1, 113833. [Google Scholar] [CrossRef]
- Aryee, A.A.; Han, R.; Qu, L. Occurrence, detection and removal of amoxicillin in wastewater: A review. J. Clean. Prod. 2022, 368, 133140. [Google Scholar] [CrossRef]
- Manikanika; Chopra, L. Photocatalytic Activity of Zinc Oxide for Dye and Drug Degradation: A Review. Mater. Today Proc. 2022, 52, 1653–1656. [Google Scholar] [CrossRef]
- Chen, Y.; Yang, J.; Zeng, L.; Zhu, M. Recent Progress on the Removal of Antibiotic Pollutants Using Photocatalytic Oxidation Process. Crit. Rev. Environ. Sci. Technol. 2022, 52, 1401–1448. [Google Scholar] [CrossRef]
- Asih, A.K.; Yetti, R.D.; Chandra, B. Photodegradation of Antibiotic Using TiO2 as a Catalyst: A Review. Int. J. Pharm. Sci. Med. 2021, 6, 37–43. [Google Scholar] [CrossRef]
- Sodhi, K.K.; Kumar, M.; Singh, D.K. Insight into the amoxicillin resistance, ecotoxicity, and remediation strategies. J. Water Process Eng. 2021, 39, 101858. [Google Scholar] [CrossRef]


























Disclaimer/Publisher’s Note: The statements, opinions and data contained in all publications are solely those of the individual author(s) and contributor(s) and not of MDPI and/or the editor(s). MDPI and/or the editor(s) disclaim responsibility for any injury to people or property resulting from any ideas, methods, instructions or products referred to in the content. |
© 2024 by the authors. Licensee MDPI, Basel, Switzerland. This article is an open access article distributed under the terms and conditions of the Creative Commons Attribution (CC BY) license (https://creativecommons.org/licenses/by/4.0/).
Share and Cite
Ali, M.A.; Maafa, I.M. Photodegradation of Amoxicillin in Aqueous Systems: A Review. Int. J. Mol. Sci. 2024, 25, 9575. https://doi.org/10.3390/ijms25179575
Ali MA, Maafa IM. Photodegradation of Amoxicillin in Aqueous Systems: A Review. International Journal of Molecular Sciences. 2024; 25(17):9575. https://doi.org/10.3390/ijms25179575
Chicago/Turabian StyleAli, Mohammad Ashraf, and Ibrahim M. Maafa. 2024. "Photodegradation of Amoxicillin in Aqueous Systems: A Review" International Journal of Molecular Sciences 25, no. 17: 9575. https://doi.org/10.3390/ijms25179575
APA StyleAli, M. A., & Maafa, I. M. (2024). Photodegradation of Amoxicillin in Aqueous Systems: A Review. International Journal of Molecular Sciences, 25(17), 9575. https://doi.org/10.3390/ijms25179575

