Advancing 3Rs: The Mouse Estrus Detector (MED) as a Low-Stress, Painless, and Efficient Tool for Estrus Determination in Mice
Abstract
1. Introduction
2. Results
2.1. Comparison of Vaginal Smear Cytology, Vaginal Opening, and AR Value
2.2. Estimation of Mating Efficiency for Female Mice with Different Vaginal AR Values
2.3. MEDProTM Application for Determining Female Mice Superovulation
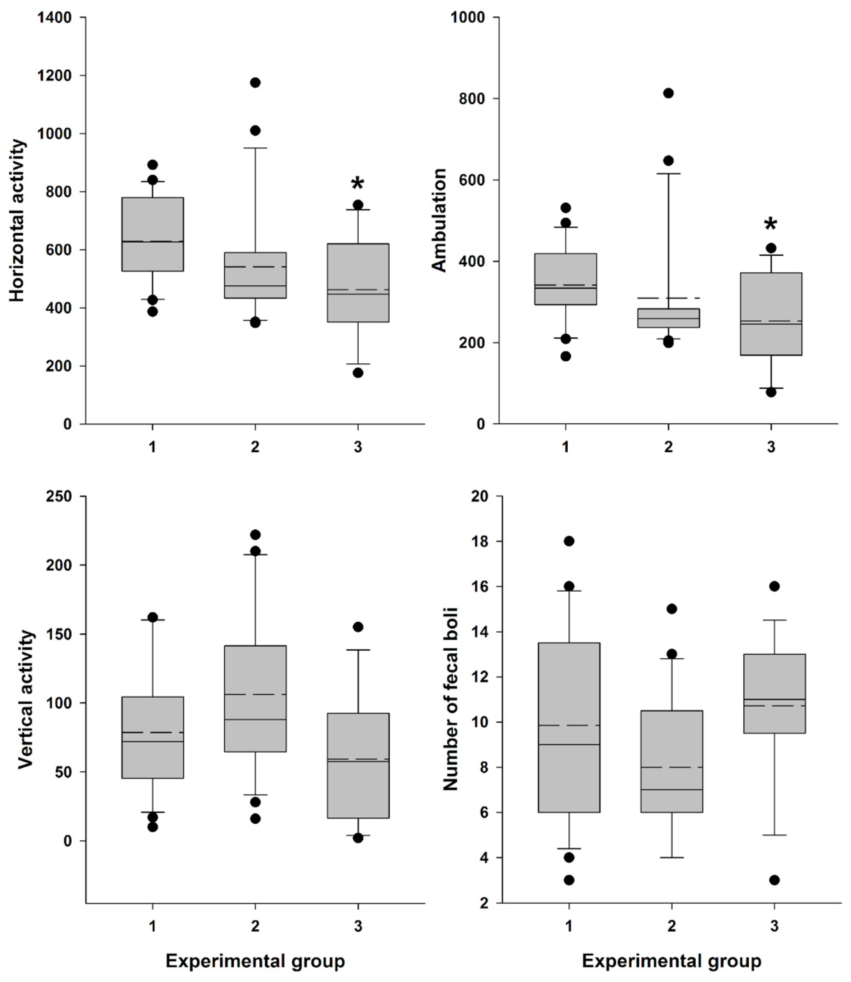
2.4. Assessment of Distress Caused by Measuring the AR with MEDProTM
3. Discussion
4. Materials and Methods
4.1. Animals
4.2. Vaginal Opening Observation
4.3. General Principles of MEDProTM Design and Measurement
4.4. Vaginal Smear Cytology for Mouse Estrous Cycle Stage Identification
4.5. Mouse Mating
4.6. Female Mice Superovulation
4.7. Behavioral Test
4.8. Statistical Analysis
5. Conclusions
Supplementary Materials
Author Contributions
Funding
Institutional Review Board Statement
Informed Consent Statement
Data Availability Statement
Acknowledgments
Conflicts of Interest
References
- Dominguez-Oliva, A.; Hernandez-Avalos, I.; Martinez-Burnes, J.; Olmos-Hernandez, A.; Verduzco-Mendoza, A.; Mota-Rojas, D. The Importance of Animal Models in Biomedical Research: Current Insights and Applications. Animals 2023, 13, 1223. [Google Scholar] [CrossRef] [PubMed]
- Liao, B.Y.; Zhang, J. Low rates of expression profile divergence in highly expressed genes and tissue-specific genes during mammalian evolution. Mol. Biol. Evol. 2006, 23, 1119–1128. [Google Scholar] [CrossRef]
- Monaco, G.; van Dam, S.; Casal Novo Ribeiro, J.L.; Larbi, A.; de Magalhaes, J.P. A comparison of human and mouse gene co-expression networks reveals conservation and divergence at the tissue, pathway and disease levels. BMC Evol. Biol. 2015, 15, 259. [Google Scholar] [CrossRef] [PubMed]
- Miyagi, A.; Lu, A.; Humphreys, B.D. Gene Editing: Powerful New Tools for Nephrology Research and Therapy. J. Am. Soc. Nephrol. 2016, 27, 2940–2947. [Google Scholar] [CrossRef] [PubMed]
- Mou, H.; Kennedy, Z.; Anderson, D.G.; Yin, H.; Xue, W. Precision cancer mouse models through genome editing with CRISPR-Cas9. Genome Med. 2015, 7, 53. [Google Scholar] [CrossRef]
- Sommer, D.; Peters, A.E.; Baumgart, A.K.; Beyer, M. TALEN-mediated genome engineering to generate targeted mice. Chromosome Res. 2015, 23, 43–55. [Google Scholar] [CrossRef]
- Broestl, L.; Worden, K.; Moreno, A.J.; Davis, E.J.; Wang, D.; Garay, B.; Singh, T.; Verret, L.; Palop, J.J.; Dubal, D.B. Ovarian Cycle Stages Modulate Alzheimer-Related Cognitive and Brain Network Alterations in Female Mice. eNeuro 2018, 5, ENEURO.0132-17.2018. [Google Scholar] [CrossRef]
- Cordeira, J.; Kolluru, S.S.; Rosenblatt, H.; Kry, J.; Strecker, R.E.; McCarley, R.W. Learning and memory are impaired in the object recognition task during metestrus/diestrus and after sleep deprivation. Behav. Brain Res. 2018, 339, 124–129. [Google Scholar] [CrossRef]
- Goldman, J.M.; Murr, A.S.; Cooper, R.L. The rodent estrous cycle: Characterization of vaginal cytology and its utility in toxicological studies. Birth Defects Res. B Dev. Reprod. Toxicol. 2007, 80, 84–97. [Google Scholar] [CrossRef]
- McHenry, J.A.; Otis, J.M.; Rossi, M.A.; Robinson, J.E.; Kosyk, O.; Miller, N.W.; McElligott, Z.A.; Budygin, E.A.; Rubinow, D.R.; Stuber, G.D. Hormonal gain control of a medial preoptic area social reward circuit. Nat. Neurosci. 2017, 20, 449–458. [Google Scholar] [CrossRef]
- Milad, M.R.; Igoe, S.A.; Lebron-Milad, K.; Novales, J.E. Estrous cycle phase and gonadal hormones influence conditioned fear extinction. Neuroscience 2009, 164, 887–895. [Google Scholar] [CrossRef]
- Rodrigues, A.C.C.; Moreira, C.V.L.; Prado, C.C.; Silva, L.S.B.; Costa, R.F.; Arikawe, A.P.; Pedrino, G.R.; Costa, E.A.; Silva, O.N.; Napolitano, H.B.; et al. A comparative analysis of depressive-like behavior: Exploring sex-related differences and insights. PLoS ONE 2023, 18, e0294904. [Google Scholar] [CrossRef]
- Feldwisch-Drentrup, H. Germany weighs whether culling excess lab animals is a crime. Science 2022, 376, 567–568. [Google Scholar] [CrossRef]
- Mahjabeen, S.; Hatipoglu, M.K.; Benbrook, D.M.; Kosanke, S.D.; Garcia-Contreras, D.; Garcia-Contreras, L. Influence of the estrus cycle of the mouse on the disposition of SHetA2 after vaginal administration. Eur. J. Pharm. Biopharm. 2018, 130, 272–280. [Google Scholar] [CrossRef]
- Zhou, Y.; Yan, H.; Liu, W.; Hu, C.; Zhou, Y.; Sun, R.; Tang, Y.; Zheng, C.; Yang, J.; Cui, Q. A multi-tissue transcriptomic landscape of female mice in estrus and diestrus provides clues for precision medicine. Front. Cell Dev. Biol. 2022, 10, 983712. [Google Scholar] [CrossRef]
- Chari, T.; Griswold, S.; Andrews, N.A.; Fagiolini, M. The Stage of the Estrus Cycle Is Critical for Interpretation of Female Mouse Social Interaction Behavior. Front. Behav. Neurosci. 2020, 14, 113. [Google Scholar] [CrossRef]
- Karigo, T.; Deutsch, D. Flexibility of neural circuits regulating mating behaviors in mice and flies. Front. Neural Circuits 2022, 16, 949781. [Google Scholar] [CrossRef]
- Rocks, D.; Cham, H.; Kundakovic, M. Why the estrous cycle matters for neuroscience. Biol. Sex. Differ. 2022, 13, 62. [Google Scholar] [CrossRef]
- Hasegawa, A.; Mochida, K.; Ogonuki, N.; Hirose, M.; Tomishima, T.; Inoue, K.; Ogura, A. Efficient and scheduled production of pseudopregnant female mice for embryo transfer by estrous cycle synchronization. J. Reprod. Dev. 2017, 63, 539–545. [Google Scholar] [CrossRef] [PubMed]
- Hubrecht, R.C.; Carter, E. The 3Rs and Humane Experimental Technique: Implementing Change. Animals 2019, 9, 754. [Google Scholar] [CrossRef]
- Rai, J.; Kaushik, K. Reduction of Animal Sacrifice in Biomedical Science & Research through Alternative Design of Animal Experiments. Saudi Pharm. J. 2018, 26, 896–902. [Google Scholar] [CrossRef]
- Jennings, K.J.; de Lecea, L. Neural and Hormonal Control of Sexual Behavior. Endocrinology 2020, 161, bqaa150. [Google Scholar] [CrossRef]
- Jaric, I.; Rocks, D.; Greally, J.M.; Suzuki, M.; Kundakovic, M. Chromatin organization in the female mouse brain fluctuates across the oestrous cycle. Nat. Commun. 2019, 10, 2851. [Google Scholar] [CrossRef]
- Lovick, T.A.; Zangrossi, H., Jr. Effect of Estrous Cycle on Behavior of Females in Rodent Tests of Anxiety. Front. Psychiatry 2021, 12, 711065. [Google Scholar] [CrossRef]
- Russell, W.M.S.; Burch, R.L. The Principles of Humane Experimental Technique; Methuen & Co, Ltd.: London, UK, 1959. [Google Scholar]
- Moenter, S.M.; Starrett, J.R. Estradiol action in the female hypothalamo-pituitary-gonadal axis. J. Neuroendocrinol. 2024, e13390. [Google Scholar] [CrossRef]
- Fuentes, N.; Silveyra, P. Estrogen receptor signaling mechanisms. Adv. Protein Chem. Struct. Biol. 2019, 116, 135–170. [Google Scholar] [CrossRef]
- Makker, A.; Goel, M.M.; Mahdi, A.A. PI3K/PTEN/Akt and TSC/mTOR signaling pathways, ovarian dysfunction, and infertility: An update. J. Mol. Endocrinol. 2014, 53, R103–R118. [Google Scholar] [CrossRef]
- Dyson, M.T.; Kowalewski, M.P.; Manna, P.R.; Stocco, D.M. The differential regulation of steroidogenic acute regulatory protein-mediated steroidogenesis by type I and type II PKA in MA-10 cells. Mol. Cell Endocrinol. 2009, 300, 94–103. [Google Scholar] [CrossRef]
- Goddard, L.M.; Murphy, T.J.; Org, T.; Enciso, J.M.; Hashimoto-Partyka, M.K.; Warren, C.M.; Domigan, C.K.; McDonald, A.I.; He, H.; Sanchez, L.A.; et al. Progesterone receptor in the vascular endothelium triggers physiological uterine permeability preimplantation. Cell 2014, 156, 549–562. [Google Scholar] [CrossRef]
- Ingman, W.V.; Robertson, S.A. The essential roles of TGFB1 in reproduction. Cytokine Growth Factor. Rev. 2009, 20, 233–239. [Google Scholar] [CrossRef]
- DeWitt, N.A.; Whirledge, S.; Kallen, A.N. Updates on molecular and environmental determinants of luteal progesterone production. Mol. Cell Endocrinol. 2020, 515, 110930. [Google Scholar] [CrossRef] [PubMed]
- Ajayi, A.F.; Akhigbe, R.E. Staging of the estrous cycle and induction of estrus in experimental rodents: An update. Fertil. Res. Pract. 2020, 6, 5. [Google Scholar] [CrossRef] [PubMed]
- Byers, S.L.; Wiles, M.V.; Dunn, S.L.; Taft, R.A. Mouse estrous cycle identification tool and images. PLoS ONE 2012, 7, e35538. [Google Scholar] [CrossRef]
- Cora, M.C.; Kooistra, L.; Travlos, G. Vaginal Cytology of the Laboratory Rat and Mouse: Review and Criteria for the Staging of the Estrous Cycle Using Stained Vaginal Smears. Toxicol. Pathol. 2015, 43, 776–793. [Google Scholar] [CrossRef] [PubMed]
- Wood, G.A.; Fata, J.E.; Watson, K.L.; Khokha, R. Circulating hormones and estrous stage predict cellular and stromal remodeling in murine uterus. Reproduction 2007, 133, 1035–1044. [Google Scholar] [CrossRef] [PubMed]
- Achiraman, S.; Archunan, G.; Sankarganesh, D.; Rajagopal, T.; Rengarajan, R.L.; Kokilavani, P.; Kamalakkannan, S.; Kannan, S. Biochemical analysis of female mice urine with reference to endocrine function: A key tool for estrus detection. Zoolog. Sci. 2011, 28, 600–605. [Google Scholar] [CrossRef]
- Mosci, P.; Pietrella, D.; Ricci, G.; Pandey, N.; Monari, C.; Pericolini, E.; Gabrielli, E.; Perito, S.; Bistoni, F.; Vecchiarelli, A. Mouse strain-dependent differences in estrogen sensitivity during vaginal candidiasis. Mycopathologia 2013, 175, 1–11. [Google Scholar] [CrossRef]
- DeLeon, D.D.; Zelinski-Wooten, M.B.; Barkley, M.S. Hormonal basis of variation in oestrous cyclicity in selected strains of mice. J. Reprod. Fertil. 1990, 89, 117–126. [Google Scholar] [CrossRef]
- Ekambaram, G.; Sampath Kumar, S.K.; Joseph, L.D. Comparative Study on the Estimation of Estrous Cycle in Mice by Visual and Vaginal Lavage Method. J. Clin. Diagn. Res. 2017, 11, AC05–AC07. [Google Scholar] [CrossRef]
- Gonzalez, G. Determining the Stage of the Estrous Cycle in Female Mice by Vaginal Smear. Cold Spring Harb. Protoc. 2016, 2016, pdb-rot094474. [Google Scholar] [CrossRef]
- Belozertseva, I.V.; Merkulovs, D.D.; Vilitis, O.J.; Skryabin, B.V. Instrumental methods for determining theestrous cycle stages in small laboratory rodents. Lab. Anim. Sci. 2018, 4, 125–135. [Google Scholar] [CrossRef]
- Chesney, K.L.; Chang, C.; Bryda, E.C. Using Vaginal Impedance Measurement to Identify Proestrus in Rats Given Luteinizing Hormone Releasing Hormone (LHRH) Agonist. J. Am. Assoc. Lab. Anim. Sci. 2020, 59, 282–287. [Google Scholar] [CrossRef]
- Bartos, L. Vaginal impedance measurement used for mating in the rat. Lab. Anim. 1977, 11, 53–55. [Google Scholar] [CrossRef]
- Bartos, L.; Sedlacek, J. Vaginal impedance measurement used for mating in the guinea-pig. Lab. Anim. 1977, 11, 57–58. [Google Scholar] [CrossRef]
- Vilitis, O.; Merkulovs, D.; Mironovs, I.; Mironovs, A.; Merkulova, V. Estrous Cycle Detector. Patent 19 LV15278B, 20 May 2018. Available online: https://patents.google.com/patent/LV15278B/en (accessed on 20 May 2018).
- Behringer, R.; Gertsenstein, M.; Nagy, K.V.; Nagy, A. Selecting Female Mice in Estrus and Checking Plugs. Cold Spring Harb. Protoc. 2016, 2016, 729–731. [Google Scholar] [CrossRef]
- Saunders, T.L. The History of Transgenesis. Methods Mol. Biol. 2020, 2066, 1–26. [Google Scholar] [CrossRef]
- Hasegawa, A.; Mochida, K.; Inoue, H.; Noda, Y.; Endo, T.; Watanabe, G.; Ogura, A. High-Yield Superovulation in Adult Mice by Anti-Inhibin Serum Treatment Combined with Estrous Cycle Synchronization. Biol. Reprod. 2016, 94, 21. [Google Scholar] [CrossRef]
- Brugmans, A.K.; Walter, C.; Moreno, N.; Gobel, C.; Holdhof, D.; de Faria, F.W.; Hotfilder, M.; Jeising, D.; Fruhwald, M.C.; Skryabin, B.V.; et al. A Carboxy-terminal Smarcb1 Point Mutation Induces Hydrocephalus Formation and Affects AP-1 and Neuronal Signalling Pathways in Mice. Cell Mol. Neurobiol. 2023, 43, 3511–3526. [Google Scholar] [CrossRef]
- Skryabin, B.V.; Kummerfeld, D.M.; Gubar, L.; Seeger, B.; Kaiser, H.; Stegemann, A.; Roth, J.; Meuth, S.G.; Pavenstadt, H.; Sherwood, J.; et al. Pervasive head-to-tail insertions of DNA templates mask desired CRISPR-Cas9-mediated genome editing events. Sci. Adv. 2020, 6, eaax2941. [Google Scholar] [CrossRef]
- Seibenhener, M.L.; Wooten, M.C. Use of the Open Field Maze to measure locomotor and anxiety-like behavior in mice. J. Vis. Exp. 2015, e52434. [Google Scholar] [CrossRef]
- Varol, A.B.; Esen, E.C.; Kocak, E.E. Repeated Collection of Vaginal Smear Causes Stress in Mice. Noro Psikiyatr. Ars. 2022, 59, 325–329. [Google Scholar] [CrossRef] [PubMed]
- Rinwa, P.; Eriksson, M.; Cotgreave, I.; Backberg, M. 3R-Refinement principles: Elevating rodent well-being and research quality. Lab. Anim. Res. 2024, 40, 11. [Google Scholar] [CrossRef] [PubMed]
- Jansen van’t Land, C.; Hendriksen, C.F. Change in locomotor activity pattern in mice: A model for recognition of distress? Lab. Anim. 1995, 29, 286–293. [Google Scholar] [CrossRef]
- Kim, H.J.J.; Zagzoog, A.; Black, T.; Baccetto, S.L.; Ezeaka, U.C.; Laprairie, R.B. Impact of the mouse estrus cycle on cannabinoid receptor agonist-induced molecular and behavioral outcomes. Pharmacol. Res. Perspect. 2022, 10, e00950. [Google Scholar] [CrossRef]
- Klein, C.; Budiman, T.; Homberg, J.R.; Verma, D.; Keijer, J.; van Schothorst, E.M. Measuring Locomotor Activity and Behavioral Aspects of Rodents Living in the Home-Cage. Front. Behav. Neurosci. 2022, 16, 877323. [Google Scholar] [CrossRef]
- Zhang, C.; Li, H.; Han, R. An open-source video tracking system for mouse locomotor activity analysis. BMC Res. Notes 2020, 13, 48. [Google Scholar] [CrossRef]
- Bertolin, K.; Murphy, D.B. 7—Reproductive Tract Changes during the Mouse Estrous Cycle. In The Guide to Investigation of Mouse Pregnancy; Anne Croy, B., Francesco, A.T.Y., DeMayo, J., Lee Adamson, S., Eds.; Academic Press: Cambridge, MA, USA, 2014; pp. 85–94. [Google Scholar] [CrossRef]
- Matvere, A.; Teino, I.; Varik, I.; Kuuse, S.; Tiido, T.; Kristjuhan, A.; Maimets, T. FSH/LH-Dependent Upregulation of Ahr in Murine Granulosa Cells Is Controlled by PKA Signaling and Involves Epigenetic Regulation. Int. J. Mol. Sci. 2019, 20, 3068. [Google Scholar] [CrossRef]
- Nagy, A.G.M.; Vintersten, K.; Behringer, R. Inducing superovulation. In Manipulating the Mouse Embryo: A Laboratory Manual; Cold Spring Harbor Laboratory Press: New York, NY, USA, 2003; pp. 148–150. [Google Scholar]
- Luo, C.; Zuniga, J.; Edison, E.; Palla, S.; Dong, W.; Parker-Thornburg, J. Superovulation strategies for 6 commonly used mouse strains. J. Am. Assoc. Lab. Anim. Sci. 2011, 50, 471–478. [Google Scholar]
- Tarin, J.J.; Perez-Albala, S.; Cano, A. Stage of the estrous cycle at the time of pregnant mare’s serum gonadotropin injection affects the quality of ovulated oocytes in the mouse. Mol. Reprod. Dev. 2002, 61, 398–405. [Google Scholar] [CrossRef]
- Inyawilert, W.; Liao, Y.J.; Tang, P.C. Superovulation at a specific stage of the estrous cycle determines the reproductive performance in mice. Reprod. Biol. 2016, 16, 279–286. [Google Scholar] [CrossRef]
- Auerbach, A.B.; Norinsky, R.; Ho, W.; Losos, K.; Guo, Q.; Chatterjee, S.; Joyner, A.L. Strain-dependent differences in the efficiency of transgenic mouse production. Transgenic Res. 2003, 12, 59–69. [Google Scholar] [CrossRef] [PubMed]
- Byers, S.L.; Payson, S.J.; Taft, R.A. Performance of ten inbred mouse strains following assisted reproductive technologies (ARTs). Theriogenology 2006, 65, 1716–1726. [Google Scholar] [CrossRef]
- Suzuki, O.; Asano, T.; Yamamoto, Y.; Takano, K.; Koura, M. Development in vitro of preimplantation embryos from 55 mouse strains. Reprod. Fertil. Dev. 1996, 8, 975–980. [Google Scholar] [CrossRef]
- Vergara, G.J.; Irwin, M.H.; Moffatt, R.J.; Pinkert, C.A. In vitro fertilization in mice: Strain differences in response to superovulation protocols and effect of cumulus cell removal. Theriogenology 1997, 47, 1245–1252. [Google Scholar] [CrossRef]
- Spearow, J.L.; Barkley, M. Genetic control of hormone-induced ovulation rate in mice. Biol. Reprod. 1999, 61, 851–856. [Google Scholar] [CrossRef] [PubMed][Green Version]
- Caligioni, C.S. Assessing reproductive status/stages in mice. Curr. Protoc. Neurosci. 2009, 48, A.4I.1–A.4I.8. [Google Scholar] [CrossRef] [PubMed]









| Measurement Range, kΩ | 0–50 |
| Accuracy, kΩ | 0.1 |
| Operating frequency, kHz (sinusoidal) | 1 |
| Mode | Auto, Manual |
| AV (sinusoidal) through probe electrodes (Auto and Manual mode), mV | 0.4–4.0 |
| Maximum AC through probe electrodes (Auto mode), µA | <1 |
| Maximum DC through probe electrodes (Auto and Manual mode), µA | <1 |
| Probe, mm | L20xO.D.1.82 |
| Dimensions (without cable), mm | L138xO.D.12.5 |
| Weight (without cable), g | 30 |
| Color graphic 2.4” Touch Display, Dimensions, mm | 117 × 79 × 33 |
| Weight (including batteries), g | 220 |
| Battery, 1.5V, AA, element | 3 |
| Battery Life (when used continuously), hour | >12 |
| Cable AUX Jack 3.5mm Male to Male Audio for Headphones, m | 1 |
Disclaimer/Publisher’s Note: The statements, opinions and data contained in all publications are solely those of the individual author(s) and contributor(s) and not of MDPI and/or the editor(s). MDPI and/or the editor(s) disclaim responsibility for any injury to people or property resulting from any ideas, methods, instructions or products referred to in the content. |
© 2024 by the authors. Licensee MDPI, Basel, Switzerland. This article is an open access article distributed under the terms and conditions of the Creative Commons Attribution (CC BY) license (https://creativecommons.org/licenses/by/4.0/).
Share and Cite
Belozertseva, I.V.; Merkulovs, D.D.; Kaiser, H.; Rozhdestvensky, T.S.; Skryabin, B.V. Advancing 3Rs: The Mouse Estrus Detector (MED) as a Low-Stress, Painless, and Efficient Tool for Estrus Determination in Mice. Int. J. Mol. Sci. 2024, 25, 9429. https://doi.org/10.3390/ijms25179429
Belozertseva IV, Merkulovs DD, Kaiser H, Rozhdestvensky TS, Skryabin BV. Advancing 3Rs: The Mouse Estrus Detector (MED) as a Low-Stress, Painless, and Efficient Tool for Estrus Determination in Mice. International Journal of Molecular Sciences. 2024; 25(17):9429. https://doi.org/10.3390/ijms25179429
Chicago/Turabian StyleBelozertseva, Irina V., Dmitrijs D. Merkulovs, Helena Kaiser, Timofey S. Rozhdestvensky, and Boris V. Skryabin. 2024. "Advancing 3Rs: The Mouse Estrus Detector (MED) as a Low-Stress, Painless, and Efficient Tool for Estrus Determination in Mice" International Journal of Molecular Sciences 25, no. 17: 9429. https://doi.org/10.3390/ijms25179429
APA StyleBelozertseva, I. V., Merkulovs, D. D., Kaiser, H., Rozhdestvensky, T. S., & Skryabin, B. V. (2024). Advancing 3Rs: The Mouse Estrus Detector (MED) as a Low-Stress, Painless, and Efficient Tool for Estrus Determination in Mice. International Journal of Molecular Sciences, 25(17), 9429. https://doi.org/10.3390/ijms25179429

