aMMP-8 POCT vs. Other Potential Biomarkers in Chair-Side Diagnostics and Treatment Monitoring of Severe Periodontitis
Abstract
1. Introduction
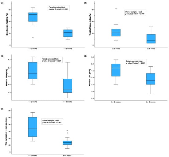
2. Results
Periodontal Anti-Infective Treatment Effect
3. Discussion
4. Materials and Methods
4.1. Study Population, Sample Size, and Design
4.2. Periodontal Examination and Anti-Infective Treatment Procedures
4.3. Chair-Side Quantitative POC aMMP-8 Analyses
4.4. aMMP-8 Activity Assay Using Relative Fluorescence Units/min (RFU)
4.5. Statistical Analyses
5. Conclusions
Author Contributions
Funding
Institutional Review Board Statement
Informed Consent Statement
Data Availability Statement
Conflicts of Interest
References
- Kinane, D.F.; Stathopoulou, P.G.; Papapanou, P.N. Periodontal diseases. Nat. Rev. Dis. Primers 2017, 3, 17038. [Google Scholar] [CrossRef] [PubMed]
- Papapanou, P.N.; Sanz, M.; Buduneli, N.; Dietrich, T.; Feres, M.; Fine, D.H.; Flemmig, T.F.; Garcia, R.; Giannobile, W.V.; Graziani, F.; et al. Periodontitis: Consensus report of workgroup 2 of the 2017 World Workshop on the Classification of Periodontal and Peri-Implant Diseases and Conditions. J. Periodontol. 2018, 89 (Suppl. S1), S173–S182. [Google Scholar] [CrossRef] [PubMed]
- Tonetti, M.S.; Greenwell, H.; Kornman, K.S. Staging and grading of periodontitis: Framework and proposal of a new classification and case definition. J. Periodontol. 2018, 89 (Suppl. S1), S159–S172, Erratum in J. Periodontol. 2018, 89, 1475. [Google Scholar] [CrossRef] [PubMed]
- Sanz, M.; Herrera, D.; Kebschull, M.; Chapple, I.; Jepsen, S.; Berglundh, T.; Sculean, A.; Tonetti, M.S.; On behalf of the EFP Workshop Participants and Methodological Consultants. Treatment of stage I-III periodontitis—The EFP S3 level clinical practice guideline. J. Clin. Periodontol. 2020, 47 (Suppl. S22), 4–60. [Google Scholar] [CrossRef] [PubMed]
- Herrera, D.; Sanz, M.; Kebschull, M.; Jepsen, S.; Sculean, A.; Berglundh, T.; Papapanou, P.N.; Chapple, I.; Tonetti, M.S.; On behalf of the EFP Workshop Participants and Methodological Consultant. Treatment of stage IV periodontitis: The EFP S3 level clinical practice guideline. J. Clin. Periodontol. 2022, 49 (Suppl. S24), 4–71. [Google Scholar] [CrossRef]
- Tschesche, H.; Wenzel, H. Chapter 153—Neutrophil Collagenase. In Handbook of Proteolytic Enzymes, 3rd ed.; Rawlings, N.D., Salvesen, G., Eds.; Academic Press: Cambridge, MA, USA, 2013; pp. 725–734. ISBN 9780123822192. Available online: https://www.sciencedirect.com/science/article/pii/B9780123822192001538 (accessed on 1 August 2024).
- Weiss, S.J. Tissue destruction by neutrophils. N. Engl. J. Med. 1989, 320, 365–376. [Google Scholar]
- Dieffenbach, P.B.; Mallarino Haeger, C.; Rehman, R.; Corcoran, A.M.; Coronata, A.M.F.; Vellarikkal, S.K.; Chrobak, I.; Waxman, A.B.; Vitali, S.H.; Sholl, L.M.; et al. A Novel Protective Role for Matrix Metalloproteinase-8 in the Pulmonary Vasculature. Am. J. Respir. Crit. Care Med. 2021, 204, 1433–1451. [Google Scholar] [CrossRef] [PubMed] [PubMed Central]
- Khatwa, U.A.; Kleibrink, B.E.; Shapiro, S.D.; Subramaniam, M. MMP-8 promotes polymorphonuclear cell migration through collagen barriers in obliterative bronchiolitis. J. Leukoc. Biol. 2010, 87, 69–77. [Google Scholar] [CrossRef] [PubMed] [PubMed Central]
- Boelen, G.J.; Boute, L.; d’Hoop, J.; EzEldeen, M.; Lambrichts, I.; Opdenakker, G. Matrix metalloproteinases and inhibitors in dentistry. Clin. Oral Investig. 2019, 23, 2823–2835. [Google Scholar] [CrossRef] [PubMed]
- De Morais, E.F.; Pinheiro, J.C.; Leite, R.B.; Santos, P.P.A.; Barboza, C.A.G.; Freitas, R.A. Matrix metalloproteinase-8 levels in periodontal disease patients: A systematic review. J. Periodontal Res. 2018, 53, 156–163. [Google Scholar] [CrossRef] [PubMed]
- Luchian, I.; Goriuc, A.; Sandu, D.; Covasa, M. The Role of Matrix Metalloproteinases (MMP-8, MMP-9, MMP-13) in Periodontal and Peri-Implant Pathological Processes. Int. J. Mol. Sci. 2022, 23, 1806. [Google Scholar] [CrossRef] [PubMed]
- Arias-Bujanda, N.; Regueira-Iglesias, A.; Balsa-Castro, C.; Nibali, L.; Donos, N.; Tomás, I. Accuracy of single molecular biomarkers in gingivael crevicular fluid for the diagnosis of periodontitis: A systematic review and metaanalysis. J. Clin. Periodontol. 2019, 46, 1166–1182. [Google Scholar] [CrossRef] [PubMed]
- Gupta, N.; Gupta, N.D.; Gupta, A.; Khan, S.; Bansal, N. Role of salivary matrix metalloproteinase-8 (MMP-8) in chronic periodontitis diagnosis. Front. Med. 2015, 9, 72–76. [Google Scholar] [CrossRef] [PubMed]
- Chou, Y.-H.; Ho, Y.-P.; Lin, Y.-C.; Hu, K.-F.; Yang, Y.-H.; Ho, K.-Y.; Wu, Y.-M.; Hsi, E.; Tsai, C.-C. MMP-8-799 C>T genetic polymorphism is associated with the susceptibility to chronic and aggressive periodontitis in Taiwanese. J. Clin. Periodontol. 2011, 38, 1078–1084. [Google Scholar] [CrossRef]
- Gul, S.S.; Abdulkareem, A.A.; Sha, A.M.; Rawlinson, A. Diagnostic Accuracy of Oral Fluids Biomarker Profile to Determine the Current and Future Status of Periodontal and Peri-Implant Diseases. Diagnostics 2020, 10, 838. [Google Scholar] [CrossRef]
- Yuan, C.; Liu, X.; Zheng, S. Matrix metalloproteinase-8 levels in oral samples as a biomarker for periodontitis in the Chinese population: An observational study. BMC Oral Health 2018, 18, 51. [Google Scholar] [CrossRef]
- Aji, N.R.A.S.; Yucel-Lindberg, T.; Räisänen, I.T.; Kuula, H.; Nieminen, M.T.; Mc Crudden, M.T.C.; Listyarifah, D.; Lundmark, A.; Lundy, F.T.; Gupta, S.; et al. In Vivo Regulation of Active Matrix Metalloproteinase-8 (aMMP-8) in Periodontitis: From Transcriptomics to Real-Time Online Diagnostics and Treatment Monitoring. Diagnostics 2024, 14, 1011. [Google Scholar] [CrossRef]
- Ramenzoni, L.L.; Hofer, D.; Solderer, A.; Wiedemeier, D.; Attin, T.; Schmidlin, P.R. Origin of MMP-8 and Lactoferrin levels from gingival crevicular fluid, salivary glands and whole saliva. BMC Oral Health 2021, 21, 385. [Google Scholar] [CrossRef]
- Choi, D.H.; Moon, I.S.; Choi, B.K.; Paik, J.W.; Kim, Y.S.; Choi, S.H.; Kim, C.K. Effects of sub-antimicrobial dose doxycycline therapy on crevicular fluid MMP-8, and gingival tissue MMP-9, TIMP-1 and IL-6 levels in chronic periodontitis. J. Periodontal Res. 2004, 39, 20–26. [Google Scholar] [CrossRef] [PubMed]
- Izadi Borujeni, S.; Mayer, M.; Eickholz, P. Activated matrix metalloproteinase-8 in saliva as diagnostic test for periodontal disease? A case–control study. Med. Microbiol. Immunol. 2015, 204, 665–672. [Google Scholar] [CrossRef]
- Johnson, N.; Ebersole, J.L.; Kryscio, R.J.; Danaher, R.J.; Dawson, D., III; Al-Sabbagh, M.; Miller, C.S. Rapid assessment of salivary MMP-8 and periodontal disease using lateral flow immunoassay. Oral Dis. 2016, 22, 681–687. [Google Scholar] [CrossRef] [PubMed] [PubMed Central]
- Sahni, V. Point of care technology for screening and referrals. Br. Dent. J. 2024, 236, 230. [Google Scholar] [CrossRef] [PubMed]
- Deng, K.; Pelekos, G.; Jin, L.; Tonetti, M.S. Diagnostic accuracy of a point-of-care aMMP-8 test in the discrimination of periodontal health and disease. J. Clin. Periodontol. 2021, 48, 1051–1065. [Google Scholar] [CrossRef]
- Sahni, V.; Räisänen, I.T.; Sorsa, T. MMP-8 and active MMP-8 (aMMP-8) are not synonymous in periodontal disease diagnostics. J. Clin. Periodontol. 2024, 51, 365. [Google Scholar] [CrossRef]
- Deng, K.; Wei, S.; Xu, M.; Shi, J.; Lai, H.; Tonetti, M.S. Diagnostic accuracy of active matrix metalloproteinase-8 point-of-care test for the discrimination of periodontal health status: Comparison of saliva and oral rinse samples. J. Periodontal Res. 2022, 57, 768–779. [Google Scholar] [CrossRef]
- Deng, K.; Zonta, F.; Yang, H.; Pelekos, G.; Tonetti, M.S. Development of a machine learning multiclass screening tool for periodontal health status based on non-clinical parameters and salivary biomarkers. J. Clin. Periodontol. 2023. early view. [Google Scholar] [CrossRef]
- Wei, S.; Lin, T.; Sáenz-Ravello, G.; Gao, H.; Zhang, Y.; Tonetti, M.S.; Deng, K. Diagnostic accuracy of salivary active matrix metalloproteinase (aMMP)-8 point-of-care test for detecting periodontitis in adults: A systematic review and meta-analysis. J. Clin. Periodontol. 2024, 51, 1093–1108. [Google Scholar] [CrossRef]
- Umeizudike, K.A.; Aji, N.R.A.S.; Niskanen, K.; Rantala, I.; Sakellari, D.; Grigoriadus, A.; Patila, T.; Gupta, S.; Sorsa, T.; Raisanen, I.T. Prediabetes associates with matrix metalloproteinase-8 activation and contributes to the rapid destruction of periodontal tissue. Eur. J. Dent. 2024, in press. [Google Scholar]
- Nędzi-Góra, M.; Kostrzewa-Janicka, J.; Górska, R. Elastase and metalloproteinase-9 concentrations in saliva in patients with chronic periodontitis. Cent. Eur. J. Immunol. 2014, 39, 357–364, Erratum in Cent. Eur. J. Immunol. 2016, 41, 2. [Google Scholar] [CrossRef] [PubMed] [PubMed Central]
- Gellibolian, R.; Miller, C.S.; Markaryan, A.N.; Weltman, R.L.; van Dyke, T.E.; Ebersole, J.L. Precision periodontics: Quantitative measures of disease progression. J. Am. Dent. Assoc. 2022, 153, 826–828. Available online: https://www.sciencedirect.com/science/article/pii/S0002817722001532 (accessed on 28 February 2024). [CrossRef]
- Zalewska, E.A.; Ławicka, R.; Grygorczuk, P.; Nowosielska, M.; Kicman, A.; Ławicki, S. Importance of Metalloproteinase 8 (MMP-8) in the Diagnosis of Periodontitis. Int. J. Mol. Sci. 2024, 25, 2721. [Google Scholar] [CrossRef]
- Hernández, M.; Baeza, M.; Räisänen, I.T.; Contreras, J.; Tervahartiala, T.; Chaparro, A.; Sorsa, T.; Hernández-Ríos, P. Active MMP-8 Quantitative Test as an Adjunctive Tool for Early Diagnosis of Periodontitis. Diagnostics 2021, 11, 1503. [Google Scholar] [CrossRef] [PubMed] [PubMed Central]
- Xanthopoulou, V.; Räisänen, I.T.; Sorsa, T.; Tortopidis, D.; Sakellari, D. Diagnostic value of aMMP-8 and azurocidin in peri-implant sulcular fluid as biomarkers of peri-implant health or disease. Clin. Exp. Dent. Res. 2024, 10, e883. [Google Scholar] [CrossRef] [PubMed] [PubMed Central]
- Thomas, J.T.; Joseph, B.; Varghese, S.; Thomas, N.G.; Kamalasanan Vijayakumary, B.; Sorsa, T.; Anil, S.; Waltimo, T. Association between metabolic syndrome and salivary MMP-8, myeloperoxidase in periodontitis. Oral Dis. 2024. epub ahead of print. [Google Scholar] [CrossRef] [PubMed]
- Keskin, M.; Rintamarttunen, J.; Gülçiçek, E.; Räisänen, I.T.; Gupta, S.; Tervahartiala, T.; Pätilä, T.; Sorsa, T. A Comparative Analysis of Treatment-Related Changes in the Diagnostic Biomarker Active Metalloproteinase-8 Levels in Patients with Periodontitis. Diagnostics 2023, 13, 903. [Google Scholar] [CrossRef] [PubMed]
- Mc Crudden, M.T.C.; Irwin, C.R.; El Karim, I.; Linden, G.J.; Lundy, F.T. Matrix metalloproteinase-8 activity in gingival crevicular fluid: Development of a novel assay. J. Periodontal Res. 2017, 52, 556–561. [Google Scholar] [CrossRef] [PubMed]
- Mancini, S.; Romanelli, R.; Laschinger, C.A.; Overall, C.M.; Sodek, J.; McCulloch, C.A. Assessment of a novel screening test for neutrophil collagenase activity in the diagnosis of periodontal diseases. J. Periodontol. 1999, 70, 1292–1302. [Google Scholar] [CrossRef]
- Romanelli, R.; Mancini, S.; Laschinger, C.; Overall, C.M.; Sodek, J.; McCulloch, C.A. Activation of neutrophil collagenase in periodontitis. Infect. Immun. 1999, 67, 2319–2326. [Google Scholar] [CrossRef] [PubMed]
- Lee, W.; Aitken, S.; Sodek, J.; McCulloch, C.A.G. Evidence of a direct relationship between neutrophil collagenase activity and periodontal tissue destruction in vivo: Role of active enzyme in human periodontitis. J. Periodontal Res. 1995, 30, 23–33. [Google Scholar] [CrossRef]
- Gangbar, S.; Overall, C.M.; McCulloch, C.A.G.; Sodek, J. Identification of polymorphonuclear leukocyte collagenase and gelatinase activities in mouthrinse samples: Correlation with periodontal disease activity in adult and juvenile periodontitis. J. Periodontal Res. 1990, 25, 257–267. [Google Scholar] [CrossRef]
- Guarnieri, R.; Reda, R.; Zanza, A.; Miccoli, G.; Nardo, D.D.; Testarelli, L. Can Peri-Implant Marginal Bone Loss Progression and a-MMP-8 Be Considered Indicators of the Subsequent Onset of Peri-Implantitis? A 5-Year Study. Diagnostics 2022, 12, 2599. [Google Scholar] [CrossRef] [PubMed] [PubMed Central]
- Sadrameli, M.; Bathini, P.; Alberi, L. Linking mechanisms of periodontitis to Alzheimer’s disease. Curr. Opin. Neurol. 2020, 33, 230–238. [Google Scholar] [CrossRef] [PubMed]
- Sanz, M.; Del Castillo, A.M.; Jepsen, S.; Gonzalez-Juanatey, J.R.; D’Aiuto, F.; Bouchard, P.; Chapple, I.; Dietrich, T.; Gotsman, I.; Graziani, F.; et al. Periodontitis and Cardiovascular Diseases: Consensus Report. Glob. Heart 2020, 15, 1. [Google Scholar] [CrossRef] [PubMed] [PubMed Central]
- Gasparoni, L.M.; Alves, F.A.; Holzhausen, M.; Pannuti, C.M.; Serpa, M.S. Periodontitis as a risk factor for head and neck cancer. Med. Oral Patol. Oral Cir. Bucal 2021, 26, e430–e436. [Google Scholar] [CrossRef] [PubMed] [PubMed Central]
- Verhulst, M.J.L.; Teeuw, W.J.; Bizzarro, S.; Muris, J.; Su, N.; Nicu, E.A.; Nazmi, K.; Bikker, F.J.; Loos, B.G. A rapid, non-invasive tool for periodontitis screening in a medical care setting. BMC Oral Health 2019, 19, 87. [Google Scholar] [CrossRef] [PubMed]
- Romero-Castro, N.S.; Vázquez-Villamar, M.; Muñoz-Valle, J.F.; Reyes-Fernández, S.; Serna-Radilla, V.O.; García-Arellano, S.; Castro-Alarcón, N. Relationship between TNF-α, MMP-8, and MMP-9 levels in gingival crevicular fluid and the subgingival microbiota in periodontal disease. Odontology 2020, 108, 25–33. [Google Scholar] [CrossRef] [PubMed]
- Wang, H.L.; Garaicoa-Pazmino, C.; Collins, A.; Ong, H.S.; Chudri, R.; Giannobile, W.V. Protein biomarkers and microbial profiles in peri-implantitis. Clin. Oral Implant Res. 2016, 27, 1129–1136. [Google Scholar] [CrossRef] [PubMed]
- Wohlfahrt, J.C.; Aass, A.M.; Granfeldt, F.; Lyngstadaas, S.P.; Reseland, J.E. Sulcus fluid bone marker levels and the outcome of surgical treatment of peri-implantitis. J. Clin. Periodontol. 2014, 41, 424–431. [Google Scholar] [CrossRef]
- Morrison, E.C.; Ramfjord, S.P.; Hill, R.W. Short-term effects of initial, nonsurgical periodontal treatment (hygienic phase). J. Clin. Periodontol. 1980, 7, 199–211. [Google Scholar] [CrossRef] [PubMed]
- AlMoharib, H.S.; AlRowis, R.; AlMubarak, A.; Waleed Almadhoon, H.; Ashri, N. The relationship between matrix metalloproteinases-8 and peri-implantitis: A systematic review and meta-analysis. Saudi Dent. J. 2023, 35, 283–293. [Google Scholar] [CrossRef] [PubMed] [PubMed Central]
- Atanasova, T.; Stankova, T.; Bivolarska, A.; Vlaykova, T. Matrix Metalloproteinases in Oral Health-Special Attention on MMP-8. Biomedicines 2023, 11, 1514. [Google Scholar] [CrossRef] [PubMed] [PubMed Central]
- Overall, C.M.; Sodek, J.; McCulloch, C.A.; Birek, P. Evidence for polymorphonuclear leukocyte collagenase and 92-kilodalton gelatinase in gingival crevicular fluid. Infect Immun. 1991, 59, 4687–4692. [Google Scholar] [CrossRef] [PubMed] [PubMed Central]



| Biomarker | ROC AUC (95% Confidence Interval) | Cut-Off Points (By Youden’s Index) | Periodontitis | Healthy | OR | Sensitivity | Specificity | FN | FP | ACC | MCC | |
|---|---|---|---|---|---|---|---|---|---|---|---|---|
| aMMP-8 PerioSafe | 1.000 (1.000–1.000) | Positive test | Test positive | 13 | 0 | 729 | 100.0% | 100.0% | 0.0% | 0.0% | 100.0% | 1.000 |
| Test negative | 0 | 13 | ||||||||||
| aMMP-8 ORALyzer | 0.962 (0.875–1.000) | 20 ng/mL | ≥20 ng/mL | 12 | 0 | 225 | 92.3% | 100.0% | 7.1% | 0.0% | 96.2% | 0.926 |
| <20 ng/mL | 1 | 13 | ||||||||||
| – | – | ≥25 ng/mL | 8 | 0 | 41.7 | 61.5% | 100.0% | 27.8% | 0.0% | 80.8% | 0.667 | |
| <25 ng/mL | 5 | 13 | ||||||||||
| Rate of MMP-8 activity | 0.988 (0.958–1.000) | 37.21 RFU/min | ≥37.21 RFU/min | 12 | 0 | 225 | 92.3% | 100.0% | 7.1% | 0.0% | 96.2% | 0.926 |
| <37.21 RFU/min | 1 | 13 | ||||||||||
| tMMP-8 R&D | 0.899 (0.770–1.000) | 12.70 ng/mL | ≥12.70 ng/mL | 10 | 0 | 81 | 76.9% | 100.0% | 18.8% | 0.0% | 88.5% | 0.791 |
| <12.70 ng/mL | 3 | 13 | ||||||||||
| MPO | 1.000 (1.000–1.000) | 896.91 ng/mL | ≥896.91 ng/mL | 13 | 0 | 729 | 100.0% | 100.0% | 0.0% | 0.0% | 100.0% | 1.000 |
| <896.91 ng/mL | 0 | 13 | ||||||||||
| PMN Elastase | 0.959 (0.888–1.000) | 8.38 ng/mL | ≥8.38 ng/mL | 11 | 0 | 124.2 | 84.6% | 100.0% | 13.3% | 0.0% | 92.3% | 0.856 |
| <8.38 ng/mL | 2 | 13 | ||||||||||
| TIMP-1 | 0.231 (0.031–0.431) | 42.04 ng/mL | <42.04 ng/mL | 9 | 2 | 9.7 | 69.2% | 84.6% | 26.7% | 18.2% | 76.9% | 0.545 |
| ≥42.04 ng/mL | 4 | 11 | ||||||||||
| Calprotectin | 0.574 (0.347–0.801) | 1494.5 ng/mL | ≥1494.5 ng/mL | 13 | 9 | 12.8 | 100.0% | 30.8% | 0.0% | 40.9% | 65.4% | 0.426 |
| <1494.5 ng/mL | 0 | 4 | ||||||||||
| IL-6 | 0.621 (0.400–0.842) | 0.50 pg/mL | ≥0.50 pg/mL | 5 | 1 | 5.4 | 38.5% | 92.3% | 40.0% | 16.7% | 65.4% | 0.365 |
| <0.50 pg/mL | 8 | 12 |
| Patient Characteristics | Patients with Periodontitis N = 13 | Healthy Dental Student Controls N = 13 | |
|---|---|---|---|
| Age (in years) | Mean ± standard deviation | 52 ± 10 | 25 ± 4 |
| Gender n (%) | Male | 10 (77%) | 3 (23%) |
| Female | 3 (23%) | 10 (77%) | |
| Systemic status n (%) | Healthy | 7 (54%) | 13 (100%) |
| Cardiovascular diseases | 1 (8%) | 0 (0%) | |
| Hypertension | 5 (38%) | 0 (0%) | |
| Hypercholesterolemia | 2 (16%) | 0 (0%) | |
| Type I diabetes | 1 (8%) | 0 (0%) | |
| Asthma | 1 (8%) | 0 (0%) | |
| Smoking n (%) | Yes * | 3 (23%) | 0 (0%) |
| No | 6 (46%) | 13 (100%) | |
| Ex-smoker ˆ | 4 (31%) | 0 (0%) |
Disclaimer/Publisher’s Note: The statements, opinions and data contained in all publications are solely those of the individual author(s) and contributor(s) and not of MDPI and/or the editor(s). MDPI and/or the editor(s) disclaim responsibility for any injury to people or property resulting from any ideas, methods, instructions or products referred to in the content. |
© 2024 by the authors. Licensee MDPI, Basel, Switzerland. This article is an open access article distributed under the terms and conditions of the Creative Commons Attribution (CC BY) license (https://creativecommons.org/licenses/by/4.0/).
Share and Cite
Aji, N.R.A.S.; Räisänen, I.T.; Rathnayake, N.; Lundy, F.T.; Mc Crudden, M.T.C.; Goyal, L.; Sorsa, T.; Gupta, S. aMMP-8 POCT vs. Other Potential Biomarkers in Chair-Side Diagnostics and Treatment Monitoring of Severe Periodontitis. Int. J. Mol. Sci. 2024, 25, 9421. https://doi.org/10.3390/ijms25179421
Aji NRAS, Räisänen IT, Rathnayake N, Lundy FT, Mc Crudden MTC, Goyal L, Sorsa T, Gupta S. aMMP-8 POCT vs. Other Potential Biomarkers in Chair-Side Diagnostics and Treatment Monitoring of Severe Periodontitis. International Journal of Molecular Sciences. 2024; 25(17):9421. https://doi.org/10.3390/ijms25179421
Chicago/Turabian StyleAji, Nur Rahman Ahmad Seno, Ismo T. Räisänen, Nilminie Rathnayake, Fionnuala T. Lundy, Maelíosa T. C. Mc Crudden, Lata Goyal, Timo Sorsa, and Shipra Gupta. 2024. "aMMP-8 POCT vs. Other Potential Biomarkers in Chair-Side Diagnostics and Treatment Monitoring of Severe Periodontitis" International Journal of Molecular Sciences 25, no. 17: 9421. https://doi.org/10.3390/ijms25179421
APA StyleAji, N. R. A. S., Räisänen, I. T., Rathnayake, N., Lundy, F. T., Mc Crudden, M. T. C., Goyal, L., Sorsa, T., & Gupta, S. (2024). aMMP-8 POCT vs. Other Potential Biomarkers in Chair-Side Diagnostics and Treatment Monitoring of Severe Periodontitis. International Journal of Molecular Sciences, 25(17), 9421. https://doi.org/10.3390/ijms25179421

