Synthesis, Structure, and Properties of a Copper(II) Binuclear Complex Based on Trifluoromethyl Containing Bis(pyrazolyl)hydrazone
Abstract
1. Introduction
2. Results and Discussion
2.1. General Procedure for Synthesis of Compounds
2.2. Crystallography
2.3. Spectroscopy
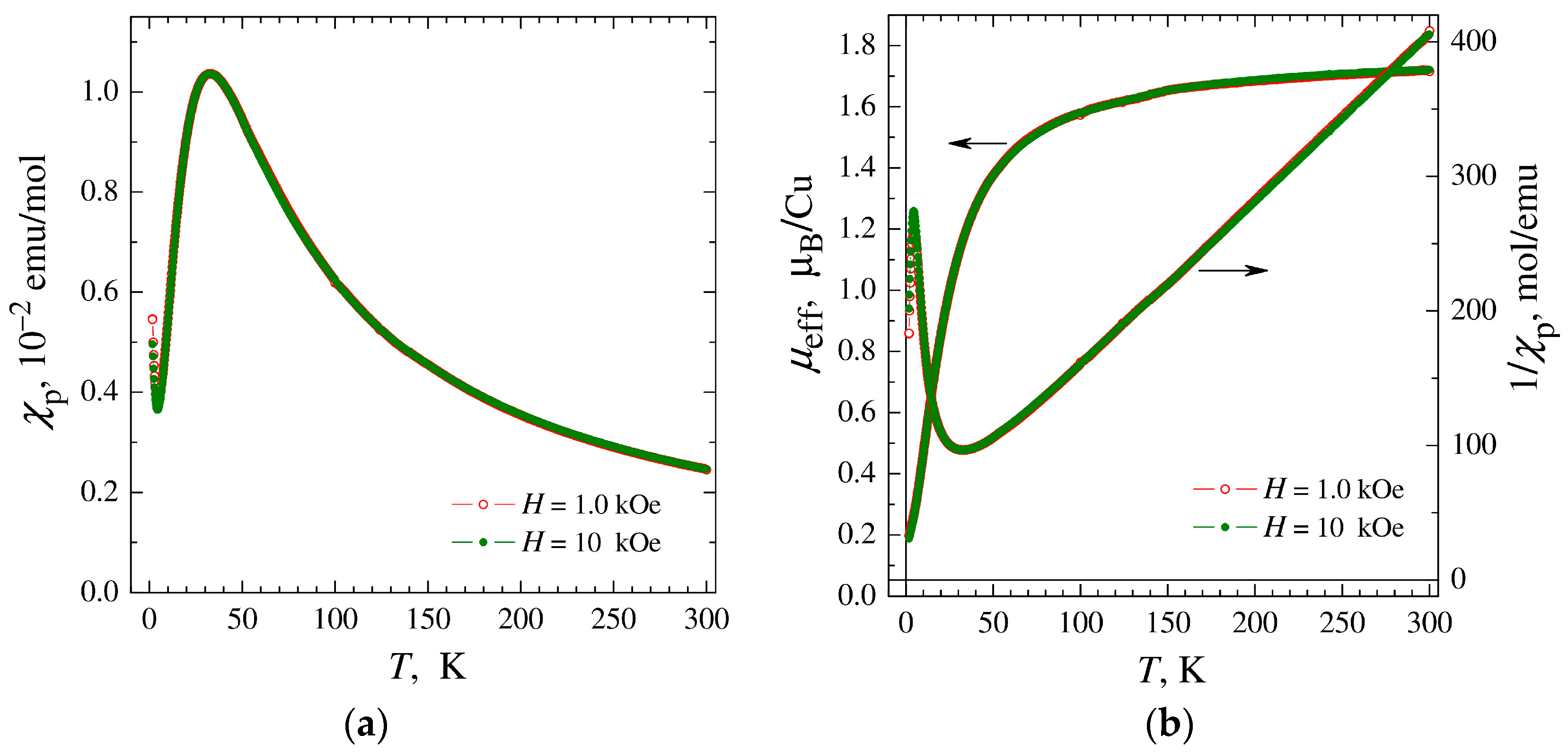
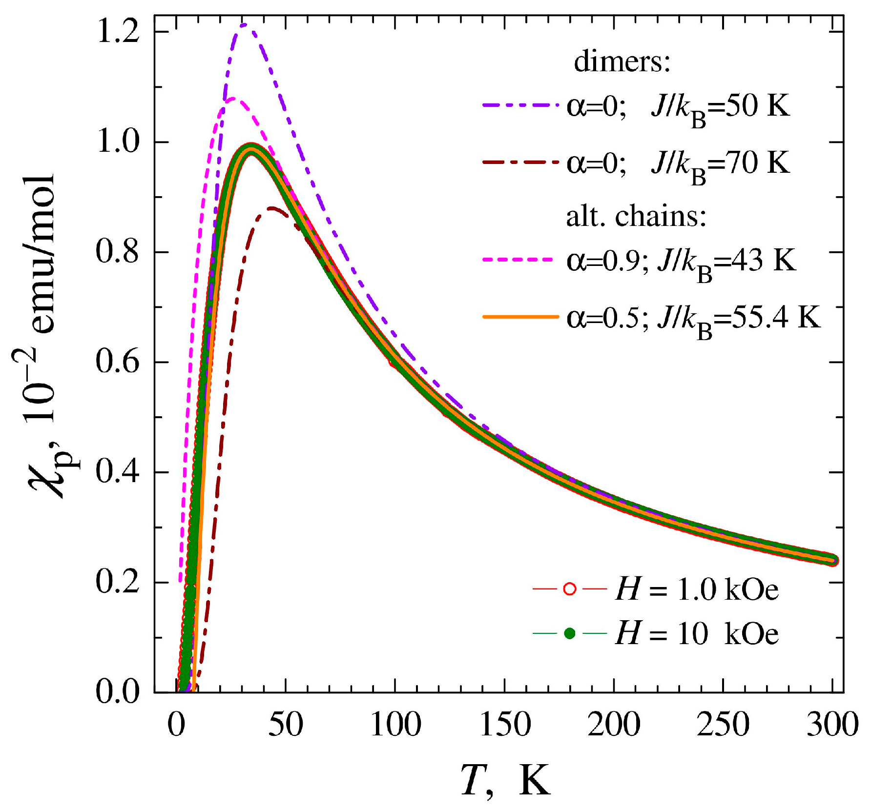
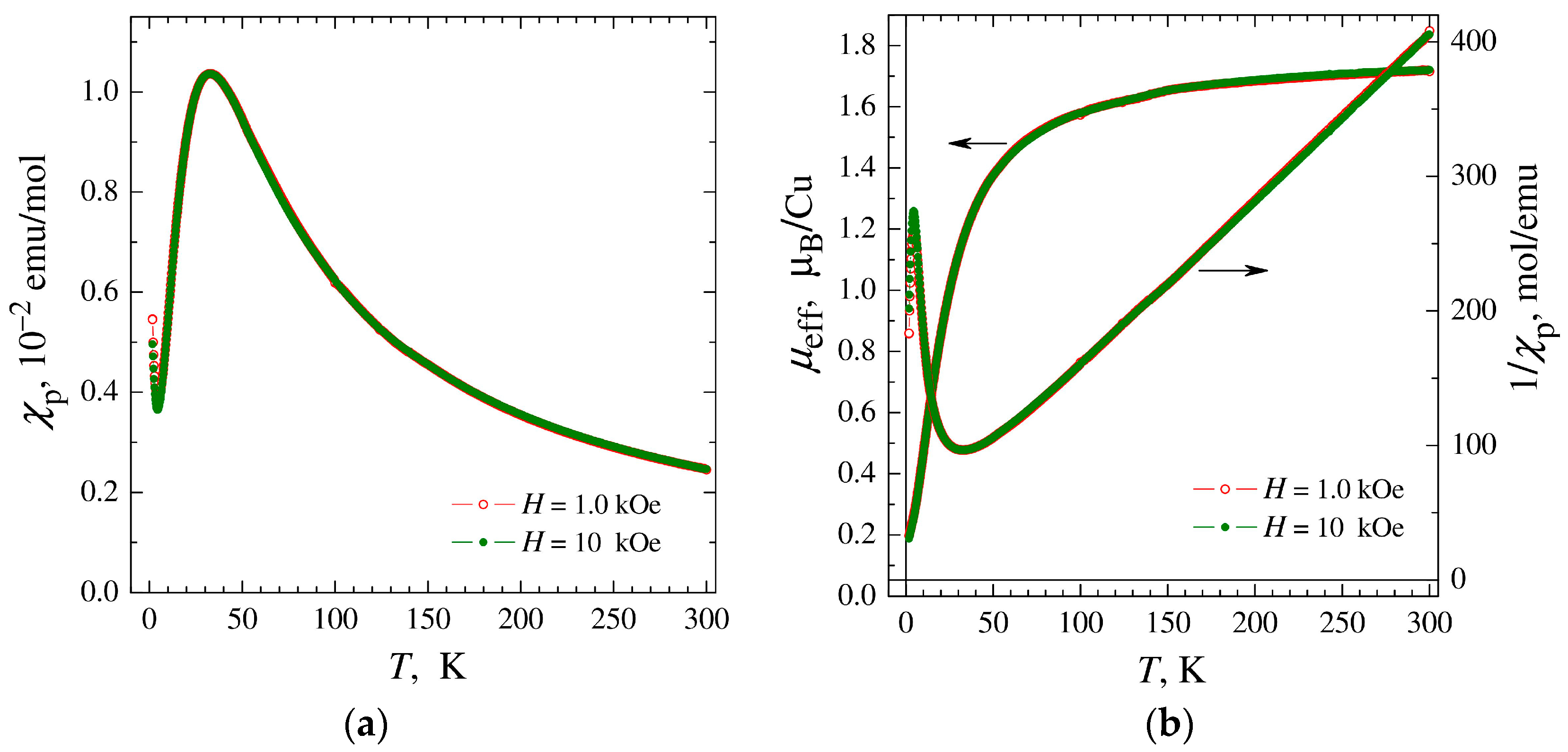
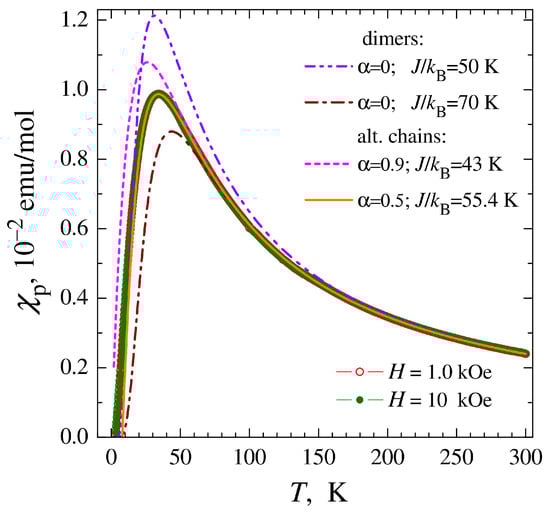
2.4. Magnetic Measurements
2.5. Cytotoxic Activity
3. Materials and Methods
3.1. Synthetic Procedures
3.2. Materials and Techniques
3.3. Crystallography
3.4. Spectroscopy
3.5. Magnetic Measurements
3.6. Cytotoxic Activity
4. Conclusions
Supplementary Materials
Author Contributions
Funding
Institutional Review Board Statement
Informed Consent Statement
Data Availability Statement
Acknowledgments
Conflicts of Interest
References
- Sharma, S.; Singh, V.; Vaishali; Kumar, R.; Jamra, R.; Banyal, N.; Jyoti. From 2011 to 2022: The development of pyrazole derivatives through the α,β-unsaturated carbonyl compounds. Heterocycl. Chem. 2024, 61, 232. [Google Scholar] [CrossRef]
- Zhao, X.; Verma, R.; Sridhara, M.B.; Kumar, K.S.S. Fluorinated azoles as effective weapons in fight against methicillin-resistance staphylococcus aureus (MRSA) and its SAR studies. Bioorg. Chem. 2024, 143, 106975. [Google Scholar] [CrossRef] [PubMed]
- Zhang, Y.; Wu, C.; Zhang, N.; Fan, R.; Ye, Y.; Xu, J. Recent Advances in the Development of Pyrazole Derivatives as Anticancer Agents. Int. J. Mol. Sci. 2023, 24, 12724. [Google Scholar] [CrossRef] [PubMed]
- Lusardi, M.; Spallarossa, A.; Brullo, C. Amino-Pyrazoles in Medicinal Chemistry: A Review. Int. J. Mol. Sci. 2023, 24, 7834. [Google Scholar] [CrossRef] [PubMed]
- Vahora, M.S.; Boruah, J.J.; Das, S.P. Synthesis and Pharmacological Activities of Pyrazole and Oxadiazole Derivatives: A Review. Russ. J. Org. Chem. 2023, 59, 846–869. [Google Scholar] [CrossRef]
- Ebenezer, O.; Shapi, M.; Tuszynski, J.A. A Review of the Recent Development in the Synthesis and Biological Evaluations of Pyrazole Derivatives. Biomedicines 2022, 10, 1124. [Google Scholar] [CrossRef]
- Karrouchi, K.; Radi, S.; Ramli, Y.; Taoufik, J.; Mabkhot, Y.N.; Al-aizari, F.A.; Ansar, M. Synthesis and Pharmacological Activities of Pyrazole Derivatives: A Review. Molecules 2018, 23, 134. [Google Scholar] [CrossRef]
- Faria, J.V.; Vegi, P.F.; Miguita, A.G.C.; Dos Santos, M.S.; Boechat, N.; Bernardino, A.M.R. Recently reported biological activities of pyrazole compounds. Bioorg. Med. Chem. 2017, 25, 5891–5903. [Google Scholar] [CrossRef]
- Ansari, A.; Ali, A.; Asif, M.; Shamsuzzaman, S. Review: Biologically active pyrazole derivatives. New J. Chem. 2017, 41, 16–41. [Google Scholar] [CrossRef]
- Bennani, F.E.; Doudach, L.; Cherrah, Y.; Ramli, Y.; Karrouchi, K.; Ansar, M.; Faouzi, M.E.A. Overview of recent developments of pyrazole derivatives as an anticancer agent in different cell line. Bioorg. Chem. 2020, 97, 103470. [Google Scholar] [CrossRef]
- Khan, M.F.; Alam, M.M.; Verma, G.; Akhtar, W.; Akhter, M.; Shaquiquzzaman, M. The therapeutic voyage of pyrazole and its analogs: A review. Eur. J. Med. Chem. 2016, 120, 170–201. [Google Scholar] [CrossRef] [PubMed]
- Verma, R.; Verma, S.K.; Rakesh, K.P.; Girish, Y.R.; Ashrafizadeh, M.; Sharath Kumar, K.S.; Rangappa, K.S. Pyrazole-based analogs as potential antibacterial agents against methicillin-resistance staphylococcus aureus (MRSA) and its SAR elucidation. Eur. J. Med. Chem. 2021, 212, 113134. [Google Scholar] [CrossRef] [PubMed]
- Mykhailiuk, P.K. Fluorinated Pyrazoles: From Synthesis to Applications. Chem. Rev. 2021, 121, 1670–1715. [Google Scholar] [CrossRef] [PubMed]
- Clemett, D.; Goa, K.L. Celecoxib: A Review of its Use in Osteoarthritis, Rheumatoid Arthritis and Acute Pain. Drugs 2000, 59, 957–980. [Google Scholar] [CrossRef]
- Abdelhaleem, E.F.; Kassab, A.E.; El-Nassan, H.B.; Khalil, O.M. Recent advances in the development of celecoxib analogs as anticancer agents: A review. Arch. Pharm. 2022, 355, e2200326. [Google Scholar] [CrossRef]
- Link, J.O.; Rhee, M.S.; Tse, W.C.; Zheng, J.; Somoza, J.R.; Rowe, W.; Begley, R.; Chiu, A.; Mulato, A.; Hansen, D.; et al. Clinical targeting of HIV capsid protein with a long-acting small molecule. Nature 2020, 584, 614–618. [Google Scholar] [CrossRef]
- Liu, H.-N.; Zhu, Y.; Chi, Y.; Sun, F.-F.; Shan, L.-S.; Wang, Y.-T.; Dai, B. Synthetic approaches and application of representative clinically approved fluorine-enriched anti-cancer medications. Eur. J. Med. Chem. 2024, 276, 116722. [Google Scholar] [CrossRef]
- Bazhin, D.N.; Kudyakova, Y.S.; Onoprienko, A.Y.; Slepukhin, P.A.; Burgart, Y.V.; Saloutin, V.I. Synthesis and tuberculostatic activity of functionalized pyrazoles derived from (trifluoromethyl)pyrazole containing a hydrazone group. Chem. Heterocycl. Compd. 2017, 53, 1324–1329. [Google Scholar] [CrossRef]
- Johnson, B.M.; Shu, Y.-Z.; Zhuo, X.; Meanwell, N.A. Metabolic and Pharmaceutical Aspects of Fluorinated Compounds. J. Med. Chem. 2020, 63, 6315–6386. [Google Scholar] [CrossRef]
- Ghorbanpour, M.; Shayanfar, A.; Soltani, B. Copper pyrazole complexes as potential anticancer agents: Evaluation of cytotoxic response against cancer cells and their mechanistic action at the molecular level. Coord. Chem. Rev. 2024, 498, 215459. [Google Scholar] [CrossRef]
- Castroa, I.; Barrosa, W.P.; Calatayuda, M.L.; Lloret, F.; Marinod, N.; De Munnod, G.; Stumpfc, H.O.; Ruiz-Garcíaa, R.; Julve, M. Dicopper(II) pyrazolenophanes: Ligand effects on their structures and magnetic properties. Coord. Chem. Rev. 2016, 315, 135–152. [Google Scholar] [CrossRef]
- Rasika Dias, H.V.; Lovely, C.J. Carbonyl and Olefin Adducts of Coinage Metals Supported by Poly(pyrazolyl)borate and Poly(pyrazolyl)alkane Ligands and Silver Mediated Atom Transfer Reactions. Chem. Rev. 2008, 108, 3223–3238. [Google Scholar] [CrossRef]
- Pettinari, C.; Tabacaru, A.; Galli, S. Coordination polymers and metal–organic frameworks based on poly(pyrazole)-containing ligands. Coord. Chem. Rev. 2016, 307, 1–31. [Google Scholar] [CrossRef]
- Doidge, E.D.; Roebuck, J.W.; Healy, M.R.; Tasker, P.A. Phenolic pyrazoles: Versatile polynucleating ligands. Coord. Chem. Rev. 2015, 288, 98–117. [Google Scholar] [CrossRef]
- Halcrow, M.A. Spin-Сrossover Materials Properties and Applications; John Wiley & Sons Ltd.: Chichester, UK, 2013; 562p. [Google Scholar]
- Pandolfo, L.; Pettinari, C. Trinuclear copper(ii) pyrazolate compounds: A long story of serendipitous discoveries and rational design. CrystEngComm. 2017, 19, 1701–1720. [Google Scholar] [CrossRef]
- Dias, H.V.R.; Singh, S.; Campana, C.F. Toluene-Sandwiched Trinuclear Copper(I) and Silver(I) Triazolates and Phosphine Adducts of Dinuclear Copper(I) and Silver(I) Triazolates. Inorg. Chem. 2008, 47, 3943–3945. [Google Scholar] [CrossRef] [PubMed]
- Chen, X.-W.; He, L.-H.; Ju, P.; Chen, J.-L.; Liu, S.-J.; Wen, H.-R. Mechanochromic luminescent materials of bimetallic Cu(i) complexes showing thermally activated delayed fluorescence. J. Mater. Chem. C 2020, 8, 16160–16167. [Google Scholar] [CrossRef]
- Scatena, R.; Massignani, S.; Lanza, A.E.; Zorzi, F.; Monari, M.; Nestola, F.; Pettinari, C.; Pandolfo, L. Synthesis of Coordination Polymers and Discrete Complexes from the Reaction of Copper(II) Carboxylates with Pyrazole: Role of Carboxylates Basicity. Cryst. Growth Des. 2022, 22, 1032–1044. [Google Scholar] [CrossRef]
- Elguero, J.; Yranzo, G.I.; Laynez, J.; Jimenez, P.; Menendez, M.; Catalan, J.; De Paz, J.L.G.; Anvia, F.; Taft, R.W. Effect of the replacement of a methyl by a trifluoromethyl group on the acid-base properties of pyrazoles. Org. J. Chem. 1991, 56, 3942–3947. [Google Scholar] [CrossRef]
- Wang, J.-G.; Liu, Y.; Liu, C.-M.; Chen, J.-H.; Yang, G. An efficient mixed-valence copper pyrazolate catalyst for the conversion of carbon dioxide and epoxides into cyclic carbonates. Dalton Trans. 2023, 52, 9275–9281. [Google Scholar] [CrossRef]
- Mathivatanan, L.; Rogez, G.; Amor, N.B.; Robert, V.; Raptis, R.G.; Boudalis, A. Origin of Ferromagnetism and Magnetic Anisotropy in a Family of Copper(II) Triangles. Chem. Eur. J. 2020, 26, 12769–12784. [Google Scholar] [CrossRef]
- Bazhin, D.N.; Kudyakova, Y.S.; Slepukhin, P.A.; Burgart, Y.V.; Malysheva, N.N.; Kozitsina, A.N.; Ivanova, A.V.; Bogomyakov, A.S.; Saloutin, V.I. Dinuclear copper(II) complex with novel N,N’,N”,O-tetradentate Schiff base ligand containing trifluoromethylpyrazole and hydrazone moieties. Mendeleev Commun. 2018, 28, 202–204. [Google Scholar] [CrossRef]
- Nicola, C.D.; Marchetti, F.; Tombesi, A.; Xhafa, S.; Campitelli, P.; Moroni, M.; Galli, S.; Pettinari, R.; Pettinari, C. Antibacterial activity of copper pyrazolate coordination polymers. New J. Chem. 2023, 47, 19047–19056. [Google Scholar] [CrossRef]
- Xhafa, S.; Olivieri, L.; Di Nicola, C.; Pettinari, R.; Pettinari, C.; Tombesi, A.; Marchetti, F. Copper and Zinc Metal–Organic Frameworks with Bipyrazole Linkers Display Strong Antibacterial Activity against Both Gram+ and Gram− Bacterial Strains. Molecules 2023, 28, 6160. [Google Scholar] [CrossRef] [PubMed]
- Bazhin, D.N.; Kudyakova, Y.S.; Edilova, Y.O.; Burgart, Y.V.; Saloutin, V.I. Fluorinated 1,2,4-triketone analogs: New prospects for heterocyclic and coordination chemistry. Russ. Chem. Bull. 2022, 71, 1321–1341. [Google Scholar] [CrossRef]
- Kudyakova, Y.S.; Onoprienko, A.Y.; Slepukhin, P.A.; Burgart, Y.V.; Saloutin, V.I.; Bazhin, D.N. Fluorine-Containing Furan-3(2Н)-Ones in Reactions with Binucleophiles: CF3 vs C2F5. Chem. Heterocycl. Compd. 2019, 55, 517–522. [Google Scholar] [CrossRef]
- Edilova, Y.O.; Kudyakova, Y.S.; Kiskin, M.A.; Burgart, Y.V.; Saloutin, V.I.; Bazhin, D.N. Expanding 1,2,4-triketone toolbox for use as fluorinated building blocks in the synthesis of pyrazoles, pyridazinones and β-diketohydrazones. J. Fluor. Chem. 2022, 253, 109932. [Google Scholar] [CrossRef]
- Bazhin, D.N.; Chizhov, D.L.; Röschenthaler, G.-V.; Kudyakova, Y.S.; Burgart, Y.V.; Slepukhin, P.A.; Saloutin, V.I.; Charushin, V.N. A concise approach to CF3-containing furan-3-ones, (bis)pyrazoles from novel fluorinated building blocks based on 2,3-butanedione. Tetrahedron Lett. 2014, 55, 5714–5717. [Google Scholar] [CrossRef]
- Bazhin, D.N.; Kudyakova, Y.S.; Röschenthaler, G.-V.; Burgart, Y.V.; Slepukhin, P.A.; Isenov, M.L.; Saloutin, V.I.; Charushin, V.N. A Convenient Approach to CF3-Containing N-Heterocycles Based on 2-Methoxy-2-methyl-5-(trifluoromethyl)furan-3(2H)-one. Eur. J. Org. Chem. 2015, 23, 5236–5245. [Google Scholar] [CrossRef]
- Kats, S.V.; Varzatskii, O.A.; Penkova, L.V.; Vologzhanina, A.V.; Novikov, V.V.; Lebed, E.G.; Voloshin, Y.Z. On a Way to New Types of the Hybrid Polyazomethine-Pyrazolate Metal Pseudomacrobicyclic Complexes: The Synthesis and Structure of Their Ligand Synthones. Macroheterocycles 2014, 7, 34–39. [Google Scholar] [CrossRef][Green Version]
- Nakamoto, K. Infrared and Raman Spectra of Inorganic and Coordination Compounds, Part B: Applications in Coordination, Organometallic, and Bioinorganic Chemistry; John Wiley & Sons: Hoboken, NJ, USA, 2009. [Google Scholar]
- Bleaney, B.; Bowers, K.D. Anomalous paramagnetism of copper acetate. Proc. R. Soc. Lond. 1952, A214, 451–465. [Google Scholar] [CrossRef]
- Hatfield, W.E. New magnetic and structural results for uniformly spaced, alternatingly spaced, and ladder-like copper (II) linear chain compounds. Appl. J. Phys. 1981, 52, 1985–1990. [Google Scholar] [CrossRef]
- Hall, J.W.; Marsh, W.E.; Weller, R.R.; Hatfield, W.E. Exchange coupling in the alternating-chain compounds catena-di-mu-chloro-bis(4-methylpyridine)copper(II), catena-di-mu-bromobis(N-methylimidazole)copper(II), catena-[hexanedione)bis(thiosemicarbazonato)]copper(II), and catena-[octanedione-bis(thiosemicarbazonato)]copper(II). Inorg. Chem. 1981, 20, 1033–1037. [Google Scholar] [CrossRef]
- Lavrenova, L.G.; Sukhikh, T.S.; Glinskaya, L.A.; Trubina, S.V.; Zvereva, V.V.; Lavrov, A.N.; Klyushova, L.S.; Artem’ev, A.V. Synthesis, Structure, and Magnetic and Biological Properties of Copper(II) Complexes with 1,3,4-Thiadiazole Derivatives. Int. J. Mol. Sci. 2023, 24, 13024. [Google Scholar] [CrossRef] [PubMed]
- Indrayanto, G.; Putra, G.S.; Suhud, F. Chapter Six—Validation of in-vitro bioassay methods: Application in herbal drug research. Profiles Drug Subst. Excip. Relat. Methodol. 2021, 46, 273–307. [Google Scholar] [CrossRef]
- APEX2 (version 2012.2-0), SAINT (version 8.18c), and SADABS (version 2008/1). In Bruker Advanced X-ray Solutions; Bruker AXS Inc.: Madison, WI, USA, 2000–2012.
- Sheldrick, G.M. Crystal structure refinement with SHELXL. Acta Crystallogr. C 2015, 71, 3–8. [Google Scholar] [CrossRef] [PubMed]
- Eremina, J.A.; Lider, E.V.; Kuratieva, N.V.; Samsonenko, D.G.; Klyushova, L.S.; Sheven’, D.G.; Trifonov, R.E.; Ostrovskii, V.A. Synthesis and crystal structures of cytotoxic mixed-ligand copper(II) complexes with alkyl tetrazole and polypyridine derivatives. Inorganica Chim. Acta 2021, 516, 120169. [Google Scholar] [CrossRef]











| Bond | d, Å | Angle | ° | Angle | ° |
|---|---|---|---|---|---|
| Cu(1)-N(15) | 1.912(4) | N(15)-Cu(1)-N(12) | 167.1(2) | N(22)-Cu(2)-N(25) | 167.1(2) |
| Cu(1)-N(12) | 1.929(5) | N(15)-Cu(1)-N(13) | 88.8(2) | N(22)-Cu(2)-N(24) | 87.9(2) |
| Cu(1)-N(13) | 2.044(6) | N(12)-Cu(1)-N(13) | 81.3(2) | N(25)-Cu(2)-N(24) | 80.7(2) |
| Cu(1)-N(21) | 2.097(6) | N(15)-Cu(1)-N(21) | 92.4(2) | N(22)-Cu(2)-N(16) | 94.7(2) |
| Cu(1)-O(1) | 2.260(4) | N(12)-Cu(1)-N(21) | 100.4(2) | N(25)-Cu(2)-N(16) | 98.0(2) |
| Cu(2)-N(22) | 1.937(5) | N(13)-Cu(1)-N(21) | 135.5(2) | N(24)-Cu(2)-N(16) | 141.4(2) |
| Cu(2)-N(25) | 1.944(6) | N(15)-Cu(1)-O(1) | 86.35(19) | N(22)-Cu(2)-O(1) | 84.84(18) |
| Cu(2)-N(24) | 2.052(6) | N(12)-Cu(1)-O(1) | 95.80(19) | N(25)-Cu(2)-O(1) | 98.7(2) |
| Cu(2)-N(16) | 2.062(6) | N(13)-Cu(1)-O(1) | 139.5(2) | N(24)-Cu(2)-O(1) | 133.61(19) |
| Cu(2)-O(1) | 2.274(4) | N(21)-Cu(1)-O(1) | 84.9(2) | N(16)-Cu(2)-O(1) | 84.94(18) |
| Assignment | H2L | 1 |
|---|---|---|
| ν (О–Н) | 3367, 3229 | |
| ν (N–Н) | 3252 | |
| ν (Cring–H) | 3160, 3057 | 3136 |
| ν (CH3) | 2986, 2930 | 2974, 2930 |
| ν (–C=N–) | 1630 | 1608 |
| R(pz) | 1559 | 1560, 1525 |
| ν (С–H) (scissoring) | 1496, 1445, 1413, 1374, 1312 | 1497, 1453, 1434, 1375, 1352 |
| ν (CF3) | 1258, 1203, 1175, 1120 | 1253, 1156, 1124, 1095 |
| ν (С–H) (twisting) | 1077, 1006, 977, 819 | 1055, 989, 811 |
| ν (С–H) (rocking) | 748, 717, 681 | 772, 760, 656, 623 |
| Compound | LC50, μМ | SI | |||||||
|---|---|---|---|---|---|---|---|---|---|
| HepG2 | Hep2 | MCF7 | A549 | MRC5 | HepG2 | Hep2 | MCF7 | A549 | |
| Cu(NO3)2 | >100 | >100 | >100 | - | >100 | - | - | - | - |
| Н2L | >100 | >100 | >100 | >100 | >100 | - | - | - | - |
| 1 | 0.79 ± 0.01 | 2.53 ± 0.03 | 0.18 ± 0.03 | 43.6 ± 2.6 | 4.03 ± 0.13 | 5.1 | 1.6 | 22.4 | 0.1 |
| CCDC | 2361180 | |
| Empirical formula | C26H22Cu2F12N12OS | |
| Formula weight | 905.69 | |
| Crystal system | triclinic | |
| Space group | P–1 | |
| Cell Parameters | a, Å | 10.0089(17) |
| b, Å | 11.3575(13) | |
| c, Å | 15.616(3) | |
| A, ° | 73.830(5) | |
| β, ° | 88.420(3) | |
| γ, ° | 76.405(3) | |
| V, Å3 | 1655.8(4) | |
| Z | 2 | |
| Calc. density, g/cm3 | 1.817 | |
| μ, mm−1 | 1.460 | |
| Crystal size, mm3 | 0.320 × 0.100 × 0.030 | |
| Scan range, θ, degree | 2.451–26.022 | |
| Range h, k, l | −12 ≤ h ≤ 12, −10 ≤ k ≤ 14, −19 ≤ l ≤ 19 | |
| Reflections collected/independent (Rint) | 11,603/6339 (0.0690) | |
| Completeness, % | 97.3 | |
| Data/restraints/parameters | 6339/23/522 | |
| Goodness-of-fit | 1.034 | |
| R1, wR2 (I > 2σ(I)) | 0.0716, 0.1458 | |
| R1, wR2 (all data) | 0.1327, 0.1654 | |
| Δρmax, Δρmin, eÅ–3 | 0.583, −0.637 | |
Disclaimer/Publisher’s Note: The statements, opinions and data contained in all publications are solely those of the individual author(s) and contributor(s) and not of MDPI and/or the editor(s). MDPI and/or the editor(s) disclaim responsibility for any injury to people or property resulting from any ideas, methods, instructions or products referred to in the content. |
© 2024 by the authors. Licensee MDPI, Basel, Switzerland. This article is an open access article distributed under the terms and conditions of the Creative Commons Attribution (CC BY) license (https://creativecommons.org/licenses/by/4.0/).
Share and Cite
Shakirova, O.G.; Morozova, T.D.; Kudyakova, Y.S.; Bazhin, D.N.; Kuratieva, N.V.; Klyushova, L.S.; Lavrov, A.N.; Lavrenova, L.G. Synthesis, Structure, and Properties of a Copper(II) Binuclear Complex Based on Trifluoromethyl Containing Bis(pyrazolyl)hydrazone. Int. J. Mol. Sci. 2024, 25, 9414. https://doi.org/10.3390/ijms25179414
Shakirova OG, Morozova TD, Kudyakova YS, Bazhin DN, Kuratieva NV, Klyushova LS, Lavrov AN, Lavrenova LG. Synthesis, Structure, and Properties of a Copper(II) Binuclear Complex Based on Trifluoromethyl Containing Bis(pyrazolyl)hydrazone. International Journal of Molecular Sciences. 2024; 25(17):9414. https://doi.org/10.3390/ijms25179414
Chicago/Turabian StyleShakirova, Olga G., Tatiana D. Morozova, Yulia S. Kudyakova, Denis N. Bazhin, Natalia V. Kuratieva, Lyubov S. Klyushova, Alexander N. Lavrov, and Lyudmila G. Lavrenova. 2024. "Synthesis, Structure, and Properties of a Copper(II) Binuclear Complex Based on Trifluoromethyl Containing Bis(pyrazolyl)hydrazone" International Journal of Molecular Sciences 25, no. 17: 9414. https://doi.org/10.3390/ijms25179414
APA StyleShakirova, O. G., Morozova, T. D., Kudyakova, Y. S., Bazhin, D. N., Kuratieva, N. V., Klyushova, L. S., Lavrov, A. N., & Lavrenova, L. G. (2024). Synthesis, Structure, and Properties of a Copper(II) Binuclear Complex Based on Trifluoromethyl Containing Bis(pyrazolyl)hydrazone. International Journal of Molecular Sciences, 25(17), 9414. https://doi.org/10.3390/ijms25179414

