Formulation and Development of Nanofiber-Based Ophthalmic Insert for the Treatment of Bacterial Conjunctivitis
Abstract
1. Introduction
2. Results
2.1. Morphological Analysis of the Samples
2.2. Solid-State Characterization of the Fibrous Samples
2.3. In Vitro Dissolution Study
2.4. In Vivo Cytocompatibility Test
2.5. Results of the Aseptic Sample Preparation
2.6. Antimicrobial Study of the Fibrous Samples
2.6.1. Disc Diffusion Method
2.6.2. Determination of the MIC Values
2.6.3. Determination of Minimum Bactericidal Concentration (MBC)
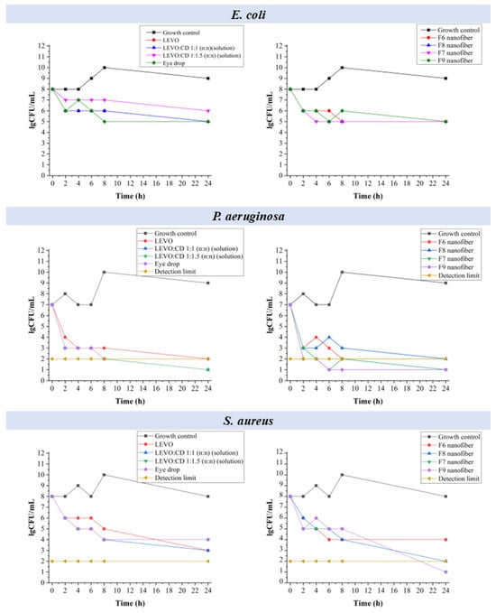
2.6.4. Time–Kill Curve Measurements
3. Discussion
4. Materials and Methods
4.1. Materials
4.2. Precursor Solution Preparation for the Electrospinning Process
4.3. Fiber Formation Process
4.4. Morphological Characterization of the Electrospun Samples
4.5. Solid-State Characterization of the Samples
4.5.1. FTIR Spectroscopy
4.5.2. XRD Measurement
4.6. In Vitro Dissolution Study
4.7. In Vivo Cytotoxicity Test
4.8. Aseptic Sample Preparations
4.9. Antibacterial Study
5. Conclusions
Author Contributions
Funding
Institutional Review Board Statement
Informed Consent Statement
Data Availability Statement
Conflicts of Interest
List of Abbreviations
References
- Palioura, S.; Gibbons, A.; Miller, D.; O’Brien, T.P.; Alfonso, E.C.; Spierer, O. Clinical Features, Antibiotic Susceptibility Profile, and Outcomes of Infectious Keratitis Caused by Stenotrophomonas maltophilia. Cornea 2018, 37, 326–330. [Google Scholar] [CrossRef] [PubMed]
- Sharma, A.; Taniguchi, J. Review: Emerging strategies for antimicrobial drug delivery to the ocular surface: Implications for infectious keratitis. Ocul. Surf. 2017, 15, 670–679. [Google Scholar] [CrossRef]
- Oum, B.S.; Kim, N.M.; Lee, J.S.; Park, Y.M. Effects of Fluoroquinolone Eye Solutions without Preservatives on Human Corneal Epithelial Cells in vitro. Ophthalmic Res. 2014, 51, 216–223. [Google Scholar] [CrossRef] [PubMed]
- Bezwada, P.; Clark, L.A.; Schneider, S. Intrinsic cytotoxic effects of fluoroquinolones on human corneal keratocytes and endothelial cells. Curr. Med. Res. Opin. 2008, 24, 419–424. [Google Scholar] [CrossRef] [PubMed]
- Keating, G.M. Levofloxacin 0.5% Ophthalmic Solution. Drugs 2009, 69, 1267–1286. [Google Scholar] [CrossRef]
- Li, G.; Xu, L.; Jiang, M.; Wu, X. Eye drops and eye gels of levofloxacin: Comparison of ocular absorption characterizations and therapeutic effects in the treatment of bacterial keratitis in rabbits. Drug Dev. Ind. Pharm. 2020, 46, 673–681. [Google Scholar] [CrossRef]
- An, J.A.; Kasner, O.; Samek, D.A.; Lévesque, V. Evaluation of eyedrop administration by inexperienced patients after cataract surgery. J. Cataract Refract. Surg. 2014, 40, 1857–1861. [Google Scholar] [CrossRef]
- Hermann, M.M.; Üstündag, C.; Diestelhorst, M. Electronic compliance monitoring of topical treatment after ophthalmic surgery. Int. Ophthalmol. 2010, 30, 385–390. [Google Scholar] [CrossRef]
- Bamiro, O.A.; Ubale, R.V.; Addo, R.T. Background of Ocular Drug Delivery. In Ocular Drug Delivery: Advances, Challenges and Applications; Addo, R.T., Ed.; Springer International Publishing: Cham, Switzerland, 2016; pp. 1–9. [Google Scholar]
- Lanier, O.L.; Manfre, M.G.; Bailey, C.; Liu, Z.; Sparks, Z.; Kulkarni, S.; Chauhan, A. Review of Approaches for Increasing Ophthalmic Bioavailability for Eye Drop Formulations. AAPS PharmSciTech 2021, 22, 107. [Google Scholar] [CrossRef]
- Kassem, M.A.; Abdel Rahman, A.A.; Ghorab, M.M.; Ahmed, M.B.; Khalil, R.M. Nanosuspension as an ophthalmic delivery system for certain glucocorticoid drugs. Int. J. Pharm. 2007, 340, 126–133. [Google Scholar] [CrossRef]
- Alvarez-Lorenzo, C.; Anguiano-Igea, S.; Varela-García, A.; Vivero-Lopez, M.; Concheiro, A. Bioinspired hydrogels for drug-eluting contact lenses. Acta Biomater. 2019, 84, 49–62. [Google Scholar] [CrossRef] [PubMed]
- Gaballa, S.A.; Kompella, U.B.; Elgarhy, O.; Alqahtani, A.M.; Pierscionek, B.; Alany, R.G.; Abdelkader, H. Corticosteroids in ophthalmology: Drug delivery innovations, pharmacology, clinical applications, and future perspectives. Drug Deliv. Transl. Res. 2021, 11, 866–893. [Google Scholar] [CrossRef]
- Kim, H.M.; Woo, S.J. Ocular Drug Delivery to the Retina: Current Innovations and Future Perspectives. Pharmaceutics 2021, 13, 108. [Google Scholar] [CrossRef]
- Maulvi, F.A.; Desai, D.T.; Shetty, K.H.; Shah, D.O.; Willcox, M.D.P. Advances and challenges in the nanoparticles-laden contact lenses for ocular drug delivery. Int. J. Pharm. 2021, 608, 121090. [Google Scholar] [CrossRef]
- Terreni, E.; Burgalassi, S.; Chetoni, P.; Tampucci, S.; Zucchetti, E.; Fais, R.; Ghelardi, E.; Lupetti, A.; Monti, D. Development and Characterization of a Novel Peptide-Loaded Antimicrobial Ocular Insert. Biomolecules 2020, 10, 664. [Google Scholar] [CrossRef] [PubMed]
- Ghezzi, M.; Ferraboschi, I.; Fantini, A.; Pescina, S.; Padula, C.; Santi, P.; Sissa, C.; Nicoli, S. Hyaluronic acid–PVA films for the simultaneous delivery of dexamethasone and levofloxacin to ocular tissues. Int. J. Pharm. 2023, 638, 122911. [Google Scholar] [CrossRef]
- Gupta, H.; Aqil, M.; Khar, R.K.; Ali, A.; Bhatnagar, A.; Mittal, G. Biodegradable levofloxacin nanoparticles for sustained ocular drug delivery. J. Drug Target. 2011, 19, 409–417. [Google Scholar] [CrossRef]
- Chang, Y.-F.; Cheng, Y.-H.; Ko, Y.-C.; Chiou, S.-H.; Jui-Ling Liu, C. Development of topical chitosan/β-glycerophosphate-based hydrogel loaded with levofloxacin in the treatment of keratitis: An ex-vivo study. Heliyon 2022, 8, e08697. [Google Scholar] [CrossRef]
- Ameeduzzafar; Imam, S.S.; Abbas Bukhari, S.N.; Ahmad, J.; Ali, A. Formulation and optimization of levofloxacin loaded chitosan nanoparticle for ocular delivery: In-vitro characterization, ocular tolerance and antibacterial activity. Int. J. Biol. Macromol. 2018, 108, 650–659. [Google Scholar] [CrossRef]
- Abd El-Bary, A.; Kamal Ibrahim, H.; Haza’a, B.S.; Al Sharabi, I. Formulation of sustained release bioadhesive minitablets containing solid dispersion of levofloxacin for once daily ocular use. Pharm. Dev. Technol. 2019, 24, 824–838. [Google Scholar] [CrossRef]
- Ameeduzzafar; Khan, N.; Alruwaili, N.K.; Bukhari, S.N.A.; Alsuwayt, B.; Afzal, M.; Akhter, S.; Yasir, M.; Elmowafy, M.; Shalaby, K.; et al. Improvement of Ocular Efficacy of Levofloxacin by Bioadhesive Chitosan Coated PLGA Nanoparticles: Box-behnken Design, In-vitro Characterization, Antibacterial Evaluation and Scintigraphy Study. Iran. J. Pharm. Res. 2020, 19, 292–311. [Google Scholar] [CrossRef]
- De Gaetano, F.; Marino, A.; Marchetta, A.; Bongiorno, C.; Zagami, R.; Cristiano, M.C.; Paolino, D.; Pistarà, V.; Ventura, C.A. Development of Chitosan/Cyclodextrin Nanospheres for Levofloxacin Ocular Delivery. Pharmaceutics 2021, 13, 1293. [Google Scholar] [CrossRef] [PubMed]
- Jain, P.; Jaiswal, C.P.; Mirza, M.A.; Anwer, M.K.; Iqbal, Z. Preparation of levofloxacin loaded in situ gel for sustained ocular delivery: In vitro and ex vivo evaluations. Drug Dev. Ind. Pharm. 2020, 46, 50–56. [Google Scholar] [CrossRef] [PubMed]
- Shi, H.; Wang, Y.; Bao, Z.; Lin, D.; Liu, H.; Yu, A.; Lei, L.; Li, X.; Xu, X. Thermosensitive glycol chitosan-based hydrogel as a topical ocular drug delivery system for enhanced ocular bioavailability. Int. J. Pharm. 2019, 570, 118688. [Google Scholar] [CrossRef] [PubMed]
- Thakkar, R.; Komanduri, N.; Dudhipala, N.; Tripathi, S.; Repka, M.A.; Majumdar, S. Development and optimization of hot-melt extruded moxifloxacin hydrochloride inserts, for ocular applications, using the design of experiments. Int. J. Pharm. 2021, 603, 120676. [Google Scholar] [CrossRef]
- Polat, H.K.; Bozdağ Pehlivan, S.; Özkul, C.; Çalamak, S.; Öztürk, N.; Aytekin, E.; Fırat, A.; Ulubayram, K.; Kocabeyoğlu, S.; İrkeç, M.; et al. Development of besifloxacin HCl loaded nanofibrous ocular inserts for the treatment of bacterial keratitis: In vitro, ex vivo and in vivo evaluation. Int. J. Pharm. 2020, 585, 119552. [Google Scholar] [CrossRef]
- Zhang, Y.Z.; Venugopal, J.; Huang, Z.M.; Lim, C.T.; Ramakrishna, S. Crosslinking of the electrospun gelatin nanofibers. Polymer 2006, 47, 2911–2917. [Google Scholar] [CrossRef]
- Singla, J.; Bajaj, T.; Goyal, A.K.; Rath, G. Development of Nanofibrous Ocular Insert for Retinal Delivery of Fluocinolone Acetonide. Curr. Eye Res. 2019, 44, 541–550. [Google Scholar] [CrossRef]
- Cui, W.; Zhou, Y.; Chang, J. Electrospun nanofibrous materials for tissue engineering and drug delivery. Sci. Technol. Adv. Mater. 2010, 11, 014108. [Google Scholar] [CrossRef]
- Fan, J.; Li, G.; Deng, S.; Wang, Z. Mechanical Properties and Microstructure of Polyvinyl Alcohol (PVA) Modified Cement Mortar. Appl. Sci. 2019, 9, 2178. [Google Scholar] [CrossRef]
- Almeida, H.; Amaral, M.H.; Lobão, P.; Sousa Lobo, J.M. Applications of poloxamers in ophthalmic pharmaceutical formulations: An overview. Expert Opin. Drug Deliv. 2013, 10, 1223–1237. [Google Scholar] [CrossRef] [PubMed]
- Miranda, G.M.; Santos, V.O.; Bessa, J.R.; Teles, Y.C.F.; Yahouédéhou, S.C.; Goncalves, M.S.; Ribeiro-Filho, J. Inclusion Complexes of Non-Steroidal Anti-Inflammatory Drugs with Cyclodextrins: A Systematic Review. Biomolecules 2021, 11, 361. [Google Scholar] [CrossRef] [PubMed]
- Grassiri, B.; Knoll, P.; Fabiano, A.; Piras, A.M.; Zambito, Y.; Bernkop-Schnürch, A. Thiolated Hydroxypropyl-β-cyclodextrin: A Potential Multifunctional Excipient for Ocular Drug Delivery. Int. J. Mol. Sci. 2022, 23, 2612. [Google Scholar] [CrossRef]
- He, Z.-X.; Wang, Z.-H.; Zhang, H.-H.; Pan, X.; Su, W.-R.; Liang, D.; Wu, C.-B. Doxycycline and hydroxypropyl-β-cyclodextrin complex in poloxamer thermal sensitive hydrogel for ophthalmic delivery. Acta Pharm. Sin. B 2011, 1, 254–260. [Google Scholar] [CrossRef]
- Luepke, N.P. Hen’s egg chorioallantoic membrane test for irritation potential. Food Chem. Toxicol. 1985, 23, 287–291. [Google Scholar] [CrossRef]









| Formulation Code | Flow Rate (µL/s) | Voltage (kV) | Effective Distance (cm) |
|---|---|---|---|
| F1 | 0.08 | 16.8 | 12.5 |
| F2 | 0.08 | 17.2 | 12.5 |
| F3 | 0.08 | 18.8 | 12.5 |
| F4 | 0.1 | 18.9 | 12.5 |
| F5 | 0.1 | 19 | 12.5 |
| F6 | 0.15 | 22.3 | 12.5 |
| F7 | 0.15 | 23.5 | 12.5 |
| F8 | 0.15 | 22.7 | 12.5 |
| F9 | 0.15 | 23.5 | 12.5 |
| Formulation Code | Average Fiber Diameter ± SD (nm) | Morphological Characteristics |
|---|---|---|
| F1 | 123 ± 35 | fibrous, but with beads |
| F2 | 149 ± 33 | fibrous |
| F3 | 183 ± 31 | fibrous |
| F4 | 239 ± 40 | fibrous |
| F5 | 304 ± 59 | fibrous |
| F6 | 237 ± 36 | fibrous |
| F7 | 286 ± 42 | fibrous |
| F8 | 164 ± 31 | fibrous |
| F9 | 249 ± 43 | fibrous |
| Sample Name | Cumulative Score | Irritation Assessment |
|---|---|---|
| F6_NF | 0 | practically none |
| F7_NF | 7 | moderate |
| F8_NF | 0 | practically none |
| F9_NF | 7 | moderate |
| Diameter (mm) | |||||||
|---|---|---|---|---|---|---|---|
| LEVO | LEVO:CD 1:1 (n:n) | LEVO:CD 1:1.5 (n:n) | F6_NF | F8_NF | F7_NF | F9_NF | |
| S. pneumoniae | 30 | 32 | 30 | 32 | 34 | 36 | 34 |
| M. catarrhalis | 38 | 40 | 40 | 40 | 46 | 44 | 42 |
| H. parainfluenzae | 30 | 30 | 28 | 32 | 32 | 30 | 32 |
| N. gonorrhoeae 1 | 38 | 40 | 40 | 40 | 40 | 40 | 38 |
| N. gonorrhoeae 2 | 56 | 56 | 56 | 56 | 56 | 56 | 56 |
| MIC (µg/mL) | LEVO | ||||||||||||
| 128 | 64 | 32 | 16 | 8 | 4 | 2 | 1 | 0.5 | 0.25 | NC | PC | ||
| <0.25 | E. coli | - | - | - | - | - | - | - | - | - | - | ✓ | ✓ |
| <0.25 | E. coli | - | - | - | - | - | - | - | - | - | - | ✓ | ✓ |
| 16 | S. aureus | - | - | - | - | + | + | + | + | + | + | ✓ | ✓ |
| 8 | S. aureus | - | - | - | - | - | + | + | + | + | + | ✓ | ✓ |
| 4 | P. aeruginosa | - | - | - | - | - | - | + | + | + | + | ✓ | ✓ |
| 4 | P. aeruginosa | - | - | - | - | - | - | + | + | + | + | ✓ | ✓ |
| MIC (µg/mL) | Solution of LEVO:CD 1:1 (n:n) | ||||||||||||
| 32 | 16 | 8 | 4 | 2 | 1 | 0.5 | 0.25 | 0.125 | 0.0625 | NC | PC | ||
| <0.0625 | E. coli | - | - | - | - | - | - | - | - | - | - | ✓ | ✓ |
| <0.0625 | E. coli | - | - | - | - | - | - | - | - | - | - | ✓ | ✓ |
| 0.5 | S. aureus | - | - | - | - | - | - | - | + | + | + | ✓ | ✓ |
| 1 | S. aureus | - | - | - | - | - | - | + | + | + | + | ✓ | ✓ |
| 4 | P. aeruginosa | - | - | - | - | + | + | + | + | + | + | ✓ | ✓ |
| 4 | P. aeruginosa | - | - | - | - | + | + | + | + | + | + | ✓ | ✓ |
| MIC (µg/mL) | Solution of LEVO:CD 1:1.5 (n:n) | ||||||||||||
| 32 | 16 | 8 | 4 | 2 | 1 | 0.5 | 0.25 | 0.125 | 0.0625 | NC | PC | ||
| <0.0625 | E. coli | - | - | - | - | - | - | - | - | - | - | ✓ | ✓ |
| <0.0625 | E. coli | - | - | - | - | - | - | - | - | - | - | ✓ | ✓ |
| 1 | S. aureus | - | - | - | - | - | - | + | + | + | + | ✓ | ✓ |
| 1 | S. aureus | - | - | - | - | - | - | + | + | + | + | ✓ | ✓ |
| 8 | P. aeruginosa | - | - | - | + | + | + | + | + | + | + | ✓ | ✓ |
| 8 | P. aeruginosa | - | - | - | + | + | + | + | + | + | + | ✓ | ✓ |
| MIC (µg/mL) | Eye drop | ||||||||||||
| 64 | 32 | 16 | 8 | 4 | 2 | 1 | 0.5 | 0.25 | 0.125 | NC | PC | ||
| <0.125 | E. coli | - | - | - | - | - | - | - | - | - | - | ✓ | ✓ |
| <0.125 | E. coli | - | - | - | - | - | - | - | - | - | - | ✓ | ✓ |
| 0.25 | S. aureus | - | - | - | - | - | - | - | - | - | + | ✓ | ✓ |
| 0.25 | S. aureus | - | - | - | - | - | - | - | - | - | + | ✓ | ✓ |
| 1 | P. aeruginosa | - | - | - | - | - | - | - | + | + | + | ✓ | ✓ |
| 1 | P. aeruginosa | - | - | - | - | - | - | - | + | + | + | ✓ | ✓ |
| MIC (µg/mL) | F6 nanofibrous sample | ||||||||||||
| 64 | 32 | 16 | 8 | 4 | 2 | 1 | 0.5 | 0.25 | 0.125 | NC | PC | ||
| <0.125 | E. coli | - | - | - | - | - | - | - | - | - | - | ✓ | ✓ |
| <0.125 | E. coli | - | - | - | - | - | - | - | - | - | - | ✓ | ✓ |
| 16 | S. aureus | - | - | - | + | + | + | + | + | + | + | CONT | ✓ |
| 16 | S. aureus | - | - | - | + | + | + | + | + | + | + | ✓ | ✓ |
| 4 | P. aeruginosa | - | - | - | - | - | + | + | + | + | + | ✓ | ✓ |
| 4 | P. aeruginosa | - | - | - | - | - | + | + | + | + | + | ✓ | ✓ |
| MIC (µg/mL) | F8 nanofibrous sample | ||||||||||||
| 64 | 32 | 16 | 8 | 4 | 2 | 1 | 0.5 | 0.25 | 0.125 | NC | PC | ||
| <0.125 | E. coli | - | - | - | - | - | - | - | - | - | - | ✓ | ✓ |
| <0.125 | E. coli | - | - | - | - | - | - | - | - | - | - | ✓ | ✓ |
| 0.25 | S. aureus | - | - | - | - | - | - | - | - | - | + | ✓ | ✓ |
| 0.25 | S. aureus | - | - | - | - | - | - | - | - | - | + | CONT | ✓ |
| 4 | P. aeruginosa | - | - | - | - | - | + | + | + | + | + | ✓ | ✓ |
| 4 | P. aeruginosa | - | - | - | - | - | + | + | + | + | + | ✓ | ✓ |
| MIC (µg/mL) | F7 nanofibrous sample | ||||||||||||
| 64 | 32 | 16 | 8 | 4 | 2 | 1 | 0.5 | 0.25 | 0.125 | NC | PC | ||
| <0.125 | E. coli | - | - | - | - | - | - | - | - | - | - | ✓ | ✓ |
| <0.125 | E. coli | - | - | - | - | - | - | - | - | - | - | ✓ | ✓ |
| 0.5 | S. aureus | - | - | - | - | - | - | - | - | + | + | ✓ | ✓ |
| 0.5 | S. aureus | - | - | - | - | - | - | - | - | + | + | ✓ | ✓ |
| 4 | P. aeruginosa | - | - | - | - | - | + | + | + | + | + | ✓ | ✓ |
| 4 | P. aeruginosa | - | - | - | - | - | + | + | + | + | + | ✓ | ✓ |
| MIC (µg/mL) | F9 nanofibrous sample | ||||||||||||
| 64 | 32 | 16 | 8 | 4 | 2 | 1 | 0.5 | 0.25 | 0.125 | NC | PC | ||
| <0.125 | E. coli | - | - | - | - | - | - | - | - | - | - | ✓ | ✓ |
| <0.125 | E. coli | - | - | - | - | - | - | - | - | - | - | ✓ | ✓ |
| 0.5 | S. aureus | - | - | - | - | - | - | - | - | + | + | ✓ | ✓ |
| 0.5 | S. aureus | - | - | - | - | - | - | - | - | + | + | ✓ | ✓ |
| 4 | P. aeruginosa | - | - | - | - | - | + | + | + | + | + | ✓ | ✓ |
| 4 | P. aeruginosa | - | - | - | - | - | + | + | + | + | + | ✓ | ✓ |
| MBC (µg/mL) | ||||||||
|---|---|---|---|---|---|---|---|---|
| LEVO | Solution of LEVO:CD 1:1 (n:n) | Solution of LEVO:CD 1:1.5 (n:n) | Eye Drop | F6 | F8 | F7 | F9 | |
| E. coli | 4 | 8 | 8 | 4 | 8 | 8 | 4 | 8 |
| S. aureus | 32 | 32 | 32 | 32 | 32 | 64 | 64 | 64 |
| P. aeruginosa | 8 | 8 | 8 | 1 | 8 | 8 | 8 | 8 |
| Formulation Code | PVA:Polox (m:m) | Total Polymer Concentration (% (w/w)) | LEVO (% (w/w)) | LEVO: HP-β-CD (n:n) | Sodium Hyaluronate (% (w/w)) |
|---|---|---|---|---|---|
| F1 | 8:2 | 10 | 0 | 0 | 0 |
| F2 | 8:2 | 12 | 0 | 0 | 0 |
| F3 | 8:2 | 14 | 0 | 0 | 0 |
| F4 | 8:2 | 12 | 3 | 1:1 | 0 |
| F5 | 8:2 | 12 | 3 | 1:1.5 | 0 |
| F6 | 8:2 | 12 | 3 | 1:1 | 0.2 |
| F7 | 8:2 | 12 | 3 | 1:1.5 | 0.2 |
| F8 | 8:2 | 12 | 3 | 1:1 | 0.4 |
| F9 | 8:2 | 12 | 3 | 1:1.5 | 0.4 |
| Effect | Score | |||
|---|---|---|---|---|
| Time (min) | 0.5 | 2 | 5 | |
| hyperaemia | 5 | 3 | 1 | |
| haemorrhage | 7 | 5 | 3 | |
| coagulation | 9 | 7 | 5 | |
| Cummulative Score | Irritation Assessment |
|---|---|
| 0–0.9 | practically none |
| 1–4.9 | slight |
| 5–8.9 | moderate |
| 9–21 | strong |
Disclaimer/Publisher’s Note: The statements, opinions and data contained in all publications are solely those of the individual author(s) and contributor(s) and not of MDPI and/or the editor(s). MDPI and/or the editor(s) disclaim responsibility for any injury to people or property resulting from any ideas, methods, instructions or products referred to in the content. |
© 2024 by the authors. Licensee MDPI, Basel, Switzerland. This article is an open access article distributed under the terms and conditions of the Creative Commons Attribution (CC BY) license (https://creativecommons.org/licenses/by/4.0/).
Share and Cite
Farkas, E.; Abboud, H.; Nagy, N.; Hofmeister, B.; Ostorházi, E.; Tóth, B.; Pinke, B.; Mészáros, L.; Zelkó, R.; Kazsoki, A. Formulation and Development of Nanofiber-Based Ophthalmic Insert for the Treatment of Bacterial Conjunctivitis. Int. J. Mol. Sci. 2024, 25, 9228. https://doi.org/10.3390/ijms25179228
Farkas E, Abboud H, Nagy N, Hofmeister B, Ostorházi E, Tóth B, Pinke B, Mészáros L, Zelkó R, Kazsoki A. Formulation and Development of Nanofiber-Based Ophthalmic Insert for the Treatment of Bacterial Conjunctivitis. International Journal of Molecular Sciences. 2024; 25(17):9228. https://doi.org/10.3390/ijms25179228
Chicago/Turabian StyleFarkas, Eszter, Houssam Abboud, Nándor Nagy, Bálint Hofmeister, Eszter Ostorházi, Bence Tóth, Balázs Pinke, László Mészáros, Romána Zelkó, and Adrienn Kazsoki. 2024. "Formulation and Development of Nanofiber-Based Ophthalmic Insert for the Treatment of Bacterial Conjunctivitis" International Journal of Molecular Sciences 25, no. 17: 9228. https://doi.org/10.3390/ijms25179228
APA StyleFarkas, E., Abboud, H., Nagy, N., Hofmeister, B., Ostorházi, E., Tóth, B., Pinke, B., Mészáros, L., Zelkó, R., & Kazsoki, A. (2024). Formulation and Development of Nanofiber-Based Ophthalmic Insert for the Treatment of Bacterial Conjunctivitis. International Journal of Molecular Sciences, 25(17), 9228. https://doi.org/10.3390/ijms25179228

