Developing a Semi-Supervised Approach Using a PU-Learning-Based Data Augmentation Strategy for Multitarget Drug Discovery
Abstract
1. Introduction
- Do DL methods consistently outperform traditional ML methods, specifically identifying the best-performing ML/DL method for the compound activity prediction scenario?
- Which molecular representation method(s) are most appropriate for the selected ML/DL method?
- How can unlabeled or putative negative data be effectively utilized to enhance the true positive rate while keeping the false positive rate of virtual screening models within acceptable limits?
2. Results and Discussion
2.1. SVM Outperforms DL-Based Drug–Target Potency Prediction Models
2.2. ECFP4 Outperformed Other Compound Representation Methods
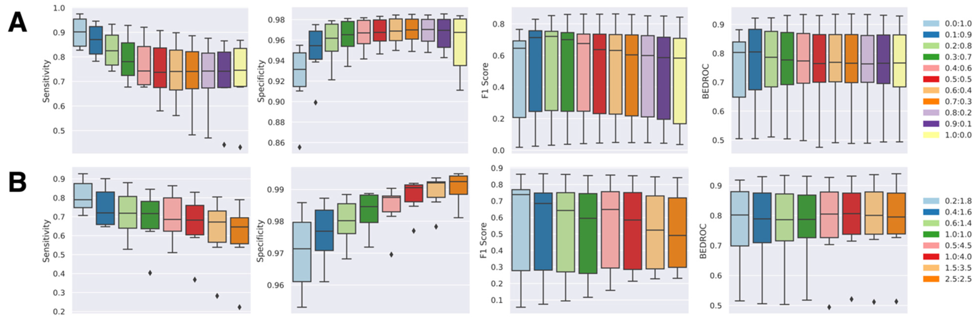
2.3. Data Augmentation Strategies for Constructing Semi-Supervised Learning Models
2.4. Developing a Novel Negative-Augmented PU-Bagging (NAPU-Bagging) SVM for Enhanced Virtual Screening
2.5. NAPU-Bagging SVM in Virtual Screening of Novel Dual-TKIs for NCSLC
2.6. NAPU-Bagging SVM for Discovering Novel Multitarget Agonists for Dopamine Receptors
3. Materials and Methods
3.1. Datasets for Training, Evaluation, and Virtual Screening
3.2. Data Pools for Augmentation Strategy
3.3. Molecular Representations
3.4. Support Vector Machine (SVM)
3.5. DL-Based Sequence-to-Drug Models
3.6. Molecular Docking
4. Conclusions
Supplementary Materials
Author Contributions
Funding
Institutional Review Board Statement
Informed Consent Statement
Data Availability Statement
Conflicts of Interest
References
- Fu, R.G.; Sun, Y.; Sheng, W.B.; Liao, D.F. Designing multi-targeted agents: An emerging anticancer drug discovery paradigm. Eur. J. Med. Chem. 2017, 136, 195–211. [Google Scholar] [CrossRef] [PubMed]
- Tao, L.; Zhu, F.; Xu, F.; Chen, Z.; Jiang, Y.Y.; Chen, Y.Z. Co-targeting cancer drug escape pathways confers clinical advantage for multi-target anticancer drugs. Pharmacol. Res. 2015, 102, 123–131. [Google Scholar] [CrossRef] [PubMed]
- Ibrahim, M.M.; Gabr, M.T. Multitarget therapeutic strategies for Alzheimer’s disease. Neural Regen. Res. 2019, 14, 437–440. [Google Scholar] [CrossRef] [PubMed]
- Nozal, V.; García-Rubia, A.; Cuevas, E.P.; Pérez, C.; Tosat-Bitrián, C.; Bartolomé, F.; Carro, E.; Ramírez, D.; Palomo, V.; Martínez, A. From kinase inhibitors to multitarget ligands as powerful drug leads for Alzheimer’s disease using protein-templated synthesis. Angew. Chem. Int. Ed. Engl. 2021, 60, 19344–19354. [Google Scholar] [CrossRef]
- Caruso, L.; Nadur, N.F.; da Fonseca, M.B.; Peixoto Ferreira, L.A.; Lacerda, R.B.; Graebin, C.S.; Kummerle, A.E. The design of multi-target drugs to treat cardiovascular diseases: Two (or more) birds on one stone. Curr. Top. Med. Chem. 2022, 22, 366–394. [Google Scholar] [CrossRef] [PubMed]
- East, S.P.; Silver, L.L. Multitarget ligands in antibacterial research: Progress and opportunities. Expert. Opin. Drug Discov. 2013, 8, 143–156. [Google Scholar] [CrossRef]
- Tan, L.; Zhang, J.; Wang, Y.; Wang, X.; Wang, Y.; Zhang, Z.; Shuai, W.; Wang, G.; Chen, J.; Wang, C.; et al. Development of dual inhibitors targeting epidermal growth factor receptor in cancer therapy. J. Med. Chem. 2022, 65, 5149–5183. [Google Scholar] [CrossRef] [PubMed]
- Wu, Q.; Zhen, Y.; Shi, L.; Vu, P.; Greninger, P.; Adil, R.; Merritt, J.; Egan, R.; Wu, M.J.; Yin, X.; et al. EGFR inhibition potentiates FGFR inhibitor therapy and overcomes resistance in FGFR2 fusion-positive cholangiocarcinoma. Cancer Discov. 2022, 12, 1378–1395. [Google Scholar] [CrossRef]
- Proschak, E.; Stark, H.; Merk, D. Polypharmacology by Design: A Medicinal Chemist’s Perspective on multitargeting compounds. J. Med. Chem. 2019, 62, 420–444. [Google Scholar] [CrossRef]
- Makhoba, X.H.; Viegas, C., Jr.; Mosa, R.A.; Viegas, F.P.D.; Pooe, O.J. Potential Impact of the multi-target drug approach in the treatment of some complex diseases. Drug Des. Devel Ther. 2020, 14, 3235–3249. [Google Scholar] [CrossRef]
- Lopez, J.S.; Banerji, U. Combine and conquer: Challenges for targeted therapy combinations in early phase trials. Nat. Rev. Clin. Oncol. 2017, 14, 57–66. [Google Scholar] [CrossRef] [PubMed]
- He, B.; Lu, C.; Zheng, G.; He, X.; Wang, M.; Chen, G.; Zhang, G.; Lu, A. Combination therapeutics in complex diseases. J. Cell Mol. Med. 2016, 20, 2231–2240. [Google Scholar] [CrossRef]
- Singh, A.K.; Kumar, A.; Singh, H.; Sonawane, P.; Paliwal, H.; Thareja, S.; Pathak, P.; Grishina, M.; Jaremko, M.; Emwas, A.H.; et al. Concept of hybrid drugs and recent advancements in anticancer hybrids. Pharmaceuticals 2022, 15, 1071. [Google Scholar] [CrossRef] [PubMed]
- Szumilak, M.; Wiktorowska-Owczarek, A.; Stanczak, A. Hybrid drugs-a strategy for overcoming anticancer drug resistance? Molecules 2021, 26, 2601. [Google Scholar] [CrossRef]
- Sang, Z.; Wang, K.; Dong, J.; Tang, L. Alzheimer’s disease: Updated multi-targets therapeutics are in clinical and in progress. Eur. J. Med. Chem. 2022, 238, 114464. [Google Scholar] [CrossRef] [PubMed]
- Doostmohammadi, A.; Jooya, H.; Ghorbanian, K.; Gohari, S.; Dadashpour, M. Potentials and future perspectives of multi-target drugs in cancer treatment: The next generation anti-cancer agents. Cell Commun. Signal 2024, 22, 228. [Google Scholar] [CrossRef]
- Ma, X.H.; Shi, Z.; Tan, C.; Jiang, Y.; Go, M.L.; Low, B.C.; Chen, Y.Z. In-silico approaches to multi-target drug discovery: Computer aided multi-target drug design, multi-target virtual screening. Pharm. Res. 2010, 27, 739–749. [Google Scholar] [CrossRef]
- Liu, K.; Chen, X.; Ren, Y.; Liu, C.; Lv, T.; Liu, Y.n.; Zhang, Y. Multi-target-based polypharmacology prediction (mTPP): An approach using virtual screening and machine learning for multi-target drug discovery. Chem.-Biol. Interact. 2022, 368, 110239. [Google Scholar] [CrossRef]
- Ambure, P.; Bhat, J.; Puzyn, T.; Roy, K. Identifying natural compounds as multi-target-directed ligands against Alzheimer’s disease: An in silico approach. J. Biomol. Struct. Dyn. 2019, 37, 1282–1306. [Google Scholar] [CrossRef] [PubMed]
- Srivastava, S.; Sharma, S.; Deep, S.; Khare, S.K. Screening of multitarget-directed natural compounds as drug candidates for Alzheimer’s disease using in silico techniques: Their extraction and in vitro validation. ACS Omega 2023, 8, 38118–38129. [Google Scholar] [CrossRef]
- Chen, X.; Xie, W.; Yang, Y.; Hua, Y.; Xing, G.; Liang, L.; Deng, C.; Wang, Y.; Fan, Y.; Liu, H.; et al. Discovery of dual FGFR4 and EGFR inhibitors by machine learning and biological evaluation. J. Chem. Inf. Model. 2020, 60, 4640–4652. [Google Scholar] [CrossRef] [PubMed]
- Xing, G.; Liang, L.; Deng, C.; Hua, Y.; Chen, X.; Yang, Y.; Liu, H.; Lu, T.; Chen, Y.; Zhang, Y. Activity prediction of small molecule inhibitors for antirheumatoid arthritis targets based on artificial intelligence. ACS Comb. Sci. 2020, 22, 873–886. [Google Scholar] [CrossRef]
- Xiong, Z.; Jeon, M.; Allaway, R.J.; Kang, J.; Park, D.; Lee, J.; Jeon, H.; Ko, M.; Jiang, H.; Zheng, M.; et al. Crowdsourced identification of multi-target kinase inhibitors for RET- and TAU-based disease: The multi-targeting drug DREAM challenge. PLoS Comput. Biol. 2021, 17, e1009302. [Google Scholar] [CrossRef] [PubMed]
- Yu, Y.; Xu, T.; Li, J.; Qiu, Y.; Rong, Y.; Gong, Z.; Cheng, X.; Dong, L.; Liu, W.; Li, J.; et al. A novel scalarized scaffold hopping algorithm with graph-based variational autoencoder for discovery of JAK1 inhibitors. ACS Omega 2021, 6, 22945–22954. [Google Scholar] [CrossRef]
- van Tilborg, D.; Alenicheva, A.; Grisoni, F. Exposing the limitations of molecular machine learning with activity cliffs. J. Chem. Inf. Model. 2022, 62, 5938–5951. [Google Scholar] [CrossRef] [PubMed]
- Dara, S.; Dhamercherla, S.; Jadav, S.S.; Babu, C.M.; Ahsan, M.J. Machine learning in drug discovery: A review. Artif. Intell. Rev. 2022, 55, 1947–1999. [Google Scholar] [CrossRef] [PubMed]
- Cichońska, A.; Ravikumar, B.; Rahman, R. AI for targeted polypharmacology: The next frontier in drug discovery. Curr. Opin. Struct. Biol. 2024, 84, 102771. [Google Scholar] [CrossRef]
- Cichońska, A.; Ravikumar, B.; Allaway, R.J.; Wan, F.; Park, S.; Isayev, O.; Li, S.; Mason, M.; Lamb, A.; Tanoli, Z.; et al. Crowdsourced mapping of unexplored target space of kinase inhibitors. Nat. Commun. 2021, 12, 3307. [Google Scholar] [CrossRef]
- Gupta, R.; Srivastava, D.; Sahu, M.; Tiwari, S.; Ambasta, R.K.; Kumar, P. Artificial intelligence to deep learning: Machine intelligence approach for drug discovery. Mol. Divers. 2021, 25, 1315–1360. [Google Scholar] [CrossRef] [PubMed]
- Yang, K.; Swanson, K.; Jin, W.; Coley, C.; Eiden, P.; Gao, H.; Guzman-Perez, A.; Hopper, T.; Kelley, B.; Mathea, M.; et al. Analyzing learned molecular representations for property prediction. J. Chem. Inf. Model. 2019, 59, 3370–3388. [Google Scholar] [CrossRef] [PubMed]
- Moriwaki, H.; Tian, Y.S.; Kawashita, N.; Takagi, T. Mordred: A molecular descriptor calculator. J. Cheminform. 2018, 10, 4. [Google Scholar] [CrossRef]
- Shen, W.X.; Zeng, X.; Zhu, F.; Wang, Y.l.; Qin, C.; Tan, Y.; Jiang, Y.Y.; Chen, Y.Z. Out-of-the-box deep learning prediction of pharmaceutical properties by broadly learned knowledge-based molecular representations. Nat. Mach. Intell. 2021, 3, 334–343. [Google Scholar] [CrossRef]
- Xiong, Z.; Wang, D.; Liu, X.; Zhong, F.; Wan, X.; Li, X.; Li, Z.; Luo, X.; Chen, K.; Jiang, H.; et al. Pushing the boundaries of molecular representation for drug discovery with the graph attention mechanism. J. Med. Chem. 2020, 63, 8749–8760. [Google Scholar] [CrossRef] [PubMed]
- Korkmaz, S. Deep learning-based imbalanced data classification for drug discovery. J. Chem. Inf. Model. 2020, 60, 4180–4190. [Google Scholar] [CrossRef] [PubMed]
- Zhang, W.; Pei, J.; Lai, L. Computational multitarget drug design. J. Chem. Inf. Model. 2017, 57, 403–412. [Google Scholar] [CrossRef]
- Thafar, M.A.; Olayan, R.S.; Ashoor, H.; Albaradei, S.; Bajic, V.B.; Gao, X.; Gojobori, T.; Essack, M. DTiGEMS+: Drug-target interaction prediction using graph embedding, graph mining, and similarity-based techniques. J. Cheminform. 2020, 12, 44. [Google Scholar] [CrossRef] [PubMed]
- Lee, I.; Keum, J.; Nam, H. DeepConv-DTI: Prediction of drug-target interactions via deep learning with convolution on protein sequences. PLoS Comput. Biol. 2019, 15, e1007129. [Google Scholar] [CrossRef] [PubMed]
- Xiao, T.; Qi, X.; Chen, Y.; Jiang, Y. Development of ligand-based big data deep neural network models for virtual screening of large compound libraries. Mol. Inform. 2018, 37, e1800031. [Google Scholar] [CrossRef] [PubMed]
- Zheng, Y.; Peng, H.; Zhang, X.; Zhao, Z.; Gao, X.; Li, J. DDI-PULearn: A positive-unlabeled learning method for large-scale prediction of drug-drug interactions. BMC Bioinform. 2019, 20, 661. [Google Scholar] [CrossRef]
- Bi, X.; Ma, H.; Li, J.; Ma, Y.; Chen, D. A positive and unlabeled learning frameworkbased on extreme learning machine for drug-drug interactions discovery. J. Ambient. Intell. Humaniz. Comput. 2023, 14, 1–12. [Google Scholar] [CrossRef]
- Lan, W.; Wang, J.; Li, M.; Liu, J.; Li, Y.; Wu, F.X.; Pan, Y. Predicting drug–target interaction using positive-unlabeled learning. Neurocomputing 2016, 206, 50–57. [Google Scholar] [CrossRef]
- Korotcov, A.; Tkachenko, V.; Russo, D.P.; Ekins, S. Comparison of deep learning with multiple machine learning methods and metrics using diverse drug discovery data sets. Mol. Pharm. 2017, 14, 4462–4475. [Google Scholar] [CrossRef] [PubMed]
- Jiang, D.; Wu, Z.; Hsieh, C.Y.; Chen, G.; Liao, B.; Wang, Z.; Shen, C.; Cao, D.; Wu, J.; Hou, T. Could graph neural networks learn better molecular representation for drug discovery? A comparison study of descriptor-based and graph-based models. J. Cheminform. 2021, 13, 12. [Google Scholar] [CrossRef] [PubMed]
- Ozturk, H.; Ozgur, A.; Ozkirimli, E. DeepDTA: Deep drug-target binding affinity prediction. Bioinformatics 2018, 34, i821–i829. [Google Scholar] [CrossRef] [PubMed]
- Chen, L.; Tan, X.; Wang, D.; Zhong, F.; Liu, X.; Yang, T.; Luo, X.; Chen, K.; Jiang, H.; Zheng, M. TransformerCPI: Improving compound-protein interaction prediction by sequence-based deep learning with self-attention mechanism and label reversal experiments. Bioinformatics 2020, 36, 4406–4414. [Google Scholar] [CrossRef]
- Zheng, S.; Li, Y.; Chen, S.; Xu, J.; Yang, Y. Predicting drug–protein interaction using quasi-visual questionanswering system. Nat. Mach. Intell. 2020, 2, 134–140. [Google Scholar] [CrossRef]
- Huang, K.; Xiao, C.; Glass, L.M.; Sun, J. MolTrans: Molecular Interaction Transformer for drug-target interaction prediction. Bioinformatics 2021, 37, 830–836. [Google Scholar] [CrossRef]
- Nguyen, T.; Le, H.; Quinn, T.P.; Nguyen, T.; Le, T.D.; Venkatesh, S. GraphDTA: Predicting drug-target binding affinity with graph neural networks. Bioinformatics 2021, 37, 1140–1147. [Google Scholar] [CrossRef]
- Yang, Z.; Zhong, W.; Zhao, L.; Yu-Chian Chen, C. MGraphDTA: Deep multiscale graph neural network for explainable drug-target binding affinity prediction. Chem. Sci. 2022, 13, 816–833. [Google Scholar] [CrossRef]
- Zhao, Q.; Zhao, H.; Zheng, K.; Wang, J. HyperAttentionDTI: Improving drug-protein interaction prediction by sequence-based deep learning with attention mechanism. Bioinformatics 2022, 38, 655–662. [Google Scholar] [CrossRef]
- Bai, P.; Miljković, F.; John, B.; Lu, H. Interpretable bilinear attention network with domain adaptation improves drug–target prediction. Nat. Mach. Intell. 2023, 5, 126–136. [Google Scholar] [CrossRef]
- Chen, L.; Fan, Z.; Chang, J.; Yang, R.; Hou, H.; Guo, H.; Zhang, Y.; Yang, T.; Zhou, C.; Sui, Q.; et al. Sequence-based drug design as a concept in computational drug design. Nat. Commun. 2023, 14, 4217. [Google Scholar] [CrossRef] [PubMed]
- Lin, X.; Xu, C.; Xiong, Z.; Zhang, X.; Ni, N.; Ni, B.; Chang, J.; Pan, R.; Wang, Z.; Yu, F.; et al. PanGu drug model: Learn a molecule like a human. Sci. China Life Sci. 2023, 66, 879–882. [Google Scholar] [CrossRef]
- Mordelet, F.; Vert, J.-P. A bagging SVM to learn from positive and unlabeled examples. Pattern Recognit. Lett. 2010, 37, 201–209. [Google Scholar] [CrossRef]
- Zhao, L.; Ma, H.; Dong, J.; Wu, X.; Xu, H.; Niu, R. A comparative study of landslide susceptibility mapping using bagging PU learning in class-prior probability shift datasets. Remote Sens. 2023, 15, 5547. [Google Scholar] [CrossRef]
- Pham, B.T.; Tien Bui, D.; Prakash, I. Bagging based support vector machines for spatial prediction of landslides. Environ. Earth Sci. 2018, 77, 146. [Google Scholar] [CrossRef]
- Dudoit, S.; Fridlyand, J. Bagging to improve the accuracy of a clustering procedure. Bioinformatics 2003, 19, 1090–1099. [Google Scholar] [CrossRef]
- Cooper, A.J.; Sequist, L.V.; Lin, J.J. Third-generation EGFR and ALK inhibitors: Mechanisms of resistance and management. Nat. Rev. Clin. Oncol. 2022, 19, 499–514. [Google Scholar] [CrossRef]
- Raghavendra, N.M.; Pingili, D.; Kadasi, S.; Mettu, A.; Prasad, S.V.U.M. Dual or multi-targeting inhibitors: The next generation anticancer agents. Eur. J. Med. Chem. 2018, 143, 1277–1300. [Google Scholar] [CrossRef]
- Abourehab, M.A.S.; Alqahtani, A.M.; Youssif, B.G.M.; Gouda, A.M. Globally approved EGFR inhibitors: Insights into their syntheses, target kinases, biological activities, receptor interactions, and metabolism. Molecules 2021, 26, 6677. [Google Scholar] [CrossRef]
- Fan, Y.; Li, W.; Nie, W.; Yao, H.; Ren, Y.; Wang, M.; Nie, H.; Gu, C.; Liu, J.; An, B. Novel dual-target kinase inhibitors of EGFR and ALK were designed, synthesized, and induced cell apoptosis in non-small cell lung cancer. Molecules 2023, 28, 2006. [Google Scholar] [CrossRef] [PubMed]
- Hu, L.; Fan, M.; Shi, S.; Song, X.; Wang, F.; He, H.; Qi, B. Dual target inhibitors based on EGFR: Promising anticancer agents for the treatment of cancers (2017-). Eur. J. Med. Chem. 2022, 227, 113963. [Google Scholar] [CrossRef] [PubMed]
- Baell, J.B.; Holloway, G.A. New Substructure filters for removal of pan assay interference compounds (PAINS) from screening libraries and for their exclusion in bioassays. J. Med. Chem. 2010, 53, 2719–2740. [Google Scholar] [CrossRef] [PubMed]
- Bickerton, G.R.; Paolini, G.V.; Besnard, J.; Muresan, S.; Hopkins, A.L. Quantifying the chemical beauty of drugs. Nat. Chem. 2012, 4, 90–98. [Google Scholar] [CrossRef] [PubMed]
- Pearce, B.C.; Sofia, M.J.; Good, A.C.; Drexler, D.M.; Stock, D.A. An empirical process for the design of high-throughput screening deck filters. J. Chem. Inf. Model. 2006, 46, 1060–1068. [Google Scholar] [CrossRef]
- Lipinski, C.A.; Lombardo, F.; Dominy, B.W.; Feeney, P.J. Experimental and computational approaches to estimate solubility and permeability in drug discovery and development settings. Adv. Drug Deliv. Rev. 2001, 46, 3–26. [Google Scholar] [CrossRef]
- Ghose, A.K.; Viswanadhan, V.N.; Wendoloski, J.J. A knowledge-based approach in designing combinatorial or medicinal chemistry libraries for drug discovery. 1. A qualitative and quantitative characterization of known drug databases. J. Comb. Chem. 1999, 1, 55–68. [Google Scholar] [CrossRef] [PubMed]
- Bonuccelli, U.; Del Dotto, P.; Rascol, O. Role of dopamine receptor agonists in the treatment of early Parkinson’s disease. Park. Relat. Disord. 2009, 15 (Suppl. S4), S44–S53. [Google Scholar] [CrossRef]
- Martel, J.C.; Gatti McArthur, S. Dopamine Receptor subtypes, physiology and pharmacology: New ligands and concepts in schizophrenia. Front. Pharmacol. 2020, 11, 1003. [Google Scholar] [CrossRef]
- Wu, J.; Xiao, H.; Sun, H.; Zou, L.; Zhu, L.Q. Role of dopamine receptors in ADHD: A systematic meta-analysis. Mol. Neurobiol. 2012, 45, 605–620. [Google Scholar] [CrossRef]
- Xu, P.; Huang, S.; Krumm, B.E.; Zhuang, Y.; Mao, C.; Zhang, Y.; Wang, Y.; Huang, X.P.; Liu, Y.F.; He, X.; et al. Structural genomics of the human dopamine receptor system. Cell Res. 2023, 33, 604–616. [Google Scholar] [CrossRef] [PubMed]
- Ouchi, M.; Kitta, T.; Chiba, H.; Higuchi, M.; Togo, M.; Abe-Takahashi, Y.; Shinohara, N. Mechanisms of D1/D2-like dopaminergic agonist, rotigotine, on lower urinary tract function in rat model of Parkinson’s disease. Sci. Rep. 2022, 12, 4540. [Google Scholar] [CrossRef] [PubMed]
- Bosc, N.; Atkinson, F.; Felix, E.; Gaulton, A.; Hersey, A.; Leach, A.R. Large scale comparison of QSAR and conformal prediction methods and their applications in drug discovery. J. Cheminform. 2019, 11, 4. [Google Scholar] [CrossRef] [PubMed]
- Kramer, C.; Kalliokoski, T.; Gedeck, P.; Vulpetti, A. The experimental uncertainty of heterogeneous public K(i) data. J. Med. Chem. 2012, 55, 5165–5173. [Google Scholar] [CrossRef] [PubMed]
- Rodríguez-Pérez, R.; Bajorath, J. Evolution of support vector machine and regression modeling in chemoinformatics and drug discovery. J. Comput.-Aided Mol. Des. 2022, 36, 355–362. [Google Scholar] [CrossRef]








| Strategy | Metrics | ALK | EGFR | FGFR1 | MAPK1 | MET | VEGFR1 | Average |
|---|---|---|---|---|---|---|---|---|
| Baseline SVM | SPE | 0.9886 | 0.9767 | 0.9961 | 0.9940 | 0.9915 | 0.9743 | 0.9869 |
| Tao’s strategy | 0.9929 | 0.9881 | 0.9973 | 0.9988 | 0.9931 | 0.9955 | 0.9943 | |
| PN-weighted | 0.9922 | 0.9881 | 0.9972 | 0.9979 | 0.9923 | 0.9958 | 0.9939 | |
| PU-Iterative | 0.9939 | 0.9876 | 0.9976 | 0.9988 | 0.9946 | 0.9952 | 0.9946 | |
| PU-bagging | 0.9550 | 0.9104 | 0.9354 | 0.8555 | 0.9516 | 0.9275 | 0.9226 | |
| NAPU-bagging | 0.9904 | 0.9695 | 0.9878 | 0.988 | 0.9872 | 0.9816 | 0.9841 | |
| Baseline SVM | SEN | 0.5819 | 0.6467 | 0.2048 | 0.7264 | 0.7701 | 0.5806 | 0.5851 |
| Tao’s strategy | 0.4892 | 0.5923 | 0.1808 | 0.4865 | 0.6848 | 0.3548 | 0.4647 | |
| PN-weighted | 0.4547 | 0.5923 | 0.1846 | 0.5878 | 0.6588 | 0.4194 | 0.4829 | |
| PU-Iterative | 0.4935 | 0.6301 | 0.1858 | 0.6149 | 0.7108 | 0.4516 | 0.5145 | |
| PU-bagging | 0.8276 | 0.9569 | 0.9456 | 0.8581 | 0.9753 | 0.8387 | 0.9004 | |
| NAPU-bagging | 0.6164 | 0.8243 | 0.5107 | 0.7264 | 0.8640 | 0.6452 | 0.6978 | |
| Baseline SVM | F1 | 0.6429 | 0.694 | 0.3273 | 0.2666 | 0.8235 | 0.1295 | 0.4806 |
| Tao’s strategy | 0.5997 | 0.6956 | 0.2979 | 0.4318 | 0.7754 | 0.2683 | 0.5114 | |
| PN-weighted | 0.5642 | 0.6956 | 0.3029 | 0.4065 | 0.7528 | 0.3210 | 0.5072 | |
| PU-Iterative | 0.6107 | 0.7217 | 0.3059 | 0.5170 | 0.8008 | 0.3182 | 0.5457 | |
| PU-bagging | 0.6057 | 0.6856 | 0.6945 | 0.0188 | 0.7653 | 0.0740 | 0.4740 | |
| NAPU-bagging | 0.6810 | 0.7820 | 0.6163 | 0.1587 | 0.8571 | 0.1860 | 0.5469 | |
| Baseline SVM | BEDROC | 0.8118 | 0.9185 | 0.7700 | 0.7261 | 0.8984 | 0.4639 | 0.7648 |
| Tao’s strategy | 0.7480 | 0.9299 | 0.8217 | 0.6107 | 0.9120 | 0.5086 | 0.7552 | |
| PN-weighted | 0.7180 | 0.9299 | 0.8249 | 0.6607 | 0.9049 | 0.5366 | 0.7625 | |
| PU-Iterative | 0.8375 | 0.9400 | 0.814 | 0.7518 | 0.9023 | 0.5264 | 0.7953 | |
| PU-bagging | 0.7900 | 0.8164 | 0.8473 | 0.6013 | 0.8819 | 0.5047 | 0.7403 | |
| NAPU-bagging | 0.7967 | 0.9273 | 0.8134 | 0.7030 | 0.9005 | 0.4943 | 0.7725 |
| ID | ALK | EGFR |
|---|---|---|
| Z1192975494 | 0.304 | 0.315 |
| Z1272282354 | 0.287 | 0.315 |
| Z1276057417 | 0.360 | 0.360 |
| Z1698127707 | 0.268 | 0.306 |
| Z1996380289 | 0.373 | 0.373 |
| Z3690564987 | 0.344 | 0.416 |
| Z4364760669 | 0.260 | 0.433 |
| ID | DRD1 | DRD2 | DRD3 | DRD4 | DRD5 |
|---|---|---|---|---|---|
| Z1408702762 | 0.389 | 0.525 | 0.580 | 0.580 | 0.269 |
| Z218005308 | 0.308 | 0.519 | 0.523 | 0.554 | 0.300 |
| Z279638458 | 0.297 | 0.511 | 0.473 | 0.473 | 0.282 |
| Z46188417 | 0.438 | 0.526 | 0.614 | 0.614 | 0.288 |
Disclaimer/Publisher’s Note: The statements, opinions and data contained in all publications are solely those of the individual author(s) and contributor(s) and not of MDPI and/or the editor(s). MDPI and/or the editor(s) disclaim responsibility for any injury to people or property resulting from any ideas, methods, instructions or products referred to in the content. |
© 2024 by the authors. Licensee MDPI, Basel, Switzerland. This article is an open access article distributed under the terms and conditions of the Creative Commons Attribution (CC BY) license (https://creativecommons.org/licenses/by/4.0/).
Share and Cite
Hao, Y.; Li, B.; Huang, D.; Wu, S.; Wang, T.; Fu, L.; Liu, X. Developing a Semi-Supervised Approach Using a PU-Learning-Based Data Augmentation Strategy for Multitarget Drug Discovery. Int. J. Mol. Sci. 2024, 25, 8239. https://doi.org/10.3390/ijms25158239
Hao Y, Li B, Huang D, Wu S, Wang T, Fu L, Liu X. Developing a Semi-Supervised Approach Using a PU-Learning-Based Data Augmentation Strategy for Multitarget Drug Discovery. International Journal of Molecular Sciences. 2024; 25(15):8239. https://doi.org/10.3390/ijms25158239
Chicago/Turabian StyleHao, Yang, Bo Li, Daiyun Huang, Sijin Wu, Tianjun Wang, Lei Fu, and Xin Liu. 2024. "Developing a Semi-Supervised Approach Using a PU-Learning-Based Data Augmentation Strategy for Multitarget Drug Discovery" International Journal of Molecular Sciences 25, no. 15: 8239. https://doi.org/10.3390/ijms25158239
APA StyleHao, Y., Li, B., Huang, D., Wu, S., Wang, T., Fu, L., & Liu, X. (2024). Developing a Semi-Supervised Approach Using a PU-Learning-Based Data Augmentation Strategy for Multitarget Drug Discovery. International Journal of Molecular Sciences, 25(15), 8239. https://doi.org/10.3390/ijms25158239

